Singularity Formation in an Incompressible Boundary Layer on an Upstream Moving Wall under Given External Pressure
- Authors: Bezrodnykh S.I.1, Zametaev V.B.1, Chzhun T.H.2
-
Affiliations:
- Federal Research Center “Computer Science and Control” of the Russian Academy of Sciences
- Moscow Institute of Physics and Technology (National Research University)
- Issue: Vol 63, No 12 (2023)
- Pages: 2081-2093
- Section: Mathematical physics
- URL: https://medbiosci.ru/0044-4669/article/view/233036
- DOI: https://doi.org/10.31857/S0044466923120074
- EDN: https://elibrary.ru/UWBYWH
- ID: 233036
Cite item
Full Text
Abstract
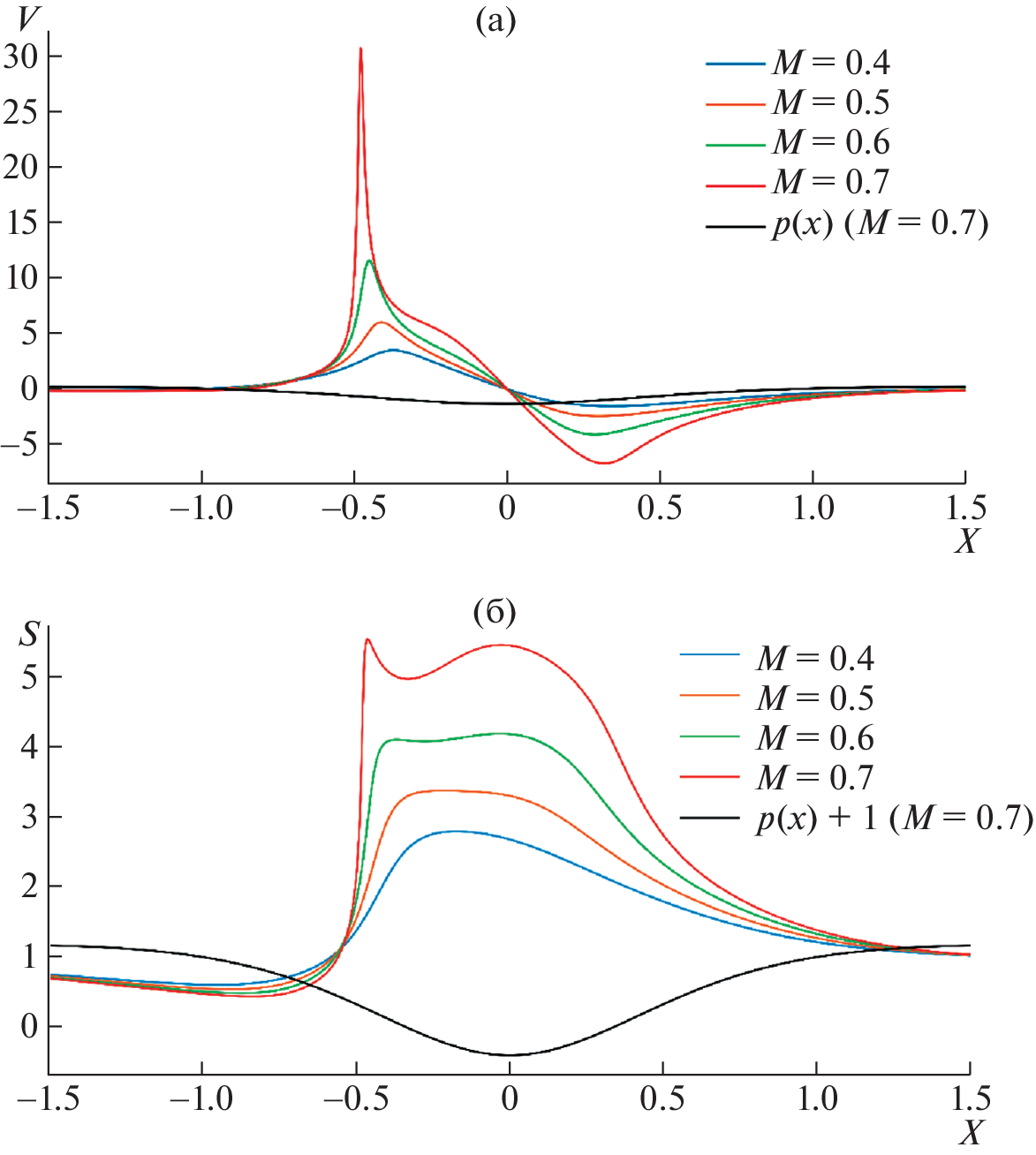
The two-dimensional laminar flow of a viscous incompressible fluid over a flat surface is considered at high Reynolds numbers. The influence exerted on the Blasius boundary layer by a body moving downstream with a low velocity relative to the plate is studied within the framework of asymptotic theory. The case in which a small external body modeled by a potential dipole moves downstream at a constant velocity is investigated. Formally, this classical problem is nonstationary, but, after passing to a coordinate system comoving with the dipole, it is described by stationary solutions of boundary layer equations on the wall moving upstream. The numerically found solutions of this problem involve closed and open separation zones in the flow field. Nonlinear regimes of the influence exerted by the dipole on the boundary layer with counterflows are calculated. It is found that, as the dipole intensity grows, the dipole-induced pressure acting on the boundary layer grows as well, which, after reaching a certain critical dipole intensity, gives rise to a singularity in the flow field. The asymptotics of the solution near the isolated singular point of the flow field is studied. It is found that, at this point, the vertical velocity grows to infinity, viscous stress vanishes, and no solution of the problem exists at higher dipole intensities.
