The Correlation of β-Adrenoreactivity of Erythrocyte Membranes with Clinical and Laboratory Parameters in Patients with Resistant Hypertension in the Presence and Absence of Type 2 Diabetes Mellitus
- Authors: Afanasiev S.A.1, Manukyan M.A.1, Rebrova T.Y.1, Zyubanova I.V.1, Muslimova E.F.1, Solonskaya E.I.1, Korepanov V.A.1, Lichikaki V.A.1, Kondratieva D.S.1, Mordovin V.F.1, Falkovskaya A.Y.1
-
Affiliations:
- Tomsk National Research Medical Center, RAS, Cardiology Research Institute
- Issue: Vol 50, No 2 (2024)
- Pages: 84-93
- Section: Articles
- URL: https://medbiosci.ru/0131-1646/article/view/260388
- DOI: https://doi.org/10.31857/S0131164624020079
- EDN: https://elibrary.ru/EFPJOM
- ID: 260388
Cite item
Full Text
Abstract
The peculiarity of the conjugation of β-adrenoreactivity of membranes (β-ARM) erythrocyte, as an indicator of the state of autonomic regulation of the cardiovascular system, with other clinical and laboratory indicators in drug-resistant arterial hypertension (RAH) with the absence and presence of type 2 diabetes mellitus (DM2) was investigated. It was shown that patients with RAH, regardless of the presence of DM2, were characterized by reduced adrenoreactivity, while the beta-ARM index of erythrocytes was more than 2 times higher than the reference values. The intergroup difference in the mean values of beta-ARM erythrocytes and the frequency of cases of exceeding the established reference values by this indicator did not have significant differences. In RAH, regardless of the presence of DM2, the beta-ARM erythrocytes index of erythrocytes is statistically significantly associated with the variability of blood pressure, the volume of daily diuresis and increased contractile capacity of the left ventricle. In addition, in the presence of DM2, the association of β-ARM erythrocyte with an increase in left ventricular elastance, heart rate variability, duration of arterial hypertension and DM2 was revealed. Thus, with the development of RAH in humans, the β-ARM erythrocyte indicator can be a new biomarker for personalized assessment of the activity of autonomic regulation of the cardiovascular system. CD2 expands the conjugacy of β-ARM erythrocyte with clinical and laboratory parameters.
Full Text
Адекватное функционирование сердечно-сосудистой системы обеспечивается ее тонкой регуляцией, осуществляемой, в том числе, вегетативной нервной системой (ВНС) [1, 2]. Одной из основных функций сердечно-сосудистой системы является обеспечение поступления в ткани организма достаточного объема крови, что достигается поддержанием оптимальных значений систолического и диастолического давлений. Нарушение этого оптимума, а именно повышение артериального давления (АД), на первых порах часто являющегося компенсаторным, запускает развитие артериальной гипертонии (АГ), а затем и других хронических патологий сердечно-сосудистой системы. Это закрепляет формирующийся дисбаланс в вегетативной регуляции сердечно-сосудистой системы и определяет развитие гиперсимпатикотонии [3, 4]. Стойкая симпатическая гиперактивация рассматривается как важный фактор развития резистентной АГ (РАГ), устойчивой к медикаментозной терапии [5].
АГ является наиболее распространенной хронической патологией современного общества [6, 7], влекущей за собой колоссальный социально-экономический ущерб [8]. Сочетание АГ с сахарным диабетом 2-го типа (СД2) многократно повышает кардиоваскулярные риски [9, 10], что в значительной степени обусловлено крайне высокой степенью симпатической активности [11]. Логично ожидать, что развитие СД2 на фоне АГ может изменить сложившееся соотношение между состоянием сердечно-сосудистой системы и ее вегетативной регуляцией, а также информативность биомаркеров и в частности β-адренореактивности мембран (β-АРМ) эритроцитов.
Ранее нами было показано, что динамика показателя β-АРМ эритроцитов отражает состояние вегетативной регуляции при АГ и хронической ишемической болезни сердца. Этот показатель может быть использован для объективизации отбора пациентов с РАГ для проведения процедуры симпатической денервации почечной артерии и лучшего прогнозирования эффективности этой процедуры [12, 13]. Однако нельзя исключать, что сочетанное развитие РАГ и СД2 изменит информативность показателя β-АРМ эритроцитов.
Цель работы — исследовать сопряженность β–адренореактивности мембран эритроцитов с клиническими и лабораторно-инструментальными показателями у пациентов с резистентной артериальной гипертензии в зависимости от наличия или отсутствия сахарного диабета 2-го типа.
