Синтетические трансформации высших терпеноидов. 42. Синтез новых производных 18-нор-4-(карбоксиэтил)изопимара-7,15-диена и изучение их цитотоксичности на линиях опухолевых клеток MCF7, U-87 MG и DU 145
- Авторы: Громова М.А.1,2, Харитонов Ю.В.2, Рыбалова Т.В.2, Ларионов В.А.3, Голубева Т.С.4, Шульц Э.Э.2
-
Учреждения:
- Новосибирский государственный педагогический университет
- Новосибирский институт органической химии им. Н.Н. Ворожцова СО РАН
- Институт элементоорганических соединений им. А.Н. Несмеянова РАН
- Федеральный исследовательский центр “Институт цитологии и генетики” СО РАН
- Выпуск: Том 49, № 5 (2023)
- Страницы: 509-522
- Раздел: Статьи
- URL: https://medbiosci.ru/0132-3423/article/view/139255
- DOI: https://doi.org/10.31857/S0132342323050032
- EDN: https://elibrary.ru/BLXECA
- ID: 139255
Цитировать
Полный текст
Аннотация
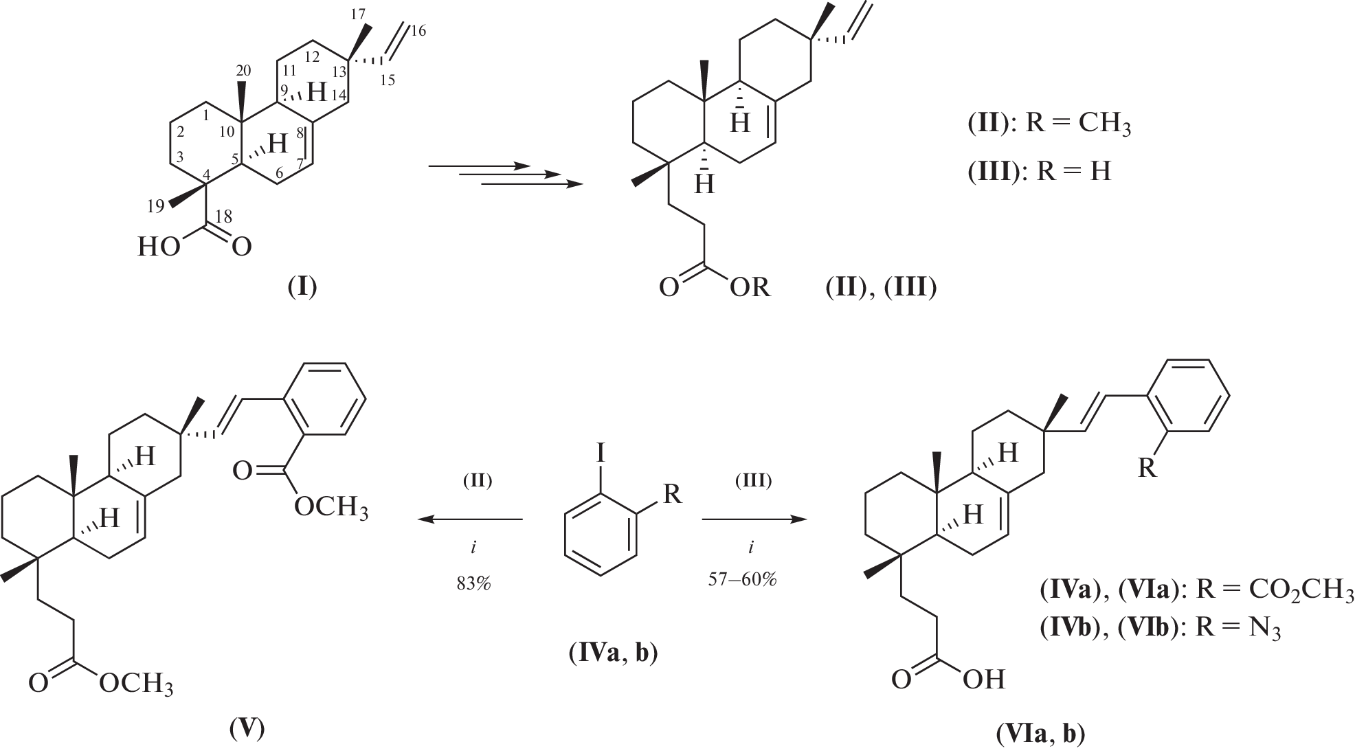
Кросс-сочетанием производных изопимаровой кислоты с замещенными иодаренами, катализируемым ацетатом палладия в присутствии карбоната серебра, синтезированы (E)-16-арилзамещенные производные трициклических дитерпеноидов. Конденсация полученного in situ дихлорангидрида (E)-18-нор-4-(карбоксиэтил)-16-(2-карбоксиэтил)изопимара-7,15-диена с гидрохлоридом пропаргиламина приводит к получению соответствующего диалкина, который легко вступает в реакцию азид-алкинового циклоприсоединения (CuAAC) с диазидом. Основной продукт этой реакции –макрогетероциклическое соединение, включающее фрагмент трициклического дитерпеноида пимаранового типа и 1,2,3-триазольные кольца в линкерной цепи. Взаимодействие полученного in situ хлорангидрида (E)-18-нор-16-азидо-4-(карбоксиэтил)изопимара-7,15-диена с гидрохлоридом пропаргиламина или алкинилзамещенным производным защищенного Gly-Gly-дипептида приводило к получению соответствующих азидоалкинов. В результате внутримолекулярной CuAAC-реакции азидодипептидилалкина получили макрогетероциклическое производное, содержащее дипептидный и триазольный фрагменты в линкерной цепи. Синтезированные соединения обладали большей (по сравнению с