Динамика частоты дыхания и вариабельности ритма сердца при выполнении когнитивной задачи двух уровней сложности
- Авторы: Крикленко Е.А.1, Ковалева А.В.1
-
Учреждения:
- ФГБНУ «ФИЦ оригинальных и перспективных биомедицинских и фармацевтических технологий»
- Выпуск: Том 50, № 4 (2024)
- Страницы: 92-104
- Раздел: Статьи
- URL: https://medbiosci.ru/0131-1646/article/view/268065
- DOI: https://doi.org/10.31857/S0131164624040082
- EDN: https://elibrary.ru/BSWASY
- ID: 268065
Цитировать
Полный текст
Аннотация
Исследование посвящено изучению изменения вариабельности ритма сердца (ВРС) и частоты дыхания (ЧД) при выполнении когнитивной задачи двух уровней сложности. Был использован временно́й, частотный и нелинейный анализ ритма сердца. Установлено, что ЧД и ряд показателей ВРС (ЧСС, SDNN, RMSSD, SD2, SD2/SD1) изменяются при увеличении умственной нагрузки, однако при этом не демонстрируют статистически достоверных различий на протяжении всего периода измерения. В связи с этим впервые для когнитивных исследований был применен интегративный показатель, связывающий параметры сердца и дыхания, физиологическая цена деятельности (ФЦД), который ранее использовался в работах со спортсменами при выполнении ими физических упражнений до отказа. Изменение ФЦД показало, что различия между простой и сложной задачами можно выявить во время всех блоков исследования. Таким образом, установлено, что разница в функциональном состоянии человека в процессе выполнения непрерывного задания двух уровней сложности наиболее достоверно выявляется при использовании интегративного показателя ФЦД, отражающего совокупное изменение активности дыхательной и сердечно-сосудистой систем организма относительно предыдущего периода относительного покоя.
Полный текст
Мониторинг и непрерывная регистрация физиологических показателей во время реальных рабочих процессов может позволить оперативно получить информацию о динамике функционального состояния человека и объективно оценить субъективную сложность текущего задания [1]. Поведение человека, в том числе и профессиональное, представляет собой непрерывный процесс, в котором этапы с высокой когнитивной нагрузкой (более сложные задачи) чередуются с относительным функциональным покоем.
При этом при оценке деятельности человека внутри рабочего процесса важно учитывать не только психофизиологическое напряжение в начале и по завершении работы, но и физиологические затраты на промежуточных этапах деятельности. Однако в реальных условиях исследователю сложно разделить непрерывный рабочий процесс на отдельные этапы, так как нет явных маркеров, указывающих на то, что важная часть деятельности завершена. Поэтому одной из задач настоящей работы стало создание эталонной исследовательской модели процесса деятельности, в которую были включены равные по времени последовательные блоки задач с высокой когнитивной нагрузкой и периоды относительного покоя (отсутствие когнитивной нагрузки). При этом характер задач был привычен для испытуемых, и также позволял вести непрерывную запись физиологических показателей.
При выполнении задач, отличающихся по уровню сложности, физиологические показатели проявляют разную чувствительность. Наиболее информативными считаются показатели работы сердца и дыхания, а также их взаимодействие между собой [2]. Для изучения влияния когнитивной нагрузки на человека, которую можно определить как ресурс, требуемый для обработки информации при выполнении задачи [3], часто используются различные показатели вариабельности ритма сердца (ВРС), отражающие изменение различных регуляторных влияний в организме человека в процессе умственной деятельности. Как правило, для оценки такой нагрузки применяют частотный (спектральный), временно́й и, крайне редко, нелинейный методы анализа ритма сердца [4, 5].
Однако, в связи с тем, что сердце иннервируется обеими ветвями вегетативной нервной системы [6, 7] и на его работу оказывают воздействие различные экстракардиальные влияния [8], довольно сложно определить, какое из звеньев регуляции преобладает в данный момент на основании одних только показателей ВРС. Тем не менее общепринятыми считаются представления о том, что при выполнении тяжелой работы в регуляторных механизмах сердечной деятельности доминируют симпатические влияния, а в состоянии функционального покоя – парасимпатические [8, 9].
Измерение частоты сердечных сокращений (ЧСС) в процессе оценки умственной нагрузки используется наиболее часто. Так, отмечено, что ЧСС увеличивается при росте требований со стороны задачи [10], в ситуациях множественных задач [11] и при предъявлении дополнительной нагрузки на рабочую память [12]. Однако изменения ЧСС в зависимости от трудности задания позволяют достоверно различать только самый низкий и самый высокий уровни нагрузки [13].
В ряде работ указывается, что при увеличении сложности когнитивной задачи происходит снижение мощности как высокочастотного (HF), так и низкочастотного (LF) компонента спектра ритма сердца [13–15]. По современным представлениям мощность спектра ритма сердца, включая LF компонент, преимущественно обусловлена парасимпатическими влияниями [16] и частично барорецепторными механизмами [7, 17]. Таким образом, снижение спектральной мощности во время умственной нагрузки может отражать увеличение симпатических и/или уменьшение парасимпатических влияний на сердце [18].
По данным ряда авторов, количественные показатели ВРС могут быть примерно одинаковыми при различных паттернах изменений ритма сердца [19–21]. Известно, что на показатели ВРС, особенно на спектральные характеристики, значительное влияние оказывают параметры дыхания (в том числе степень выраженности дыхательной синусовой аритмии). Наличие тесных кардиореспираторных взаимодействий позволяет утверждать, что для правильной интерпретации результатов анализа ВРС (в первую очередь спектрального) необходимо учитывать частоту и паттерн дыхания при выполнении когнитивных задач. Для оценки взаимодействия ритма сердца и дыхания применяют различные параметры ВРС [22, 23]. Считается, что системные взаимодействия между активностью сердца и дыхания наиболее ярко проявляются в высокочастотном компоненте спектра ритма сердца – HF-волнах [24], которые также называют дыхательными волнами.