МЕТОДИКА
Проводили сравнительное одномоментное исследование, в рамках которого были проанализированы данные 62 пациентов обоего пола в возрасте от 40 до 80 лет с РАГ, госпитализированных в НИИ кардиологии Томского НИМЦ (г. Томск). Под РАГ понимали не достижение целевого уровня АД, при приеме трех антигипертензивных препаратов в оптимальных дозах, после исключения неприверженности к лечению, артериальной гипертензией “белого халата” и вторичных форм артериальной гипертензией (АГ) [14]. Критериями не включения в исследование являлись: сахарный диабет 1-го типа; уровень гликированного гемоглобина (HbA1с) > 10%; беременность; перенесенные менее года назад острые сосудистые осложнения; нестабильная стенокардия; хроническая сердечная недостаточность выше II функционального класса по классификации Нью-Йоркской ассоциации сердца (NYHA); тяжелые сопутствующие заболевания; травматическое и токсическое повреждение почек; расчетная скорость клубочковой фильтрации (рСКФ) < 30 мл/мин/1.73м2; инфекционные заболевания, требующие активной антибактериальной и/или противовирусной терапии.
В общей выборке 38 пациентов страдали сахарным диабетом СД2. Диагноз CД2 устанавливали руководствуясь действующими рекомендациями [15]. Все пациенты с СД2 наблюдались у эндокринолога и получали индивидуально подобранную терапию (табл. 1). Подгруппы пациентов без СД2 и с его наличием имели сопоставимый стаж АГ (24 ± 11.4 и 22.7 ± 11.0 лет соответственно), значимо не различались по возрасту (соответственно — 59.3 ± 4.8 и 62.1 ± 7.0 лет, р = 0.09) и гендерному составу — мужчины/женщины (соответственно — 50/50 и 34/66, р = 0.17). Подгруппы не различались и по антигипертензивной терапии (табл. 1).
Таблица 1. Проводимая терапия в группах пациентов с артериальной гипертензией при наличии и отсутствии сахарного диабета 2-го типа
Показатели | Группы пациентов | р | |
Артериальная гипертензия без сахарного диабета | Артериальная гипертензия с сахарным диабетом | ||
Антигипертензивная терапия | |||
β-адреноблокаторы, n (%) | 18 (75.0) | 34 (89.5) | 0.124 |
Блокаторы РААС, n (%) | 24 (100) | 35 (92.1) | 0.223 |
Диуретики, n (%) | 22 (91.7) | 38 (100) | 0.146 |
Антагонисты кальция, n (%) | 17 (70.8) | 29 (76.3) | 0.424 |
Спиронолактон, n (%) | 11 (45.8) | 15 (39.5) | 0.408 |
Агонисты имидазолиновых рецепторов, n (%) | 4 (16.7) | 11 (29.0) | 0.215 |
α-адреноблокаторы, n (%) | 4 (16.8) | 6 (15.8) | 0.596 |
Терапия сахарного диабета | |||
Диета, n (%) | ‒ | 1 (2.6) | |
Монотерапия пероральными сахар снижающими препаратами, n (%) | ‒ | 13 (34.2) | |
Комбинированная сахар снижающая терапия, n (%) | ‒ | 10 (26.3) | |
Инсулин, n (%) | ‒ | 14 (36.8) | |
Примечание: n (%) – качественные значения выражены в абсолютных (n) и относительных величинах в процентах (%).
Выполняли комплекс клинико-инструментальных исследований согласно стандартам обследования больных АГ: измерение офисного и среднесуточного АД, эхокардиографию, суточное мониторирование ЭКГ, рутинные лабораторные тесты, включающие, в том числе, измерение уровня гликированного гемоглобина (HbA1c) и объема суточной мочи.
Офисное систолическое и диастолическое АД (САД и ДАД) измеряли по стандартной методике [14], для суточного мониторирования АД использовали системы автоматического измерения АД АВРМ-04 (Meditech, Венгрия) и BPLab (ООО “Петр Телегин”, Россия).
ЭхоКГ-исследования проводили на ультразвуковой системе экспертного класса (Philips IE33, Нидерланды) по стандартному протоколу. Дополнительно рассчитывали значения артериального (Ea) и левожелудочкового эластансов (Ees) как интегральных показателей, соответственно, артериальной жесткости и жесткости миокарда левого желудочка (ЛЖ) в период систолы, а также индекс аортально-левожелудочкового сопряжения (Ea/Ees) [16]. Расчет Еа проводили по формуле:
Еа = САД × 0.9/УО, (1)
где САД — систолическое АД (мм рт. ст.), УО — ударный объем (мл). Для вычисления Ees использовали формулу:
Ees = САД × 0.9/КСО, (2)
где САД — систолическое АД (мм рт. ст.); КСО — конечный систолический объем левого желудочка.
