Heteroleptic ionic copper(I) complexes based on pyrazolo[1,5-a][1,10]phenanthrolines: synthesis, structure, and photoluminescence
- Authors: Vinogradova K.A.1, Rakhmanova M.I.1, Taigina M.D.1,2, Pervukhina N.V.1, Naumov D.Y.1, Sannikova V.A.3, Filippov I.R.2,3, Kolybalov D.S.2,4, Vorob’ev A.Y.2,3
-
Affiliations:
- Nikolaev Institute of Inorganic Chemistry, Siberian Branch, Russian Academy of Sciences
- Novosibirsk State University (National Research University)
- Vorozhtsov Novosibirsk Institute of Organic Chemistry, Siberian Branch, Russian Academy of Sciences
- Center for Collective Use, Siberian Ring Source of Photons (SKIF)
- Issue: Vol 50, No 12 (2024)
- Pages: 869–880
- Section: Articles
- URL: https://medbiosci.ru/0132-344X/article/view/273846
- DOI: https://doi.org/10.31857/S0132344X24120077
- EDN: https://elibrary.ru/LMCBXH
- ID: 273846
Cite item
Full Text
Abstract
Heteroleptic copper(I) tetrafluoroborate complexes with pyrazolo[1,5-a][1,10]phenanthrolines (Ln, n = 1–3) and bis[(2-diphenylphosphino)phenyl]ether (POP) were synthesized and structurally characterized. The coordination compounds with the general formula [CuLn(POP)]BF4 · Solv (n = 1, Solv = 0.5MeCN, complex I; n = 2, Solv = 0.5CH2Cl2, complex II; n = 3, Solv = 1.25Et2O, complex III · Et2O) were prepared by the reaction of CuBF4 with Ln and POP in organic solvents (MeCN/CH2Cl2/Et2O) at 1 : 1 : 1 molar ratio. Compound III · Et2O gradually loses solvate molecules to be converted to the complex [CuL3(POP)]BF4 (III). According to single-crystal X-ray diffraction data, the complexes (I, II, III · Et2O) are ionic; in complex cation [CuLn(POP)]+ the coordination environment of the copper atom is a distorted tetrahedron with CuN2P2 chromophore. The photoluminescence properties of the obtained complexes (I–III) were studied in the solid state and in solution. In the absorption spectra of the complexes, a charge transfer band is observed at 380–385 nm; excitation in this range gives rise to two emission bands at 480 and 650 nm in solution. In the solid state, the complexes show photoluminescence only in the red range (λmax = 600–610 nm) with microsecond lifetimes. It was found that complexes I and III with a more perfect tetrahedral environment have quantum yields an order of magnitude higher than the quantum yield observed for complex II.
Full Text
Органические светоизлучающие диоды (OLED) нашли широкое применение как в осветительных приборах, так и в конструировании различных дисплеев для отображения визуальной информации. Основой OLED-устройств являются эмиттеры (люминофоры) – вещества, которые преобразуют электрическую энергию в световую. По типу релаксации возбужденного состояния эмиссионные материалы разделяются на три поколения: первое – флуоресцентные эмиттеры, второе – фосфоресцентные эмиттеры и третье – TADF-эмиттеры (TADF – thermally activated delayed fluorescence, термически активированная замедленная флуоресценция) [1]. Последние два типа люминесцентных материалов особенно привлекают исследователей тем, что теоретически они могут достигать 100% квантовой эффективности [2–5]. Фосфоресцентные эмиттеры, как правило, получают на основе комплексных и металлоорганических соединений таких тяжелых металлов, как иридий(III), платина(II) и палладий(II). В современных использующихся на практике OLED-устройствах применяются в основном комплексы иридия(III) [6–9], при этом на их основе делают люминофоры, которые излучают и в синей, и в красной, и в зелeной областях спектра [10]. Основным очевидным недостатком этих соединений является то, что иридий — дорогой и редкий элемент. Выглядит привлекательным третье поколение на основе TADF-эмиттеров, которые, с одной стороны, тоже могут достигать 100% квантовой эффективности [4, 5], с другой стороны, для их синтеза не требуется дорогостоящих металлов. Вещества, которые люминесцируют за счет TADF, могут быть получены либо на основе органических молекул, в которых комбинируют донорные и акцепторные фрагменты [11–14], либо координационные соединения металлов 11-й группы (медь(I), серебро(I), золото(I)) [5]. В большом количестве работ показано, что часто люминесценция комплексных соединений одновалентной меди(I) происходит за счет термически активированной замедленной флуоресценции [3, 15, 16].
