Assessment of Stress-Strain State of Pipelines Based on the Measurements of Magnetic Characteristics in Field Conditions
- Authors: Myznov K.E.1, Vasilenko O.N.1, Kostin V.N.1, Tronza V.S.2, Bondina A.N.2, Kukushkin S.S.2, Tryakina N.Y.2, Salomatin A.S.2
-
Affiliations:
- M.N. Mikheev Institute of Metal Physics of Ural Branch of Russian Academy of Sciences
- Gazprom Transgas Yekaterinburg LLC
- Issue: No 12 (2024)
- Pages: 69-80
- Section: Electromagnetic methods
- URL: https://medbiosci.ru/0130-3082/article/view/273547
- DOI: https://doi.org/10.31857/S0130308224120068
- ID: 273547
Cite item
Full Text
Abstract
A series of measurements on two pipeline sections made of 17G1S (17Г1С) steel using two measuring devices: magnetic multitester MMT-3 and magnetic analyser of structure KRM-C-K2M (КРМ-Ц-К2М) has been carried out. Maps of coercive force, residual magnetic induction and maximum magnetic induction on the pipes were obtained. The coefficient of loading for different cross-sections of the pipeline was calculated. Dependence of magnetic characteristics averaged over the cross-section on the coefficient of loading is plotted. It is revealed that the most dangerous for destruction cross-sections, in which the coefficient of loading exceeded the critical value of 1,2, correspond to the reduced values of coercive force and residual magnetic induction, obtained in the direction of measurement along the pipeline axis. It is shown that measurement along the axis at the top of the pipeline shows a similar relationship as for the cross-sectional averaged values, which means that in pipeline aerial crossings, measurement only at the top of the pipeline may be sufficient.
Full Text
ВВЕДЕНИЕ
Магистральные трубопроводы в процессе работы испытывают нагрузки различного характера. К нагрузкам относятся: растягивающие, сжимающие, изгибающие, скручивающие, сдвиговые и их комбинации [1, 2]. Источниками таких нагрузок являются: сила тяжести, действующая на трубопровод, реакция опор, давление грунта, внутреннее давление содержимого, смещение опор, внешние нагрузки на участках перехода [3—5]. Каждая из этих нагрузок влияет на магнитные свойства объекта контроля. Чтобы применять магнитную методы неразрушающего контроля для определения напряженно-деформированного состояния (НДС), нужно однозначно определить влияние нагрузок и их комбинаций на магнитные свойства. Существующие работы можно разделить на две группы: полевые испытания на трубопроводах и лабораторные исследования с использованием стационарных установок. Первые дают представление о наличии связей НДС и магнитных свойств, но в них, в основном, используются измерительные приборы, позволяющие определить только один параметр, например, коэрцитиметры [6—8]. Во вторых используются стандартные методики и стационарное оборудование, но они неприменимы на реальных объектах типа трубопроводов [9]. Вследствие этого отсутствуют широко распространенные методики определения напряженно-деформированного состояния по величинам магнитных свойств.
В качестве информативных параметров выбираются различные магнитные свойства: коэрцитивная сила (наиболее часто используемый параметр), остаточная магнитная индукция, максимальная дифференциальная магнитная проницаемость и другие. Также могут использоваться комбинации измеряемых параметров или одни и те же параметры, но измеренные в различных направлениях [10]. Для одноосной нагрузки анизотропия коэрцитивной силы (т.е. разность коэрцитивных сил в двух взаимно перпендикулярных направлениях) показывает монотонную и близкую к линейной зависимость от напряжений [10], поэтому часто применяется на практике [11, 12]. Существует метод контроля сжимающих напряжений по значениям напряженности магнитного поля, соответствующим пикам дифференциальной или обратимой магнитной проницаемости [13, 14].
Наиболее перспективными в контексте контроля массивных объектов выглядят исследования, в которых используются приставные измерительные преобразователи, позволяющие измерять сразу несколько магнитных параметров или всю петлю магнитного гистерезиса [15—19].
