Isolation, physico-chemical characteristics and acute toxicity determination of water-soluble polysaccharide from basidial raw material Ganoderma lucidum
- Authors: Khaytmetova S.B.1, Turaev A.S.1, Khalilova G.A.1, Muhitdinov B.I.1
-
Affiliations:
- Institute of Bioorganic Chemistry named A.S. Sadykov AS RUz
- Issue: Vol 50, No 1 (2024)
- Pages: 37-50
- Section: Articles
- URL: https://medbiosci.ru/0132-3423/article/view/258153
- DOI: https://doi.org/10.31857/S0132342324010041
- EDN: https://elibrary.ru/OWQAJR
- ID: 258153
Cite item
Full Text
Abstract
As a result of the study, branched polysaccharides were isolated from the basidiomycete raw materials of Ganoderma lucidum. It has been established that the isolated fractions contain branched polysaccharides in the form of complexes with melanin. After purification of polysaccharides by ion-exchange chromatography, two fractions were obtained from basidial raw materials: neutral polysaccharides GW-1 with a yield of 25.71% and anionic polysaccharides GW-2, the yield of which was 5.26%, respectively. The physicochemical properties of the obtained samples were studied by IR and UV spectroscopy. The degree of purity of the obtained fractions of branched polysaccharides was established. Using gas chromatography, one-dimensional (13C NMR, 1H NMR) and two-dimensional (COSY, TOCSY, HSQC, HMBC, NOESY) NMR spectroscopy, the composition and molecular structure of the obtained polysaccharide samples were determined. The results showed that the isolated and purified polysaccharides are branched glucans with 1,4,6- and 1,3,6-bonds between glucopyranose units. Pharmacotoxicological studies were carried out on white outbred mice and it was found that the resulting polysaccharides belong to class V, practically non-toxic compounds (LD50 ≥ 2000 mg/kg). Isolated polysaccharides (GW) are promising biologically active components, on the basis of which it is possible to create drugs with hepatoprotective and antitumor activity.
Full Text
Сокращения: GW – водорастворимые полисахариды из Ganoderma lucidum; GW-1 – нейтральные полисахариды, GW-2 – анионные полисахариды.
ВВЕДЕНИЕ
На сегодняшний день в мире проводятся научные исследования по поиску природных источников, богатых биологически активными соединениями, выделению из них биологически активных веществ, а также определению их структуры и биологической активности. Базидиомицеты, или базидиальные грибы (Basidiomycota), в последние годы становятся предметом для глубокого исследования с точки зрения поиска новых противоопухолевых и различных биологически активных веществ. Особое внимание уделяется разработке методов выделения биологически активных веществ из базидиальных грибов (Ganoderma lucidum (Curt Fr.), созданию лекарственных средств на их основе, обладающих иммуномодулирующей и противоопухолевой активностью.
После получения данных о составе клеточных стенок базидиальных грибов у исследователей появился большой интерес к имеющимся в их составе полисахаридам. Полисахариды – один из важнейших компонентов органических соединений, участвующих во многих биологических процессах. Многочисленные исследования показали, что соединения, проявляющие противоопухолевые свойства, имеют разветвленную структуру [1–4].
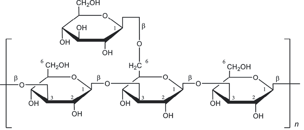
Большинство полисахаридов, выделенных из грибов, обладающих противоопухолевыми свойствами, представляют собой глюканы [5]. Глюканы имеют либо линейную, либо разветвленную структуру, состоящую из молекул глюкозы. Боковая цепь содержит остатки различных моносахаров. Показано, что полисахариды, содержащиеся в базидиальных грибах, накапливаются в плодовых телах, спорах. Наибольшая концентрация полисахаридов наблюдается в мицелии. Эти полисахариды, как сказано выше, различаются по своей химической структуре, но все имеют β-(1,3)-глюкановые группы в основной цепи и β-(1,6)-глюкановые группы в разветвленных участках. По-видимому, именно полисахариды, имеющие такие ответвления, и проявляют биологическую активность (рис. 1).
Рис. 1. Структура β-глюканов базидиальных грибов.
Исследование структурных характеристик полисахаридов представляет собой сложную задачу с точки зрения физико-химических и структурных показателей [6]. Гель-проникающая хроматография – один из основных методов анализа, сочетающийся с детектором многоуглового лазерного рассеяния. При гель-хроматографии полисахариды разделяются по молекулярной массе [7].
Для структурного анализа полисахаридов применяют методы гидролиза с последующим анализом продуктов гидролиза методом хромато-масс-спектрометрии. Применение этого метода позволяет получить из одного анализа смеси сведения о временах удерживания ее компонентов, об их относительном содержании в смеси и получить масс-спектры каждого компонента смеси [8].
Анализ состава моносахаридов имеет решающее значение для изучения структуры полисахаридов. Моносахариды, высвобождающиеся в результате гидролиза, могут быть идентифицированы и количественно определены с помощью различных методов, таких как анионообменная, газовая хроматография, обращенно-фазовая ВЭЖХ [9].
Характеристика разветвления полисахаридов – один из важных молекулярных параметров, определяющих различные физико-химические свойства полисахаридов. Разветвленные полисахариды могут иметь различную структуру, положение разветвления может быть случайным или равномерно распределено по основной цепи или цепи разветвления [10]. Для определения структуры полисахаридов применяют ИК-, ЯМР-спектроскопию. ЯМР-спектроскопия подтверждает наличие гликозидных связей в структуре полисахарида и количества моносахаридов в повторяющейся структуре, включая идентификацию моносахарида, α- или β-связи, тип гликозидной связи и повторяющиеся единичные последовательности полисахаридной цепи [11].