Инструментальную оценку функционального состояния ВНС проводили на основе анализа вариабельности сердечного ритма (ВСР) с использованием системы комбинированного СМАД и ЭКГ (Сard(X)plore, Meditech, Венгрия). По результатам долговременной записи ЭКГ измеряли спектральную плотность мощности: низкочастотный компонент (LF, low frequency) в качестве маркера симпатической активности и высокочастотный компонент (HF), отражающий тонус парасимпатической нервной системы (HF, high frequency) [17].
Для определения β-АРМ эритроцитов использовали образцы цельной венозной крови и коммерческие наборы “Бета-АРМ” (ООО “Агат-Мед”, Россия). Метод оценки β-АРМ эритроцитов основан на феномене торможения гипоосмотического гемолиза эритроцитов β-адреноблокатором — 1-(1изопропиламино)-3-(1-нафталенил-окси)-2-пропанола гидрохлорида. Это вещество связываясь с β-адренорецепторами (β-АР) мембран эритроцитов предупреждает их разрушение в гипоосмотическом буфере [18]. За 100% принимали гемолиз эритроцитов в гипоосмотическом буфере без добавления β-адреноблокатора. Референсные значения показателя β-АРМ эритроцитов, согласно инструкции производителя набора, находятся в диапазоне 2–20 усл. ед. Значения β-АРМ эритроцитов >20 усл. ед. свидетельствуют о низком присутствии адренорецепторов и снижении адренореактивности.
Для статистической обработки использовали программу Statistica 10.0. Проверку согласия с нормальным законом распределения признаков выполняли с помощью критериев Колмогорова–Смирнова и Шапиро–Уилка. В случаях нормального распределения непрерывные переменные представляли в виде средней величины и стандартного отклонения — M ± SD, а при отсутствии нормального распределения — в виде медианы и межквартильного интервала — Me [25-й процентиль; 75-й процентиль]. Для выражения качественных значений использовали абсолютные и относительные величины — n (%), а при их анализе применяли точный критерий Фишера. Для оценки количественных взаимосвязей использовали параметрический коэффициент корреляции Пирсона. За критический уровень значимости p для всех процедур статистического анализа принимали < 0.05.
РЕЗУЛЬТАТЫ ИССЛЕДОВАНИЯ И ИХ ОБСУЖДЕНИЕ
Представленные в табл. 2 данные позволяют считать, что сформированные подгруппы были в целом сопоставимы по сопутствующим патологиям. При этом в подгруппе с СД2 было больше пациентов имевших ишемическую болезнь сердца или перенесенный инфаркт миокарда в анамнезе. Такой результат полностью согласуется с литературными данными о том, что наличие СД2 повышает риск развития коронарных нарушений [19]. Выявленное преобладание коронарных нарушений и наличие СД2 вполне объясняет различия, обнаруженные при статистической обработке лабораторно-клинических показателей рассматриваемых подгрупп (табл. 3).
Таблица 2. Сопутствующие патологии в группах пациентов с артериальной гипертензией при наличии и отсутствии сахарного диабета 2-го типа
Показатель | Группы пациентов | р | |
Артериальная гипертензия без сахарного диабета | Артериальная гипертензия с сахарным диабетом | ||
Ишемическая болезнь сердца, n (%) | 10 (41.67) | 26 (68.4) | 0.038 |
Инфаркт миокарда в анамнезе, n (%) | 3 (12.5) | 8 (21.1) | 0.308 |
Инсульт в анамнезе | 2 (8.33) | 6 (15.8) | 0.329 |
Периферический атеросклероз, n (%) | 21 (87.5) | 35 (92.1) | 0.427 |
Дислипидемия, n (%) | 23 (95.8) | 38 (100) | 0.387 |
Абдоминальное ожирение, n (%) | 18 (75.0) | 35 (92.1) | 0.069 |
Изолированная систолическая артериальная гипертензия | 4 (16.7) | 18 (47.4) | 0.426 |
Гипертрофия левого желудочка, n (%) | 21 (87.5) | 30 (78.9) | 0.308 |
Примечание: n (%) – качественные значения выражены в абсолютных (n) и относительных величинах в процентах (%); жирным шрифтом выделены статистически значимые различия.