В связи с вышесказанным понятно, что остается актуальным вопрос разработки методики магнитного контроля напряженно-деформированного состояния трубопроводов и приборов, их реализующих в полевых условиях. Целью работы являлось установление потенциальной возможности использования магнитных параметров для контроля НДС участков трубопроводов путем проведения полевых исследований с использованием магнитного структуроскопа с приставным измерительным преобразователем.
ОБЪЕКТЫ КОНТРОЛЯ И МЕТОДИКИ ИЗМЕРЕНИЙ И РАСЧЕТОВ
Полевые исследования проводились на участках трубопровода двух труб (рис. 1 и 2), являющихся надземными переходами, с одинаковым номинальным диаметром и толщиной стенки (упрощенная схема этих труб с указанием номинальных размеров показана на рис. 3). Длины надземного перехода L для труб «А» и «Б» были равны 46,4 и 34,6 м соответственно. Материал трубопровода — конструкционная сталь 17Г1С [20].
Рис. 1. Схема надземного перехода «А»
Рис. 2. Схема надземного перехода «Б»
Рис. 3. Упрощенная схема трубы без указания сварных швов
Измерения проводились с помощью магнитного мультитестера ММТ-3 [17] (рис. 4) и магнитного структуроскопа КРМ-Ц-К2М [8] (рис. 5). Структуроскоп КРМ-Ц-К2М измеряет коэрцитивную силу по току размагничивания . ММТ-3 позволяет получать петлю магнитного гистерезиса и рассчитывать соответствующие магнитные характеристики: коэрцитивная сила по индукции Hc, остаточная магнитная индукция Br, максимальная магнитная индукция Bm и другие. Контроль НДС только по коэрцитивной силе, определенной по току размагничивания, приводит к неоднозначной оценке НДС низколегированных сталей [10], а также к влиянию на показания прибора формы и размеров изделия и других факторов [16, 21].
Рис. 4. Магнитный мультитестер ММТ-3
Рис. 5. Магнитный структуроскоп КРМ-Ц-К2М
При измерении магнитных характеристик приставные преобразователи приборов (см. рис. 4, 5) помещались на внешнюю поверхность объекта контроля таким образом, чтобы перемагничивание и измерение происходило вдоль направления хода трубы (по оси) и поперек хода трубы (по кольцу). Зоны контроля находились на пересечении трех поперечных сечений и четырех продольных сторон на 3, 6, 9 и 12 ч (см. рис. 3).
Методика и рекомендации по расчету напряженно-деформированного состояния в магистральном трубопроводе описаны в источниках [3—5]. Для определения уровня напряженно-деформированного состояния сечения обследуемого участка, согласно [3], используется коэффициент нагруженности K. Для определения коэффициента K необходимо найти коэффициенты нагруженности, соответствующие двум условиям: первому условию K1 и второму условию , . Из найденных для сечения значений K1, , берется наибольшее.
Коэффициент нагруженности по первому условию K1 вычисляется по одной из формул:
1) если осевые напряжения σN ≥ 0:
; (1)
2) если осевые напряжения σN < 0:
, (2)
где R1 — сопротивление растяжению (сжатию) по первому условию; (σэкв)N — эквивалентные напряжения по Мизесу, определяемые в соответствии с источником [3].
Осевые напряжения зависят от размеров, характеристик материала и условий эксплуатации трубы. Осевые напряжения определяются по формуле:
, (3)
где E — модуль Юнга; ν – коэффициент Пуассона; εT — температурное расширение; σh — кольцевые напряжения.
Кольцевые напряжения определяются с помощью следующего выражения:
, (4)
где p — внутреннее давление; D — внешний диаметр трубы; t — толщина стенки трубы.
Температурное расширение определяется с помощью следующей формулы:
, (5)
где ∆T — максимальный перепад температур, определяемый согласно источнику [5]; αT — коэффициент температурного расширения (линейного расширения).
Эквивалентные осевые напряжения σэкв.N определяются так:
, (6)
где n — коэффициент надежности по внутреннему давлению (коэффициент перегрузки), который, согласно [3], принимается равным 1,1.