Среди измеряемых параметров дыхания (частота и амплитуда дыхательных движений, состав и объем выдыхаемого воздуха) в когнитивных исследованиях чаще всего используют частоту дыхания (ЧД) [25]. Выявлено, что этот показатель растет с увеличением сложности задания, например, на симуляторе диспетчерской деятельности при изменении объема и плотности трафика [26], а также при выполнении арифметических задач [27]. Однако при непрерывной и длительной умственной нагрузке ЧД увеличивается только в первые 30 мин наблюдения и далее не изменяется, что затрудняет использование этого показателя в исследованиях деятельности человека в реальных условиях [28]. Кроме того, ЧД входит в различные интегративные показатели, отражающие кардиореспираторные взаимодействия [29, 30].
Одним из примеров кардиореспираторных взаимодействий является предложенный еще в 80-х гг. интегративный показатель физиологической цены деятельности (ФЦД), включающий в себя относительные сдвиги ЧСС и ЧД во время выполнения заданий относительно периода покоя [31]. ФЦД отражает представление о процессе деятельности как о совокупности предыдущих промежуточных этапов – так называемых "системоквантов поведения" [32], и, как следствие, о достигнутых внутри этих этапов результатах. Данный подход был отражен в дизайне настоящего исследования: каждый блок заданий разделен на равные по времени промежутки когнитивной нагрузки и покоя. Физиологический смысл ФЦД представляет собой, так называемый вектор "обобщенного вегетативного сдвига" как совокупность отклонений показателей физиологических функций (в данном случае это ЧСС и ЧД) в процессе деятельности от фоновых значений (периодов относительного покоя) [33].
Таким образом, по-прежнему актуальна задача выявления периодов с бо́льшей или меньшей нагрузкой на человека в процессе деятельности, оценки физиологических затрат для достижения высокого результата, прогнозирования снижения результативности и/или перенапряжения систем регуляции. Несмотря на то, что многие считают параметры ритма сердца, дыхания, а также показатели их взаимодействия одними из наиболее удобных и чувствительных для оценки степени нагруженности деятельности, в литературе нет единого представления о том, какие из показателей ВРС и кардиореспираторных взаимодействий наиболее информативны в отношении различения когнитивной нагрузки по уровню сложности.
Целью данного исследования было изучение динамики ЧД и ВРС, а также интегративного показателя "физиологическая цена деятельности" при выполнении когнитивной задачи двух уровней сложности на примере чтения прямого и перевернутого текста.
МЕТОДИКА
В исследование были включены 18 здоровых добровольцев (10 женщин), средний возраст 20.7 лет (SD = 2.67), без заболеваний сердечно-сосудистой и дыхательной системы, системной гипертензии или других состояний в анамнезе, которые могли бы потенциально повлиять на показатели ВРС. Все участники были соматически здоровы, отрицали наличие вредных привычек и не имели неврологических проблем на момент исследования.
Исследование проводили в отдельной комнате в контролируемых условиях: в дневное время при постоянной температуре. Запись физиологических показателей осуществляли непрерывно во время всего исследования с помощью полиграфа фирмы ThoughtTechnology (Канада). Длительность исследования для одного испытуемого составляла 9 мин.
После инструктажа и закрепления фотоплетизмографического (ФПГ) и пневмографического датчиков начиналась непрерывная запись физиологических показателей, которая завершалась только по окончании исследования. Участникам предлагали последовательно выполнить три блока упражнений, состоящих из равных по времени (60 с) этапов: периода относительного покоя, простого задания и сложного задания. Общая схема эксперимента и пример записи физиологических показателей представлены на рис. 1.
Рис. 1. Схема исследования с примерами реальной непрерывной записи физиологических показателей в процессе выполнения задания двух уровней сложности. Кожная проводимость в данной работе не анализировалась.
В качестве простого когнитивного задания участники исследования выполняли упражнение на чтение текста в обычной ориентации (прямого текста), а в качестве сложного – чтение геометрически измененного (перевернутого на 180°) текста. Во время периода покоя участники смотрели на фотографию пейзажа на экране монитора. Тексты (шрифт Arial) предъявляли на мониторе 15ʹ c помощью программы Microsoft Power Point в режиме непрерывной автоматической презентации. Все тексты представляли собой описание природных достопримечательностей и были предварительно проверены на удобство чтения и простоту восприятия на ресурсе https://readability.io/. Внутри одного блока упражнений перевернутый текст был продолжением прямого текста, но на каждом из последующих блоков тексты различались. Ни один из участников исследования ранее не встречался с таким заданием, как чтение геометрически измененного текста.
Субъективную сложность задания оценивали с помощью самооценки после окончания исследования. Испытуемым предлагали отнести выполненное задание к одной из двух категорий: "сложное задание" или "простое задание". Объективную сложность задания оценивали по скорости чтения (количество слов в минуту) прямого и перевернутого текста.