Координационные соединения меди(I), которые содержат азот-донорные хелатные лиганды (NN-лиганды), обычно не обладают эффективной люминесценцией [17]. Лучшие эмиссионные свойства достигаются при синтезе гетеролептических комплексов меди(I), которые содержат, помимо NN-лигандов, фосфор-донорные монодентатные и бидентатные лиганды. Например, хорошие эмиссионные свойства продемонстрировали ионные комплексы состава [Cu(NN)(PP)]+A– (A– – типичный некоординирующийся анион, например BF4– или PF6–) [16, 18, 19]. В большинстве работ в качестве NN-лигандов выбирают различные производные 1,10-фенантролина [17, 9–22], при этом показано, что наличие объемных заместителей в положениях 2 и 9 молекулы 1,10-фенантролина приводит к образованию более правильного тетраэдрического координационного узла (КУ) CuN4 или CuN2P2. Это препятствует его искажению при возбуждении, что обеспечивает меньшие безызлучательные потери при релаксации и росту квантового выхода [17, 21]. По такой же причине для синтеза люминесцирующих комплексов меди(I) выбирают фосфор-донорные хелатные лиганды с объемными заместителями [23–27].
Относительно недавняя работа 2020 года предлагает новую модификацию 1,10-фенатролина в две стадии (схема 1) [28].
Схема 1. Схема синтеза производных пиразоло[1, 5-a][1, 10]фенантролина [28].
Такая модификация, с одной стороны, расширяет сопряженную π-систему, что будет способствовать сдвигу спектра эмиссии в красную область, с другой стороны, данная методика позволяет достаточно широко варьировать заместители в положениях 2 и 3 пиразольного цикла. Это делает получаемые производные пиразоло[1,5-а][1, 10]фенантролина привлекательными для синтеза люминесцирующих комплексов меди(I). В 2023 году мы опубликовали первую работу, в которой использовались пиразоло[1,5-a][1, 10]фенантролин-3-карбонитрил (L1) и 1-(пиразоло[1,5-a][1, 10]фенантролин-3-ил)этан-1-он (L2) для синтеза люминесцирующих комплексов меди(I) [29]. Было обнаружено, что двухъядерные комплексы [Cu2(Ln)2I2] не обладают фотолюминесценцией (ФЛ), а комплексы состава [CuLn(PPh3)I] (n = 1, 2) обладают фосфоресценцией в твердом состоянии в красной области (λмакс = =640–740 нм). В данной работе мы заменили монодентатный трифенилфосфин на объемный бидентатный бис[(2-дифенилфосфино)фениловый]эфир (РОР), с целью синтезировать ионные комплексы меди(I) состава [CuLn(POP)]BF4 и изучить, как эта модификация повлияет на их фотолюминесцентные свойства. Также в этой работе, помимо хелатных NN-лигандов L1 и L2, был еще использован 3-тозилпиразоло[1,5-а][1, 10]фенантролин (L3), который обладает более объемным заместителем в пиразольном цикле.
Экспериментальная часть
Тетракис(ацетонитрил)медь(I) тетрафторборат (Sigma Aldrich), бис[(2-дифенилфосфино)фенил]эфир (РОР, Sigma Aldrich), карбонат калия (х. ч.), хлористый метилен (х. ч.), ацетонитрил (х. ч.), диэтиловый эфир (ч. д. а.), этанол, хлороформ (х. ч.) являются коммерчески доступными и использовались в работе без дополнительной очистки. Соединения пиразоло[1,5-a][1, 10]фенантролин-3-карбонитрил (L1), 1-(пиразоло[1,5-a][1, 10]фенантролин-3-ил)этан-1-он (L2) и тозилат N-аминофенантролиния синтезировали по известной методике [28].