Значение R1 определяется с помощью выражения:
, (7)
где — нормативный предел прочности материала трубы; m — коэффициент условий работы участка газопровода; k1 — коэффициент надежности по материалу трубы; kn — коэффициент надежности по назначению трубопровода. Коэффициенты m, k1 и kn берутся согласно источнику [4].
Для точек на сечении трубы с растягивающими и сжимающими напряжениями используется две разные формулы для определения коэффициента нагруженности по второму условию:
1) для точки с растягивающими напряжениями (σf ≥ 0):
; (8)
2) для точки со сжимающими напряжениями (σf < 0):
, (9)
где σf — максимальные суммарные продольные напряжения (фибровые напряжения); σэкв.f — эквивалетные фибровые напряжения; R2 — сопротивление растяжению (сжатию) по второму условию.
При расчете фибровых напряжений учитываются не только размеры, характеристики материала и условия эксплуатации трубы, но и кривизна оси на разных координатах участка трубопровода. Ось трубопровода — условная линия, проходящая вдоль трубопровода через центр его поперечного сечения [22]. Фибровые напряжения определяются для двух крайних точек поперечного сечения трубы по формуле:
, (10)
где εb — изгибная деформация.
Изгибная деформация определяется с помощью выражения:
, (11)
где κ — результирующая кривизна оси на поперечном сечении трубы, которая определяется согласно [3].
Эквивалентные фибровые напряжения определяются с помощью следующего выражения:
. (12)
Значение R2 определяется с помощью выражения:
, (13)
где — нормативный предел текучести материала трубы; k2 — коэффициент надежности по материалу трубы, который, согласно [3, 5], для наземных трубопроводов берется равным 0,9.
Если K превышает единицу, то это значит, что не выполняются первое и/или второе условие, т.е. на этом участке присутствуют значительные механические напряжения (табл. 1).
Таблица 1. Принимаемые решения в зависимости от уровня нагруженности участка газопровода
K | Решение |
K ≤ 1 | Разрешается эксплуатация газопровода при рабочем (проектном) давлении |
1 < K ≤ 1,2 | Корректировка положения оси участка газопровода в соответствии с плановым ремонтом До планового ремонта требуется периодическое техническое обслуживание участка |
K > 1,2 | Вывод из эксплуатации с последующим ремонтом |
РЕЗУЛЬТАТЫ ИССЛЕДОВАНИЙ И ИХ ОБСУЖДЕНИЕ
Расчет коэффициента нагруженности показал, что в надземном переходе «А» нет сечений с превышением порога K = 1, значит труба полностью пригодна для эксплуатации, а часть надземного перехода «Б» превышает пороговые значения K = 1,2, следовательно, требуется вывод из эксплуатации этой трубы.