Ритм сердца регистрировали при помощи ФПГ-датчика, закрепленного на большом пальце левой руки. Поскольку спектр ритма сердца, полученный в результате анализа пульсовой волны (ФПГ), сопоставим со спектром ритма сердца, полученным из записей ЭКГ, особенно у здоровых испытуемых в состоянии покоя [34, 35], для анализа ВРС можно использовать ФПГ-сигнал вместо ЭКГ. Таким образом, из "сырого" сигнала фотоплетизмограммы были выделены PP (pulse-to-pulse) интервалы при помощи программного обеспечения Biograph Infiniti. Затем ряд кардиоинтервалов обрабатывали тремя видами анализа ВРС (временно́й, спектральный и нелинейный) с использованием программного обеспечения Kubios HRV Standard (версия 3.5.0) [36].
В дальнейшем анализе использовали вычисленные показатели ВРС, а также параметры частоты абдоминального дыхания, зарегистрированные при помощи пневмографического датчика (табл. 1).
Таблица 1. Описание используемых показателей ВРС и ЧД
Показатели | Единицы измерения | Описание |
HR | [уд./мин] | Частота сердечных сокращений (ЧСС) |
SDNN | [мс] | Стандартное отклонение RR интервалов |
RMSSD | [мс] | Квадратный корень из среднего квадрата разности значений соседних RR интервалов |
pNN50 | [%] | Число пар RR интервалов с разностью более 50 мс в % к общему числу RR интервалов в записи |
LF% | [%] | Относительная мощность низкочастотных (0.04–0.15 Гц) составляющих спектра ритма сердца |
HF% | [%] | Относительная мощность высокочастотных (0.15–0.4 Гц) составляющих спектра ритма сердца |
LF n.u. | – | Мощность низкочастотного составляющего спектра ритма сердца в нормализованных единицах измерения |
HF n.u. | – | Мощность высокочастотного составляющего спектра ритма сердца в нормализованных единицах измерения |
LF/HF | – | Соотношение низкочастотных и высокочастотных волн в спектре ритма сердца |
SD1 | [мс] | На графике Пуанкаре стандартное отклонение перпендикулярно линии тождества |
SD2 | [мс] | На графике Пуанкаре стандартное отклонение вдоль линии тождества |
SD1/SD2 | – | Соотношение между SD2 и SD1 |
ApEn | – | Приблизительная энтропия |
SampEn | – | Выборочная энтропия |
ЧД | раз/мин | Частота дыхания (абдоминальный датчик) |
В качестве интегративного показателя, связывающего параметры сердечной деятельности и дыхания, использовали показатель ФЦД [31]. Расчет ФЦД (ρ, %) производили по следующей формуле:
ρ = √ σЧСС2 + σЧД2, (1)
где σЧСС = 100% × (ЧССн – ЧССфон) / ЧССфон; σЧД = 100% × (ЧДн – ЧДфон)/ ЧДфон (ЧССн – частота сердечных сокращений при нагрузке; ЧССфон – частота сердечных сокращений в покое).
Физиологические показатели во время чтения оценивали относительно предшествующего состояния участников исследования. Относительные изменения показателей рассчитывали по следующей формуле:
Х = (Хn - Х0)/ Х0, (2)
где Xn – значение текущего показателя, а X0 – значение показателя в предшествующем состоянии (покой или простое задание) для данного испытуемого.
РЕЗУЛЬТАТЫ ИССЛЕДОВАНИЯ
Упражнение "чтение перевернутого на 180° текста" все испытуемые (n = 18) оценили как "сложное задание". Субъективная оценка сложности была подтверждена объективными показателями скорости чтения: средняя скорость чтения простого текста составила 135 слов/мин (SD = 16.78); средняя скорость чтения перевернутого текста составила 54 слова/мин (SD = 23.98), p < 0.01).
В связи с небольшим объемом выборки для оценки статистических различий между значениями ВРС и ЧД во время покоя и выполнения когнитивных заданий использовался непараметрический ранговый критерий Уилкоксона (уровень статистической значимости (p) принимали равным 0.001 и 0.05).
Изменения временны́х показателей ВРС. Во время выполнения как сложного, так и простого задания, SDNN, RMSSD, pNN50 уменьшались относительно предыдущего периода покоя, а ЧСС увеличивалась (табл. 2). При этом уровня статистической значимости во всех блоках исследования достигают только показатели ЧСС. Изменения SDNN достоверно отражали отличия простого задания от периода покоя в двух первых блоках, а в третьем блоке измерений показывали отличия сложного задания от состояния покоя. Показатели RMSSD и pNN50 во втором блоке исследования значимо различались в простом задании относительно периода покоя.