изопимаровой кислотой) цитотоксичностью на моделях опухолевых клеток MCF7, U-87 MG и DU 145 и были менее токсичны для нераковых клеток, чем препарат сравнения доксорубицин. Значение GI50 наиболее активного соединения составляет 6.3 мкM (индекс селективности >15) (МТТ-тест). Синтезированные производные трициклического дитерпеноида изопимаровой кислоты могут быть использованы для разработки новых противоопухолевых агентов.
Ключевые слова
Об авторах
М. А. Громова
Новосибирский государственный педагогический университет; Новосибирский институт органической химии им. Н.Н. Ворожцова СО РАН
Email: schultz@nioch.nsc.ru
Россия, 630126, Новосибирск, ул. Вилюйская, 28; Россия, 630090, Новосибирск, просп. Акад. Лаврентьева, 9
Ю. В. Харитонов
Новосибирский институт органической химии им. Н.Н. Ворожцова СО РАН
Email: schultz@nioch.nsc.ru
Россия, 630090, Новосибирск, просп. Акад. Лаврентьева, 9
Т. В. Рыбалова
Новосибирский институт органической химии им. Н.Н. Ворожцова СО РАН
Email: schultz@nioch.nsc.ru
Россия, 630090, Новосибирск, просп. Акад. Лаврентьева, 9
В. А. Ларионов
Институт элементоорганических соединений им. А.Н. Несмеянова РАН
Email: schultz@nioch.nsc.ru
Россия,, 119334, Москва, ул. Вавилова, 28
Т. С. Голубева
Федеральный исследовательский центр “Институт цитологии и генетики” СО РАН
Email: schultz@nioch.nsc.ru
Россия, 630090, Новосибирск, просп. Акад. Лаврентьева, 10
Э. Э. Шульц
Новосибирский институт органической химии им. Н.Н. Ворожцова СО РАН
Email: schultz@nioch.nsc.ru
Россия, 630090, Новосибирск, просп. Акад. Лаврентьева, 9
Список литературы
- Gromova M.A., Kharitonov Yu.V., Borisov S.A., Rybalova T.V., Tolstikova T.G., Shults E.E. // Chem. Nat. Compd. 2022. V. 58. P. 55–64. https://doi.org/10.1007/s10600-022-03596-y
- Keeling C.I., Bohlmann J. // Phytochemistry. 2006. V. 67. P. 2415–2423. https://doi.org/10.1016/j.phytochem.2006.08.019
- Толстиков Г.A., Толстикова Т.Г., Шульц Э.Э., Толстиков С.E., Хвостов M.В. // Смоляные кислоты хвойных России. Химия и фармакология / Pед. Трофимов Б.A. Новосибирск: Гео, 2011. С. 207–242.