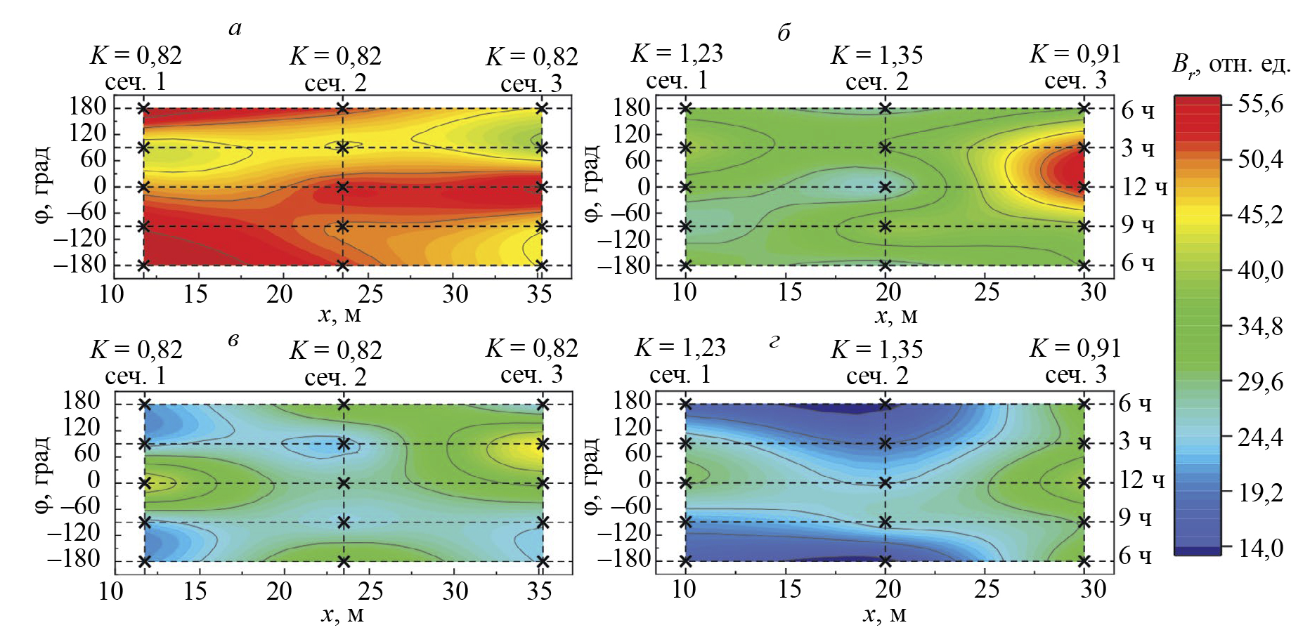
По полученным результатам измерений магнитных характеристик на трубах «А» и «Б» были построены цветовые карты распределения характеристик по поверхности трубы (рис. 6—9), в которых крестиками обозначены точки измерений, а цвета получены за счет интерполяции измерений между этими точками.
Рис. 6. Распределение (топограммы) максимальной магнитной индукции по трубам «А» (а, в) и «Б» (б, г), измеренной по оси (а, б) и кольцу (в, г) с помощью ММТ-3
Рис. 7. Распределение (топограммы) коэрцитивной силы по трубам «А» (а, в) и «Б» (б, г), измеренной по оси (а, б) и кольцу (в, г) с помощью ММТ-3
Рис. 8. Распределение (топограммы) остаточной магнитной индукции по трубам «А» (а, в) и «Б» (б, г), измеренной по оси (а, б) и кольцу (в, г) с помощью ММТ-3
Рис. 9. Распределение (топограммы) коэрцитивной силы по трубам «А» (а, в) и «Б» (б, г), измеренной по оси (а, б) и кольцу (в, г) с помощью КРМ-Ц-К2М
На рис. 6—8 представлены карты распределения максимальной магнитной индукции Bm, коэрцитивной силы Hc и остаточной магнитной индукции Br, полученные с помощью ММТ-3 при измерении по оси (а, б) и по кольцу (в, г) трубопровода.
По рис. 6 видно, что значения Bm, измеренные по кольцу, ниже, чем Bm, полученные по оси. Определено, что значения Bm по оси находятся в диапазоне от 172 до 178 отн. ед., а по кольцу — от 155 до 170.
На рис. 7 видна тенденция к уменьшению Hc при увеличении K как по оси, так и по кольцу. Наиболее заметна такая тенденция на 3 и 12 ч при измерении по оси и на 3 ч при измерении по кольцу.
Также и на рис. 8 видна тенденция к уменьшению Br при увеличении K. Наиболее заметна такая тенденция на 12 ч при измерении по оси и на 6 ч при измерении по кольцу.
На рис. 9 представлены карты распределения коэрцитивной силы , полученные с помощью ММТ-3 при измерении по оси (а, б) и по кольцу (в, г) трубопровода.
По рис. 9 видно, что по всем сторонам трубы в сечении с K = 0,91 значения , измеренные по кольцу, значительно ниже, чем в сечениях с K = 0,82. При этом значения слабо зависят от K в диапазоне от 0,91 до 1,35, а наилучшая чувствительность наблюдается на 3 и 12 ч. По оси тенденция к уменьшению при увеличении K видна только на 3 ч, а по остальным сторонам такой тенденции не наблюдается.