Синтез 3-тозилпиразоло[1,5-а][1, 10]фенантролина (L3). В круглодонную колбу помещали тозилат N-аминофенантролиния (740 мг, 2.00 ммоль) в 10 мл ацетонитрила и карбонат калия (1.4 г, 10 ммоль), далее перемешивали 20 минут до появления характерной желто-оранжевой окраски раствора (генерация N-илида). К раствору прибавляли триметилсилилтозилацетилен (252 мг, 1.00 ммоль) и перемешивали 24 ч, после этого реакционную смесь вылили в воду, выпавший осадок отфильтровали. Целевой продукт из осадка выделяли методом колоночной хроматографии на SiO2, элюент – хлороформ–этанол (200 : 1). Выход 198 мг (53%), Тпл = 240оС.
ЯМР 1Н(300 МГц; ДМСО-d6; δ, м. д.): 3.34 (3Н, с, Ar–CH3), 7.41 (2Н, д, J = 8.1 Гц, Ts-H), 7.83 (1Н, дд, J = 8.2, 4.2 Гц, H-5), 7.97 (2Н, д, J = 8.3 Гц, Ts-H), 8.18 (2Н, кв, J = 8.6 Гц, H-6, Н-7), 8.25–8.36 (2Н, м, H-8, Н-9), 8.61 (1Н, дд, J = 8.2, 1.9 Гц, H-4), 8.85 (1Н, с, Н-2), 9.26 (1Н, дд, J = 4.2, 1.8 Гц, H-10). ЯМР 13С(75 МГц; ДМСО-d6; δ, м. д.): 21.0, 112.9, 116.1, 123.0, 125.0, 126.3, 126.9, 126.9, 129.3, 129.9, 130.1, 130.1, 136.5, 139.0, 139.0, 140.2, 142.4, 143.9, 150.4. Масс-спектр высокого разрешения: расчетное значение m/z = 373.0880 (C21H15O2N3S)+, измеренное значение m/z = 373.0878.
Синтез [CuL1(POP)]BF4 · 0.5MeCN (I). К суспензии тетрафторобората меди(I) (29.6 мг, 0.0941 ммоль) в 2 мл хлористого метилена добавляли раствор, содержащий POP (50.7 мг, 0.0941 ммоль) и L1 (23.0 мг, 0.0941 ммоль) в 3 мл хлористого метилена, при этом реакционная смесь стала ярко-желтой и прозрачной. При медленном упаривании этого раствора образуется аморфная желтая пленка, которую растворяли в 1 мл ацетонитрила. Из полученного раствора высаживали комплекс I выдерживанием этого раствора в парах диэтилового эфира. Через 2 сут в растворе вырастали крупные ромбические пластинчатые ярко-желтые кристаллы. Выход I 35.9 мг (39%).
Найдено, %: C 65.6; Н 4.0; N 6.6. Для C52H37.5N4.5OBF4P2Cu вычислено, %: C65.5; Н 4.0; N 6.6.
Синтез [CuL2(POP)]BF4 · 0.5CH2Cl2 (II). К раствору тетрафторобората меди(I) (26.8 мг, 0.0852 ммоль) в 2 мл ацетонитрила добавляли раствор, содержащий POP (45.9 мг, 0.0852 ммоль) и L2 (22.3 мг, 0.0941 ммоль) в 6 мл хлористого метилена, при этом реакционная смесь стала коричнево-оранжевой. К полученному прозрачному раствору добавляли 2 мл диэтилового эфира, и в растворе сразу образовывался осадок в виде хлопьев. Далее раствор с осадком перемешивали при комнатной температуре около 30 мин. Осадок отфильтровали на стеклянном пористом фильтре, промыли 2 мл диэтилового эфира, высушили на воздухе. Высушенный осадок цвета охры. Выход II 29.6 мг (34%).
Найдено, %: C 61.5; Н 3.6; N 4.6. Для C53H41N3O2BF4P2Cl2Cu вычислено, %: C 61.5; Н 4.0; N 4.1.
Оставшийся после выделения порошка II маточный раствор ярко-желтого цвета. Через 2 мес. в растворе вырастали призматические желтые кристаллы, пригодные для проведения рентгеноструктурного анализа (РСА).
