PALLAS’ SPADEFOOT, PELOBATES VESPERTINUS (PALLAS 1771) (AMPHIBIA, PELOBATIDAE), THE SECOND AMPHIBIAN SPECIES TO TOLERATE EXTREME HYPOXIA
- Authors: Berman D.I.1, Bulakhova N.A.1, Meshcheryakova E.N.1,2, Rogulenko .V.3, Shishikina K.I.1
-
Affiliations:
- Institute of Biological Problems of the North, Far East Branch, Russian Academy of Sciences
- Institute of Cytology and Genetics, Siberian Branch, Russian Academy of Sciences
- Ugra National Park
- Issue: Vol 102, No 9 (2023)
- Pages: 1028-1045
- Section: ARTICLES
- URL: https://medbiosci.ru/0044-5134/article/view/136834
- DOI: https://doi.org/10.31857/S0044513423090040
- EDN: https://elibrary.ru/RXNUQG
- ID: 136834
Cite item
Full Text
Abstract
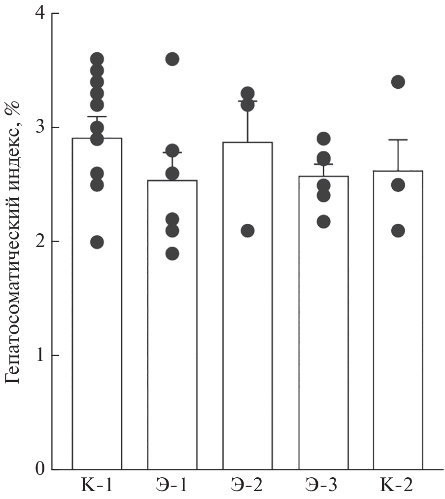
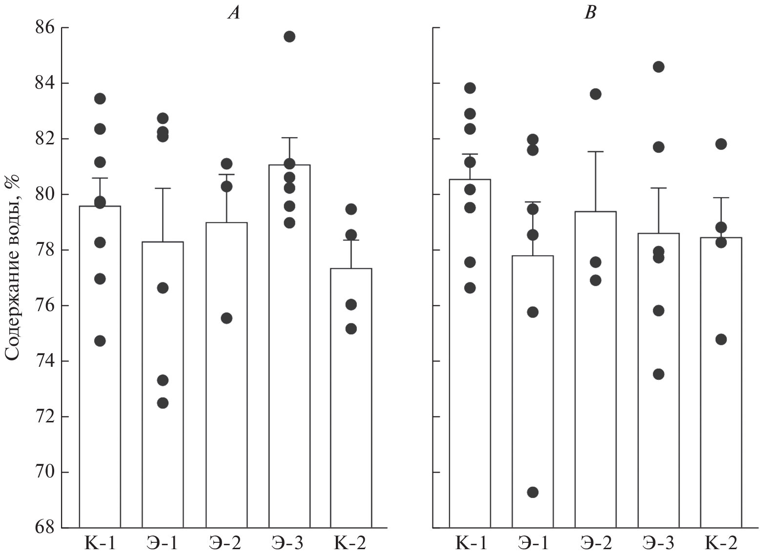
Pallas’ spadefoot is a Eurasian species of amphibian that winters for about half a year at a depth to 200 cm, always below the level of freezing, since it does not survive negative temperatures. However, significantly digging into the soil can cause oxygen deficiency. The minimum sufficient for a long-term existence of Pelobates vespertinus and the lethal oxygen content in the air were revealed, as well as metabolic pathways were evaluated under the conditions of normoxia and hypoxia in laboratory experiments. Beside this, the seasonal dynamics of temperatures and oxygen concentrations in sandy loam soils at different depths were determined in a typical wintering biotope of the species (the Oka River valley). Animals have been found to be capable of withstanding a tenfold decrease in oxygen content in soils compared to atmospheric oxygen for more than two months, thereby remaining quite active. When the concentration is decrease 20 times (up to 1%), a state of coma occurs, which is reversible if it lasts not more than a day. This shows a high degree of resistance of the species to stress resulting from reoxygenation and staying in an environment with variable oxygen levels. Thus, P. vespertinus is the second amphibian species following the Siberian frog (Rana amurensis), which can tolerate its complete absence for a long time (several months). Compared to body weight, the spadefoot has small storage organs (fat bodies and liver) and a low content of reserve substances (lipids and glycogen) in tissues, which are usually consumed at a low rate in normoxia at 3°C. During hypoxia, lipid utilisation is suspended and glycogen consumption is increased, indicating a shift from aerobic to predominantly anaerobic metabolism. The cumulative effect of reduced metabolism due to low temperature (3°C) and the activation of glycolysis due to the lack of oxygen provides a high level of resistance to hypoxia, distinguishing Pallas’ spadefoot from other swarming amphibian species studied. The