Молекулы полисахаридов могут образовывать трехмерные сетчатые структуры через водородные связи, силы Ван-дер-Вальса, ковалентные связи и т.д. Более того, полисахаридная цепь имеет большую степень свободы и гибкости. Эти особенности делают пространственную конформацию полисахаридов очень сложной. Исследования все чаще показывают, что биологическая активность полисахаридов не только связана с первичными структурами, но также зависит от структуры и разветвления [12, 13]. Поэтому большое значение имеет анализ структуры полисахаридов. В качестве дополнительных методов изучения структуры полисахаридов используют атомно-силовую микроскопию, сканирующую электронную микроскопию, хроматографию с круговым дихроизмом, рентгеновскую дифракцию и др.
Цель данного исследования – выделение разветвленных полисахаридов из природного базидиального гриба Ganoderma lucidum, определение их структуры и физико-химических свойств, макромолекулярной структуры и острой токсичности.
РЕЗУЛЬТАТЫ И ОБСУЖДЕНИЕ
Для предварительной очистки исходного сырья измельченное плодовое тело базидиального гриба G. lucidum экстрагировали обезжирививающим реагентом в аппарате Сокслета – смесью хлороформ/этиловый спирт 95% (2 : 1) при соотношении субстрат/растворитель 1 : 10 в течение 24 ч, что приводило к удалению липидов, частично протеинов, моно- и олигосахаридов, красящих веществ и неорганических примесей, при этом выход примесей у базидиального гриба составил 3.6%. После обессмоливания сырья для выделения из него водорастворимых полисахаридов провели последовательную экстракцию сырья водой и лиофилизировали. Выход водорастворимых полисахаридов из базидиального гриба G. lucidum (GW) составил 15.16%.
Из литературы известно, что основной компонент водных извлечений из базидиомицетов – меланин, составляющий 50–60% от их сухого остатка [14], при этом разветвленные полисахариды в базидиомицетных грибах находятся в виде меланин-глюканового комплекса [15]. Меланины в основном растворены в глюкановом матриксе. Содержание меланина в виде комплекса с полисахаридами подтверждается УФ- спектроскопическим исследованиям.
Проведен УФ-спектральный анализ содержания меланина в водорастворимых фракциях полисахаридов (GW), выделенных из базидиомицетного сырья (рис. 2). Показано, что в области 320–360 нм наблюдаются полосы поглощения, соответствующие полосам поглощения меланина [16].
Рис. 2. УФ-спектр водорастворимых фракций полисахаридов, выделенных из базидиального сырья Ganoderma lucidum.
Для исследования структуры необходимо использовать чистые фракции полисахаридов. Поэтому полученные водорастворимые полисахариды были дополнительно очищены методами ионообменной и гель-хроматографии.
Для дальнейшей очистки фракцию GW хроматографировали на колонке с DEAE-целлюлозой методами ионного обмена. Элюирование проводили последовательным добавлением воды, элюировалась фракция GW-1, затем 0.1 М раствором NaCl элюировали фракцию GW-2. Со временем концентрация раствора NaCl возрастала до 1.0 М. Нейтральные полисахариды были разделены при элюировании дистиллированной водой, а анионные – градиентом NaCl. При этом выход нейтральных полисахаридов фракции полисахаридов из базидиального гриба G. lucidum GW-1 составил 25.71%, анионных полисахаридов GW-2 – 5.26%.
На рис. 3. представлена хроматограмма разделения полученных из базидиомицетного сырья фракций полисахаридов на DEAE-целлюлозном сорбенте, с помощью которого были разделены нейтральные (GW-1) и анионные (GW-2) полисахариды.
Рис. 3. Хроматограмма разделения полисахаридов GW-1 и GW-2 на ионообменной колонке с DEAE-52-целлюлозой (элюент 0–1 М градиент NaCl, скорость элюирования 1 мл/мин).
Для определения гомогенности фракций исходных полисахаридов, а также очистки их от сопутствующих примесей с целью дальнейшего изучения их состава и строения углеводных цепей проведена гель-хроматография на сефадексе G-75. В процессе разделения было определено, что каждый образец полисахарида состоял из однородных полисахаридов.
После очистки полисахаридов фенол-сернокислотным методом определили количество углеводов в образцах, результаты представлены в табл. 1. Количество углеводов в нейтральных фракциях было больше, чем в анионных фракциях (табл. 1).
Таблица 1. Содержание углеводов, выделенных из базидиального гриба Ganoderma lucidum, после фракционирования
Растворитель | Шифр полисахарида | Количество полисахаридов, % | Примеси,% |
Вода | GW-1 | 99.41 | 0.60 |
0.1 М NaCl | GW-2 | 65.01 | 69.99 |
Для дальнейшего анализа структуры полисахаридов были проведены ИК-спектроскопические исследования выделенных фракций. В ИК-спектрах исследуемых образцов обнаружены все полосы поглощения, характерные для β-глюканов и меланинов – для связей О–Н полисахаридов и связей N−H меланинов в области 2900 см–1 [17]. Полоса поглощения в интервале 2850–2900 см–1 соответствует валентным колебаниям атома углерода С–Н-связей С6 полисахаридов. В интервале 1460–1650 см–1 находятся полосы поглощения, соответствующие валентным колебаниям связи С=С ароматического кольца меланина и связи С=О карбоксильных групп. В области 1170–1350 см–1 наблюдаются полосы поглощения, соответствующие полисахаридам и связи С–О карбоксильных групп. В спектрах отмечены полосы поглощения в интервале 1050–1150 см–1, соответствующие валентным колебаниям связей С–О–С глюкопиранозного кольца полисахаридов. В области 500–650 см–1 присутствуют полосы поглощения, характерные для различных типов колебаний связи С–Н (в соответствии с рис. 4). Как видно из рис. 4, в очищенных фракциях GW-1 и GW-2 наблюдаются менее интенсивные полосы поглощения в области 1660 см–1, что говорит об отсутствии меланина в образцах.