Таблица 2. Изменение показателей ВРС и ЧД при выполнении простого и сложного упражнения
Показатель | Блок 1 | Блок 2 | Блок 3 | |||||||
Фон | Просто | Сложно | Фон | Просто | Сложно | Фон | Просто | Сложно | ||
ЧД | M m | 13.246 ±0.244 | 13.214 ±0.225 | 13.161*, # ±0.219 | 13.157 ±0.231 | 13.111* ±0.229 | 13.081* ±0.224 | 13.059 ±0.239 | 13.053 ±0.230 | 13.044 ±0.219 |
ЧСС | M m | 83.889 ±2.460 | 96.444* ±3.098 | 91.333*, # ±2.498 | 80.889 ±2.373 | 90.222* ±2.852 | 90.944* ±2.605 | 82.611 ±2.471 | 86.444 ±3.181 | 89.500* ±2.694 |
SDNN | M m | 58.467 ±5.848 | 46.478* ±6.825 | 55.317 ±6.205 | 64.850 ±6.427 | 48.894* ±5.697 | 57.894 ±7.676 | 63.544 ±7.683 | 53.611 ±5.664 | 50.256* ±5.687 |
RMSSD | M m | 49.289 ±6.038 | 45.506 ±8.223 | 52.800 ±7.273 | 56.006 ±7.073 | 41.794* ±5.761 | 52.039 ±8.273 | 55.144 ±7.844 | 45.822 ±6.226 | 48.172 ±6.813 |
pNN50 | M m | 23.697 ±4.405 | 18.344 ±5.059 | 23.081# ±4.455 | 26.522 ±4.076 | 17.241 ±3.818 | 21.351 ±4.842 | 23.797 ±4.255 | 18.282 ±3.739 | 19.804 ±4.163 |
LF% | M m | 54.805 ±4.033 | 56.612 ±3.337 | 62.877 ±3.188 | 56.644 ±3.769 | 52.345 ±4.174 | 61.053 ±3.957 | 61.105 ±3.596 | 54.712 ±3.859 | 54.224 ±4.736 |
HF% | M m | 37.689 ±4.864 | 36.857 ±4.002 | 30.219 ±2.775 | 35.564 ±3.441 | 38.359 ±4.941 | 34.352 ±3.792 | 32.869 ±3.763 | 38.468 ±4.469 | 41.061 ±4.803 |
LF n.u. | M m | 59.839 ±4.790 | 60.963 ±3.909 | 67.294 ±3.039 | 60.981 ±3.693 | 58.469 ±4.936 | 63.861 ±4.067 | 65.084 ±3.891 | 59.145 ±4.496 | 56.813 ±5.078 |
HF n.u. | M m | 40.052 ±4.791 | 38.932 ±3.908 | 32.676 ±3.039 | 38.979 ±3.687 | 41.469 ±4.923 | 35.579 ±4.305 | 34.867 ±3.883 | 40.812 ±4.488 | 43.099 ±5.067 |
LF/HF | M m | 2.360 ±0.530 | 2.135 ±0.383 | 2.573 ±0.392 | 2.057 ±0.350 | 2.220 ±0.494 | 2.537 ±0.496 | 2.730 ±0.567 | 2.045 ±0.375 | 2.139 ±0.479 |
SD1 | M m | 35.153 ±4.563 | 31.841 ±6.180 | 35.706 ±5.039 | 39.988 ±5.353 | 28.765* ±4.230 | 34.018 ±5.365 | 37.688 ±5.682 | 32.576 ±4.704 | 33.218 ±5.022 |
SD2 | M m | 74.776 ±7.780 | 57.159* ±8.439 | 67.518# ±8.106 | 82.094 ±8.382 | 61.000* ±7.563 | 67.812 ±8.728 | 79.135 ±10.131 | 67.871 ±7.264 | 61.224* ±7.179 |
SD1/SD2 | M m | 2.349 ±0.166 | 2.078 ±0.137 | 2.087 ±0.147 | 2.263 ±0.130 | 2.368 ±0.166 | 2.165 ±0.118 | 2.291 ±0.137 | 2,252 ±0.113 | 2.035# ±0.152 |
ApEn | M m | 0.543 ±0.021 | 0.607* ±0.021 | 0.604 ±0.021 | 0.542 ±0.016 | 0.592* ±0.018 | 0.603* ±0.025 | 0.556 ±0.018 | 0.588 ±0.023 | 0.581 ±0.017 |
SampEn | M m | 1.582 ±0.059 | 1.570 ±0.060 | 1.629 ±0.077 | 1.566 ±0.078 | 1.541 ±0.146 | 1.460 ±0.093 | 1.539 ±0.073 | 1.550 ±0.059 | 1.645 ±0.135 |
Примечание: М – среднее арифметическое, м – ошибка среднего, * – сравнение с предыдущим фоном, # – сравнение сложного с простым. Достоверные значения выделены жирным шрифтом. Уровень статистической значимости (p) принимали равным 0.05 и 0.001.
При сравнении простого и сложного этапов между собой можно отметить, что ЧСС уменьшалась во время выполнения сложного задания в первом блоке и увеличивалась во втором и третьем блоке исследования относительно простого задания. Показатели SDNN, RMSSD и pNN50 увеличивались во время выполнения сложного задания по сравнению с простым. Уровня статистической значимости изменения временны́х показателей ВРС при сравнении сложного и простого заданий достигали только при первом предъявлении когнитивной нагрузки.
Изменения показателей спектрального анализа ритма сердца. В настоящем исследовании показатели спектрального анализа ритма сердца не достигли статистической значимости при изменении сложности задания, поэтому при их описании можно лишь говорить о проявленных тенденциях. Так, мощность низкочастотного компонента спектра ритма сердца (LF%) во время чтения как простого, так и перевернутого текста увеличивалась относительно периода покоя в первом блоке измерений, а мощность высокочастотного (HF%) уменьшалась (табл. 2). Однако далее LF% при выполнении простого задания во втором и третьем блоке, а также сложного в третьем блоке уменьшалась. Показатель HF% изменялся противоположным образом. Мощности низкочастотного и высокочастотного составляющих спектра ритма сердца в нормализованных единицах (LF n.u. и HF n.u.) изменялись аналогичным образом. Отношение LF/HF значительно уменьшалось в первом блоке во время выполнения простого упражнения относительно предыдущего периода покоя, и увеличивалось во время выполнения сложного задания. Во втором блоке отношение LF/HF росло относительно покоя при чтении как прямого, так и перевернутого текста, а в третьем блоке снижалось.
При сравнении простого и сложного задания между собой LF% и LF/HF росли во время чтения сложного текста во всех трех блоках исследования, а LF n.u. во время первого и второго блока. Мощность HF% увеличивалась в третьем блоке, а HF n.u. во втором и третьем блоке во время выполнения сложного задания.