Таблица 3. Лабораторно–инструментальные и клинические показатели рассматриваемых групп (M ± SD)
Показатели | Группы пациентов | р | |
Артериальная гипертензия без сахарного диабета | Артериальная гипертензия с сахарным диабетом | ||
Индекс массы тела, кг/м2 | 34.2 ± 4.1 | 35.3 ± 5.6 | 0.412 |
Офисное систолическое артериальное давление, мм рт. ст. | 166.8 ± 17 | 168,8 ± 21,4 | 0,703 |
Офисное диастолическое артериальное давление, мм рт. ст. | 94.6 ± 9.7 | 84.4 ± 16.2 | 0.008 |
Офисная частота сердечных сокращений, уд./мин | 70 ± 10.3 | 67.4 ± 10.3 | 0.354 |
Среднесуточное систолическое артериальное давление, мм рт. ст. | 156.6 ± 16.5 | 160.3 ± 14.2 | 0.359 |
Среднесуточное диастолическое артериальное давление, мм рт. ст. | 79.8 ± 13.5 | 90.8 ± 10.5 | 0.002 |
Гликированный гемоглобин, % | 5.3 ± 0.7 | 7.2 ± 1.4 | 0.019 |
Базальная гликемия, ммоль/л | 6.2 ± 0.5 | 8.4 ± 2.8 | 0.001 |
Расчетная скорость клубочковой фильтрации, мл/мин/1.73м2 | 77.5 ± 15.8 | 69 ± 19.4 | 0.100 |
Примечание: жирным шрифтом выделены статистически значимые различия.
Можно полагать, что СД2 в силу своего системного влияния исказит направленность изменений показателя β-АРМ эритроцитов. Значения этого показателя в рассматриваемых подгруппах после их статистической обработки представлены на рис. 1. Оказалось, что независимо от наличия СД2 этот показатель более чем в 2 раза превышал референсные значения. При этом, несмотря на различие клинического статуса в виде более высокой частоты коронарного атеросклероза и более низких значений диастолического АД у больных с сочетанием РАГ и СД, межгрупповое отличие средних значений β-АРМ эритроцитов не достигало критериев статистической значимости. Отсутствовали значимые межгрупповые различия (χ2 = 0.38, p = 0.537) и в частоте случаев превышения показателя β-АРМ эритроцитов порога нормальных значений (рис. 2). В каждой из групп, у более 80% пациентов были получены высокие значения показателя β-АРМ эритроцитов. При этом его величина не зависела от гендерного состава групп. Так, среднее значение показателя β-АРМ эритроцитов в группе РАГ без СД у мужчин и женщин были сопоставимы (41.9 ± 18.7 против 41.0 ± 19.3, р = 0.894 соответственно). Наличие СД не повлияло на это соотношение. В группе пациентов с сочетанным развитием РАГ и СД, среднее значение показателя β-АРМ эритроцитов у мужчин и женщин также были сопоставимы (44.0 ± 23.2 против 47.7 ± 21.4, р = 0.680 соответственно).