Рис. 4. ИК-спектры образцов неочищенных (GW) и очищенных (GW-1 и GW2) фракций полисахаридов из Ganoderma lucidum.
Далее были определены молекулярно-массовые характеристики полученных фракций методом гель-фильтрации. Результаты анализа молекулярно-массового распределения методом гель-хроматографии (табл. 2) показали, что молекулярная масса образцов водной фракции (GW, GW-1, GW-2) находится в пределах 10.5–17.7 кДа, молекулярно-массовое распределение (Mw/Mn) – в пределах 1.4–1.5. Образцы характеризуются относительно небольшим значением полидисперсности, что указывает на гомогенность полисахаридов (табл. 2).
Таблица 2. Молекулярно-массовые параметры полисахаридов, выделенных из базидиального гриба Ganoderma lucidum
Фракция | Молекулярная масса, кДа | Молекулярно-массовое распределение (Mw/Mn) |
Водорастворимая фракция (GW) | 12.3 | 1.5 |
Нейтральный полисахарид (GW-1) | 17.7 | 1.4 |
Анионный полисахарид (GW-2) | 10.5 | 1.5 |
Для анализа структуры связей полисахаридов широко используется метод метилирования с использованием метилиодида для преобразования всех свободных гидроксильных групп молекул полисахарида в метоксигруппы. Метилированный полисахарид гидролизуют до моносахаридов и восстанавливают с использованием бородейтерида натрия. Восстановленные моносахариды ацетилируют уксусным ангидридом с образованием летучих продуктов – частично метилированных ацетатов альдитов. Для идентификации и количественного определения частично метилированных ацетатов альдитов их анализируют методом газовой хроматографии и масс-спектрометрии (ГХ-МС) [9, 18, 19].
Типы связывания моносахаридных единиц в полисахаридах были идентифицированы посредством метилирования. Индивидуальность и характер фрагментации перметилированных альдитолацеталей детектировали с помощью базы данных масс-спектров (NIST-2017). Процент метилированных сахаров оценивали методом внутренней нормализации. ГХ-МС-анализ перметилированных альдитолацеталей представлен в табл. 3.
Таблица 3. Результаты ГХ-МС метилированных полисахаридов GW-1, выделенных из базидиального гриба Ganoderma lucidum
Метилированный сахар | Гликозидные связи | Молярные соотношения | Основные массовые фрагменты, m/z |
2,3,4,6-Me4-Glcp | 1-Связанный Glcp | 3.0 | 43, 45, 71, 87, 102, 118, 129, 145, 161, 162, 205 |
2,4,6-Me3-Glcp | 1,3-Связанный Glcp | 1.0 | 43, 45, 71, 87, 101, 118, 129, 161, 174, 217, 234, 277 |
2,3,6-Me3-Glcp | 1,4-Связанный Glcp | 1.0 | 43, 45, 71, 87, 102, 113, 118, 129, 162, 173, 233, 277 |
2,3,4-Me3-Glcp | 1,6-Связанный Glcp | 1.0 | 43, 59, 71, 87, 99, 102, 118, 129, 162, 189, 233 |
2,3-Me2-Glcp | 1,4,6-Связанный Glcp | 1.0 | 43, 85, 102, 118, 127, 162, 201, 261, 305 |
2,4-Me2-Glcp | 1,3,6-Связанный Glcp | 2.0 | 43, 87, 102, 118, 129, 189, 234, 305 |
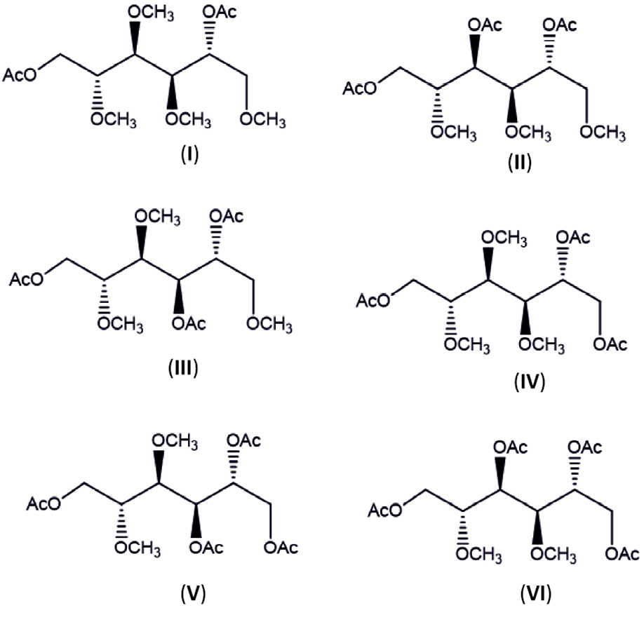
Анализ ГХ-МС показал, что перметилированные альдитолацетали, полученные из фракции GW-1, содержат 1,5-ди-O-ацетил-2,3,4,6-тетра-O-метил-глюцитол, 1,3,5-три-O-ацетил-2,4,6-три-O-метил-глюцитол, 1,4,5-три-O-ацетил-2,3,6-три-O-метил-глюцитол, 1,5,6-три-O-ацетил-2,3,4-три-O-метилглюцитол, 1,4,5,6-тетра-O-ацетил-2,3-ди-O-метилглюцитол и 1,3,5,6-тетра-O-ацетил-2,4-ди-O-метил-глюцитол. Полученные результаты доказывают, что полисахарид GW-1 состоит из концевых (1,3)-, (1,4)-, (1,6)-, (1,4,6)- и (1,3,6)-связанных глюкопиранозильных остатков.