Изменения нелинейных показателей ВСР. Показатель ширины облака Пуанкаре SD1 в первом блоке предъявления нагрузки при выполнении сложного задания увеличивался относительно предыдущего периода покоя (табл. 2), на всех остальных участках уменьшался (статистически значимо во втором блоке). Показатель длины облака Пуанкаре SD2 уменьшался при когнитивной нагрузке на протяжении всей записи, но статистической значимости этот тренд достигал в первом и втором блоках исследования при сравнении простого задания и периода покоя и в третьем блоке исследования при сравнении сложного задания с покоем. Отношение SD2/SD1 уменьшалось при чтении во всех блоках кроме второго, но значимости не достигало. Аппроксимированная энтропия ритма сердца (ApEn) росла во всех блоках (значимо в первом блоке при сравнении простого задания и этапа покоя и во втором блоке при выполнении всех заданий по сравнению с периодом покоя). Выборочная энтропия ритма сердца (SampEn) росла в первом и третьем блоке исследования при сравнении всех видов нагрузки с покоем, а во втором блоке падала, однако указанные изменения не достигали уровня статистической значимости.
При сравнении простого и сложного задания между собой значения SD1 и SD2 увеличивались во всех блоках, кроме третьего для SD2. ApEn уменьшалась, а SampEn росла в первом и третьем блоке. Статистической значимости изменения энтропии не достигали.
Изменения частоты дыхания. ЧД при выполнении сложного задания значительно снижалась относительно предыдущего периода покоя во время всех блоков исследования, достигая значимости в первом и втором блоках (табл. 2). При сравнении простого и сложного заданий между собой отмечалось статистически значимое уменьшение ЧД при чтении перевернутого текста по сравнению с обычным текстом в первом блоке исследования.
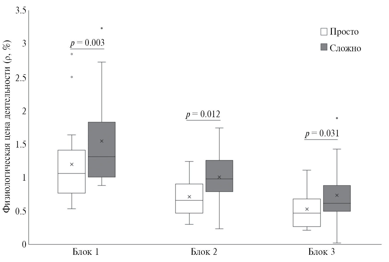
Изменения физиологической цены деятельности. В связи с тем, что ни один из измеренных физиологических параметров не показал статистических значимых различий между простым и сложным заданием во время всех блоков исследования, нами был применен интегративный показатель, связывающий ЧСС и ЧД – ФЦД (по С.Я. Классиной и Н.А. Фудину) [31]. На рис. 2 представлено сравнение значений ФЦД при чтении прямого текста (простое задание) и перевернутого на 180° текста (сложное задание).
Рис. 2. Физиологическая цена выполнения простого и сложного задания. Использован непараметрический ранговый критерий Уилкоксона. Уровень статистической значимости (p) принимали равным 0.05.
От блока к блоку наблюдалось последовательное снижение ФЦД, однако значение этого показателя при выполнении сложных заданий (чтение перевернутого текста) достоверно выше, чем при выполнении простых (чтение прямого текста). Эта разница демонстрировала статистическую значимость на протяжении всех блоков исследования.
ОБСУЖДЕНИЕ РЕЗУЛЬТАТОВ
В данной работе изучался вопрос о значимости изменений широкого перечня показателей ВРС (полученных по результатам временно́го, спектрального и нелинейного анализа), параметров дыхания и интегрального показателя (ФЦД), включающего в себя сдвиги как по ЧСС, так и по ЧД в процессе деятельности относительно предыдущего исходного состояния при изменении сложности когнитивного задания. В исследовании сложность задания моделировалась изменением ориентации текста – переворачиванием его на 180°.
Сложность деятельности определялась как по субъективному показателю (самооценка испытуемых после выполнения задания), так и по объективной оценке скорости чтения. На основании литературных данных можно было ожидать, что увеличение сложности будет значимо отражаться в изменении временны́х, нелинейных и, в особенности, частотных характеристиках ВРС. Однако наиболее чувствительными к изменению умственной нагрузки в настоящем исследовании оказались такие показатели временно́го анализа ВРС, как SDNN и RMSSD, которые статистически значимо уменьшались при увеличении сложности когнитивного задания. Кроме того, нами было отмечено увеличение ЧСС. Полученные результаты согласуются с описанными ранее данными [10–12] и могут быть связаны со снижением парасимпатического тонуса при увеличении нагрузки [18]. Кроме того, на некоторых этапах наблюдались изменения нелинейных показателей ВРС, отражающих неравномерную динамику ритма сердца во время нагрузки [37]. При этом не было отмечено статистически достоверных изменений частотных (спектральных) характеристик ВРС, которые наиболее часто используются в когнитивных исследованиях [38]. Так, например, в работе О.С. Глазачева и др. [39] показано, что моделирование психоэмоционального напряжения в виде устного счета приводило к значимому росту ЧСС, снижению значения моды кардиоинтервалов, увеличению амплитуды моды, росту мощности VLF-компонента спектра ритма сердца, уменьшение мощности HF-волн и росту отношения LF/HF, что авторы интерпретируют как рост симпатоадреналовой активации. Однако в данной работе нагрузка не дифференцировалась по уровню сложности. Результаты нашего исследования также демонстрируют значимый рост ЧСС, снижение ЧД, снижение показателей временно́го анализа ВРС, рост энтропии сердечного ритма, однако отсутствуют значимые изменения в спектральных характеристиках при выполнении задания на чтение (табл. 2). При этом различить более простое и более сложное задание в процессе деятельности оказалось возможно не по всем проанализированным показателям ВРС.
