EVALUATION OF EFFICIENCY OF USING OF BRAIN-COMPUTER INTERFACE IN LEARNING IMAGINATION OF MOVEMENTS OF UPPER AND LOWER LIMBS
- Authors: Bobrova E.V.1, Reshetnikova V.V.1, Vershinina E.A.1, Grishin A.A.1, Isaev M.R.2, Bobrov P.D.2, Gerasimenko Y.P.1
-
Affiliations:
- Pavlov Institute of Physiology, Russian Academy of Sciences
- Institute of Higher Nervous Activity and Neurophysiology, Russian Academy of Sciences
- Issue: Vol 73, No 1 (2023)
- Pages: 52-61
- Section: ФИЗИОЛОГИЯ ВЫСШЕЙ НЕРВНОЙ (КОГНИТИВНОЙ) ДЕЯТЕЛЬНОСТИ ЧЕЛОВЕКА
- URL: https://medbiosci.ru/0044-4677/article/view/136077
- DOI: https://doi.org/10.31857/S0044467723010069
- EDN: https://elibrary.ru/GJESWY
- ID: 136077
Cite item
Full Text
Abstract
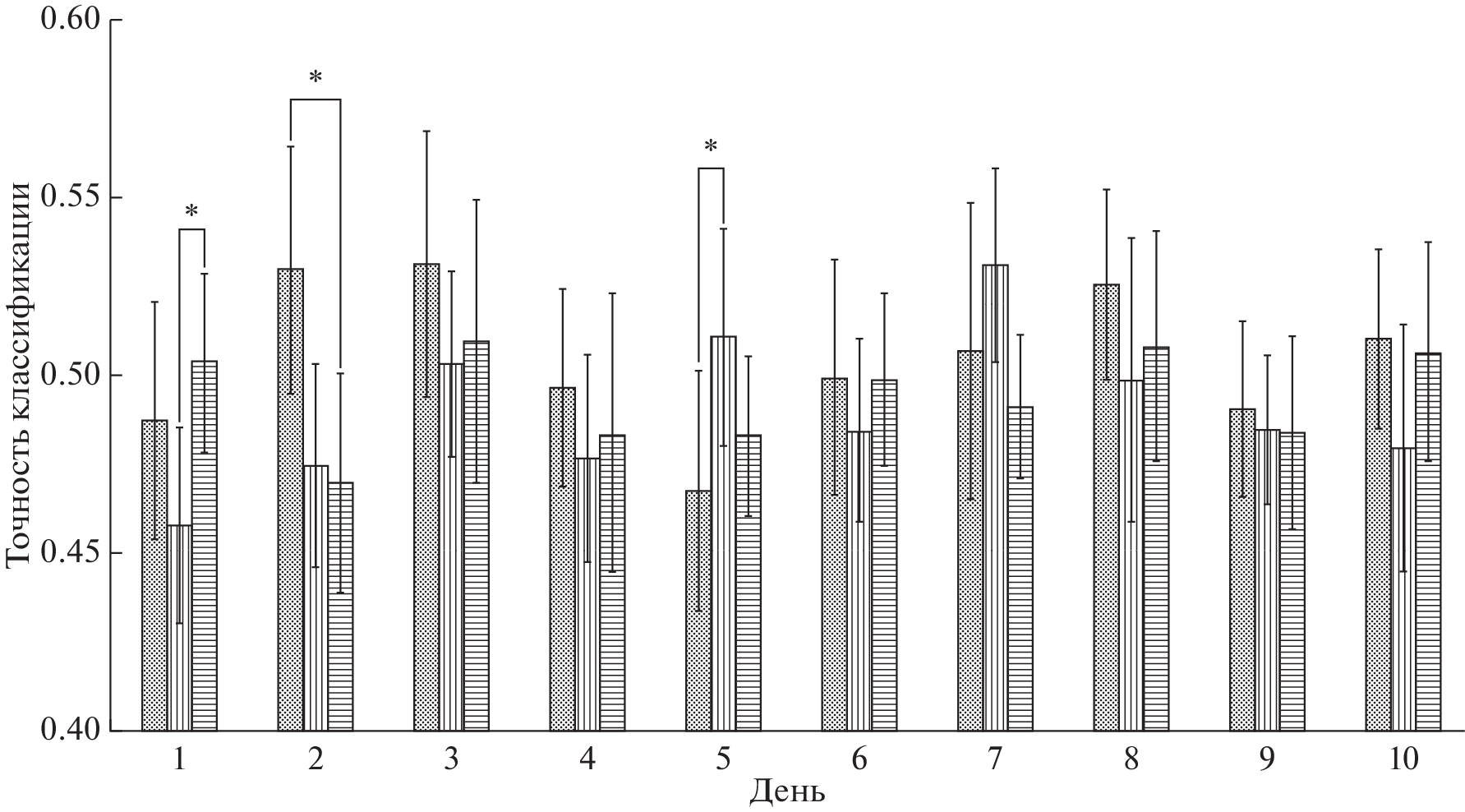
The effectiveness of brain-computer interface (BCI) control and the success of imagination of movement of the upper and lower extremities were evaluated by the accuracy of recognition of EEG signals (classification accuracy) when imagining movements of the hands, feet and locomotion during 10-day training of 10 volunteers. Averaged data of all the volunteers revealed, that, on the first day of training, the classification accuracy is higher when imagining locomotion than foot movements, on the second day – hands than locomotion, on the fifth day – feet than hands. The average values of classification accuracy when imagining movements of the hands and feet increase by the 3rd day of training, further changes are specific depending on which movement is imagined. When learning the imagination of locomotion, the accuracy of classification does not significantly change. An assessment of the dynamics of individual changes in the accuracy of classification according to linear trends showed that in three participants, training led to an increase in the accuracy of classification (of the hand movements and locomotion – in one subject, of feet – in two subjects); in other three participants – to decrease (of the movements of the hands and locomotion – in one subject, of the locomotion – in the second subject, of feet – in the third). The four participants, as well as the sample average, had no significant changes. The results are discussed in terms of changes in the activity of brain structures during learning and depending on the type of imaginary movements.