Рис. 1. Значения показателя β-АРМ эритроцитов у пациентов с резистентной артериальной гипертензией в зависимости от отсутствия или наличия сахарного диабета 2‑го типа. По оси ординат — значение показателя β-АРМ в условных единицах; по оси абсцисс — группы пациентов (РАГ — резистентная гипертензия, СД2 – сахарный диабет 2‑го типа).
Рис. 2. Частота повышения β-АРМ эритроцитов у больных с резистентной артериальной гипертензией в зависимости от наличия или отсутствия диабета. По оси ординат — количество пациентов (в %), соответствующих и превышающих пороговые значения показателя β-АРМ эритроцитов; по оси абсцисс — группы пациентов (РАГ– резистентная гипертензия, СД2 – сахарный диабет 2‑го типа).
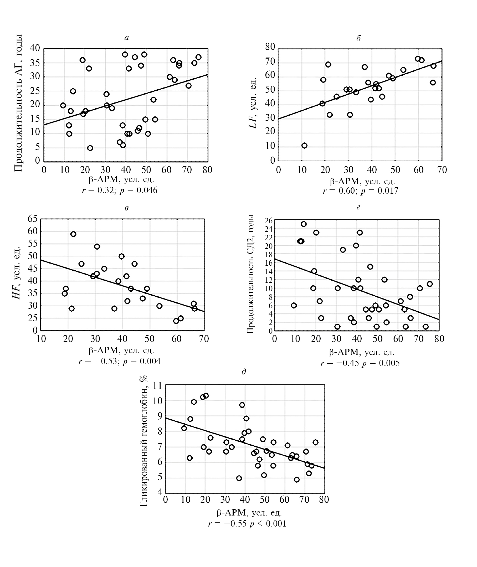
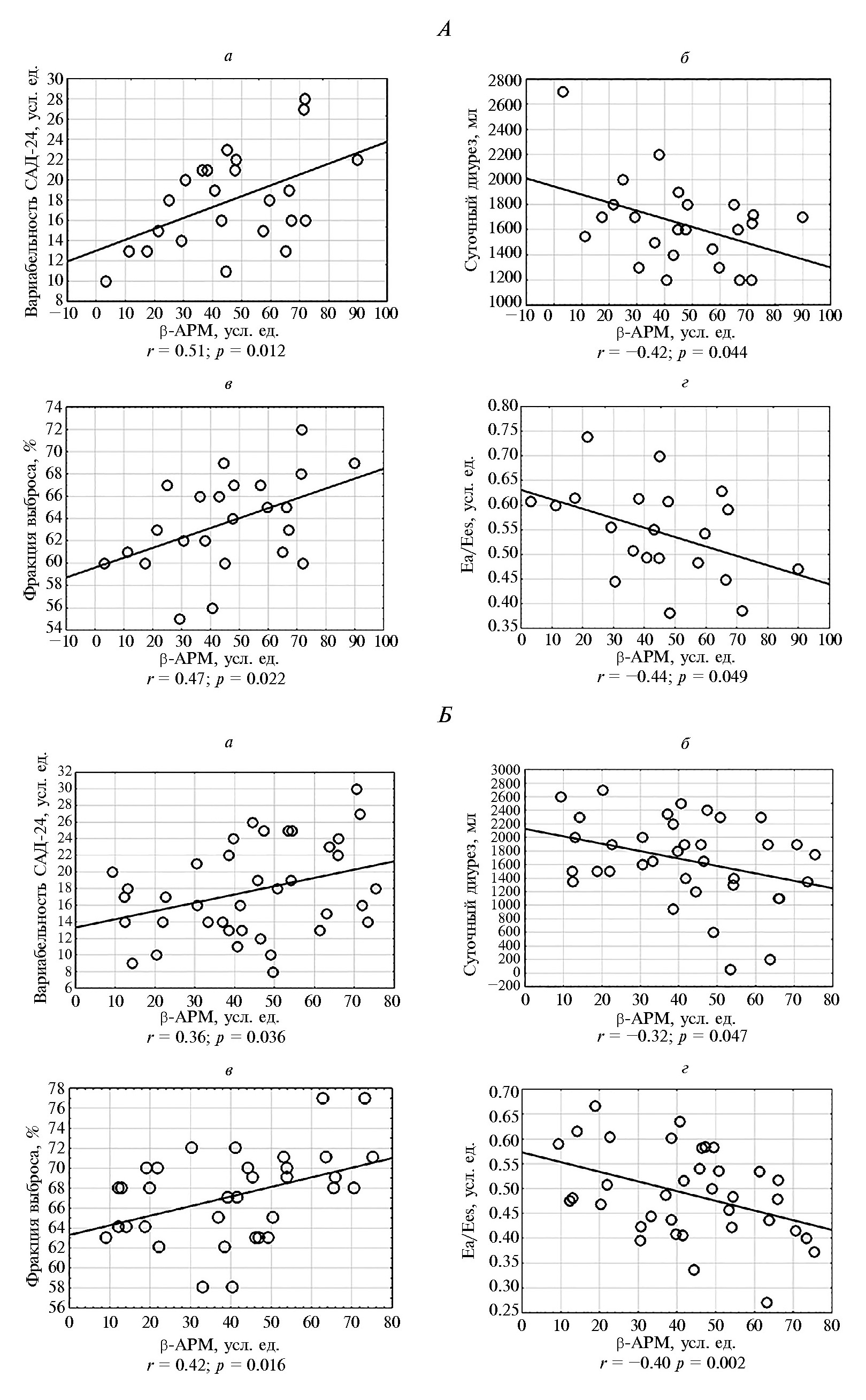
Был проведен корреляционный анализ между показателем β-АРМ эритроцитов и другими результатами клинико-инструментального обследования пациентов. Выявлено (рис. 3, А), что у пациентов с РАГ без сопутствующего СД2 повышение значения β-АРМ эритроцитов статистически значимо связано с увеличением вариабельности среднесуточного АД, уменьшением объема суточной мочи, возрастанием фракции выброса ЛЖ и снижением индекса артериально-левожелудочкового эластанса. Аналогичные взаимосвязи были обнаружены и для больных с сочетанием РАГ и СД 2-го типа (рис. 3, Б). Дополнительно к этому в данной подгруппе (рис. 4) была обнаружена значимая положительная корреляционная связь β-АРМ эритроцитов с продолжительностью АГ, показателями желудочкового эластанса и значениями низкочастотного компонента (LF) ВСР, при наличии отрицательных взаимосвязей с его высокочастотным компонентом (HF), а также с продолжительностью СД2 и уровнем HbA1c.
Рис. 3. Корреляционные связи β-АРМ эритроцитов с клиническими и лабораторно-инструментальными данными у больных с резистентной артериальной гипертензией (РАГ) при отсутствии (А) и наличии сахарного диабета 2‑го типа (СД2) (Б). а — с вариабельностью среднесуточного АД; б — с объемом суточной мочи; в — с фракцией выброса левого желудочка; г — с индексом артериально-левожелудочкового эластанса.