oxygen content in the ground air of typical places at wintering depths (in sandy massifs) is shown to coincide with the atmospheric oxygen. The ubiquitous choice by the species of wintering areas with loose soils is assumed to be associated not with their excellent aeration, but rather with the ease of digging. The results obtained seem to be promising for using the study spadefoot (and possibly other species of the spadefoot genus, as well as burrowing toads) as model for exploring the adaptations to air oxygen deficiency.
About the authors
D. I. Berman
Institute of Biological Problems of the North, Far East Branch, Russian Academy of Sciences
Author for correspondence.
Email: dber@yandex.ru
Russia, 685000, Magadan
N. A. Bulakhova
Institute of Biological Problems of the North, Far East Branch, Russian Academy of Sciences
Author for correspondence.
Email: sigma44@mail.ru
Russia, 685000, Magadan
E. N. Meshcheryakova
Institute of Biological Problems of the North, Far East Branch, Russian Academy of Sciences; Institute of Cytology and Genetics, Siberian Branch, Russian Academy of Sciences
Author for correspondence.
Email: kameshky@mail.ru
Russia, 685000, Magadan; Russia, 630090, Novosibirsk
A. V. Rogulenko
Ugra National Park
Author for correspondence.
Email: kameshky@mail.ru
Russia, 248003, Kaluga
K. I. Shishikina
Institute of Biological Problems of the North, Far East Branch, Russian Academy of Sciences
Author for correspondence.
Email: kameshky@mail.ru
Russia, 685000, Magadan
References
- Алексеев С.К., Рогуленко А.В., Корзиков В.А., 2011. Результаты учетов земноводных в районе озера Тишь в 2010 году // Природа и история Поугорья. Вып. 6. Калуга: Ноосфера. С. 121–124.
- Банников А.Г., Денисова М.Н., 1956. Очерки по биологии земноводных. М.: Учпедгиз. 168 с.
- Берман Д.И., Алфимов А.В., Булахова Н.А., 2020. Игра в карты, или почему чесночница Палласа не идет на восток // Природа. № 11. С. 22–36.
- Берман Д.И., Булахова Н.А., 2019. Граница на заморе, или что не пускает травяную лягушку из Европы в Азию // Природа. №7.С. 12–26.
- Берман Д.И., Булахова Н.А., Балан И.В, 2017. Самая сибирская лягушка // Природа. № 8. С 3–14.
- Боркин Л.Я., Литвинчук С.Н., Мильто К.Д., Розанов Ю.М., Халтурин М.Д., 2001. Криптическое видообразование у Pelobates fuscus (Amphibia, Pelobatidae): цитометрические и биохимические доказательства // Доклады РАН. Т. 376. № 5. С. 707–709.
- Бородина А.В., Солдатов А.А., 2019. Влияние аноксии на содержание и состав каротиноидов в тканях двустворчатого моллюска-вселенца Anadara kagoshimensis (Tokunaga, 1906) // Российский журнал биологических инвазий. Т. 12. № 3. С. 2–12.
- Брем А.Э., 1895. Жизнь животных. Т. 7. Пресмыкающиеся. Земноводные. С.-Петербург: Издательство высочайше утвержденного товарищества “Общественная польза” и Ко. 835 с.