На рис. 5 представлены перметилированные альдитолацетали из фракции GW-1.
Рис. 5. Перметилированные альдитолацетали: 1,5-ди-O-ацетил-2,3,4,6-тетра-O-метил-глюцитол (I); 1,3,5-три-O-ацетил-2,4,6-три-O-метил-глюцитол (II); 1,4,5-три-O-ацетил-2,3,6-три-O-метил-глюцитол (III); 1,5,6-три-O-ацетил-2,3,4-три-O-метилглюцитол (IV); 1,4,5,6-тетра-O-ацетил-2,3-ди-O-метилглюцитол (V); 1,3,5,6-тетра-O-ацетил-2,4-ди-O-метил-глюцитол (VI).
Показано, что остатки сахаров в полисахаридах фракции GW-1 находятся в молярном соотношении 3 : 1 : 1 : 1 : 1 : 2. Выделенные и очищенные полисахариды представляют собой разветвленные полисахариды β-глюканового типа. Основная цепь состоит из глюкопиранозных звеньев, связанных 1,4- и 1,3-связью с ответвлениями с 1,6-глюкопиранозными связями.
Спектры 13С-ЯМР содержат ценную информацию о функциональном составе полисахаридов, положениях связей между звеньями, размерах циклов моносахаридных остатков, конфигурациях гликозидных связей между звеньями и последовательности моносахаридов в цепи. Из спектров 13С-ЯМР можно определить абсолютные конфигурации отдельных моносахаридных остатков (если известны конфигурации соседних звеньев), а также получить данные о регулярном строении полисахаридов. Если известен моносахаридный состав линейного регулярного полисахарида, построенного из повторяющихся олигосахаридных звеньев, то задача установления его полного строения по спектру ЯМР успешно решается с помощью соответствующих компьютерных программ [20]. Поэтому дальнейшее изучение моносахаридных последовательностей и структуры полисахаридов GW-1 были изучены с использованием одномерной (13C-ЯМР, 1H-ЯМР) и двумерной (COSY, TOCSY, HSQC, HMBC, NOESY) ЯМР-спектроскопии.
Химические сдвиги протонов на спектрах 1H-ЯМР и углеродов на спектрах 13C-ЯМР для фракции GW-1 приведены в табл. 4. Спектры 1H-ЯМР фракции GW-1 показали, что полисахарид имеет шесть аномерных сигналов, наблюдаемых при 4.42–5.09 м.д., что указывает на то, что глюкопиранозильные звенья полисахаридов обладают β-конфигурацией [21].
Таблица 4. Химические сдвиги 1H-ЯМР и 13C-ЯМР для полисахарида GW-1, выделенного из базидиального гриба Ganoderma lucidum
Остаток гликозидной связи | H1/C1 | Н2/C2 | H3/C3 | H4/C4 | H5/C5 | H6/C6 |
1,3-Glcp (A) | 4.81/102.30 | 3.92/80.07 | 3.73/83.51 | 3.69/66.68 | 3.70/77.22 | 3.75/60.66 |
1,3,6-Glcp (B) | 4.78/102.41 | 3.68/79,07 | 3.78/84.06 | 3.94/66.73 | 3.67/74.32 | 3.91/69.30 |
1,4-Glcp (C) | 5.01/97.84 | 3.33/72.97 | 3.52/75.68 | 3.68/79.07 | 3.49/75.73 | 3.73/60.64 |
1,4,6-Glcp (D) | 5.09/101.50 | 3.55/72.56 | 3.42/75.71 | 3.83/78.04 | 3.38/74.35 | 4.04/69.27 |
Терминал-Glcp (E) | 4.55/102.45 | 3.86/72.15 | 3.64/74.75 | 3.71/71.57 | 3.86/76.32 | 4.01/60.16 |
1,6-Glcp (F) | 4.88/100.27 | 3.80/72.50 | 3.52/74.68 | 3.69/69.67 | 3.51/75.31 | 3.87/68.26 |
Эти результаты согласуются с результатами анализа методом ИК-спектроскопии. Кроме того, β-конфигурация моносахаридных остатков полисахаридов подтверждается спектрами 13С-ЯМР, в которых характерные сигналы для аномерных атомов углерода C1 появляются при 97.84–102.75 м.д. [22].
Химические сдвиги аномерных протонов остатков 1,3-Glcp (остаток A) GW-1 были обнаружены при 4.81 и 4.42 м.д.. Это указывает на то, что остаток β-связанный. На спектрах 13C-ЯМР и 1H-ЯМР полисахарида GW-1 видны характерные для группировок атомов сигналы протонов и углеродов с центрами при 1,3-Glcp Н2/C2, C3/Н3, H4/C4, H5/C5, H6/C6 наблюдаются при 3.92/80.07, 3.73/83.51, 3.69/66.68, 3.70/77.22 и 3.75/60.66 м.д. соответственно (рис. 6). Исследования HMBC и NOESY показали, что остаток 1,3-Glcp GW-1 связан с 1,3,6-Glcp посредством β-(1,3)-гликозидной связи.
