Изменение магнитных характеристик труб при гидро- и пневмоиспытаниях магистральных трубопроводов
- Авторы: Мызнов К.Е.1, Василенко О.Н.1, Костин В.Н.1, Тронза В.С.2, Бондина А.Н.2, Кукушкин С.С.2, Трякина Н.Ю.2
-
Учреждения:
- Институт физики металлов имени М.Н. Михеева УрО РАН
- ООО «Газпром трансгаз Екатеринбург»
- Выпуск: № 7 (2024)
- Страницы: 67-71
- Раздел: По материалам XXXV Уральской конференции «Физические методы неразрушающего контроля (Янусовские чтения)»
- URL: https://medbiosci.ru/0130-3082/article/view/262269
- DOI: https://doi.org/10.31857/S0130308224070082
- ID: 262269
Цитировать
Полный текст
Аннотация
Для выявления зон с наибольшими растягивающими напряжениями и деформациями применен двухпараметровый магнитный метод, основанный на измерении коэрцитивной силы и остаточной магнитной индукции. Для реализации этого метода использовалась мобильная аппаратно-программная система DIUS-1.21M при расположении электромагнитного П-образного преобразователя вдоль оси трубы и по кольцу трубы. Измерения проводились на трех трубах: в первой магнитные характеристики измерялись при отсутствии и при воздействии внутреннего давления; во второй и третьей — до испытания и после разрушения трубы. Выявлено, что внутреннее давление приводит к росту остаточной магнитной индукции во всех зонах как по оси, так и по кольцу, что говорит о возникновении осевых и кольцевых растягивающих напряжений в этих зонах, а изменение коэрцитивной силы произошло неоднозначно. Определено, что разрушение значительно усиливает разброс магнитных характеристик, что объясняется сложным характером напряженно-деформированного состояния разрушенного объекта.
Полный текст
ВВЕДЕНИЕ
Оценка напряженно-деформированного состояния действующих трубопроводов является важной и давно изучаемой проблемой [1—4]. Напряженно-деформированное состояние каждой единицы объема трубы можно описать двумя составляющими тензора механических напряжений: осевой и кольцевой. Основным фактором, вызывающим кольцевые напряжения в действующем трубопроводе, является внутреннее давление [5, 6]. Большие кольцевые напряжения могут привести к разрушению объекта, особенно при присутствии в стенке трубы дефекта. Поэтому существует необходимость в определении местоположения наиболее опасных концентраторов напряжений в трубе при действии в ней внутреннего давления [1, 7].
Цель работы — определить взаимосвязь магнитных характеристик с напряженно-деформированным состоянием участков магистральных трубопроводов при гидро- и пневмоиспытаниях.
ОБЪЕКТЫ КОНТРОЛЯ И МЕТОДИКА ИЗМЕРЕНИЙ
Гидроиспытания проводились на двух изначально одинаковых трубах из стали класса прочности К80 (Х100) с внешним диаметром 1220 мм и толщиной стенки 20 мм. На первой трубе измерения проводились до испытания без давления и при давлении 20 кгс/см2, которое вызывало напряжения, не превышающие предел упругости. Во второй трубе был создан искусственный дефект (типа надрез) продольного шва посередине трубы (сеч. 2 на рис. 1 и 2). На этой трубе проводились гидроиспытания вплоть до разрыва, а измерения магнитных характеристик проводились до испытания и после разрыва.
Рис. 1. Распределение коэрцитивной силы по трубе до гидроиспытания (а, в) и во время гидроиспытания (б, г), измеренной по оси (а, б) и по кольцу (в, г); × — точки, в которых проводились измерения.
Рис. 2. Распределение остаточной магнитной индукции по трубе до гидроиспытания (а, в) и во время гидроиспытания (б, г), измеренной по оси (а, б) и по кольцу (в, г); × — точки, в которых проводились измерения.
Пневмоиспытание проводилось на трубе из стали класса прочности К70 с внешним диаметром 1440 мм и толщиной стенки 36 мм, на которой по продольному сварному шву был создан надпил глубиной в половину толщины стенки.
Магнитные измерения проводились с помощью мобильной аппаратно-программной системы DIUS-1.21M [8]. При измерении магнитных характеристик прибор устанавливался на внешнюю поверхность объекта контроля таким образом, чтобы перемагничивание и измерение происходило вдоль направления хода трубы (по оси) и поперек хода трубы (по кольцу).
