Pyridine derivatives of 3,4-dihydroquinoxalin-2-one and 3,4-dihydro-2H-1,4-benzoxazin-2-one acute toxicity evaluation
- Authors: Ternovskaya S.A.1, Vlasenko V.S.2, Novikov A.N.2, Dengis N.A.2, Stalinskaya A.L.3, Kulakov I.V.3
-
Affiliations:
- Federal State Budgetary Educational Institution “Omsk State Agrarian University named after P.A. Stolypin”
- Federal State Budgetary Scientific Institution “Omsk Agrarian Scientific Center”
- Tyumen University
- Issue: Vol 50, No 6 (2024)
- Pages: 856-861
- Section: Articles
- URL: https://medbiosci.ru/0132-3423/article/view/276013
- DOI: https://doi.org/10.31857/S0132342324060115
- EDN: https://elibrary.ru/NEFJDD
- ID: 276013
Cite item
Full Text
Abstract
An acute toxicity test was conducted on derivatives of bis(3,4-dihydroquinoxalin-2-one) and bis(3,4-dihydro-2H-1,4-benzoxazin-2-one) synthesized based on 3,5-diacetyl-2,6-dimethylpyridine by single intraperitoneal injection in guinea pigs. It was found that according to K.K. Sidorov’s classification, one of the pyridine derivatives, bis(3,4-dihydroquinoxalin-2-one), exhibited low toxicity, as evidenced by the absence of lethal outcomes when administered to animals in the range of 100 to 400 µg/kg. However, it was accompanied by signs of neurological disorders regardless of the compound dose, which disappeared within a day. When guinea pigs were inoculated with another pyridine derivative, bis(3,4-dihydro-2H-1,4-benzoxazin-2-one), more pronounced and prolonged intoxication symptoms were observed, including convulsive movements of the hind limbs, decreased mobility, and delayed reaction to stimuli, leading to the death of 33% of subjects at a dose of 100 mg/kg, 66% at a dose of 200 mg/kg, and 100% of animals at a dose of 400 mg/kg. Analysis of hematological and biochemical studies conducted on the 15th day after the administration of the test compounds showed no significant deviations from normal physiological values, despite some individual parameters showing differences compared to the control group. Thus, the acute toxicity parameters of the studied compounds were not the same and were more pronounced in the pyridine derivative bis(3,4-dihydro-2H-1,4-benzoxazin-2-one); however, both compounds can be recommended for subsequent study of antibacterial and antiviral activity in guinea pigs.
Full Text
ВВЕДЕНИЕ
У соединений, содержащих ядро хиноксалина и оксазина, выявлен разнообразный спектр биологической активности, в частности показаны их антибактериальные [1–4], противовирусные [5], противоопухолевые [6], противотуберкулезные [7–9], противовоспалительные [10] и другие свойства [11, 12].
Усилить биохимическую активность и метаболическую стабильность лекарственного средства, повысить проницаемость клеток, устранить проблемы со связыванием с белками и тем самым в значительной степени улучшить фармакокинетические и фармакодинамические свойства молекул позволяет пиридиновая составляющая, присутствующая в соединении [13]. В этой связи заслуживают внимания структурные модификации производных 3,5-диацетил-2,6-диметилпиридина до соединений (I–IV) (рис. 1), приведенные нами в работах [14–18].
Рис. 1. Структуры производных пиридина.