About the authors
E. V. Bobrova
Pavlov Institute of Physiology, Russian Academy of Sciences
Author for correspondence.
Email: eabobrovy@gmail.com
Russia, St. Petersburg
V. V. Reshetnikova
Pavlov Institute of Physiology, Russian Academy of Sciences
Email: eabobrovy@gmail.com
Russia, St. Petersburg
E. A. Vershinina
Pavlov Institute of Physiology, Russian Academy of Sciences
Email: eabobrovy@gmail.com
Russia, St. Petersburg
A. A. Grishin
Pavlov Institute of Physiology, Russian Academy of Sciences
Email: eabobrovy@gmail.com
Russia, St. Petersburg
M. R. Isaev
Institute of Higher Nervous Activity and Neurophysiology, Russian Academy of Sciences; Institute of Higher Nervous Activity and Neurophysiology, Russian Academy of Sciences
Email: eabobrovy@gmail.com
Russia, Moscow; Russia, Moscow
P. D. Bobrov
Institute of Higher Nervous Activity and Neurophysiology, Russian Academy of Sciences; Institute of Higher Nervous Activity and Neurophysiology, Russian Academy of Sciences
Email: eabobrovy@gmail.com
Russia, Moscow; Russia, Moscow
Yu. P. Gerasimenko
Pavlov Institute of Physiology, Russian Academy of Sciences
Email: eabobrovy@gmail.com
Russia, St. Petersburg
References
- Бернштейн Н.А. О ловкости и ее развитии. М.: Медицина, 1996. 229 с.
- Бобров П., Коршаков А., Рощин В., Фролов А. Байесовский подход к реализации интерфейса мозг-компьютер, основанного на представлении движений. Журнал высш. нервн. деят. им. И.П. Павлова. 2012. 62 (1): 89–89.
- Боброва Е.В., Решетникова В.В., Фролов А.А., Герасименко Ю.П. Воображение движений нижних конечностей для управления системами “интерфейс мозг–компьютер”. Журнал высш. нервн. деят. им. И.П. Павлова. 2019. 69(5): 529–540.
- Боброва Е.В., Решетникова В.В., Вершинина Е.А., Гришин А.А., Фролов А.А., Герасименко Ю.П. Межполушарная асимметрия и личностные характеристики пользователя мозг-компьютерного интерфейса при воображении движений рук. ДАН. 2020. 495 (1): 558–561.