Рис. 6. Спектры 13C-ЯМР (a), 1H-ЯМР (б), HSQC (в) и HMBC (г) полисахарида GW-1.
В спектрах остатков 1,3,6-Glcp (остаток B) фракции GW-1 специфические сигналы аномерного протона проявлялись при 4.78 и 4.64 м.д., указывая на то, что остатки имеют β-конфигурацию. На спектрах 13C-ЯМР, 1H-ЯМР полисахарида GW-1 характерные для группировок атомов сигналы протонов и углеродов с центрами при 1,3,6-Glcp Н2/C2, C3/Н3, H4/C4, H5/C5, H6/C6 появляются при 3.68/79.07, 3.78/84.06, 3.94/66.73, 3.67/74.32, 3.91/69.30 м.д. соответственно. Эксперименты HMBC и NOESY показали, что остатки 1,3,6-Glcp в GW-1 связаны друг с другом и с остатком 1,3-Glcp посредством β-(1,3)-гликозидной связи, 1,4,6-Glcp-остатки связаны с 1,4-Glcp-, 1,6-Glcp- посредством β-(1,6)-, β-(1,6)- и β-(1,4)-гликозидных связей.
Спектроскопические исследования остатков 1,4- Glcp (остаток C) в полисахариде GW-1 показали, что остатки присутствуют в β-конфигурации. В спектрах GW-1 специфические сигналы для 1,3,6-Glcp H1/C1, Н2/C2, C3/Н3, H4/C4, H5/C5, H6/C6 проявляются при 5.01/97.84, 3.33/72.97, 3.52/75.68, 3.68/79.07, 3.49/75.73, 3.73/60.64 м.д. соответственно. Исследования HMBC и NOESY показали, что остаток 1,4-Glcp в образце GW-1 связан с 1-Glcp- и 1,4,6-Glcp-остатками посредством β-(1,4)- и β-(1,6)-гликозидных связей соответственно.
Дальнейшие исследования показали, что остатки 1,4,6-Glcp (остаток D) полисахарида GW-1 имеют β-конфигурацию. В спектрах GW-1 резонансы 1,4,6-Glcp H1/C1, Н2/C2, C3/Н3, C4/Н4, H5/C5, H6/C6 обнаружены при 5.09/101.50, 3.55/72.56, 3.42/75.71, 3.83/78.04, 3.38/74.35, 4.04/69.27 м.д. соответственно. Анализ HMBC и NOESY показал, что остатки 1,4,6- Glcp в GW-1 связаны с остатками 1,3,6-Glcp-, 1,4- Glcp- и 1,3-Glcp по β-(1,4)-, β-(1,6)- и β-(1,3)-гликозидным связям соответственно.
В спектрах GW-1 были обнаружены концевые остатки 1-Glcp (остаток E), имеющие β-конфигурацию. В спектрах GW-1 характерные сигналы для 1-Glcp H1/C1, Н2/C2, C3/Н3, C4/Н4, H5/C5, H6/C6 обнаружены при 4.55/102.45, 3.86/72.15, 3.64/74.75, 3.71/71.57, 3.86/76.32, 4.01/60.16 м.д. соответственно. Эксперименты HMBC и NOESY ясно показали, что концевые остатки в GW-1 связаны с остатками 1,3,6-Glcp-, 1,6-Glcp- и 1,4-Glcp посредством β-(1,6)-, β-(1,6)- и β-(1,4)-гликозидных связей соответственно.
Спектроскопические исследования показали, что полисахариды содержат остатки 1,6-Glcp (остаток F), имеющие β-конфигурацию. В спектрах GW-1 специфические сигналы для 1,6-Glcp H1/C1, Н2/C2, C3/Н3, C4/Н4, H5/C5, H6/C6 обнаружены при 4.88/100.27, 3.80/72.50, 3.52/74.68, 3.69/69.67, 3.51/75.31, 3.87/68.26 м.д. соответственно. В исследованиях HMBC и NOESY кросс-пики показали, что остатки 1,6-Glcp в образцах GW-1, связаны с 1,3,6-Glcp- и концевыми 1-Glcp-остатками посредством β-(1,6)-гликозидных связей.
На основании результатов анализа метилирования, 1D и 2D ЯМР-спектров были выяснены порядок и последовательность связывания, а также возможные структуры моносахаридных остатков в полисахаридах GW-1. На рис. 7 показан порядок связывания, последовательность и возможные структуры полисахаридов GW-1. Выясненная структура показывает, что полисахарид GW-1 – разветвленный полисахарид β-глюканового типа. В полисахаридных цепях разветвление происходит за счет остатков 1,3,6-Glcp и 1,4,6-Glcp. Степень разветвления полисахарида GW-1 оказалось равной 0.75.
Рис. 7. Порядок связывания, последовательность моносахаридов и возможные структуры полисахаридов GW-1.
Ранее была изучена противоопухолевая и гепатопротекторная активность водорастворимого полисахарида (GW) in vivo [23, 24]. Установлено, что под влиянием полисахарида (25 мг/кг в сутки в течение 10 сут перарально) наблюдается ингибирование роста солидной опухоли аденокарциномы Эрлиха у мышей на 59.34% по объему и 60.21% по массе. На модели острого токсического гепатита, вызванного введением 50%-ного раствора четыреххлористого углерода, оценена гепатопротекторная активность. По результатам исследования водорастворимый полисахарид (GW) базидиального гриба Ganoderma luсidum в дозе 25 мг/кг обладает высокой гепатопротекторной активностью. Показано снижение активности ферментов печени (аланинаминотрансфераза (АЛТ), аспартатаминотрасфераза (АСТ) и щелочная фосфатаза (ЩФ)) в опытных группах. Полученные данные свидетельствуют о том, что выделенные полисахариды (GW) представляют собой перспективные биологически активные компоненты, на основе которых возможно создание лекарственных средств с гепато-протекторной и противоопухолевой активностью.