ЧД на сложных этапах когнитивного задания демонстрировала тенденцию к снижению относительно периода покоя, что отличается от динамики данного показателя при физической нагрузке [31] и не всегда согласуется с предыдущими исследованиями, в которых показано, что периоды умственной нагрузки характеризуются учащенным дыханием и более высокой минутной вентиляцией легких [25]. Однако статистической значимости снижение ЧД в нашем исследовании не достигало.
Можно предположить, что подобная динамика показателей ВРС и ЧД во время чтения прямого и перевернутого текста указывает на то, что "сложность" задания в нашем случае являлась недостаточной для выраженных сдвигов функционального состояния, которые в свою очередь можно было зафиксировать доступными способами. Однако динамика показателя ФЦД позволяет выявить различия в физиологическом обеспечении выполнения простого и сложного задания. В основе количественной меры данного показателя лежат относительные сдвиги значений ЧСС и ЧД [31, 40], но следует учитывать, что ранее он использовался в изучении физической нагрузки, у спортсменов в работе "до отказа" и продемонстрировал свою информативность в этой области. В исследованиях когнитивных функций и умственной нагрузки этот показатель был применен впервые. Понятие "физиологическая цена" (ρ, %) рассматривается как обобщенная мера перестроек вегетативных функций в процессе достижения этапного результата деятельности [41, 42], что позволяет предположить ее информативность для оценки физиологических затрат не только при физической, но и при умственной деятельности, что было продемонстрировано в настоящем исследовании.
ФЦД статистически значимо увеличивалась при переходе от покоя к выполнению простого задания, и далее росла при переходе к сложному заданию в каждом экспериментальном блоке (первое, второе и третье чтение). При первом чтении ФЦД была максимальна, что можно объяснить мобилизацией и ориентировочной реакцией испытуемого на новое для него упражнение. Далее (от первого блока к последующим) ФЦД снижается, что может являться отражением привыкания испытуемого к выполняемой нагрузке. Однако при выполнении как первого, так и последующих заданий имеется значимое отличие значения физиологической цены простого и сложного упражнения по сравнению с предыдущим периодом покоя.
Организация экспериментальной части исследования в виде трех последовательных блоков чтения прямого (простое задание) и перевернутого (сложное задание) текста с предварительным периодом покоя позволило выявить не только непосредственные изменения физиологических показателей при переходе от покоя к выполнению задания, но и динамику при повторном чтении. Выраженные изменения в первом блоке, очевидно, отражают ориентировочную реакцию в виде выраженной мобилизации ресурсов вне зависимости от сложности выполняемой задачи. При последующих заданиях (блок 2 и блок 3) происходит формирование новой функциональной системы физиологического обеспечения как привычного простого задания (чтение текста обычной ориентации), так и непривычного действия (чтение перевернутого текста). В результате можно наблюдать уменьшение признаков неспецифической активации и возможность различить более простое и более сложное задание по физиологическим сдвигам. Сходную динамику мы наблюдали в предыдущем исследовании при анализе кожной проводимости, которая, в отличие от сложной регуляции сердечного ритма, зависит только от симпатических влияний [43]. На такой же модели чтения было продемонстрировано, что средние значения кожной проводимости при первом чтении значимо отличались от фона как при простом, так и при сложном задании. На последующих этапах значимо от предыдущего фона отличались показатели во время сложного чтения (перевернутый текст), а между собой простое и сложное предъявление текста значимо отличалось по показателю кожной проводимости все три раза последовательного предъявления нагрузки [43]. То есть можно предположить снижение симпатической активации по мере угасания ориентировочной реакции и последующей адаптации к задаче, но сохранение роста напряжения при выполнении более сложного задания по сравнению с более простым.
Не вызывает сомнений, что уровень напряженности физиологических систем при выполнении той или иной деятельности и, соответственно, ее физиологическая цена находит свое отражение в регистрируемых показателях состояния физиологических систем организма. Еще в 90-х гг. в работах С.К. Судакова отмечалось, что наиболее информативными, неинвазивными и легко регистрируемыми показателями функционального состояния человека являются ритм сердца, параметры дыхания, а также их взаимодействие между собой, в частности кардиореспираторная синхронизация [2]. Однако параметры дыхания (в частности его частота) в исследованиях редко учитывают. В отдельных работах используют индекс Хильдебрандта – отношение частоты сердечных сокращений к частоте дыхания (ЧСС/ЧД) [29, 30, 44]. В нашем исследовании был использован показатель ФЦД, поскольку данный интегральный показатель включает в себя ЧСС и ЧД не только в фоне, но и во время выполнения заданий [31]. Физиологический смысл значения данного показателя состоит в том, что он является количественной мерой интенсивности изменений, происходящих в функциональной системе в процессе достижения полезного приспособительного результата, т.е. его физиологической ценой [33].
Таким образом, при анализе изменений ФЦД было установлено, что этот индекс позволяет достоверно выявлять различия между сравнительно простой и более сложной когнитивной нагрузкой в модели чтения прямого и перевернутого текста на всех этапах исследования независимо от угасания ориентировочной реакции.
ЗАКЛЮЧЕНИЕ
В данном исследовании продемонстрировано, что из всех проведенных трех видов анализа ритма сердца только единичные показатели позволяют различить простое и сложное задание. Следовательно, можно утверждать, что использование только одного метода анализа ритма сердца (в частности, спектральных характеристик) при оценке когнитивной деятельности без учета результатов других видов анализа ВРС (временно́го и нелинейного), а также параметров дыхания может привести к неверной интерпретации результатов из-за отсутствия динамики при незначительных изменениях характера нагрузки.