- Взаимодействие почвенного и атмосферного воздуха, 1985. М.: Изд-во Моск. ун-та. 107 с.
- Гаель А.Г., Смирнова Л.Ф., 1999. Пески и песчаные почвы. М.: ГЕОС. 252 с.
- Гаранин В.И., 1983. Земноводные и пресмыкающиеся Волжско-Камского края. М.: Наука. 175 с.
- Дебело П.В., Чибилев А.А., 2013. Амфибии и рептилии Урало-Каспийского региона. Серия: Природное разнообразие Урало-Каспийского региона. Т. III. Екатеринбург: УрО РАН. 400 с.
- Емельянов А.А., 2018. Амфибии и рептилии Советского Дальнего Востока. Владивосток: Дальнаука. 416 с.
- Ермохин М.В., Табачишин В.Г., Иванов Г.А., Богословский Д.С., 2013. Особенности размещения чесночницы обыкновенной (Pelobates fuscus) в почвенном профиле в начале зимовки в долине р. Медведица // Современная герпетология. Т. 13. Вып.1/2. С. 22–26.
- Искакова К., 1959. Земноводные Казахстана. Алма-Ата: Изд-во Акад. наук Каз. ССР. 92 с.
- Литвинчук С.Н., Розанов Ю.М., Боркин Л.Я., Скоринов Д.В., 2008. Молекулярно-биохимические и цитогенетические аспекты микроэволюции у бесхвостых амфибий фауны России и сопредельных стран // Вопросы герпетологии. Материалы Третьего съезда Герпетологического общества им. А.М. Никольского 9–13 октября 2006 г. Пущино-на-Оке. Санкт-Петербург. С. 247–257.
- Решетникова Н.М., Шмытов А.А., Крылов А.В., 2011. Уникальный природный комплекс “Толстова гора” и озеро Тишь // Природа и история Поугорья. Вып. 6. Калуга: Ноосфера. С. 27–39.
- Северин С.Е., Соловьева Г.А., 1989. Практикум по биохимии. М.: Изд-во МГУ. 509 с.
- Смагин А.В., 2005. Газовая фаза почв. М.: Изд-во Моск. ун-та. 301 с.
- Смагин А.В., Садовникова Н.Б., Глаголев М.В., Кириченко А.В., 2006. Новые инструментальные методы и портативные электронные средства контроля экологического состояния почв и сопредельных сред // Экологический вестник Северного Кавказа. Т. 2. № 1. С. 5–16.
- Andreyeva A.Y., Soldatov A.A., Skverchinskaya E.A., Gambaryan S., Mindukshev I.V., 2018. Hipoxia inhibits the regulatory volume decrease in red blood cells of common frog (Rana temporaria) // Comparative Biochemistry and Physiology. Part A: Molecular & Integrative Physiology. T. 219–220. C. 44–47.
- Armentrout D., Rose F.L., 1971. Some physiological responses to anoxia in the Great Plains toad, Bufo cognatus // Camparative Biochemistry and Physiology. V. 39. № 3. P. 447–455.
- Berman D.I., Bulakhova N.A., Meshcheryakova E.N., 2019. The Siberian wood frog survives for months underwater without oxygen // Scientific Reports. V. 9. 13594.
- Berman D.I., Bulakhova N.A., Mesheryakova E.N., Yermokhin M.V., Tabachishin V.G., 2019a. Cold-hardiness of the common spadefoot Pelobates fuscus (Pelobatidae, Anura, Amphibia) // Cryo Letters. V. 40. № 5. P. 284–290.
- Bickler P.E., Buck L.T., 2007. Hypoxia tolerance in reptiles, amphibians, and fishes: life with variable oxygen availability // Annual Review of Physiology. V. 69. P. 145–170.
- Boutilier R.G., 2001. Mechanisms of metabolic defense against hypoxia in hibernating frogs // Respiration Physiology. V. 128. P. 365–377.
