Repeatability of Body Fat and Fat-Free Mass Measurements by Bioimpedance and Ultrasound Scanning Analysis in the Group of Young Adults
- Authors: Bondareva E.A.1, Parfenteva O.I.1,2, Vasileva A.A.1,2, Kulemin N.A.1, Popova E.V.3, Gadzhiakhmedova A.N.1,4, Kovaleva O.N.4, Khromov-Borisov N.N.5
-
Affiliations:
- Lopukhin Federal Research and Clinical Center of Physical-Chemical Medicine, Federal Medical Biological Agency
- Lomonosov Moscow State University
- Gorno-Altaisk State University
- First Moscow State Medical University
- Almazov National Medical Research Centre
- Issue: Vol 49, No 4 (2023)
- Pages: 90-100
- Section: Articles
- URL: https://medbiosci.ru/0131-1646/article/view/139849
- DOI: https://doi.org/10.31857/S0131164622601002
- EDN: https://elibrary.ru/XBHLIW
- ID: 139849
Cite item
Full Text
Abstract
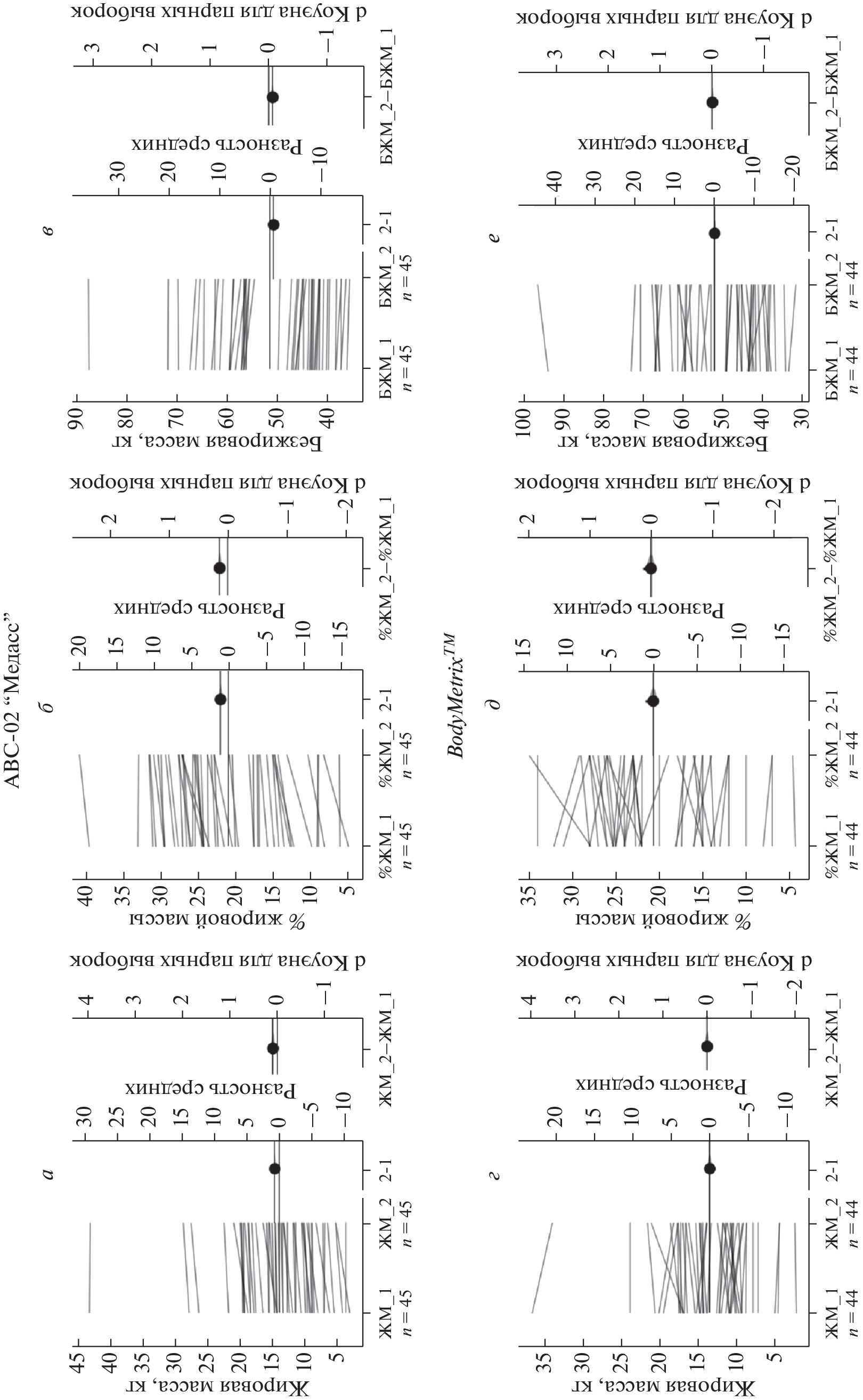
Repeatability of the body fat and fat-free mass measurements obtained by two indirect methods (bioimpedance – BIA and ultrasound scanning analysis – US) was performed in the group of young adults. To evaluate repeatability, the repeated body composition measurements by the bioimpedance analyzer ABC-02 “Medas” and the ultrasound scanner BodyMetrixTM were done in the group of adult males and females. The performed study indicates accuracy of the estimates in the individuals and in the group at all as well as high repeatability of measurements obtained by BIA and US. Positive significant correlation between the body composition measurements obtained by the bioimpedance analyzer ABC-02 “Medas” and the ultrasound scanner BodyMetrixTM as well as between repeated measurements was found. The study indicates high repeatability of body fat and fat-free mass measurements obtained by the bioimpedance analyzer ABC-02 “Medas” and the ultrasound scanner BodyMetrixTM in the group of young adult males and females. Particularly, the highest repeatability was for the fat-free mass measurements.
About the authors
E. A. Bondareva
Lopukhin Federal Research and Clinical Center of Physical-Chemical Medicine, Federal Medical Biological Agency
Author for correspondence.
Email: Bondareva.E@gmail.com
Russia, Moscow
O. I. Parfenteva