Рис. 4. Дополнительные корреляционные взаимосвязь показателя β-АРМ эритроцитов с клинико-лабораторными показателями при сочетанном развитии резистентной артериальной гипертензии и сахарного диабета 2‑го типа. а — с продолжительностью артериальной гипертензии; б — со значениями низкочастотного компонента (LF) спектра вариабельности сердечного ритма (ВСР); в — со значениями высокочастотного компонента (HF) спектра ВСР; г — с продолжительностью СД2; д — с уровнем гликированного гемоглобина.
Известно, что увеличение значения β-АРМ эритроцитов отражает уменьшение количества функционально активных β-адренорецепторов на мембранах эритроцитов в результате длительной симпатической гиперактивации [18]. Проведенное нами сравнительное исследование групп пациентов с РАГ с наличием и отсутствием СД2 показало, что уровень β-АРМ эритроцитов этих групп значительно превышает референсные значения. Такой результат свидетельствует о том, что пациенты с РАГ, в том числе в сочетании с СД2, характеризуются сниженной адренореактивностью. Однако мы не обнаружили значимых межгрупповых отличий по величине и частоте выявляемости высоких значений этого показателя. Действительно, исходя из данных о более выраженной симпатической активности при сочетании АГ с СД2 по сравнению с моновариантным развитием АГ и СД2 [20], можно было предположить наличие значимой межгрупповой разницы по этому показателю. Обнаруженное противоречие, вероятно, является отражением возможного прямого влияния СД2 на устойчивость эритроцитов к процессу гемолиза. Это предположение согласуется с данными о том, что в условиях in vitro на фоне повышенного уровня глюкозы можно наблюдать как ускорение гемолиза [21], так и замедление этого процесса [22]. В связи с этим, показанная нами обратная количественная взаимосвязь β-АРМ эритроцитов с длительностью и тяжестью нарушений углеводного обмена могла быть следствием диабет-индуцированного изменения клеточных мембран. Более того, можно предположить, что хроническая гипергликемия способна лимитировать возрастание этого показателя у больных РАГ.
Примечательно, что у больных РАГ независимо от наличия или отсутствия СД2 β-АРМ эритроцитов была тесно связана с маркерами симпатической активности. Такими маркерами являются: увеличение вариабельности АД [23], уменьшение объема суточной мочи [24], усиление контрактильной способности ЛЖ вследствие положительного инотропного эффекта симпатической стимуляции [25], а также снижение сопряжения системы сердце — артерии, отражающее нарушение способности сосудистой стенки компенсировать колебания АД при усилении механической работы сердца. Не менее важно, что, согласно полученным нами результатам, сочетанное развитие РАГ и СД2 усиливало клиническое проявление гиперсимпатикотонии. Именно этим обстоятельством можно объяснить тот факт, что при сочетанном развитии РАГ и СД2 сопряженность β-АРМ эритроцитов с другими клинико-лабораторными показателями существенно расширилась. Обоснованность такого предположения подтверждается выявленной у больных РАГ с СД2 статистически значимой связи β-АРМ эритроцитов с повышением низкочастотного компонента ВСР (LF), и снижением его высокочастотного компонента (HF). Этот результат не противоречит нашим ранее опубликованным данным о сопряженности показателя β-АРМ эритроцитов с симпатикотоническим и ваготоническим изменениями вариабельности ритма сердца [26]. Кроме того, для пациентов с сочетанным развитием РАГ и СД2, нами была выявлена прямая связь β-АРМ эритроцитов с продолжительностью АГ. Роль нейрогенных факторов, включающих гиперсимпатикотонию, в патофизиологии АГ была доказана ранее [1, 2]. Разнонаправленность взаимосвязей β-АРМ эритроцитов с выраженностью гемодинамических и метаболических нарушений может объяснять феномен сопоставимости β-АРМ эритроцитов у больных РАГ с наличием и отсутствием СД2, несмотря на различие симпатической активности [20]. Дополнительно к этому у больных с РАГ в сочетании с СД2 нами была показана прямая связь β-АРМ эритроцитов с повышением левожелудочкового эластанса. Этот результат, вероятно, отражает ассоциацию вегетативного дисбаланса с возрастанием миокардиальной жесткости, что является характерной чертой ремоделирования миокарда при сахарном диабете [27].
ЗАКЛЮЧЕНИЕ
Таким образом, на основании анализа полученных данных можно считать, что при развитии у человека лекарственно резистентной АГ, β-адренореактивность эритроцитарных мембран может быть новым биомаркером симпатической активности, а наличие СД2 не устраняет, а напротив усиливает сопряженность этого показателя с клинико-лабораторными данными. При этом β-адренореактивность эритроцитарных мембран можно использовать для персонализированной оценки активности вегетативной регуляции сердечно-сосудистой системы.
Финансирование работы. Работа проведена в рамках выполнения темы НИОКТР № 122020300183-4.