При изучении изменений физиологического состояния человека в процессе выполнения непрерывной и неравномерной по сложности деятельности более информативными представляются интегральные индексы, включающие в себя показатели работы нескольких систем организма. В данном исследовании была продемонстрирована возможность применения показателя "физиологическая цена деятельности" (по С.Я. Классиной и Н.А. Фудину), включающего в себя изменения ЧСС и ЧД, в качестве объективного индикатора сложности когнитивной задачи на примере чтения прямого и перевернутого текста.
Соблюдение этических стандартов. Все исследования проводились в соответствии с принципами биомедицинской этики, изложенными в Хельсинкской декларации 1964 г. и последующих поправках к ней. Они также были одобрены локальным биоэтическим комитетом НИИ Нормальной физиологии им. П.К. Анохина (Москва), протокол № 38/1 от 11.05.2023 г.
Каждый участник исследования дал добровольное письменное информированное согласие после получения разъяснений о потенциальных рисках и преимуществах, а также о характере предстоящего исследования.
Конфликт интересов. Авторы данной работы заявляют, что у них нет конфликта интересов.
Об авторах
Е. А. Крикленко
ФГБНУ «ФИЦ оригинальных и перспективных биомедицинских и фармацевтических технологий»
Автор, ответственный за переписку.
Email: kriklenko_ea@academpharm.ru
Россия, Москва
А. В. Ковалева
ФГБНУ «ФИЦ оригинальных и перспективных биомедицинских и фармацевтических технологий»
Email: kriklenko_ea@academpharm.ru
Россия, Москва
Список литературы
- Charles R.L., Nixon J. Measuring mental workload using physiological measures: A systematic review // Appl. Ergon. 2019. V. 74. P. 221.
- Судаков К.В. Индивидуальная устойчивость к эмоциональному стрессу. M.: Горизонт, 1998. 263 с.
- Liang S.F.M., Rau C.L., Tsai P.F., Chen W.S. Validation of a task demand measure for predicting mental workloads of physical therapists // Int. J. Ind. Ergon. 2014. V. 44. № 5. P. 747.
- Hao T., Zheng X., Wang H. et al. Linear and nonlinear analyses of heart rate variability signals under mental load // Biomed. Signal. Process Control. 2022. V. 77. P. 103758.
- Galy E., Cariou M., Mélan C. What is the relationship between mental workload factors and cognitive load types? // Int. J. Psychophys. 2012. V. 83. № 3. P. 269.
- Zandstra T.E., Notenboom R.G., Wink J. et al. Asymmetry and heterogeneity: Part and parcel in cardiac autonomic innervation and function // Front. Physiol. 2021. V. 12. P. 665298.
- Hasan W. Autonomic cardiac innervation: development and adult plasticity // Organogenesis. 2013. V. 9. № 3. P. 176.
- Forte G., Favieri F., Casagrande M. Heart rate variability and cognitive function: A systematic review // Front. Neurosci. 2019. V. 13. P. 710.
- Lean Y., Shan F. Brief review on physiological and biochemical evaluations of human mental workload // Hum. Factors Ergon. Manuf. Serv. Ind. 2012. V. 22. № 3. P. 177.
- De Rivecourt M., Kuperus M.N., Post W.J., Mulder L.J.M. Cardiovascular and eye activity measures as indices for momentary changes in mental effort during simulated flight // Ergonomics. 2008. V. 51. № 9. P. 1295.
- Fournier L.R., Wilson G.F., Swain C.R. Electrophysiological, behavioral, and subjective indexes of workload when performing multiple tasks: manipulations of task difficulty and training // Int. J. Psychophys. 1999. V. 31. № 2. P. 129.
- Finsen L., Søgaard K., Jensen C. et al. Muscle activity and cardiovascular response during computer-mouse work with and without memory demands // Ergonomics. 2001. V. 44. № 14. P. 1312.
- Splawn J.M., Miller M.E. Prediction of perceived workload from task performance and heart rate measures / Proc. Hum. Fact. Erg. Soc. An. Meet. 2013. V. 57. № 1. P. 778.
- Delaney J.P.A., Brodie D.A. Effects of short-term psychological stress on the time and frequency domains of heart-rate variability // Percept. Motor Skills. 2000. V. 91. № 2. P. 524.
- Lehrer P., Karavidas M., Lu S.E. et al. Cardiac data increase association between self-report and both expert ratings of task load and task performance in flight simulator tasks: An exploratory study // Int. J. Psychophys. 2010. V. 76. № 2. P. 80.
- Reyes del Paso G.A., Langewitz W., Mulder L.J. et al. The utility of low frequency heart rate variability as an index of sympathetic cardiac tone: a review with emphasis on a reanalysis of previous studies // Psychophysiology. 2013. V. 50. № 5. P. 477.
- Thomas B.L., Claassen N., Becker P., Viljoen M. Validity of commonly used heart rate variability markers of autonomic nervous system function // Neuropsychobiology. 2019. V. 78. № 1. P. 14.
- Vanitha L., Suresh G.R., Chandrasekar M., Punita P. Development of four stress levels in group stroop colour word test using HRV analysis // Biomed. Res. Ind. 2017. V. 28. № 1. P. 98.
- Shaffer F., McCraty R., Zerr C.L. A healthy heart is not a metronome: an integrative review of the heart’s anatomy and heart rate variability // Front. Physiol. 2014. V. 5. P. 1040.
- McCraty R. Following the Rhythm of the Heart: HeartMath Institute’s Path to HRV Biofeedback // Appl. Psychophys. Biofeedback. 2022. V. 47. № 4. P. 305.