- Решетникова В.В., Боброва Е.В., Вершинина Е.А., Гришин А.А., Фролов А.А., Герасименко Ю.П. Зависимость успешности воображения движений правой и левой руки от личностных характеристик пользователей. Журнал высш. нервн. деят. им. И.П. Павлова. 2021. 71 (6): 830–839.
- Столбков Ю.К., Герасименко Ю.П. Когнитивная двигательная реабилитация: воображение и наблюдение моторных действий. Физиология человека. 2021. 47 (1): 123–132.
- Столбков Ю.К., Мошонкина Т.Р., Орлов И.В., Козловская И.Б., Герасименко Ю.П. Воображаемые движения как средство совершенствования и реабилитации моторных функций. Успехи физиологических наук. 2018. 49 (2): 45–59.
- Batula A.M., Mark J.A., Kim Y.E., Ayaz H. Comparison of Brain Activation during Motor Imagery and Motor Movement Using fNIRS. Comput Intell Neurosci. 2017. 2017: 5491296.
- Bobrov P.D., Biryukova E.V., Polyaev B.A., Lajsheva O.A., Usachjova E.L., Sokolova A.V., Mikhailova D.I., Dement’eva K.N., Fedotova I.R. Rehabilitation of patients with cerebral palsy using hand exoskeleton controlled by brain-computer interface. Bulletin of RSMU. 2020. 4: 33–40.
- Bobrova E.V., Reshetnikova V.V., Vershinina E.A., Grishin A.A., Bobrov P.D., Frolov A.A., Gerasimenko Y.P. Success of Hand Movement Imagination Depends on Personality Traits, Brain Asymmetry, and Degree of Handedness. Brain Sciences. 2021. 11: 853.
- Bobrova E.V., Reshetnikova V.V., Vershinina E.A., Grishina A.A., Frolov A.A., Gerasimenko Yu.P. Interhemispheric Asymmetry and Personality Traits of Brain–Computer Interface Users in Hand Movement Imagination. Doklady Biological Sciences. 2020. 495: 265–267.
- Buch E., Weber C., Cohen L.G., Braun C., Dimyan M.A., Ard T., Mellinger J., Caria A., Soekadar S., Fourkas A., Birbaumer N. Think to Move: a Neuromagnetic Brain-Computer Interface (BCI) System for Chronic Stroke. 2008. 39: 910–917.
- Dornhege G., Blankertz B., Curio G., Müller K.-R. Increase information transfer rates in BCI by CSP extension to multi-class. Advances in neural information processing systems. 2003. 4: 733-740.
- Corsi M.-C., Chavez M., Schwartz D., George N., Hugueville L., Kahn A., Dupont S., Bassett D., Fallani F.D.V. Looking for cortical patterns of successful motor imagery-based BCI learning. 8th Graz Brain-Computer Interface Conference 2019.
- Doyon J. Skill learning. The cerebellum and cognition. Ed. Schmahmann J.D. San Diego: Academic Press, 1997. 273–294 pp.
- Doyon J., Ungerleider L.G. Functional anatomy of motor skill learning. Neuropsychology of Memory. Eds. Squire L.R., Schacter D.L. Guilford: New York, 2002. 225–238 pp.
- Floyer-Lea A., Matthews P. Changing brain networks for visuomotor control with increased movement automaticity. J. Neuro- physiol. 2004. 92: 2405–2412.
- Frolov A.A., Mokienko O., Lyukmanov R., Biryukova E., Kotov S., Turbina L., Nadareyshvily G., Bushkova Y. Post-stroke Rehabilitation Training with a Motor-Imagery-Based Brain-Computer Interface (BCI)-Controlled Hand Exoskeleton: A Randomized Controlled Multicenter Trial. Front Neurosci. 2017. 11: 400.
- Guillot A., Rienzo F.D., Collet C. The Neurofunctional Architecture of Motor Imagery. Advanced Brain Neuroimaging Topics in Health and Disease. Eds. Papageorgiou T.D., Christopoulos G.I., Smirnakis S.M. London: IntechOpen, 2014. Chapter 16.
- Irimia D.C., Ortner R., Poboroniuc M.S., Ignat B.E., Guger C. High Classification Accuracy of a Motor Imagery Based Brain-Computer Interface for Stroke Rehabilitation Training. Front. Robot. AI. 2018. 5: 130.