Анализируя цветовые карты распределения магнитных характеристик, показанные на рис. 6—9, можно сделать следующие выводы:
- По рис. 6 можно сделать предположение о том, что показания Bm по кольцу ниже, чем по оси, потому что перемагничивание по кольцу может происходить не по предельной петле гистерезиса. Это говорит о том, что измерения с помощью приставного преобразователя лучше проводить по оси трубы, либо использовать специальные наконечники при измерениях по кольцу.
- По оси наибольший градиент значений Hc, измеренных с помощью ММТ-3, наблюдался на 3 и 12 ч (рис. 7а, б), а значений Br — на 12 ч (рис. 8а, б).
- По кольцу наибольший градиент значений Hc наблюдался на 3 ч (рис. 7в, г), а значений Br — на 6 ч (рис. 8в, г).
- При измерении с помощью КРМ-Ц-К2М наибольший градиент по оси наблюдался на 3 ч, а по кольцу — на 3 и 12 ч (см. рис. 9).
На рис. 10—12 показаны усредненные по четырем зонам каждого поперечного сечения (см. рис. 3) значения магнитных характеристик в зависимости от определенного для каждого из этих сечений коэффициента нагруженности, а на рис. 13 — от фибровых напряжений.
Рис. 10. Зависимость усредненной по четырем зонам в сечении трубы коэрцитивной силы, измеренной с помощью ММТ-3 по оси (а) и по кольцу (б), от коэффициента нагруженности
Рис. 11. Зависимость усредненной по четырем зонам в сечении трубы остаточной магнитной индукции, измеренной с помощью ММТ-3 по оси (а) и по кольцу (б), от коэффициента нагруженности
Рис. 12. Зависимость усредненной по четырем зонам в сечении трубы коэрцитивной силы, измеренной с помощью КРМ-Ц-К2М по оси (а) и по кольцу (б), от коэффициента нагруженности
Рис. 13. Зависимость усредненных по четырем зонам в сечении трубы значений коэрцитивной силы (а) и остаточной магнитной индукции (б), измеренной с помощью ММТ-3 по оси, от фибровых напряжений
Из рис. 10—12 видно, что результаты измерений, полученные с помощью КРМ-Ц-К2М, не поддаются однозначной трактовке: одному и тому же значению коэрцитивной силы соответствует значение коэффициента нагруженности как меньше 1, так и больше 1,2. Однозначное различие между значениями коэффициента нагруженности в его критических значениях были получены косвенно по магнитных характеристикам, измеренным прибором ММТ-3 в направлении расположения датчика по оси. По этим результатам видно, что сечения трубопровода, характеризующиеся повышенными значениями коэффициента нагруженности и фибровых напряжений, отличаются от слабонагруженных сечений пониженными значениями Hc и Br.
Из рис. 13 видно, что коэрцитивная сила Hc монотонно убывает с увеличением фибровых напряжений, а при напряжении выше 300 МПа наблюдается резкое падение Hc в 1,4 раза. Значения Br от фибровых напряжений меняются немонотонно. При напряжениях в диапазоне от 100 до 150 МПа чувствительность Br к напряжениям значительно выше, чем у Hc.
Рассмотрим наиболее информативные для выявления разницы в значениях коэффициента нагруженности магнитные характеристики (см. рис. 14 и 15, характеристики, измеренные на 12 ч). Полученные зависимости аналогичны зависимостям, показанным на рис. 10, 11, из чего можно сделать заключение о возможности контроля НДС на одной стороне трубы на 12 ч.