Lopukhin Federal Research and Clinical Center of Physical-Chemical Medicine, Federal Medical Biological Agency; Lomonosov Moscow State University
Email: Bondareva.E@gmail.com
Russia, Moscow; Russia, Moscow
A. A. Vasileva
Lopukhin Federal Research and Clinical Center of Physical-Chemical Medicine, Federal Medical Biological Agency; Lomonosov Moscow State University
Email: Bondareva.E@gmail.com
Russia, Moscow; Russia, Moscow
N. A. Kulemin
Lopukhin Federal Research and Clinical Center of Physical-Chemical Medicine, Federal Medical Biological Agency
Email: Bondareva.E@gmail.com
Russia, Moscow
E. V. Popova
Gorno-Altaisk State University
Email: Bondareva.E@gmail.com
Russia, Gorno-Altaisk
A. N. Gadzhiakhmedova
Lopukhin Federal Research and Clinical Center of Physical-Chemical Medicine, Federal Medical Biological Agency; First Moscow State Medical University
Email: Bondareva.E@gmail.com
Russia, Moscow; Russia, Moscow
O. N. Kovaleva
First Moscow State Medical University
Email: Bondareva.E@gmail.com
Russia, Moscow
N. N. Khromov-Borisov
Almazov National Medical Research Centre
Email: Bondareva.E@gmail.com
Russia, St. Petersburg
References
- Price K.L., Earthman C.P. Update on body composition tools in clinical settings: computed tomography, ultrasound, and bioimpedance applications for assessment and monitoring // Eur. J. Clin. Nutr. 2019. V. 73. № 2. P. 187.
- Соболева Н.П., Руднев С.Г., Николаев Д.В. и др. Биоимпедансный скрининг населения России в центрах здоровья: распространенность избыточной массы тела и ожирения // Российский медицинский журн. 2014. № 4. С. 4.
- Wagner D.R. Ultrasound as a tool to assess body fat // J. Obes. 2013. V. 2013. P. 280713.
- Bielemann R.M, Gonzalez M.C., Barbosa-Silva T.G. et al. Estimation of body fat in adults using a portable A-mode ultrasound // UNSCN Nutr. 2015. V. 32. № 4. P. 441.
- Бондарева Э.А., Парфентьева О.И. Анализ согласованности показателей состава тела, полученных с использованием методов биоимпедансометрии и ультразвукового сканирования // Экология человека. 2021. Т. 28. № 10. С. 57.
- Bai M., Susic D., O’Sullivan A.J., Henry A. Reproducibility of Bioelectrical Impedance Analysis in Pregnancy and the Association of Body Composition with the Risk of Gestational Diabetes: A Substudy of MUMS Cohort // J. Obes. 2020. V. 2020. P. 3128767.
