Crystal Structure of Magnesium Comenate
- Authors: Ivashchenko L.I.1, Kozin S.V.1,2, Vasil’eva L.V.1, Vasil’ev A.M.1, Dotsenko V.V.1,3, Aksenov N.A.3, Kravtsov A.A.1,2
-
Affiliations:
- Kuban State University, Krasnodar, Russia
- Southern Scientific Center, Russian Academy of Sciences, Rostov-on-Don, Russia
- North-Caucasus Federal University, Stavropol, Russia
- Issue: Vol 49, No 7 (2023)
- Pages: 431-440
- Section: Articles
- URL: https://medbiosci.ru/0132-344X/article/view/137295
- DOI: https://doi.org/10.31857/S0132344X22600412
- EDN: https://elibrary.ru/TUXRAK
- ID: 137295
Cite item
Full Text
Abstract
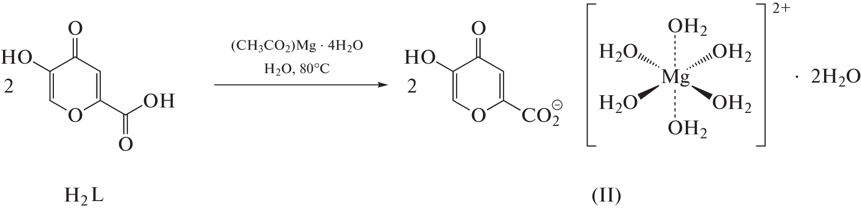
The coordination compound [Mg(HCom)2(H2O)6]·2H2O (I) was obtained by the reaction of comenic acid (H2Com) with magnesium acetate in water. The formation of a new phase was confirmed by powder X-ray diffraction. The molecular formula of the compound was determined from energy dispersive X-ray fluorescence and thermogravimetry data. The thermo-oxidative stability of magnesium comenate was studied by simultaneous thermal analysis in air. The molecular structure of the complex was discussed on the basis of spectral data (NMR, IR, and UV spectroscopy) and studied in detail using X-ray diffraction (CCDC no. 2 207 835). Magnesium comenate crystallizes in the triclinic system, space group P1¯,
the structure is stabilized by intra- and intermolecular hydrogen bonds between the coordinated water molecules, acid anions, and [Mg(H2O)6]2+.
About the authors
L. I. Ivashchenko
Kuban State University, Krasnodar, Russia
Email: levmag1@gmail.com
Россия, Краснодар
S. V. Kozin
Kuban State University, Krasnodar, Russia; Southern Scientific Center, Russian Academy of Sciences, Rostov-on-Don, Russia
Email: levmag1@gmail.com
Россия, Краснодар; Россия, Ростов-на-Дону
L. V. Vasil’eva
Kuban State University, Krasnodar, Russia
Email: levmag1@gmail.com
Россия, Краснодар
A. M. Vasil’ev
Kuban State University, Krasnodar, Russia
Email: levmag1@gmail.com
Россия, Краснодар
V. V. Dotsenko
Kuban State University, Krasnodar, Russia;North-Caucasus Federal University, Stavropol, Russia
Email: levmag1@gmail.com
Россия, Краснодар; Россия, Ставрополь
N. A. Aksenov
North-Caucasus Federal University, Stavropol, Russia
Email: levmag1@gmail.com
Россия, Ставрополь
A. A. Kravtsov
Kuban State University, Krasnodar, Russia; Southern Scientific Center, Russian Academy of Sciences, Rostov-on-Don, Russia
Author for correspondence.
Email: levmag1@gmail.com
Россия, Краснодар; Россия, Ростов-на-Дону
References
- Cavalieri L.F. // Chem. Rev. 1947. V. 41. № 3. P. 525. https://doi.org/10.1021/cr60130a004
- Kandioller W., Kurzwernhart A., Hanif M. et al. // J. Organomet. Chem. 2011. V. 696. № 5. P. 999.