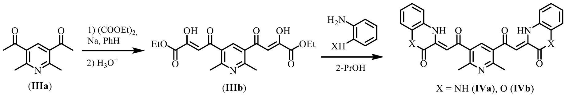
У ряда производных (соединения (I), (II)) в опытах in vitro были выявлены выраженные и умеренные противотуберкулезные, антибактериальные и противогрибковые свойства [14, 15]. Одно из производных с линкерным 3,4-дигидрохиноксалин-2-оновым заместителем (II) в тестах in vitro проявило выраженную противовирусную активность, подавляя рост микобактерий и репликацию вируса SARS-CoV-2 [16]. Кроме того, синтезированные на основе 3,5-диацетил-2,6-диметилпиридина (IIIa) производные бис(3,4-дигидрохиноксалин-2-она) (IVa) и бис(3,4-дигидро-2H-1,4-бензоксазин-2-она) (IVb) (схема 1) в результате биоскрининга in vivo на модели уксусных корчей показали анальгетическую активность, превосходящую активность препарата сравнения – анальгина [17, 18]. Для дальнейшего исследования биологической активности наиболее перспективных биспроизводных (IVa) и (IVb) необходимо изучить их токсичность.
Схема 1. Синтез производных бис(3,4-дигидрохиноксалин-2-она) (IVa) и бис(3,4-дигидро-2H-1,4-бензоксазин-2-она) (IVb).
Цель данной работы состояла в оценке острой токсичности биспроизводных (IVa) и (IVb) при внутрибрюшинном введении морским свинкам.
РЕЗУЛЬТАТЫ И ОБСУЖДЕНИЕ
Оценка острой токсичности. Для оценки острой токсичности 42 морские свинки были разделены на 7 равных групп (n = 6). Животным 1–3-й групп вводили однократно внутрибрюшинно соединение (IVa) соответственно в дозах 100, 200 и 400 мг/кг, 4–6-й групп – соединение (IVb) тем же способом в тех же дозах, 7-й группы – однократно внутрибрюшинно физиологический раствор в объеме 1 мл. Наблюдение за животными осуществляли в течение 14 сут.
Непосредственно после внутрибрюшинного введения соединения (IVa) независимо от дозы отмечались судорожные подергивания задних конечностей, снижение подвижности, замедленная реакция на окружающие раздражители. В единичных случаях регистрировали снижение температуры тела до 36.6°С и диарею. Эти симптомы в течение первых суток исчезали, в последующие дни общее состояние восстанавливалось и не отличалось от контрольных особей. Гибели животных не наблюдалось.
Результаты исследования острой токсичности соединений (IVa) и (IVb) представлены в табл. 1.
Таблица 1. Острая токсичность производных бис(3,4-дигидрохиноксалин-2-она) (IVa) и бис(3,4-дигидро-2H-1,4-бензоксазин-2-она) (IVb) при однократном внутрибрюшинном введении морским свинкам линии агути
Группа животных | Соединение | Доза препарата, мг/кг | Число погибших/общее число животных | Сроки гибели, сут |
Контроль | – | – | 0/6 | – |
1-я группа | (IVa) | 100 | 0/6 | – |
2-я группа | 200 | 0/6 | – | |
3-я группа | 400 | 0/6 | – | |
4-я группа | (IVb) | 100 | 2/6 | 3, 13 |
5-я группа | 200 | 4/6 | 13, 13, 14, 14 | |
6-я группа | 400 | 6/6 | 2, 2, 2, 2, 3, 3 |
После введения морским свинкам соединения (IVb) аналогичные признаки интоксикации обнаруживались более длительное время, которые заканчивались гибелью на 2–3-е сутки 100% животных, которым вводили препарат в дозе 400 мг/кг, а также одной особи – в дозе 100 мг/кг. Отдаленную гибель фиксировали у четырех особей после введения соединения в дозе 200 мг/кг, а также у одной – в дозе 100 мг/кг на 13-е и 14-е сутки после введения препарата. При патологоанатомическом исследовании макроскопических признаков повреждения внутренних органов не наблюдалось, отмечали лишь гиперемию печени, селезенки и почек.
Гематологические и биохимические исследования. На следующем этапе через 15 сут после внутрибрюшинного введения соединений (IVa) и (IVb), а также у морских свинок контрольной группы проводили забор крови для гематологических и биохимических исследований. Результаты представлены в табл. 2 и 3.