Зоны контроля первой трубы находились на пересечении трех поперечных сечений и трех продольных сторон (на 3, 9, 12 ч) до испытания при отсутствии внутреннего давления в трубе, а во время гидроиспытания при давлении 20 кгс/см2 — трех поперечных сечений и пяти сторон (на 1,5; 3; 9; 10,5 и 12 ч). Зоны контроля второй трубы располагались возле продольного сварного шва. На трубе для пневмоиспытания измерения проводились на расстоянии 50 мм от надпила.
РЕЗУЛЬТАТЫ И ИХ ОБСУЖДЕНИЕ
По полученным результатам измерений магнитных характеристик первой трубы из стали К80 были построены карты распределения коэрцитивной силы Hc и остаточной магнитной индукции Br по поверхности трубы, показанные на рис. 1 и 2.
При гидроиспытании воздействие внутреннего давления на стенки трубы вызывает в них напряжения двустороннего растяжения [4, 9]: осевые и кольцевые напряжения. Осевые напряжения направлены вдоль оси трубопровода, а кольцевые — поперек. Причем кольцевые напряжения по теории [4, 9] в два раза больше осевых.
Как видно по рис. 1, коэрцитивная сила Hc при воздействии давления изменилась неоднозначно, что затрудняет использование коэрцитиметрии в определении напряженно-деформированного состояния разных зон трубы. Согласно рис. 2, значения остаточной магнитной индукции Br увеличились во всех зонах трубы при измерениях как по оси, так и по кольцу, что говорит о возникновении во всей трубе кольцевых и осевых растягивающих напряжений. Отсутствие падения Br во всех зонах говорит о том, что эти напряжения не являются критически опасными (т.е. не являются близкими к пределу прочности) [10, 11]. Однако для определения зон с напряжениями, вызывающими слабые пластические деформации, одной лишь остаточной магнитной индукции недостаточно из-за неоднозначного изменения этой характеристики [11], что требует проведения дальнейших исследований.
На рис. 3 показано распределение магнитных характеристик, измеренных на второй трубе из стали К80 возле места разрушения. Координата φ = 0 соответствует продольному шву, по которому и произошло разрушение трубы.
Рис. 3. Распределение коэрцитивной силы (а), остаточной (б) и максимальной (в) магнитной индукции по трубе после разрушения в результате гидроиспытаний, измеренных по направлению ось; ― — сварной шов; × — точки, в которых проводились измерения.