- Kugler S., Ossowicz P., Malarczyk-Matusiak K., Wierzbicka E. // Molecules. 2019. V. 24. P. 1651. https://doi.org/10.3390/molecules24091651
- Smith E., Williamson E., Zloh M., Gibbons S. // Phytother. Res. 2005. V. 19. P. 538–542. https://doi.org/10.1002/ptr.1711
- Coté H., Boucher M.-A., Pichette A., Roger B., Legault J. // J. Ethnopharmacology. 2016. V. 194. P. 684–689. https://doi.org/10.1016/j.jep.2016.10.035
- Pferschy-Wenzig E.M., Kunert O., Presser A., Bauer R. // J. Agric. Food Chem. 2008. V. 56. P. 11688–11693. https://doi.org/10.1021/jf8024002
- Imaizumi Y., Sakamoto K., Yamada A., Hotta A., Ohya S., Muraki K., Uchiyama M., Ohwada T. // Mol. Pharmacol. 2002. V. 62. P. 836–846. https://doi.org/10.1124/mol.62.4.836
- Salari S., Silvera Ejneby M., Brask J., Elinder F. // Acta Physiol. (Oxf.). 2018. V. 222. P. e12895. https://doi.org/10.1111/apha.12895
- Ge L., Hoa N.T., Wilson Z., Arismendi-Morillo G., Kong X.-T., Tajhya R.B., Beeton C., Jadus M.R. // Int. Immunopharmacol. 2014. V. 22. P. 427–443. https://doi.org/10.1016/j.intimp.2014.06.040
- Sizemore G., McLaughlin S., Newman M., Brundage K., Ammer A., Martin K., Pugacheva E., Coad J., Mattes M.D., Yu H.-G. // BMC Cancer. 2020. V. 20. P. 595. https://doi.org/10.1186/s12885-020-07071-1
- Lu Y., Zhao Z., Chen Y., Wang J. // Lett. Org. Chem. 2021. V. 18. P. 950–956. https://doi.org/10.2174/1570178618666210813121953
- Lu Y.-J., Zhao Z.-D., Chen Y.-X., Wang J., Xu S.-C., Gu Y. // J. Asian Nat. Prod. Res. 2020. V. 23. P. 545–555. https://doi.org/10.1080/10286020.2020.1810668
- Liu J., Lu Y., Wang J., Bi L., Zhao Z. // Chin. J. Org. Chem. 2017. V. 37. P. 731–738. https://doi.org/10.6023/cjoc201610017
- Gromova M.A., Kharitonov Yu.V., Pokrovskii M.A., Bagryanskaya I.Yu., Pokrovskii A.G., Shul’ts E.E. // Chem. Nat. Compd. 2019. V. 55. P. 52–59. https://doi.org/10.1007/s10600-019-02613-x
- Gromova M.A., Kharitonov Yu.V., Golubeva T.S., Shults E.E. // Macroheterocycles. 2021. V. 14. P. 231–239. https://doi.org/10.6060/mhc210945s
- Gromova M.A., Kharitonov Yu.V., Rybalova T.V., Shults E.E. // Monatsh. Chem. 2020. V. 151. P. 1817–1827. https://doi.org/10.1007/s00706-020-02713-3
- Gromova M.A., Kharitonov Y.V., Rybalova T.V., Shults E.E. // Macroheterocycles. 2021. V. 14. P. 105–111. https://doi.org/10.6060/mhc200817s
- Zhao S., Wang Z-P., Wen X., Li S., Wei G., Guo J., He Y. // Org. Lett. 2020. V. 22. P. 6632–6636. https://doi.org/10.1021/acs.orglett.0c02403
- Thirumurugan P., Matosiuk D., Jozwiak K. // Chem. Rev. 2013. V. 113. P. 4905–4979. https://doi.org/10.1021/cr200409f
- Klein E., DeBonis S., Thiede B., Skoufias D.A., Kozielski F., Lebeau L. // Bioorg. Med. Chem. 2007. V. 15. P. 6474–6488. https://doi.org/1016/j.bmc.2007.06.016
- Spek A.L. // J. Appl. Cryst. 2003. V. 36. P. 7–13. https://doi.org/10.1107/S0021889802022112
- Wilson J.K., Sargent J.M., Elgie A.W., Hill J.G., Taylor C.G. // Br. J. Cancer. 1990. V. 62. P. 189–194. https://doi.org/10.1038/bjc.1990.258
- Kharitonov Yu.V., Shakirov M.M., Shul’ts E.E. // Chem. Nat. Compd. 2014. V. 49. P. 1067–1075. https://doi.org/10.1007/s10600-014-0823-1
- Zhang Z., Xiao F., Huang B., Hu J., Fu B., Zhang Z. // Org. Lett. 2016. V. 18. P. 908–911. https://doi.org/10.1021/acs.orglett.6b00607
- Wang H., He C., Pan Y., Yao C., Wu Q., Deng H. // J. Incl. Phenom. Macrocycl. Chem. 2012. V. 73. P. 177–183. https://doi.org/10.1007/s10847-011-0040-5
- Larionov V.A., Adonts H.V., Gugkaeva Z.T., Smol’yakov A.F., Saghyan A.S., Miftakhov M.S., Kuznetsova S.A., Maleev V.I., Belokon Yu.N. // ChemistrySelect. 2018. V. 3. P. 3107–3110. https://doi.org/10.1002/slct.201800228
- Krause L., Herbst-Irmer R., Sheldrick G.M., Stalke D. // J. Appl. Cryst. 2015. V. 48. P. 3–10. https://doi.org/10.1107/S1600576714022985
- Sheldrick G.M. // Acta Crystallogr. 2015. A71. P. 3–8. https://doi.org/10.1107/S2053273314026370
Дополнительные файлы