Keywords
About the authors
S. I. Bezrodnykh
Federal Research Center “Computer Science and Control” of the Russian Academy of Sciences
Email: sbezrodnykh@mail.ru
119333, Moscow, Russia
V. B. Zametaev
Federal Research Center “Computer Science and Control” of the Russian Academy of Sciences
Email: zametaev.vb@mipt.ru
119333, Moscow, Russia
Te Ha Chzhun
Moscow Institute of Physics and Technology (National Research University)
Author for correspondence.
Email: zametaev.vb@mipt.ru
141701, Dolgoprudnyi, Moscow oblast, Russia
References
- Сычев В.В., Рубан А.И., Сычев Вик.В., Королев Г.Л. Асимптотическая теория отрывных течений. Под ред. Сычева В.В. М.: Наука. Гл. ред. Физ. Мат. литер., 1987.
- Moore F.K. On the separation of the unsteady laminar boundary-layer. In Boundary Layer Research (ed. H. Görtler). Springer, 1958. P. 296–311.
- Rott N. Unsteady viscous flow in the vicinity of a stagnation point // Q. Appl. Math. 1956. V. 13. № 4. P. 444–451.
- Sears W.R. Some recent developments in airfoil theory // J. Aeronaut. Sci. 1956. V. 23. № 5. P. 490–499.
- Timoshin S. Concerning marginal singularities in the boundary-layer flow on a downstream-moving surface // J. Fluid Mech. 1996. V. 308. P. 171–194.
- Ruban A.I., Araki D., Yapalparvi R., Gajjar J.S.B. On unsteady boundary-layer separation in supersonic flow. Part 1. Upstream moving separation point // J. Fluid Mech. 2011. V. 678. P. 124–155.
- Жук В.И. О локальных рециркуляционных зонах в сверхзвуковом пограничном слое на движущейся поверхности // Ж. вычисл. матем. и матем. физ. 1982. Т. 22. № 5. С. 249–255.
- Yapalparvi R., Van Dommelen L. Numerical solution of unsteady boundary-layer separation in supersonic flow: Upstream moving wall // J. Fluid Mech. 2012. V. 706. P. 413–430.
- Ruban A.I., Djehizian A., Kirsten J., Kravtsova M.A. On quasi-steady boundary-layer separation in supersonic flow. Part 2. Downstream moving separation point // J. Fluid Mech. 2020. V. 900. A9-1–A9-32.
- Timoshin S.N., Thapa P. On-wall and interior separation in a two-fluid boundary layer // J. Engineer. Math. 2019. V. 199. P. 1–21.
- Egorov I.V., Ilukhin I.M., Neiland V.Ya. Numerical modeling of the interaction between shock wave and boundary layer past moving surface // Fluid Dyn. 2020. V. 55. P. 110–117.
- Gaifullin A.M., Zubtsov A.V. Asymptotic structure of unsteady flow over a semi-infinite plate with a moving surface // Fluid Dyn. 2013. V. 48. P. 77–88.
- Чжун Т.Х., Безродных С.И., Заметаев В.Б. Несжимаемый пограничный слой с противотоками при заданном градиенте давления // Ж. вычисл. матем. и матем. физ. 2022. Т. 62. № 6. С. 1007–1015.
- Сычев Вик.В. О ламинарном отрыве на медленно движущейся вверх по потоку поверхности // Ученые записки ЦАГИ. 2016. Т. 47. Вып. 3. С. 1–26.
- Kravtsova M.A., Zametaev V.B., Ruban A.I. An effective numerical method for solving viscous-inviscid interaction problems // Philosophic. Transact. 2005. V. 363. № 1830. P. 1157–1167.
- Абрамовиц М., Стиган И. Справочник по срециальным функциям с формулами, графиками и математическими таблицами. М.: Наука. Физматлит, 1979.
Supplementary files