Соблюдение этических стандартов. Все исследования проводились в соответствии с принципами биомедицинской этики, изложенными в Хельсинкской декларации 1964 г. и последующих поправках к ней. Они также были одобрены Комитетом по этике Научно-исследовательского института кардиологии Томского национального исследовательского медицинского центра (Томск), протокол № 208 от 20.01.2021 г.
Информированное согласие. Каждый участник исследования дал добровольное письменное информированное согласие после получения разъяснений о потенциальных рисках и преимуществах, а также о характере предстоящего исследования.
Конфликт интересов. Авторы данной работы заявляют, что у них нет конфликта интересов.
Вклад авторов в публикацию. Все авторы приняли участие в обсуждении идеи и композиции рукописи. Замысел — С.А. Афанасьев. Методология — В.Ф. Мардовин. Формирование когорт пациентов и их обследование — И.В. Зюбанова, Е.И. Солонская, В.А. Личикаки. Лабораторные исследования и формальный анализ результатов выполнили Т.Ю. Реброва, Э.Ф. Муслимова, Д.С. Кондратьева, В.А. Корепанов. Составление исходного черновика статьи — М.А. Манукян. Рецензирование и редактирование — А.Ю. Фальковская. Окончательный вариант рукописи прочитан и одобрен всеми авторами.
About the authors
S. A. Afanasiev
Tomsk National Research Medical Center, RAS, Cardiology Research Institute
Author for correspondence.
Email: Tursky@cardio-tomsk.ru
Russian Federation, Tomsk
M. A. Manukyan
Tomsk National Research Medical Center, RAS, Cardiology Research Institute
Email: Tursky@cardio-tomsk.ru
Russian Federation, Tomsk
T. Yu. Rebrova
Tomsk National Research Medical Center, RAS, Cardiology Research Institute
Email: Tursky@cardio-tomsk.ru
Russian Federation, Tomsk
I. V. Zyubanova
Tomsk National Research Medical Center, RAS, Cardiology Research Institute
Email: Tursky@cardio-tomsk.ru
Russian Federation, Tomsk
E. F. Muslimova
Tomsk National Research Medical Center, RAS, Cardiology Research Institute
Email: Tursky@cardio-tomsk.ru
Russian Federation, Tomsk
E. I. Solonskaya
Tomsk National Research Medical Center, RAS, Cardiology Research Institute
Email: Tursky@cardio-tomsk.ru
Russian Federation, Tomsk
V. A. Korepanov
Tomsk National Research Medical Center, RAS, Cardiology Research Institute
Email: Tursky@cardio-tomsk.ru
Russian Federation, Tomsk
V. A. Lichikaki
Tomsk National Research Medical Center, RAS, Cardiology Research Institute
Email: Tursky@cardio-tomsk.ru
Russian Federation, Tomsk
D. S. Kondratieva
Tomsk National Research Medical Center, RAS, Cardiology Research Institute
Email: Tursky@cardio-tomsk.ru
Russian Federation, Tomsk
V. F. Mordovin
Tomsk National Research Medical Center, RAS, Cardiology Research Institute
Email: Tursky@cardio-tomsk.ru
Russian Federation, Tomsk
A. Yu. Falkovskaya
Tomsk National Research Medical Center, RAS, Cardiology Research Institute
Email: Tursky@cardio-tomsk.ru
Russian Federation, Tomsk
References
- Konradi A.O. [Autonomic nervous system in arterial hypertension and heart failure: current understanding of its pathophysiologic role and innovative treatment approaches] // Russ. J. Cardiol. 2013. V. 102. № 4. P. 52.
- Konradi A.O. [Interrelation between sympathetic and renin-angiotensin systems: role in arterial hypertension] // Arterial’naya Gipertenziya. 2012. V. 18. № 6. P. 577.
- Gavras I., Manolis A., Gavras C. The paradigm of suppression of the sympathetic system in chronic heart failure // Int. Med. J. 2000. № 3. P. 213.
- Mitoff P.R., Gam D., Ivanov J. et al. Cardiac-specific sympathetic activation in men and women with and without heart failure // Heart. 2011. V. 97. № 5. Р. 382.
- Law M., Morris J., Wald N. Use of blood pressure lowering drugs in the prevention of cardiovascular disease: meta-analysis of 147 randomised trials in the context of expectations from prospective epidemiological studies // BMJ. 2009. V. 338. P. b1665.
- Bernotiene G., Dulskiene V., Klumbiene J. et al. Worldwide trends in hypertension prevalence and progress in treatment and control from 1990 to 2019: a pooled analysis of 1201 population-representative studies with 104 million participants // Lancet. 2021. V. 398. № 10304. P. 957.
- Boytsov S.A., Drapkina O.M., Shlyakhto E.V. et al. [Epidemiology of Cardiovascular Diseases and their Risk Factors in Regions of Russian Federation (ESSERF) study. Ten years later] // Cardiovasc. Ther. Prev. 2021. V. 20. № 5. P. 3007.