Таблица 2. Гематологические показатели крови морских свинок через 15 сут после однократного внутрибрюшинного введения соединения (IVa)
Показатель | Норма# | Контроль | Доза, мг/кг | ||
100 | 200 | 400 | |||
Эритроциты, × 1012/л | 4.5–6.4 | 6.4 ± 0.4 | 7.0 ± 0.1 | 7.4 ± 0.6 | 6.1 ± 0.1 |
Лейкоциты, × 109/л | 7–13 | 9.2 ± 1.0 | 10.7 ± 1.1 | 12.9 ± 1.9 | 11.8 ± 1.1 |
Эозинофилы, % | 1–13 | 3.3 ± 0.3 | 4.3 ± 0.3 | 4.3 ± 0.3 | 3.3 ± 0.3 |
Базофилы, % | 0–2 | 0.3 ± 0.3 | 0.3 ± 0.3 | 1.3 ± 0.3 | 0.3 ± 0.3 |
Лимфоциты, % | 36–54 | 53.0 ± 1.5 | 37.7 ± 1.2** | 45.0 ± 2.3* | 52.7 ± 2.2 |
Сегментоядерные нейтрофилы, % | 30–45 | 38.7 ± 1.7 | 51.3 ± 1.2** | 44.3 ± 1.5 | 37.7 ± 2.9 |
Палочкоядерные нейтрофилы, % | 1–5 | 1.3 ± 0.3 | 2.0 ± 0.6 | 1.7 ± 0.7 | 1.0 ± 0.0 |
Моноциты, % | 3–8 | 3.3 ± 0.3 | 4.3 ± 0.7 | 3.3 ± 0.3 | 5.0 ± 0.6 |
Примечание: данные представлены в виде M ± m.
*р ˂ 0.05; **р ˂ 0.01.
# Референтные интервалы приведены в соответствии с данными А.А. Кудрявцева и Л.А. Кудрявцевой (1974) [21].
Таблица 3. Биохимические показатели крови морских свинок через 15 сут после однократного внутрибрюшинного введения соединения (IVa)
Показатель | Норма# | Контроль | Доза, мг/кг | ||
100 | 200 | 400 | |||
ALT, Ед/л | 28–103 | 39.0 ± 4.2 | 67.1 ± 7.0* | 54.4 ± 3.9* | 42.6 ± 5.9 |
AST, Ед/л | 38–150 | 53.7 ± 9.2 | 50.2 ± 5.4 | 89.1 ± 31.1 | 46.6 ± 7.4 |
ALP, Ед/л | 39–162 | 140.4 ± 19.1 | 72.0 ± 3.6* | 125.4 ± 10.7 | 136.9 ± 13.6 |
Общий билирубин, мкмоль/л | 0.1–1.8 | 1.9 ± 0.1 | 2.0 ± 0.2 | 1.9 ± 0.2 | 1.8 ± 0.1 |
Общий холестерин, ммоль/л | 0.8–2.5 | 1.4 ± 0.2 | 2.7 ± 0.7 | 2.4 ± 0.9 | 1.3 ± 0.1 |
Креатинин, мкмоль/л | 47–87 | 78.3 ± 8.6 | 62.1 ± 2.4 | 72.6 ± 2.4 | 75.4 ± 3.6 |
Мочевина, ммоль/л | 5–12 | 10.7 ± 1.1 | 9.5 ± 0.2 | 9.9 ± 0.2 | 10.6 ± 0.7 |
Общий белок, г/л | 45–66 | 49.6 ± 1.6 | 49.4 ± 0.9 | 50.9 ± 0.8 | 49.7 ± 2.1 |
Альбумин, г/л | 17–30 | 30.1 ± 1.8 | 31.5 ± 1.2 | 34.7 ± 1.0 | 34.6 ± 1.9 |
Примечание: данные представлены в виде M ± m. ALT – аланинаминотрансфераза, AST – аспартатаминотрансфераза, ALP – щелочная фосфатаза (alkaline phosphatase).