- Ballesteros-Pomar M.D., González-Arnáiz E., Pintor-de-la Maza B. et al. Bioelectrical impedance analysis as an alternative to dual-energy x-ray absorptiometry in the assessment of fat mass and appendicular lean mass in patients with obesity // Nutrition. 2022. V. 93. P. 111442.
- Rudnev S., Burns J.S., Williams P.L. et al. Comparison of bioimpedance body composition in young adults in the Russian Children’s Study // Clin. Nutr. ESPEN. 2020. V. 35. P. 153.
- Jackson A.S., Pollock M.L. Generalized equations for predicting body density of men // Br. J. Nutr. 1978. V. 40. № 3. P. 497.
- Jackson A.S., Pollock M.L., Ward A. Generalized equations for predicting body density of women // Med. Sci. Sports Exerc. 1980. V. 12. № 3. P. 175.
- Николаев Д.В., Смирнов А.В., Бобринская И.Г., Руднев С.Г. Биоимпедансный анализ состава тела человека. M.: Наука, 2009. 392 с.
- Liu X.S., Pompey K.T. Bootstrap estimate of bias for intraclass correlation // J. Appl. Meas. 2020. V. 21. № 1. P. 101.
- Ho J., Tumkaya T., Aryal S. et al. Moving beyond P values: data analysis with estimation graphics // Nat. Methods. 2019. V. 16. № 7. P. 565.
- Kottner J., Audigé L., Brorson S. et al. Guidelines for reporting reliability and agreement studies (GRRAS) were proposed // J. Clin. Epidemiol. 2011. V. 64. № 1. P. 96.
- Martins W.P., Nastri C.O. Interpreting reproducibility results for ultrasound measurements // Ultrasound Obstet. Gynecol. 2014. V. 43. № 4. P. 479.
- Bland J., Altman D. Statistical methods for assessing agreement between two methods of clinical measurement // Lancet. 1986. V. 1. № 8476. P. 307.
- Nickerson B.S., McLester C.N., McLester J.R., Kliszczewicz B.M. Agreement Between 2 Segmental Bioimpedance Devices, BOD POD, and DXA in Obese Adults // J. Clin. Densitom. 2020. V. 23. № 1. P. 138.
- Yang S.W., Kim T.H., Choi H.M. The reproducibility and validity verification for body composition measuring devices using bioelectrical impedance analysis in Korean adults // J. Exerc. Rehabil. 2018. V. 14. № 4. P. 621.
- Hamilton-James K., Collet T.H., Pichard C. et al. Precision and accuracy of bioelectrical impedance analysis devices in supine versus standing position with or without retractable handle in Caucasian subjects // Clin. Nutr. ESPEN. 2021. V. 45. P. 267.
- Parker H., Hunt E.T., Brazendale K. et al. Accuracy and Precision of Opportunistic Measures of Body Composition from the Tanita DC-430U // Child. Obes. 2022. https://doi.org/10.1089/chi.2022.0084
- Miclos-Balica M., Muntean P., Schick F. et al. Reliability of body composition assessment using A-mode ultrasound in a heterogeneous sample // Eur. J. Clin. Nutr. 2021. V. 75. № 3. P. 438.
- Elsey A.M., Lowe A.K., Cornell A.N. et al. Comparison of the Three-Site and Seven-Site Measurements in Female Collegiate Athletes Using BodyMetrix™ // Int. J. Exerc. Sci. 2021. V. 14. № 4. P. 230.
- Ribeiro G., de Aguiar R.A., Penteado R. et al. A-Mode Ultrasound Reliability in Fat and Muscle Thickness Measurement // J. Strength Cond. Res. 2022. V. 36. № 6. P. 1610.
- Totosy de Zepetnek J.O., Lee J.J., Boateng T. et al. Test-retest reliability and validity of body composition methods in adults // Clin. Physiol. Funct. Imaging. 2021. V. 41. № 5. P. 417.
- Hendrickson N., Davison J., Schiller L., Willey M. Reliability and Validity of A-Mode Ultrasound to Quantify Body Composition // J. Orthop. Trauma. 2019. V. 33. № 9. P. 472.
- Wagner D.R., Teramoto M. Interrater reliability of novice examiners using A-mode ultrasound and skinfolds to measure subcutaneous body fat // PloS One. 2020. V. 15. № 12. P. e0244019.
Supplementary files