- Boutilier R.G., Donohoe P.H., Tattersall G.J., West T.G., 1997. Hypometabolic homeostasis in overwintering aquatic amphibians // Journal of Experimental Biology. V. 200. P. 387–400.
- Bradford D.F., 1983. Winterkill oxygen relations and energy metabolism of a submerged dormant amphibian, Rana muscosa // Ecology. V. 64. P. 1171–1183.
- Bulakhova N.A., Alfimov A.V., Berman D.I., 2020. The eastern boundary of the geographic range of the Pallas’ spadefoot Pelobates vespertinus (Anura, Amphibia) is limited by overwintering temperatures // Herpetozoa. V. 33. P. 171–175.
- Bulakhova N.A., Meshcheryakova E.N., Berman D.I., 2023. Pallas’ spadefoot Pelobates vespertinus (Pelobatidae, Amphibia) tolerates extreme hypoxia // The European Zoological Journal. V. 90. № 1. P. 431–442.
- Bulakhova N., Shishikina K., 2022. Pre-hibernation energy reserves and their consumption during freezing in the moor frog Rana arvalis in Siberia // European Zoological Journal. V. 89. № 1. P. 556–567.
- Bush F.M., 1963. Effects of light and temperature on the gross composition of the toad, Bufo fowleri // Journal of Experimental Zoology. V. 153. № 1. P. 1–13.
- Canal J., Delattre J., Girard M.L., 1972. Acquisitions nouvelles dans le dosage des lipides totaux du serum: description d’une methode nephelemetrique. Part 1. Technique manuelle // Annales de Biologie Clinique. V. 30. P. 325–332.
- Carvalho J.E., Navas C.A., Pereira I.C., 2010. Energy and water in aestivating amphibians // Aestivation. V. 49. P. 141–169.
- Chew S.F., Chan N.K., Loong A.M., Hiong K.C., Tam W.L., Ip Y.K., 2004. Nitrogen metabolism in the African lungfish (Protopterus dolloi) aestivating in a mucus cocoon on land // Journal of Experimental Biology. V. 207. P. 777–786.
- Costanzo J.P., Lee R.E.Jr., 1993. Cryoprotectant production capacity of the freeze-tolerant wood frog, Rana sylvatica // Canadian Journal of Zoology. V. 71. P. 71–75.
- Dufresnes C., Strachinis I., Tzoras E., Litvinchuk S.N., Denoël M., 2019. Call a spade a spade: taxonomy and distribution of Pelobates, with description of a new Balkan endemic // ZooKeys. V. 859. P. 131–158.
- Feder M.E., Burggren W.W., 1992. Environmental physiology of the amphibians. Chicago: University of Chicago Press. 646 p.
- Gamperl A.K., Milsom W.K., Farrell A.P., Wang T., 1999. Cardiorespiratory responses of the toad (Bufo marinus) to hypoxia at two different temperatures // Journal of Experimental Biology. V. 202. P. 3647–3658.
- Gehlbach F.R., Gordon R., Jordan J.B., 1973. Aestivation of the salamander, Siren intermedia // American Midland Naturalist. V. 89. P. 455–463.
- Hochachka P.W., Guppy M., 1987. Metabolic arrest and the control of biological time. Cambridge: Harvard University Press.
- Hong S.K., Park C.S., Park Y.S., Kim I.K., 1968. Seasonal changes of antiuretic hormone action on sodium transport across frog skin // American Journal of Physiology. V. 215. P. 439–443.
- Issartel J., Hervant F. de Fraipont M., Clobert J., Voituron Y., 2009. High anoxia tolerance in the subterranean salamander Proteus anguinus without oxidative stress nor activation of antioxidant defenses during reoxygenation // Journal of Comparativa Physiology B. V. 179. P. 543–551.
- Ivan M., Kondo K., Yang H., Kim W., Valiando J., Ohh M., Salic A., Asara J.M., Lane W.S., Kaelin Jr. W.G., 2001. HIFa targeted for VHL-mediated destruction by proline hydroxylation: Implications for O2 sensing // Science. V. 292. P. 464–468.