*р ˂ 0.05.
# Референтные интервалы приведены в соответствии с данными М.В. Мирошникова с соавт. (2022) [22].
У морских свинок на 15-е сутки от начала эксперимента при введении соединения (IVa) в дозах 100 и 200 мг/кг относительно контрольной группы зарегистрировано снижение числа лимфоцитов в 1.4 раза (р ˂ 0.01) и 1.17 раза (р ˂ 0.05) соответственно при одновременном увеличении процентного содержания сегментоядерных нейтрофилов в 1.33 раза (р ˂ 0.01) и 1.14 раза. Изменения остальных гематологических параметров не достигали статистически достоверной разницы по сравнению с показателями контроля и не выходили за пределы нормальных физиологических значений, за исключением умеренного повышения концентрации эритроцитов при инокуляции препарата в дозах 100 и 200 мг/кг.
Анализ данных биохимических исследований, проведенных на 15-е сутки после введения морским свинкам соединения (IVa), показал, что концентрация аланинаминотрансферазы (ALT) достоверно (р < 0.05) возрастала при введении препарата в дозах 100 и 200 мг/кг в 1.72 и в 1.40 раза соответственно относительно контрольной группы, а уровень щелочной фосфатазы, напротив, был достоверно снижен (р < 0.05), но только при инокуляции животным химического соединения в дозе 100 мг/кг. Изменения остальных параметров химического состава сыворотки крови не достигали статистически достоверных отличий от контрольной группы. Следует отметить, что все анализируемые параметры находились в пределах нормальных физиологических колебаний, за исключением альбумина и общего билирубина, концентрация которых была незначительно выше нормы как в опытных, так и контрольной группах.
У морских свинок, выживших после введения соединения (IVb) в дозе 100 мг/кг, гематологические параметры, показатели ферментной активности печени, а также липидного обмена находились в пределах допустимых физиологических колебаний. Отмечено лишь умеренное снижение концентрации общего белка при одновременном увеличении уровня альбумина. В то же время относительно контрольной группы наблюдалось достоверное (р < 0.05) снижение концентрации щелочной фосфатазы в 1.80 раза, общего билирубина в 1.18 раза и общего белка в 1.15 раза.
ЭКСПЕРИМЕНТАЛЬНАЯ ЧАСТЬ
Диэтил-(2Z,2'Z)-4,4'-(2,6-диметилпиридин-3,5-диил)-бис(2-гидрокси-4-оксобут-2-еноат) (IIIb) [17]. К раствору 5.0 г (26 ммоль) 3,5-диацетил-2,6-диметилпиридина (IIIa) в 60 мл бензола приливали 15.3 г (105 ммоль) диэтилоксалата и при перемешивании вносили 1.5 г (65 ммоль) натрия. После растворения натрия перемешивали еще 2 ч. Затем осадок натриевой соли отфильтровывали, промывали бензолом и сушили на воздухе. Далее осадок растворяли в теплой воде, фильтровали через бумажный фильтр и подкисляли разбавленной соляной кислотой до появления хлопьевидного осадка. Выпавший осадок отфильтровывали, промывали водой и сушили на воздухе. Перекристаллизовывали из смеси гексан–хлороформ (2 : 1). Выход 70%, красно-оранжевые игольчатые кристаллы, т. пл. 105–106°С (гексан–хлороформ, 2 : 1).
Общая методика синтеза исследуемых соединений (IVa) и (IVb) [17]. Смесь 2.5 г (6.5 ммоль) диэтил-(2Z,2'Z)-4,4'-(2,6-диметилпиридин-3,5-диил)-бис(2-гидрокси-4-оксобут-2-еноата) (IIIb) и 1.4 г (13 ммоль) о-фенилендиамина или о-аминофенола в 50 мл 2-пропанола кипятили при перемешивании в течение 3 ч. Раствор с выпавшим осадком охлаждали, отфильтровывали, осадок промывали 2-пропанолом и перекристаллизовывали из смеси 2-пропанол–хлороформ.