Все фармакологические исследования острой токсичности препаратов проводили на здоровых половозрелых животных (мышах), прошедших карантин не менее 14 сут.
В конце эксперимента вычисляли средне-смертельную дозу (LD50) и определяли класс токсичности [25, 26].
Для изучения острой токсичности на мышах препарат GW вводили однократно внутрижелудочно в дозах 500, 1200, 1600 и 2000 мг/кг. Через 510 мин после введения препарата во всех изучаемых дозах у животных наблюдалось умывание, сужение глаз, кучкование и мочеиспускания. Мыши во всех группах возвращались к норме в течение 2–3 ч. Гибели животных во всех использованных дозах препарата не было отмечено (0/5).
Другие изученные показатели: состояние волосяного и кожного покрова, положение хвоста, количество и консистенция фекальных масс, изменения массы тела – во всех использованных дозах на протяжении всего срока исследования (14 сут) не отклонялись от нормы.
Изучение острой токсичности препарата GW (табл. 5) при пероральном введении показало, что препарат при внутрижелудочном введении мышам соответствует LD50 ≥ 2000 мг/кг. Согалсно модифицированной классификации OECD (Организация экономического содействия и развития), данный препарат при пероральном введении относится к V классу практически нетоксичных соединений.
Таблица 5. Острая токсичность при пероральном введении водорастворимого полисахарида (GW) из базидиального гриба Ganoderma lucidum
Препарат | Вид животных, путь введения | Доза, мг/кг | Число погибших/ число животных | LD50, мг/кг |
Водорастворимый полисахарид (GW) из Ganoderma lucidum | Мыши, перорально | 500 1200 1600 2000 | 0/5 0/5 0/5 0/5 | ≥2000 |
ЭКСПЕРИМЕНТАЛЬНАЯ ЧАСТЬ
Выделение водорастворимых полисахаридов. В качестве природного сырья для извлечения водорастворимых полисахаридов нами был выбран базидиальный трутовой гриб трутовик лакированный (также возможны названия Линчжи или Рейши) (лат. Ganoderma lucidum) – гриб рода Ganoderma, в настоящее время включаемый в семейство Polyporaceae. Ganoderma lucidum собран в местах естественного произрастания на территории Узбекистана в Бустанлыкском районе.
Для выделения водорастворимых полисахаридов из природного сырья использовали высушенные, измельченные, обезжиренные трутовые тела. Высушенное сырье взвешивали (100 г) и экстрагировали трижды горячей водой на кипящей водяной бане с обратным холодильником (при суммарном соотношении сырья и экстрагента 1 : 20, 1 : 15, 1 : 10). Суммарная продолжительность трех экстрагирований составляла 6 ч. Полученные водные экстракты объединяли, фильтровали и упаривали на роторном испарителе при температуре 50°С до 1/5 первоначального объема и лиофилизовали. Выделенные водорастворимые полисахариды (GW) представляют собой порошок кремового цвета, который хорошо растворяется в воде, при низкой концентрации образует опалесцирующий раствор, а при высокой концентрации – вязкий раствор.
Ионообменная хроматография. Образец водорастворимого полисахарида (GW) (100 мг) растворяли в 5 мл дистиллированной воды и наносили на колонку (14 × 3 см) с DEAE-целлюлозой 52 (Sigma-Aldrich Chemie GmbH, Германия). Элюирование полисахаридов проводили последовательно 0–1 М градиентным раствором NaCl со скоростью 60 мл/ч. Отбирали фракции объемом по 10 мл. Выход полисахаридов из колонки контролировали фенол-сернокислотным методом [27].
Фракции объединяли, концентрировали, диализовали и лиофильно высушивали.
Фенол-сернокислотный метод. Определение общего содержания сахара проводили фенол-сернокислотным методом. К раствору полисахарида (0.5 мл) добавляли 5%-ный раствор фенола и 2.5 мл концентрированной серной кислоты, помещали смесь на водяную баню на 10 мин. Строили калибровочную кривую для растворов глюкозы (10–120 мкг/мл). Исследования проводили на спектрофотометре Shimadzu UV-VIS 1280 (Shimadzu Europa GmbH, Германия) при длине волны 490 нм [28].
Эксклюзионно-жидкостная хроматография. Молекулярно-массовые характеристики водорастворимых полисахаридов определяли на жидкостном хроматографе 1260 Infinity (Agilent, США) с использованием хроматографической колонки PL aquagel-OH MIXED (Англия) длиной 300 мм и внутренним диаметром 8 мм.
ИК-спектроскопия. ИК-спектры исследуемых образцов регистрировали на ИК-Фурье-спектрометре IRTracer-100 (Shimadzu Corp., Япония) в диапазоне частот 400–4000 см–1 [29].
Исследование структуры полисахаридов методом метилирования. Навеску полисахарида (5 мг) растворяли в 1 мл диметилсульфоксида, добавляли 30–40 мг тонкоизмельченного гидроксида натрия и далее при перемешивании приливали 0.5 мл СН3I. Реакционную смесь выдерживали 1 ч, приливали 5 мл хлороформа, промывали несколько раз водой, после чего хлороформный раствор упаривали, остаток гидролизовали нагреванием с 1 мл 2 М раствора трифторуксусной кислоты при 100°С в течение 8 ч [17]. Кислоту отгоняли упариванием с этанолом, полученные метилированные производные моносахаридов переводили в ацетаты полиолов и идентифицировали с помощью хромато-масс-спектрометрии [30].