Из рис. 3 видно, что характеристики Hc и Br после разрушения имеют большой разброс. Значения Hc находились в диапазоне от 70,2 до 111,9, а Br — от 250,5 до 587,7. Наименьшее значение Br находятся в точке R, которая расположена близко к месту нанесения искусственного дефекта. Этой точке также характерно пониженное значение Hc. Точке R соответствует место наибольшего изгиба трубы после разрушения.
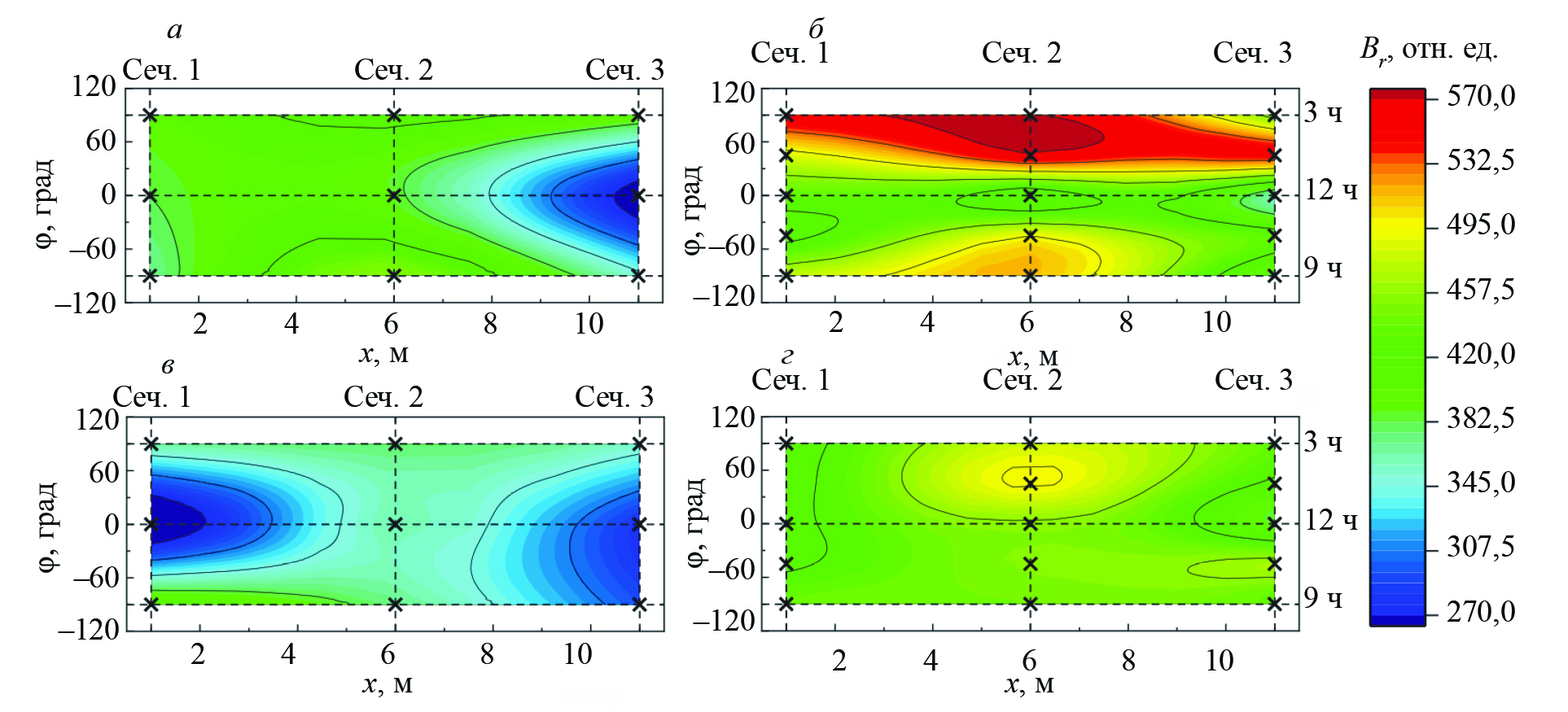
Карты распределения, полученные по результатам измерений магнитных характеристик на трубе из стали К70, показаны на рис. 4 и 5.
По рис. 4 и 5 обнаружено, что Hc и Br, полученные вдоль оси, до испытания находились в диапазоне от 70,6 до 73 и от 455 до 498,5 отн. ед., а после разрушения — от 62,1 до 75,7 и от 280 до 568 отн. ед. А вдоль кольца эти же характеристики до испытания находились в диапазоне от 64 до 68,7 и от 342,5 до 400,5 отн. ед., а после разрушения от 56,8 до 72,9 и от 302,3 до 532,3 отн. ед. То есть вследствие разрушения сильно увеличился разброс магнитных характеристик как по оси, так и по кольцу, в большинстве точек характеристики изменились в сторону уменьшения. Аналогичный разброс характеристик виден возле области разрыва на трубе, разрушенной в результате гидроиспытания (см. рис. 3).
Рис. 4. Распределение коэрцитивной силы по трубе-инициатору до пневмоиспытания (а, в) и после разрушения (б, г), измеренной по оси (а, б) и по кольцу (в, г); ― . ― — надпил; × — точки, в которых проводились измерения.
Рис. 5. Распределение остаточной магнитной индукции по трубе-инициатору до пневмоиспытания (а, в) и после разрушения (б, г), измеренной по оси (а, б) и по кольцу (в, г); ― . ― — надпил; × — точки, в которых проводились измерения.
ВЫВОДЫ
Сложный характер разрушения трубы внутренним давлением показал существенный разброс магнитных характеристик, но при присутствии точечного инициатора разрушения, в данном случае надреза продольного сварного шва, возле этого инициатора возникает зона сильных изгибающих деформаций, сопровождающаяся значительным уменьшением коэрцитивной силы и остаточной магнитной индукции.
Установлено, что при слабом внутреннем давлении индикатором повышения растягивающих напряжений является остаточная магнитная индукция, но для определения напряжений одной лишь остаточной магнитной индукции недостаточно, для обеспечения достоверного контроля напряжений необходимо проводить многопараметровый неразрушающий контроль.