(3Z,3'Z)-3,3'-[(2,6-Диметилпиридин-3,5-диил)бис(2-оксоэтан-2-ил-1-илиден)]бис(3,4-дигидрохиноксалин-2(1H)-он) (IVa). Выход 82%, ярко-желтые кристаллы, т. пл. >330°С (2-пропанол–диоксан).
(3Z,3'Z)-3,3'-[(2,6-Диметилпиридин-3,5-диил)бис(2-оксоэтан-2-ил-1-илиден)]бис(3,4-дигидро-2H-1,4-бензоксазин-2-он) (IVb). Выход 93%, оранжевые кристаллы, т. пл. 266–268°С (2-пропанол–диоксан).
Физико-химические и спектральные характеристики соединений (IIIb), (IVa) и (IVb) приведены нами в работе [17].
Экспериментальные животные. Исследования проводили на 42 морских свинках линии агути, выращенных и содержавшихся в условиях специализированного вивария отдела ветеринарии Омского аграрного научного центра. Группы экспериментальных животных подбирали по принципу аналогов (масса 400–500 г, возраст 4–5 месяцев). Были сформированы 6 опытных групп по 6 особей в каждой группе, за которыми вели наблюдения в течение 14 сут. Испытуемое соединение (IVa) вводили внутрибрюшинно морским свинкам 1-й, 2-й и 3-й групп в дозах 100, 200 и 300 мг/кг соответственно, соединение (IVb) – морским свинкам 4-й, 5-й и 6-й групп тем же способом и в тех же дозах. Еще 6 особей служили в качестве контроля, им вводили однократно внутрибрюшинно физиологический раствор (1 мл).
Острая токсичность соединений. Оценку острой токсичности проводили в соответствии с руководством по проведению доклинических исследований лекарственных средств [19]. Степень токсичности определяли в соответствии с классификацией К.К. Сидорова [20].
Гематологические и биохимические исследования. На 15-е сутки после внутрибрюшинного введения соединений производили отбор проб крови из ретроорбитального венозного сплетения с помощью микропипетки.
Подсчет эритроцитов, лейкоцитов и лейкограммы производили в соответствии с общепринятыми методиками.
Биохимический анализ сыворотки крови осуществляли по показателям ферментной активности печени (ALT, AST, ALP), белкового (общий белок, альбумин, мочевина, креатинин) и липидного (общий холестерин, общий билирубин) обменов. Исследования проведены на полуавтоматическом биохимическом анализаторе EMP-168 Vet (Emperor, Китай) в соответствии с инструкциями по применению наборов реагентов (Hospitex Diagnostics, Италия страна).
Статистический анализ. Математическая обработка полученных данных включала в себя определение средних арифметических (M) и расчет ошибок средних арифметических (m). При оценке достоверности различий (р) между двумя средними величинами Мх и Му использовали t-критерий Стьюдента. Различия результатов считали статистически достоверными при уровне значимости р ≤ 0.05.
ЗАКЛЮЧЕНИЕ
Изучена острая токсичность производных бис(3,4-дигидрохиноксалин-2-она) и бис(3,4-дигидро-2H-1,4-бензоксазин-2-она) при однократном внутрибрюшинном введении морским свинкам. Введение морским свинкам препарата (IVa) в диапазоне 100–400 мкг/кг не приводило к летальному исходу, что свидетельствовало о его малой токсичности. Соединение (IVb) проявляло умеренную токсичность, вызывая гибель 33% особей в дозе 100 мг/кг, 66% – в дозе 200 мг/кг и 100% животных в дозе 400 мг/кг. Токсическое действие соединений проявлялось нервными расстройствами (судороги, заторможенность) при отсутствии выраженных изменений гематологических и биохимических показателей относительно физиологической нормы
Cоединения (IVa) и (IVb) могут быть рекомендованы для изучения антибактериальной и противовирусной активности на морских свинках.