- Jaakkola P., Mole D.R., Tian Y.-M., Wilson M.I., Gielbert J., Gaskell S.J., von Kriegsheim A., Heberstreit H.F., Mukherji M., Schofield C.J., Maxwell P.H., Pugh C.W., Ratcliffe P.J., 2001. Targeting of HIF-α to the von Hippel-Lindau ubiquitylation complex by O2-regulated prolyl hydroxylation // Science. V. 292. P. 468–472.
- Kato K., 1910. Uber das verhalten des glykogenes im eierstocke der frosche zu den verschiedenen jahreszeiten // Pflügers Archiv European Journal of Physiology. V. 132. P. 545–579.
- Koskela P., Pasanen S., 1975. Effect of thermal acclimation on seasonal liver and muscle glycogen content in the common frog, Rana temporaria L // Comparative Biochemistry and Physiology. Part A: Physiology. V. 50A. P. 723–727.
- Kruhøffer M., Glass M.L., Abe A.S., Johansen K., 1987. Control of breathing in an amphibian, Bufo paracnemius: effects of temperature and hypoxia // Respiration Physiology. V. 69. P. 267–275.
- Lavelle P., Spain A.V., 2001. Soil ecology. New York-Boston-Dordrecht-London-Moscow: Kluwer Academic Publishers. 654 p.
- Litvinchuk S.N., Crottini A., Federici S., De Pous P., Donaire D., Andersone F., Kalezić M.L., Džukić G., Lada G.A., Borkin L.J., Rosanov J.M., 2013. Phylogeographic patterns of genetic diversity in the common spadefoot toad, Pelobates fuscus (Anura: Pelobatidae), reveals evolutionary history, postglacial range expansion and secondary contact // Organisms Diversity and Evolution. V. 13. P. 433–451.
- Maxwell P.H., Wiesener M.S., Chang G.-W., Clifford S.C., Vaux E.C., Cockman M.E., Wykoff C.C., Pugh C.W., Maher E.R., Ratcliffe P.J., 1999. The tumour suppressor protein VHL targets hypoxia-inducible factors for oxygen-dependent proteolysis // Nature. V. 399. P. 271–275.
- McAneney J., Gheshmy A., Uthayalingam S., Reid S.G., 2006. Chronic hypoxia modulates NMDA-mediated regulation of the hypoxic ventilatory response in an amphibian, Bufo marinus // Respiratory Physiology & Neurobiology. V. 153. № 1. P. 23–38.
- McClanahan L.Jr., 1967. Adaptations of the spadefoot toad, Scaphiopus couchi, to desert environments // Comparative Biochemistry and Physiology. V. 20. P. 73–99.
- Navas C.A., Carvalho J.E., 2010. Aestivation. Molecular and Physiological Aspects. London-New York: Springer. 268 p.
- Pasanen S., Koskela P., 1974. Seasonal and age variation in the metabolism of the common frog, Rana temporaria L, in northern Finland // Comparative Biochemistry and Physiology A. V. 47A. P. 635–654.
- Pinder A.W., Storey K.B., Ultsch G.R., 1992. Estivation and hibernation // Environmental Physiology of the Amphibians. Feder M.E., Burggren W.W. (Eds). Illinois: University of Chicago Press. P. 250–274.
- Pörtner H.O., MacLatchy L.M., Toews D.P., 1991. Metabolic responses of the toad Bufo marinus to environmental hypoxia: An analysis of the critical Po2 // Physiological Zoology. V. 64. № 2. P. 836–849.
- Rossi G.S., Cramp R.L., Wright P.A., Franklin C.E., 2020. Frogs seek hypoxic microhabitats that accentuate metabolic depression during dormancy // Journal of Experimental Biology. V. 223. jeb218743.
- Rossi G.S., Wright P.A., 2020. Hypoxia-seeking behaviour, metabolic depression, and skeletal muscle function in an amphibious fish out of water // Journal of Experimental Biology. V. 223. jeb213355.