- Kontsevaya A.V., Mukaneeva D.K., Myrzamatova A.O. et al. [Economic damage of risk factors associated with morbidity and mortality from major chronic non-communicable diseases in Russia in 2016] // Cardiovasc. Ther. Prev. 2020. V. 19. № 1. P. 2396.
- Hu G., Jousilahti P., Tuomilehto J. Joint effects of history of hypertension at baseline and Type 2 diabetes at baseline and during follow-up on the risk of coronary heart disease // Eur. Heart J. 2007. V. 28. № 24. P. 3059.
- Wang Z., Yan T., Fu H. Prevalence of diabetes and hypertension and their interaction effects on cardio-cerebrovascular diseases: a cross-sectional study // BMC Public Health. 2021. V. 21. № 1. P. 1224.
- Huggett R.J., Scott E.M., Gilbey S.G. Impact of type 2 diabetes mellitus on sympathetic neural mechanisms in hypertension // Circulation. 2003. V. 108. № 25. P. 3097.
- Rebrova T.Yu., Ripp T.M., Afanasiev S.A. et al. [Possibility of evaluating the effectiveness of renal artery sympathetic denervation in resistant hypertension early after radiofrequency ablation] // Ter. Arkh. 2016. V. 88. № 8. P. 10.
- Ripp T.M., Rebrova T.Yu., Mordovin V.F. et al. [Criteria for selecting patients with resistant hypertension for a renal sympathetic denervation] // Ter. Arkh. 2016. V. 88. № 8. P. 14.
- Kobalava Z.D., Konradi A.O., Nedogoda S.V. et al. [Arterial hypertension in adults. Clinical guidelines 2020] // Russ. J. Cardiol. 2020. V. 25. № 3. P. 3786.
- Dedov I.I., Shestakova M.V., Mayorov A.Y. et al. [Algorithms of specialized medical care for patients with diabetes mellitus] // Diabetes Mellitus. 2019. 9th edition. V. 22. № 1S1. P. 1.
- Chen C.-H., Fetics B., Nevo E. et al. Noninvasive single-beat determination of left ventricular end-systolic elastance in humans // J. Am. Coll. Cardiol. 2001. V. 38. № 7. P. 2028.
- Heart rate variability: standards of measurement, physiological interpretation and clinical use / Task Force of the European Society of Cardiology and the North American Society of Pacing and Electrophysiology // Circulation. 1996. V. 93. № 5. P. 1043.
- Stryuk R.I., Dlusskaya I.G. [Adrenoreactivity and the cardiovascular system]. M.: Medicine, 2003. 160 с.
- Leon B.M., Maddox T.M. Diabetes and cardiovascular disease: epidemiology, biological mechanisms, treatment recommendations and future research // World J. Diabetes. 2015. V. 6. № 13. Р. 1246.
- Huggett R.J., Scott E.M., Gilbey S.G. et al. Impact of Type 2 Diabetes Mellitus on Sympathetic Neural Mechanisms in Hypertension // Circulation. 2003. V. 108. № 25. P. 3097.
- Marar T. Amelioration of glucose induced hemolysis of human erythrocytes by vitamin E // Chem. Biol. Interact. 2011. V. 193. № 2. P. 149.
- Viskupicova J., Blaskovic D., Galiniak S. et al. Effect of high glucose concentrations on human erythrocytes in vitro // Redox Biol. 2015. V. 5. P. 381.
- Kochetkov A.I., Ostroumova O.D., Borisova E.V., Piksina G.F. [Mechanisms for the Development of Blood Pressure Variability and the Potential of Antihypertensive Drugs in Their Correction] // Kardiologiia. 2019. V. 59. № 11. P. 56.
- Di Bona G.F. Physiology in perspective: The wisdom of the body. Neural control of the kidney // J. Physiol. Regul. Integr. Comp. Physiol. 2005. V. 289. № 3. Р. R633.
- Vorobyova D.A., Rebrova T.Yu., Afanasyev S.A., Ryabov V.V. [Comparative analysis of adrenergic reactivity of erythrocytes in patients with myocardial infarction depending on the severity of coronary obstruction] // Russ. J. Cardiol. 2020. V. 25. № 5. P. 37.
- Borisova E.V., Afanasyev S.A., Rebrova T.Yu. et al. [A change in adrenal responsiveness in sotalol-treated patients with paroxysmal atrial fibrillation depending on autonomic nervous system tone] // Ter. Arkh. 2016. № 1. P. 35.
- Svarovskaya A.V., Garganeeva A.A. [Diabetes mellitus and heart failure — a modern look at the mechanisms of development] // Diabetes Mellitus. 2022. V. 25. № 3. P. 267.
Supplementary files