ФОНДОВАЯ ПОДДЕРЖКА
Работа выполнена в рамках государственного задания Минобрнауки Омского аграрного научного центра по теме: FNUN-2022-0035 “Разработать эффективную систему обеспечения продовольственной и биологической безопасности на основе создания новых биологических препаратов для диагностики и профилактики социально-значимых болезней животных, оптимизации технологии кормопроизводства и анализа селекции племенного дела” (№ государственной регистрации 122070700055-5).
СОБЛЮДЕНИЕ ЭТИЧЕСКИХ СТАНДАРТОВ
Все исследования на морских свинках проведены в соответствии с требованиями Европейской конвенции о защите позвоночных животных, используемых для экспериментов или в иных научных целях (Страсбург, 18.03.1986).
Исследования одобрены локальным независимым этическим комитетом организации по уходу и использованию лабораторных животных (протокол № 2 от 20.02.2023 г.).
КОНФЛИКТ ИНТЕРЕСОВ
Авторы заявляют об отсутствии конфликта интересов.
ВКЛАД АВТОРОВ
Авторы САТ, АНН и НАД провели биологические исследования. Авторы АЛС и ИВК – подготовка и характеристика соединений. Автор ВСВ – подготовка оригинального текста и его финальное редактирование.
ДОСТУПНОСТЬ ДАННЫХ
Данные, подтверждающие выводы настоящего ис-следования, можно получить у корреспондирующего автора по обоснованному запросу.
About the authors
S. A. Ternovskaya
Federal State Budgetary Educational Institution “Omsk State Agrarian University named after P.A. Stolypin”
Author for correspondence.
Email: sa.ternovskaya2306@omgau.org
Russian Federation, Institutskaya pl. 1, Omsk, 644008
V. S. Vlasenko
Federal State Budgetary Scientific Institution “Omsk Agrarian Scientific Center”
Email: vvs-76@list.ru
Russian Federation, prosp. Koroleva 26, Omsk, 644012
A. N. Novikov
Federal State Budgetary Scientific Institution “Omsk Agrarian Scientific Center”
Email: sa.ternovskaya2306@omgau.org
Russian Federation, prosp. Koroleva 26, Omsk, 644012
N. A. Dengis
Federal State Budgetary Scientific Institution “Omsk Agrarian Scientific Center”
Email: sa.ternovskaya2306@omgau.org
Russian Federation, prosp. Koroleva 26, Omsk, 644012
A. L. Stalinskaya
Tyumen University
Email: sa.ternovskaya2306@omgau.org
School of Natural Sciences
Russian Federation, ul. Perekopkskaya 15a, Tyumen, 625003I. V. Kulakov
Tyumen University
Email: i.v.kulakov@utmn.ru
School of Natural Sciences
Russian Federation, ul. Perekopkskaya 15a, Tyumen, 625003References
- Badran M.M., Abonzid K.A., Hussein M.H. // Arch. Pharm. Res. 2003. V. 26. P. 107–113. https://doi.org/10.1007/BF02976653
- Vayas D.A., Chauhan N.A., Parikh A.R. // Ind. J. Chem. 2007. V. 46. P. 1699–1702.