Работа выполнена в рамках государственного задания Минобрнауки России по теме «Диагностика», № 122021000030-1.
Об авторах
К. Е. Мызнов
Институт физики металлов имени М.Н. Михеева УрО РАН
Автор, ответственный за переписку.
Email: myznov@imp.uran.ru
Россия, 620108 Екатеринбург, ул. С. Ковалевской, 18
О. Н. Василенко
Институт физики металлов имени М.Н. Михеева УрО РАН
Email: vasilenko@imp.uran.ru
Россия, 620108 Екатеринбург, ул. С. Ковалевской, 18
В. Н. Костин
Институт физики металлов имени М.Н. Михеева УрО РАН
Email: vasilenko@imp.uran.ru
Россия, 620108 Екатеринбург, ул. С. Ковалевской, 18
В. С. Тронза
ООО «Газпром трансгаз Екатеринбург»
Email: myznov@imp.uran.ru
Россия, 620075 Екатеринбург, ул. Клары Цеткин, 14
А. Н. Бондина
ООО «Газпром трансгаз Екатеринбург»
Email: myznov@imp.uran.ru
Россия, 620075 Екатеринбург, ул. Клары Цеткин, 14
С. С. Кукушкин
ООО «Газпром трансгаз Екатеринбург»
Email: myznov@imp.uran.ru
Россия, 620075 Екатеринбург, ул. Клары Цеткин, 14
Н. Ю. Трякина
ООО «Газпром трансгаз Екатеринбург»
Email: myznov@imp.uran.ru
Россия, 620075 Екатеринбург, ул. Клары Цеткин, 14
Список литературы
- Агиней Р.В. Разработка методики оценки напряженного состояния нефтегазопроводов по коэрцитивной силе металла: специальность 25.00.19 «Строительство и эксплуатация нефтегазопроводов, баз и хранилищ» / Автореферат дисс. на соискание ученой степени кандидата технических наук. Ухта, 2005. 21 с.
- Попов Б.Е., Левин Е.А., Котельников В.С., Безлюдько Г.Я., Долинский В.М., Зарудный А.В. Магнитный контроль напряженно-деформированного состояния и остаточного ресурса сосудов, работающих под давлением // Безопасность труда в промышленности. 2001. № 3. С. 27—36.
- Кулак С.М., Новиков В.Ф., Проботюк В.В., Ваценков С.М., Фурсов Е.С. Магнитный контроль напряженного состояния стенки газового сепаратора при его гидроиспытаниях // Дефектоскопия. 2019. № 3. С. 38—45.
- Игнатик А.А. Расчетно-экспериментальная оценка напряженного состояния трубопровода под воздействием изгибающей нагрузки и внутреннего давления // Известия высших учебных заведений. Нефть и газ. 2021. № 2 (146). С. 114—126.
- СНиП 2.05.06-85. Магистральные трубопроводы. М.: ФГУП ЦПП, 2005. 60 с.
- СП 36.13330.2012. Магистральные трубопроводы. М.: Госстрой, 2013. 93 с.
- Arumugam T., Mohamad Rosli M.K.A., Karuppanan S., Ovinis M., Lo M. Burst capacity analysis of pipeline with multiple longitudinally aligned interacting corrosion defects subjected to internal pressure and axial compressive stress // SN Appl. Sci. 2020. V. 2 (1201). P. 1—11.
- Костин В.Н., Василенко О.Н., Бызов А.В. Мобильная аппаратно-программная система магнитной структуроскопии DIUS-1.15M // Дефектоскопия. 2018. № 9. С. 47—53.
- Феодосьев В.И. Сопротивление материалов / Учеб. для вузов. 10-е изд., перераб. и доп. М.: Изд-во МГТУ им. Н.Э. Баумана, 1999. 592 с.
- Горкунов Э.С., Задворкин С.М., Мушников А.Н., Смирнов С.В., Якушенко Е.И. Влияние механических напряжений на магнитные характеристики трубной стали // Прикладная механика и техническая физика. 2014. Т. 55. № 3 (325). С. 181—191.
- Костин В.Н., Царькова Т.П., Ничипурук А.П., Лоскутов В.Е., Лопатин В.В., Костин К.В. Необратимые изменения намагниченности как индикаторы напряженно-деформированного состояния ферромагнитных объектов // Дефектоскопия. 2009. № 11. С. 54—67.
Дополнительные файлы