Рис. 14. Зависимость значений коэрцитивной силы (а) и остаточной магнитной индукции (б), измеренных с помощью ММТ-3 по оси, в зонах, расположенных на 12 ч, от коэффициента нагруженности
Рис. 15. Зависимость значений коэрцитивной силы (а) и остаточной магнитной индукции (б), измеренных с помощью ММТ-3 по оси, в зонах, расположенных на 12 ч, от фибровых напряжений
Анализ полученных результатов позволяет сделать вывод о том, что оптимальным местом для определения напряженно-деформированного состояния с помощью магнитных характеристик является сторона на 12 ч, т.е. верхняя часть трубы, а измерения лучше проводить при направлении измерения по оси.
ВЫВОДЫ
В результате проведенных исследований было установлено:
- Наиболее опасным для разрушения сечениям, в которых коэффициент нагруженности превысил критическое значение 1,2, соответствуют измеренные пониженные значения коэрцитивной силы и остаточной магнитной индукции, полученные при направлении измерения вдоль оси трубопровода.
- Измерение одновременно двух параметров петли магнитного гистерезиса, а именно коэрцитивной силы и остаточной магнитной индукции, позволит повысить достоверность контроля и чувствительность к напряженно-деформированному состоянию, избежать ошибок в интерпретации полученных результатов.
- Оптимальным местом для определения напряженно-деформированного состояния с помощью магнитных характеристик является сторона на 12 ч, т.е. верхняя часть трубы, а измерения необходимо проводить при намагничивании вдоль оси трубы.
- Для измерений вдоль кольца трубопровода перспективным является создание специальных наконечников, которые позволят усилить контакт между образцом и преобразователем.
Работа выполнена в рамках государственного задания Минобрнауки России по теме «Диагностика», № 122021000030-1 и договора о сотрудничестве № 05с/22 от 15 ноября 2022 г.
About the authors
K. E. Myznov
M.N. Mikheev Institute of Metal Physics of Ural Branch of Russian Academy of Sciences
Author for correspondence.
Email: myznov@imp.uran.ru
Russian Federation, Yekaterinburg
O. N. Vasilenko
M.N. Mikheev Institute of Metal Physics of Ural Branch of Russian Academy of Sciences
Email: vasilenko@imp.uran.ru
Russian Federation, Yekaterinburg
V. N. Kostin
M.N. Mikheev Institute of Metal Physics of Ural Branch of Russian Academy of Sciences
Email: kostin@imp.uran.ru
Russian Federation, Yekaterinburg
V. S. Tronza
Gazprom Transgas Yekaterinburg LLC
Email: myznov@imp.uran.ru
Russian Federation, Yekaterinburg
A. N. Bondina
Gazprom Transgas Yekaterinburg LLC
Email: myznov@imp.uran.ru
Russian Federation, Yekaterinburg
S. S. Kukushkin
Gazprom Transgas Yekaterinburg LLC
Email: myznov@imp.uran.ru
Russian Federation, Yekaterinburg
N. Yu. Tryakina
Gazprom Transgas Yekaterinburg LLC
Email: myznov@imp.uran.ru
Russian Federation, Yekaterinburg
A. S. Salomatin
Gazprom Transgas Yekaterinburg LLC
Email: myznov@imp.uran.ru
Russian Federation, Yekaterinburg
References
- Ignatik A.A. A computational and experimental assessment of the pipeline stress state under bending load and internal pressure // Oil and Gas Studies. 2021. No. 2. P. 114—126.
- Ignatik A.A. Stress-strain state characteristics of pipeline wall under the internal pressure, bending, and torsion // Gas Industry Journal. 2020. No. 4. P. 102—107.
- Recommendations on assessment of strength and stability of operated gas mains and pipelines of compressor stations / Effective as of 24 November 2006. Moscow: Gazprom VNIIGAZ, 2007. 42 p.
- SNiP (Building Codes and Regulations) 2.05.06-85. Trunk pipelines, Moscow: FGUP TSPP, 2005, 60 p.
- SP (Set of Rules) 36.13330.2012. Trunk pipelines, Moscow: Gosstroy, 2013. 93 p.
- Zakharov V.A., Ul'yanov A.I., Gorkunov E.S. Coercive force of ferromagnetic steels under the biaxial symmetrical tension of a material // Russian Journal of Nondestructive Testing. 2011. V. 47. No. 6. P. 359—368.