- Gein V.L., Rassudikhina N.A., Shepelina N.V., Vakhrin M.I., Babushkina E.B., Voronina E.V. // Pharm. Chem. J. 2008. 42. P. 529–532. https://doi.org/10.1007/s11094-009-0175-5
- Singh D.P., Deivedi S.K., Hashim S.R., Singhal R. // Pharmaceuticals (Basel). 2010. V. 3. P. 2416–2425. https://doi.org/10.3390/ph3082416
- Zhong Q.F., Liu R., Liu G. // Mol. Divers. 2015. V. 19. P. 829–853. https://doi.org/10.1007/s11030-015-9610-6
- Rezaei Z., Mahdi Didehvar M., Mahdavi M., Azizian H., Hamedifar H., Mohammed E.H.M., Ostad S., Amini M. // Bioorg. Chem. 2019. V. 90. P. 103055. https://doi.org/10.1016/j.bioorg.2019.103055
- Nandikolla A., Khetmalis Y.M., Naidu K.M., Kumar B.K., Murugesan S., Sekhar K.V.G.C. // Toxicol In Vitro. 2022. V. 82. P. 105370. https://doi.org/10.1016/j.tiv.2022.105370
- Zarranz B., Jaso A., Aldana I., Monge A. // Bioorg. Med. Chem. 2003. V. 11. P. 2149–2156. https://doi.org/10.1016/s0968-0896(03)00119-6
- Ramalingam P., Ganapaty S., Rao C.B. // Bioorg. Med. Chem. Lett. 2010. V. 20. P. 406–408. https://doi.org/10.1016/j.bmcl.2009.10.026
- Wagle S., Adhikari A.V., Kumari N.S. // Ind. J. Chem. 2008. V. 47. P. 439–448.
- Pereira J.A., Pessoa A.M., Cordeiro M.N.D., Fernandes R., Prudencio C., Noronha J.P., Vieira M., Cordeiro M.N.D.S. // Eur. J. Med. Chem. 2015. V. 97. P. 664–672. https://doi.org/10.1016/j.ejmech.2014.06.058
- Petronijević J., Janković N., Stanojković T.P., Joksimović N., Grozdanić N.Ð., Vraneš M., Tot A., Bugarčić Z. // Arch. Pharm. (Weinheim). 2018. V. 351. P. e1700308. https://doi.org/10.1002/ardp.201700308
- De S., Kumar S.K.A., Shah S.K., Kazi S., Sarkas N., Bunerjee S., Dey S. // RSC Adv. 2022. V. 12. P. 15385– 15406. https://doi.org/10.1039/d2ra01571d
- Stalinskaya A.L., Martynenko N.V., Alkhimova L.E., Dilbaryan D.S., Vasilchenko A.S., Dengis N.A., Vlasenko V.S., Kulakov I.V. // J. Mol. Structure. 2023. V. 1275. P. 134689. https://doi.org/10.1016/j.molstruc.2022.134689
- Oleshchuk A.L., Shulgau Z.T., Seilkhanov T.M., Vasilchenko A.S., Talipov S.A., Kulakov I.V. // Synlett. 2020. V. 31. P. 165–170. https://doi.org/10.1055/s-0037-1610738
- Stalinskaya A.L., Martynenko N.V., Shulgau Z.T., Shustov A.V., Keyer V.V., Kulakov I.V. // Molecules. 2022. V. 27. P. 3701. https://doi.org/10.3390/molecules27123701
- Kulakov I.V., Karbainova A.A., Shulgau Z.T., Seilkhanov T.M., Gatilov Y.V., Fisyuk A.S. // Chem. Heterocycl. Comp. 2017. V. 53. P. 1094–1097. https://doi.org/10.1007/s10593-017-2178-6
- Кулаков И.В., Карбаинова А.А., Шульгау З.Т., Фисюк А.С. // Патент RU 2688217 C1, опубл. 21.05.2019.
- Руководство по проведению доклинических исследований лекарственных средств. Часть первая. М.: Гриф и К, 2012. 944 с.
- Сидоров К.К. // Токсикология новых промышленных химических веществ. Вып. 13. М., 1973. С. 47– 51.
- Кудрявцев А.А., Кудрявцева Л.А. // Клиническая гематология животных. М.: Колос, 1974. 399 с.
- Мирошников М.В., Султанова К.Т., Ковалева М.А., Макарова М.Н. // Лаб. животные для научных исследований. 2022. № 3. С. 4–15. https://doi.org/10.57034/2618723X-2022-03-01
Supplementary files