ЯМР-спектроскопия. Спектры 1H-ЯМР и 13С-ЯМР регистрировали на спектрометре JNM-ECZ600R (JEOL, Япония) при рабочей частоте 600 МГц, для 1Н в растворах D2O. В качестве внутреннего стандарта в спектрах 1Н-ЯМР использовали сигнал воды (4.8 м.д.). Спектры 13С-ЯМР регистрировали по стандартным методикам.
Острая токсичность. Для определения параметров острой токсичности использовали метод Литчфилда и Уилкоксона [31]. Острую токсичность препарата изучали на белых беспородных мышах обоих полов массой 20.0 ± 2.0 г из питомника “Центр государственного санитарно-эпидемиологического надзора” г. Ташкента (Узбекистан), в каждой группе было по шесть животных. Опыты проводили на здоровых половозрелых животных, прошедших карантин не менее 14 сут. Препарат GW вводили мышам однократно внутрижелудочно в дозах 500, 1200, 1600 и 2000 мг/кг, мышам контрольной группы тем же способом вводили 0.5 мл дистиллированной воды.
За животными осуществляли наблюдение ежечасно в течение первого дня эксперимента в условиях лаборатории, при этом в качестве показателей функционального состояния животных фиксировали общее состояние, возможные судороги, выживаемость и гибель. Далее ежедневно, в течение двух недель в условиях вивария у животных всех групп наблюдали за общим состоянием и активностью, особенностями поведения, частотой и глубиной дыхательных движений, состоянием волосяного и кожного покрова, положением хвоста, количеством и консистенцией фекальных масс, частотой мочеиспускания, изменением массы тела и другими показателями. Всех подопытных животных содержали в одинаковых условиях и на общем рационе питания со свободным доступом к воде и пище [32]. В конце эксперимента вычисляли средне-смертельную дозу (LD50) и определяли класс токсичности [33].
ЗАКЛЮЧЕНИЕ
Из базидиомицетного сырья Ganoderma lucidum выделены разветвленные полисахариды β-глюканового типа. Установлено, что выделенные фракции содержат разветвленные полисахариды в виде комплексов с меланином.
Изучены физико-химические свойства, структурные характеристики выделенных β-D-глюканов. Установлено, что макромолекулярные структуры β-глюканов состоят из ангидроглюкопиранозного звена, связанного посредством β-1,3-, частично β-1,4-гликозидных связей. Разветвленная часть состоит из остатков β-D-глюкозы, которые связаны одной или несколькими β-1,6-гликозидными связями. Доказана степень разветвления β-D-глюканов для базидиального гриба Ganoderma lucidum со значением 0.75.
СОБЛЮДЕНИЕ ЭТИЧЕСКИХ СТАНДАРТОВ
В настоящей работе все применимые международные, национальные и институциональные принципы ухода и использования животных были соблюдены.
КОНФЛИКТ ИНТЕРЕСОВ
Авторы заявляют об отсутствии конфликта интересов.
About the authors
S. B. Khaytmetova
Institute of Bioorganic Chemistry named A.S. Sadykov AS RUz
Author for correspondence.
Email: xsb75@mail.ru
Uzbekistan, ul. Mirzo Ulugbek 83, Tashkent, 100125
A. S. Turaev
Institute of Bioorganic Chemistry named A.S. Sadykov AS RUz
Email: xsb75@mail.ru
Uzbekistan, ul. Mirzo Ulugbek 83, Tashkent, 100125
G. A. Khalilova
Institute of Bioorganic Chemistry named A.S. Sadykov AS RUz
Email: xsb75@mail.ru
Uzbekistan, ul. Mirzo Ulugbek 83, Tashkent, 100125
B. I. Muhitdinov
Institute of Bioorganic Chemistry named A.S. Sadykov AS RUz
Email: xsb75@mail.ru
Uzbekistan, ul. Mirzo Ulugbek 83, Tashkent, 100125
References
- Wasser P., Weis L. // Int. J. Med. Mushrooms. 1999. V. 1. Р. 31–62. https://doi.org/10.1615/IntJMedMushrooms.v1.i1.30
- Wasser S.P. // Appl. Microbiol. Biotechnol. 2002. V. 60. P. 258–274. https://doi.org/10.1007/s00253-002-1076-7
- Mizuno T. // Foods Food Ingred. J. Jpn. 1996. V. 167. Р. 69–85.
- Mizuno T. // Food Rev. Int. 1995. V. 11. Р. 173–178.
- Gorin P.A.J., Barreto-Berger E. // The Chemistry of Polysaccharides of Fungi and Lichens. In: The Polysaccharides / Ed. Aspinall G.O. New York: Academic Press, 1983. Р. 365–409.
- Liu W., Lu W., Chai Y., Liu Y., Yao W., Gao Х. // Carbohydr. Polym. 2017. V. 176. P. 140–151. https://doi.org/10.1016/j.carbpol.2017.08.071
- Guo Q., Ai L., Cui S.W. // Strategies for Structural Characterization of Polysaccharides. In: Methodology for Structural Analysis of Polysaccharides. SpringerBriefs in Molecular Science. Springer, Cham, 2018. P. 20–25.
- Pan D., Wang L., Chen C., Teng B., Wang Ch., Xu Z., Hu B., Zhou P. // Food Chem. 2012. V. 135. Р.1097–1103.