- Jeunet C., N’Kaoua B., Subramanian S., Hachet M., Lotte F. Predicting Mental Imagery-Based BCI Performance from Personality, Cognitive Profile and Neurophysiological Patterns. PLOS ONE. 2015. 10 (12): e0143962.
- Karni A. The acquisition of perceptual and motor skills: A memory system in the adult human cortex. Cognitive Brain Research. 1996. 5: 39–48.
- Khan M.A., Das R., Iversen H.K., Puthusserypady S. Review on motor imagery based BCI systems for upper limb post-stroke neurorehabilitation: From designing to application. Computers in Biology and Medicine. 2020. 123: 103843.
- Krakauer J., Hadjiosif A., Xu J, Wong A., Haith A. Motor Learning. Compr Physiol. 2019. 9 (2): 613–663.
- Kruse A., Suica Z., Taeymans J., Schuster-Amft C. Effect of brain-computer interface training based on non-invasive electroencephalography using motor imagery on functional recovery after stroke – a systematic review and meta-analysis. BMC Neurol. 2020. 20: 385.
- la Fougère C., Zwergal A., Rominger A., Förster S., Fesl G., Dieterich M., Brandt T., Strupp M., Bartenstein P., Jahn K. Real versus imagined locomotion: a [18F]-FDG PET-fMRI comparison. Neuroimage. 2010. 50 (4):1589-98.
- Lafleur M.F., Jackson P.L., Malouin F., Richards C.L., Evans A.C., Doyon J. Motor Learning Produces Parallel Dynamic Functional Changes during the Execution and Imagination of Sequential Foot Movements. NeuroImage. 2020. 16 (1): 142–157.
- Lotte F., Bougrain L., Cichocki A., Clerc M., Congedo M., Rakotomamonjy A., Yger F. A review of classification algorithms for EEG-based brain–computer interfaces: a 10 year update. Journal of neural engineering. 2018. 15 (3): 1–54.
- Mrachacz-Kersting N., Jiang N., Stevenson A.J.T., Niazi I.K., Kostic V., Pavlovic A., Radovanovic S., Djuric-Jovicic M., Agosta F., Dremstrup K. Efficient neuroplasticity induction in chronic stroke patients by an associative brain-computer interface. Journal of Neurophysiology. 2016. 115 (3): 1410–1421.
- Middleton F.A., Strick P.L. Cerebellar output channels. International Review of Neurobiology. 1997. 41: 61–82.
- Müller-Putz G.R., Pokorny C., Klobassa D.S., Horki P. A single-switch BCI based on passive and imagined movements: toward restoring communication in minimally conscious patients. International Journal of Neural Systems. 2013. 23 (02): 1250037.
- Perdikis S., Tonin L., Saeedi S., Schneider C., Millán Jd.R. The Cybathlon BCI race: Successful longitudinal mutual learning with two tetraplegic users. PLOS Biology. 2018. 16 (5): e2003787.
- Prasad G., Herman P., Coyle D., McDonough S., Crosbie J. Applying a brain-computer interface to support motor imagery practice in people with stroke for upper limb recovery: a feasibility study. J NeuroEngineering Rehabil. 2010. 7: 60.
- Qiu Z., Chen S., Daly I., Jia J., Wang X., Jin J. BCI-Based Strategies on Stroke Rehabilitation with Avatar and FES Feedback. ArXiv. 2018. abs/1805.04986.
- Ritter F.E., Schooler L.J. The learning curve. In International encyclopedia of the social and behavioral sciences. Eds. Kintch W., Smelser N., Baltes P. Amsterdam: Pergamon, 2001. 8602–8605 pp.
- Sanes J.N., Donoghue J.P. Plasticity and primary motor cortex. Annual Review of Neuroscience. 2000. 23: 393–415.
- Stieger J.R., Engel S., Jiang H., Cline C.C., Kreitzer M.J., He B. Mindfulness Improves Brain Computer Interface Performance by Increasing Control over Neural Activity in the Alpha Band. bioRxiv. 2020. 04.13.039081
- Yi W., Qiu S., Qi H., Zhang L., Wan B., Ming D. EEG feature comparison and classification of simple and compound limb motor imagery. J NeuroEngineering Rehabil. 2013. 10: 106.
Supplementary files