- Ruibal R., Tevis L.J., Roig V., 1969. The terrestrial ecology of the spadefoot toad Scaphiopus hammondii // Copeia. V. 3. P. 571–584.
- Savage R.M., 1942. The Burrowing and Emergence of the Spade-Foot Toad, Pelobates fuscus fuscus Wagler // Journal of Zoology. V. A 112. P. 21–35.
- Semenza G.L., Nejfelt M.K., Chi S.M., Antonarakis S.E., 1991. Hypoxia-inducible nuclear factors bind to an enhancer element located 3’ to the human erythropoietin gene // Proceedings of the National Academy of Sciences of the United States of America. V. 88. P. 5680–5684.
- Seymour R.S., 1973. Energy metabolism of dormant spadefoot toads (Scaphiopus) // Copeia. V. 1973. № 3. P. 435–445.
- Shekhovtsov S.V., Bulakhova N.A., Tsentalovich Y.P., Zelentsova E.A., Yanshole L.V., Meshcheryakova E.N., Berman D.I., 2020. Metabolic response of the Siberian wood frog Rana amurensis to extreme hypoxia // Scientific Reports. V. 10, 14604.
- Smith C.L., 1950. Seasonal changes in blood sugar, fat bodies, liver glycogen and gonads in the common frog (Rana temporaria) // Journal of Experimental Biology. V. 26. № 4. P. 412–429.
- Tarnoky K., Nagy S. 1963. Spectrophotometric determination of glycogen with o-toluidine // Clinica Chimica Acta. V. 8. P. 627–628.
- Tracy C.R., Reynolds S.J., McArthur L., Christian K.A., 2007. Ecology of aestivation in a cocoonforming frog, Cyclorana australis (Hylidae) // Copeia. V. 4. P. 901–912.
- Tattersall G.J., Ultsch G.R., 2008. Physiological ecology of aquatic overwintering in ranid frogs // Biological Reviews. V. 83. P. 119–140.
- Ultsch G.R., Anderson J.F., 1986. The Respiratory microenvironment within the burrows of gopher tortoises (Gopherus polyphemus) // Copeia. V. 1986. № 3. P. 787–795.
- van Beurden E.K., 1980. Energy metabolism of dormant Australian water-holding frogs (Cyclorana platycephalus) // Copeia. V. 1980. P. 787–799.
- Wang G.L., Jiang B.H., Rue E.A., Semenza G.L., 1995. Hypoxia-inducible factor 1 is a basic-helix-loop-helix-PAS heterodimer regulated by cellular O2 tension // Proceedings of the National Academy of Sciences of the United States of America. V. 92. № 12. P. 5510–5514.
- Wang T., Luiz G.S., Branco and Mogens L. Glass., 1994. Ventilatory responses to hypoxia in the toad bufo paracnemis before and after a decrease in haemoglobin oxygen-carrying capacity // Journal of Experimental Biology. V. 186.
- Wells K.D., 2007. The ecology and behavior of amphibians. Chicago: University of Chicago Press. 1400 p.
- Withers P.C., 1978. Models of diffusion-mediated gas exchange in animal burrows // American Naturalist. V. 112. № 988. P. 1101–1112.
- Withers P.C., Richards S.J., 1995. Cocoon formation by the tree frog Litoria alboguttata (Amphibia: Hylodae). A waterproof taxonomic tool // Journal of the Royal Society of Western Australia Royal Society of Western Australia. V. 78. P. 103–106.
- Withers P.C., Thompson G.G., 2000. Cocoon formation and metabolic depression by the aestivating hylid frogs Cyclorana australis and Cyclorana cultripes (Amphibia: Hylidae) // Journal of the Royal Society of Western Australia Royal Society of Western Australia. V. 83. P. 39–40.
- Wood S., Malvin G. 1991. Physiological significance of behavioral hypothermia in hypoxic toads (Bufo marinus) // Journal of Experimental Biology. V. 159. P. 203–215.
Supplementary files