- Magdeldin S., Moser A.C. // Affinity Chromatography: Principles and Applications / Ed. Magdeldin S. InTech, 2012. P. 3–28. http://dx.doi.org/10.5772/39087
- Wang Q., Zhao X., Pu J., Luan X. // Carbohydr. Polym. 2016. V. 143. P. 296–300. https://doi.org/10.1016/j.carbpol.2016.02.023
- Kim Y., Kim B., Cheong Ch., David L., Williams, Kim Ch., Lim S. // Carbohydr. Res. 2000. V. 328. P. 331–341. https://doi.org/ 10.1016/s0008-6215(00)00105-1
- Patel B.K., Campanella O.H., Janaswamy S. // Carbohydr. Polym. 2013. V. 92. P. 1873–1879. https://doi.org/10.1016/j.carbpol.2012.11.026
- Tao Y., Zhang R., Wei Y., Liu H., Yang H., Zhao Q. // Carbohydr. Polym. 2015. V. 128. P. 179–187. https://doi.org/10.1016/j.carbpol.2015.04.012
- Сушинская Н.В., Кукулянская Т.А, Курченко В.П., Шостак Л.М. // Химия и технология органических веществ. 2004. № 4. С. 193-196.
- Халилова Г.А., Мухитдинов Б.И., Хайтметова С.Б., Нормахаматов Н.С., Тураев А.С. // Узбекский химический журнал 2019. № 2 с. 48-55.
- Arun G., Eyini M., Gunasekaran P. // J. Exp. Biol. 2015. V. 53. Р. 380–387.
- Wang Y., Liu Y., Yu H., Zhou S., Zhang Z., Wu Di., Yan M., Tang Q., Zhang J. // Carbohydr. Polym. 2017. V. 167. Р. 337–344. https://doi.org/10.1016/j.carbpol.2017.03.016
- Ding H.H., Cui S.W., Goff H.D, Chen J., Guo Q., Wang Q. // Carbohydr. Polym. 2016. V. 151. P. 538–545. https://doi.org/10.1016/j.carbpol.2016.05.094
- Ren Y., Bai Y., Zhang Z., Cai W., Del R., Flores A. // Molecules. 2019. V. 24. Р. 3122. https://doi.org/10.3390/molecules24173122
- Халилова Г.А., Тураев А.С., Мухитдинов Б.И., Хайтметова С.Б., Азимова Л.Б., Нормахаматов Н.С. // Докл. Акад. наук Респ. Узбекистан. 2020. № 5. C. 55–62.
- Manna D.K., Nandi A.K., Pattanayak M., Maity P., Tripathy S., Mandal A.K., Roy S., Tripathy S.S., Gupta N., Islam S.S. // Carbohydr. Polym. 2015. V. 134. P. 375–384. https://doi.org/10.1016/j.carbpol.2015.07.099
- Yang B., Prasad K.N., Jiang Y. // Carbohydr. Polym. 2016. V. 137. P. 570–575. https://doi.org/10.1016/j.carbpol.2015.10.088
- Халилова Г.А., Тураев А.С., Мухитдинов Б.И., Хайтметова С.Б., Нормахаматов Н.С. // Хим.-фарм. журн. 2022. Т. 56. С. 21–24. https://doi.org/10.30906/0023-1134-2022-56-8-21-24
- Хайтметова С.Б., Тураев А.С., Халилова Г.А., Тагайалиева Н.А., Аббосхонова М.О. // Эксп. клин. фарм. 2022. Т. 85. № 12. С. 38–41. https://doi.org/10.30906/0869-2092-2022-85-12-38-41.
- Сидиров К.К. // Токсикология новых промышленных химических веществ. Классификация веществ по токсичности / М.: Медицина, 1973. Вып. 3. C. 47.
- ГОСТ 32644–2014. Методы испытания по воздействию химической продукции на организм человека. Острая пероральная токсичность – метод определения класса острой токсичности (OECD, Test № 423:2001, IDT). М.: Стандартинформ, 2015.
- BeMiller J.N. // Food Anal. 2017. Chapter 19. P. 333–360. https://doi.org/10.1007/978-3-319-45776-5_19.
- Masuko T., Minami A., Iwasaki N., Majima T., Nishimura S.I., Lee Y.C. // Anal. Biochem. 2004. V. 339. P. 69–72. https://doi.org/ 10.1016/j.ab.2004.12.001
- Khaytmetova S.B., Turaeva A.S., Khalilova G.A. // Polymer Sci. Ser. B. 2022. V. 64. Р. 500–505. https://doi.org/10.1134/S1560090422700221
- Björndal H., Hellerqvist C. G., Lindberg B., Svensson S. // Ang. Chem. Int. Ed. English. 1970. V. 9. Р. 610–619. https://doi.org/10.1002/anie.197006101
- Арзамасцев Е.В., Березовская И.В., Верстакова О.Л., Гуськова Т.А., Дурнев А.Д., Иванова А.С., Крепкова Л.В., Сорокина А.В. // Методические рекомендации по изучению общетоксического действия лекарственных средств / Руководство по проведению доклинических исследований лекарственных средств. Часть первая. М.: Гриф и К, 2012. С. 13–24.
- Руководство по экспериментальному (доклиническому) изучению новых фармакологических веществ / Под общей ред. чл.-корр. РАМН, проф. Р.У. Хабриева (2 изд., перераб. и доп.). М.: Медицина, 2005. 832 с.
- OECD Guideline for Testing of Chemicals. Acute Oral Toxicity – Fixed Dose Procedure. 2001. № 420. https://ntp.niehs.nih.gov/sites/default/files/iccvam/suppdocs/feddocs/oecd/oecd_gl420.pdf
Supplementary files