- McCraty R., Atkinson M., Tomasino D., Bradley R.T. The coherent heart heart-brain interactions, psychophysiological coherence, and the emergence of system-wide order // Integral Rev. A Transdiscipl. Transcult. J. N. Thought Res. Prax. 2009. V. 5. P. 359.
- Shaffer F., Ginsberg J.P. An overview of heart rate variability metrics and norms // Front. Publ. Health. 2017. V. 5. P. 290215.
- Димитриев Д.А., Саперова Е.В., Димитриев А.Д., Индейкина О.С. Влияние дыхания на частоте резонанса на нелинейные динамики вариабельности сердечного ритма // Физиология человека. 2019. Т. 45. № 1. С. 64.
- Mestanik M., Mestanikova A., Langer P. et al. Respiratory sinus arrhythmia–testing the method of choice for evaluation of cardiovagal regulation // Respir. Physiol. Neurobiol. 2019. V. 259. P. 86.
- Grassmann M., Vlemincx E., Von Leupoldt A. et al. Respiratory changes in response to cognitive load: A systematic review // Neural Plast. 2016. V. 2016. P. 814680.
- Radüntz T., Fürstenau N., Mühlhausen T., Meffert B. Indexing mental workload during simulated air traffic control tasks by means of dual frequency head maps // Front. Physiol. 2020. V. 11. P. 300.
- Yu X., Zhang J., Xie D. et al. Relationship between scalp potential and autonomic nervous activity during a mental arithmetic task // Auton. Neurosci. 2009. V. 146. № 1–2. P. 81.
- Fairclough S.H., Venables L., Tattersall A. The influence of task demand and learning on the psychophysiological response // Int. J. Psychophys. 2005. V. 56. № 2. P. 171.
- Mortola J.P., Marghescu D., Siegrist-Johnstone R., Matthes E. Respiratory sinus arrhythmia during a mental attention task: the role of breathing-specific heart rate // Respir. Physiol. Neurobiol. 2020. V. 272. P. 103331.
- Фудин Н.А., Судаков К.В., Хадарцев А.А. и др. Индекс Хильдебрандта как интегральный показатель физиологических затрат у спортсменов в процессе возрастающей этапно-дозированной физической нагрузки // Вестник новых медицинских технологий. 2011. Т. 18. № 3. С. 244.
- Фудин Н.А., Классина С.Я. Влияние гиповентиляционного дыхания человека на "физиологическую цену" работы до отказа при физических нагрузках различной интенсивности // Вестник новых медицинских технологий. 2017. Т. 24. № 2. С. 193.
- Судаков К.В. Избранные труды. Т. 1: Развитие теории функциональных систем. М.: ГУНИИ нормальной физиологии им. П.К. Анохина РАМН, 2007. 316 c.
- Классина С.Я. Физиологическая модель социального взаимодействия тренер-спортсмен в процессе тренировки на велоэргометре // Вестник новых медицинских технологий. 2014. Т. 21. № 3. С. 122.
- Lin W.H., Wu D., Li C. et al. Comparison of heart rate variability from PPG with that from ECG // The International Conference on Health Informatics: ICHI 2013, Vilamoura, Portugal on 7-9 November, 2013 / Ed. Zhang Y.-T. Cham: Springer, 2014. P. 213.
- Schäfer A., Vagedes J. How accurate is pulse rate variability as an estimate of heart rate variability? A review on studies comparing photoplethysmographic technology with an electrocardiogram // Int. J. Cardiol. 2013. V. 166. № 1. P. 15.
- Tarvainen M.P., Niskanen J.P., Lipponen J.A. et al. Kubios HRV – Heart rate variability analysis software // Comput. Methods Progr. Biomed. 2014. V. 113. № 11. P. 210.
- Melillo P., Bracale M., Pecchia L. Nonlinear Heart Rate Variability features for real-life stress detection. Case study: students under stress due to university examination // Biomed. Eng. Online. 2011. V. 10. P. 96.
- Taelman J., Vandeput S., Gligorijević I. et al. Time-frequency heart rate variability characteristics of young adults during physical, mental and combined stress in laboratory environment // Annu. Int. Conf. IEEE Eng. Med. Biol. Soc. 2011. V. 2011. P. 1973.
- Глазачев О.С., Классина С.Я., Орлова М.А. Особенности реакций микроциркуляторного русла здорового человека на моделируемое психоэмоциональное напряжение // Физиология человека. 2007. Т. 33. № 4. С. 33.
- Фудин Н.А., Классина С.Я. Системная организация физиологических функций человека в процессе достижения спортивного результата // Академический журнал Западной Сибири. 2017. Т. 13. № 1. С. 79.
- Рыжиков Г.В., Классина С.Я. Пространственно-временная структура "кванта" производственной деятельности контролера и его физиологическое обеспечение // Физиология человека. 1984. Т. 10. № 1. С. 144.
- Классина С.Я. Порог анаэробного обмена и его представление в системных категориях спортивной деятельности человека // Спортивная медицина: наука и практика. 2017. Т. 7. № 3. С. 65.
- Крикленко Е.А., Ковалева А.В., Лихоманова Е.Н. Индивидуализированный подход к анализу кожной проводимости в процессе выполнения заданий разного уровня сложности // Бюллетень экспериментальной биологии и медицины. 2023. Т. 176. № 9. C. 286.
- Классина С.Я. Индекс Хильдебрандта как прогностический критерий отказа от интенсивной физической нагрузки // Наука и спорт: современные тенденции. 2019. Т. 23. № 2. С. 68.
Дополнительные файлы