- Bezlyud'ko G.Y., Sirona V.E., Solomakha R.N., Savluk S.V., Siviruk V.L. Coercimetry for stress-stain and fatigue state monitoring of blast furnace shell // NDT World. 2021. V. 24. No. 3. P. 32—35.
- Bezlyud'ko G.Y., Muzhitskii V.F., Remezov V.B. Series of portable structuroscope-instruments based on measuring the coercive force // Russian Journal of Nondestructive Testing. 2003. V. 39. No. 4. P. 43—51.
- IEC 60404-4 Magnetic materials — Part 4: Methods of measurement of d.c. magnetic properties of magnetically soft materials.
- Gorkunov E.S., Mushnikov A.N. Magnetic methods of evaluating elastic stresses in ferromagnetic steels (review) // Testing. Diagnostics. 2020. V. 23. No. 12. P. 4—23.
- Aginei R.V., Teplinsky Yu.A., Kuzbozhev A.S., Bogdanov N.P. Application of magnetic method to assess the stress state of steel structures // Journal of Samara State Technical University. Ser. Physical and Mathematical Sciences. 2004. No. 27. P. 95—97.
- Andronov I.N., Aginei R.V., Leonov I.S. Analysis of the plane stress state of steel pipelines by the radar charts of the coercivity // Industrial Laboratory. Diagnostics of Materials. 2013. V. 79. No. 12. P. 50—52.
- Stashkov A.N., Schapova E.A., Nichipuruk A.P., Korolev A.V. Magnetic incremental permeability as indicator of compression stress in low-carbon steel // NDT & E International. 2021. V. 118. P. 102398.
- Schapova E.A., Stashkov A.N., Tsar'kova T.P., Sazhina E.Y., Kochnev A.V. The comparison of two data processing techniques of magnetic method for elastic compressive stress determination // AIP Conference Proceedings: The VI International Young Researchers Conference Physics, Technologies Innovation, Ekaterinburg, May 20–23, 2019 / Ural Federal University. V. 2174. Ekaterinburg: American Institute of Physics, 2019. P. 020167.
- Kostin V.N., Vasilenko O.N., Byzov A.V. DIUS-1.15M Mobile Hardware–Software Structuroscopy System // Russian Journal of Nondestructive Testing. 2018. V. 54. No. 9. P. 654—661.
- Kostin V.N., Smorodinskii Y.G. Multipurpose software-hardware systems for active electromagnetic testing as a trend // Russian Journal of Nondestructive Testing. 2017. V. 53. No. 7. P. 493—504.
- Kostin V.N., Vasilenko O.N., Mikhailov A.V., Lukinykh N.P., Ksenofontov D.G. On the advantages of local measurement of coercive force of ferromagnetic objects based on internal field // Russian Journal of Nondestructive Testing. 2020. V. 56. No. 7. P. 574—580.
- Nichipuruk A.P., Bida G.V., Shanaurin A.M., Stashkov A.N. Functional Possibilities of SM-401 Magnetic Structuroscope // Russian Journal of Nondestructive Testing. 2003. V. 39. No. 1. P. 1—9.
- Kostin V.N., Tsar'kova T.P., Loskutov V.E., Kostin K.V., Nichipuruk A.P., Lopatin V.V. Irreversible changes in the magnetization as indicators of stressed-strained state of ferromagnetic objects // Russian Journal of Nondestructive Testing. 2009. V. 45. No. 11. P. 786—796.
- GOST (State Standard) 19281—2014 Rolled steel of increased strength. General technical conditions.
- Gorkunov E.S., Zakharov V.A. Coercimeters with magnetic attachments (review) // Russian Journal of Nondestructive Testing. 1995. V. 31. No. 8. P. 625.
- GOST (State Standard) R 57512—2017 Main pipeline transportation of oil and petroleum products. Terms and definitions.
Supplementary files
