- Aida K. // J. Agric. Chem. Soc. Jpn. 1955. V. 19. № 2. P. 97. https://doi.org/10.1080/03758397.1955.10857272
- Шурыгина Л.В., Злищева Э.И., Кравцов А.А. и др. // Бюл. эксперим. биол. мед. 2021. Т. 171. № 3. С. 319 (Shurygina L.V., Zlishcheva E.I., Kravtsov A.A. et al. // Bull. Exp. Biol. Med. 2021. V. 171. № 3. P. 319). https://doi.org/10.47056/0365-9615-2021-171-3-319-322
- Шурыгина Л.В., Злищева Э.И., Кравцова А.Н. и др. // Бюл. эксперим. биол. мед. 2017. Т. 163. № 3. С. 325 (Shurygina L.V., Zlishcheva E.I., Kravtsova A.N. et al. // Bull. Exp. Biol. Med. 2017. V. 163. № 3. P. 344). https://doi.org/10.1007/s10517-017-3800-4
- Шурыгина Л.В., Злищева Э.И., Кравцов А.А. и др. // Экспер. клин. фармакол. 2013. Т. 76. № 8. С. 9 (Shurygina L.V., Zlishcheva E.I., Kravtsov A.A. et al. // Russ. J. Exp. Clin. Pharmacol. 2013. V. 76. № 8. P. 9). https://doi.org/10.30906/0869-2092-2013-76-8-9-12
- Шурыгин А.Я., Злищева Л.И., Расулов Ж.Г., Ушаков А.Д. Патент № 2026351 C1 Российская Федерация. Заявл. 01.09.1992. Опубл. 09.01.1995. Заявитель Товарищество с ограниченной ответственностью “Бализ Фарм”.
- Дик О.Е., Шелых Т.Н., Плахова В.Б. и др.// Докл. РАН. Биохимия, биофизика и молекулярная биология. 2015. Т. 462. № 2. С. 230 (Dick O.E., Shelykh T.N., Plakhova V.B. et al. // Dokl. Biochem. Biophys. 2015. V. 462. № 1. P. 155). https://doi.org/10.7868/S086956521514025X
- Рогачевский И.В., Плахова В.Б., Домнин И.Н. и др. // Клин. патофизиология. 2006. № 1. С. 15.
- Рогачевский И.В., Плахова В.Б. // Журн. общ. хим. 2006. Т. 76. № 11. С. 1904 (Rogachevskii I.V., Plakhova V.B. // Russ. J. Gen. Chem. 2006. V. 76. № 11. P. 1820). https://doi.org/10.1134/S1070363206110272
- Fiorentini D., Cappadone C., Farruggia G. et al. // Nutrients. 2021. V. 13. № 4. P. 1136. https://doi.org/10.3390/nu13041136
- Kirkland A.E., Sarlo G.L., Holton K.F. // Nutrients. 2018. V. 10. № 6. P. 730. https://doi.org/10.3390/nu10060730
- Шурыгина Л.В., Злищева Э.И., Кравцов А.А. и др. Патент № 2528914 C1 Российская Федерация. № 2013141871/15. Заявл. 12.09.2013. Опубл. 20.09.2014. Заявитель Кубанский государственный университет.
- Шурыгина Л.В., Злищева Э.И., Хаблюк В.В. и др. // Бюл. эксперим. биол. мед. 2015. Т. 159. № 4. С. 457 (Shurygina L.V., Zlishcheva E.I., Khablyuk V.V. et al. // Bull. Exp. Biol. Med. 2015. V. 159. № 4. P. 466). https://doi.org/10.1007/s10517-015-2993-7
- Шурыгина Л.В., Злищева Э.И., Кравцов А.А. // Бюл. эксперим. биол. мед. 2018. Т. 165. № 4. С. 457 (Shurygina L.V., Zlishcheva E.I., Kravtsov A.A. // Bull. Exp. Biol. Med. 2018. V. 165. № 4. P. 465). https://doi.org/10.1007/s10517-018-4195-6
- Шурыгин А.Я., Шурыгина Л.В., Лобова Н.Н. Патент № 2459623 C1 Российская Федерация. № 2011134045/10. Заявл. 16.08.2011. Опубл. 27.08.2012.
- Шурыгин А.Я. Патент № 2287583 C1 Российская Федерация. № 2005117323/13. Заявл. 06.06.2005. Опубл. 20.11.2006.
- Dolomanov O.V., Bourhis L.J., Gildea R.J. et al. // J. Ap-pl. Cryst. 2009. V. 42. P. 339–341. https://doi.org/10.2138/am-2021-7785
- Sheldrick G.M. // Acta Crystallogr. A. 2015. V. 71. P. 3. https://doi.org/10.1107/S2053273314026370
- Sheldrick G.M. // Acta Crystallogr. C. 2015. V. 71. P. https://doi.org/10.1107/S2053229614024218
Supplementary files