Синтез [CuL3(POP)]BF4 (комплекс III). К раствору тетрафторобората меди(I) (21.2 мг, 0.0675 ммоль) в 2 мл ацетонитрила добавляли растворы POP (36.3 мг, 0.0675 ммоль) и L3 (25.2 мг, 0.0675 ммоль) в 3 мл хлористого метилена, при этом реакционная смесь стала яркожелтого цвета. Полученный раствор выдерживали в парах диэтилового эфира, и через 4 сут в растворе образовался ярко-желтый порошок, который отфильтровывали на стеклянном пористом фильтре, промывали 1 мл диэтилового эфира и высушивали на воздухе. Высушенный осадок ярко-желтый. Выход III 39.5 мг (55%).
Найдено, %: C 63.8; Н 4.2; N 3.7. Для C53H41N3O2BF4P2Cl2Cu вычислено, %: C 64.4; Н 4.4; N 4.0.
Синтез [CuL3(POP)]BF4 · 1.25Et2O (III · Et2O). Оставшийся маточный раствор (в синтезе III) концентрировали до минимального объeма (~0.5 мл) и выдерживали его в парах диэтилового эфира. На следующий день в растворе вырастали крупные прозрачные, хорошо ограненные ярко-желтые кристаллы, пригодные для проведения РСА.
Элементный анализ (C, H, N) фтор-содержащих комплексов меди(I) был проведен по методике, описанной в [30]. ИК спектры комплексов и соединения L3 были получены на ИК Фурье-спектрометрах Scimitar FTS2000 Fourier-spectrometer DIGILAB в диапазоне 4000–400 см–1 (таблетки в KBr) и Vertex 80 Bruker в диапазоне 600–100 cсм–1 (таблетки в полиэтилене). Для съемки спектров диффузного отражения (СДО) образцы комплексов смешивались с сульфатом бария в массовом соотношении ~1 : 100. СДО образцов записывались на приборе UV-3101 PC Shimadzu. Спектры представлены как функция Кубелки–Мунка, F(R) = (1 – R)2 / 2R, где R коэффициент диффузного отражения образца по сравнению с BaSO4. Электронные спектры поглощения в растворах записывали на спектрофотометре СФ-2000. Для записи спектров поглощения и спектров ФЛ в растворе использовали хлористый метилен со степенью чистоты HPLC без дополнительной очистки.
Порошковые дифрактограммы соединений I, II, III и III · Et2O записывали на порошковом рентгеновском дифрактометре STOE STADI MP (изогнутый германиевый (111) монохроматор и линейный детектор DECTRIS MYTHEN1K, в режиме пропускания (фокусировка на детекторе)) при следующих параметрах: угол 2θ изменялся от 3° до 50° с шагом 1°, время накопления 30.0 с на точку, общее время эксперимента 33 мин, излучение CuKα1, λ = 1.54060 Å, генератор 40 кВ/40 мА.
РСА монокристаллов соединений I, II, III · Et2O выполнен на автоматическом дифрактометре Bruker Nonius X8Apex с 4K CCD детектором по стандартной методике (MoKα-излучение, λ = 0.71073 Å, графитовый монохроматор) при 150 K [31]. Поглощение учтено полуэмпирически, опираясь на интенсивности эквивалентных рефлексов (SADABS). Структуры расшифрованы прямым методом и уточнены полноматричным МНК по F2 в анизотропном приближении для неводородных атомов с использованием комплекса программ SHELXTL [32]. Атомы водорода органических лигандов локализованы из карт разностной электронной плотности и уточнены в приближении жесткого тела. В структурах II и III · Et2O наблюдается разупорядочение анионов. В структуре I обнаружено ориентационное разупорядочение лиганда L1 и разупорядочение атомов F в анионе BF4–. Кристаллографические данные и детали дифракционного эксперимента приведены в табл. 1.
Таблица 1. Кристаллографические данные, параметры эксперимента и уточнения структур I, II и III ‧ Et2O
Параметр | Значение | ||
I | II | III ‧ Et2O | |
Эмпирическая формула | C52H36.50B N4.50OF4 P2Cu | C52.50H40BN3O2F4P2ClCu | C62H43BN3O4.25F4S P2Cu |
М | 952.64 | 992.61 | 1142.34 |
Сингония | Триклинная | Моноклинная | Триклинная |
Пр. группа | P | P21/c | P |
a, Å | 12.1083(4) | 11.3564(3) | 12.4615(6) |
b, Å | 12.1219(4) | 14.8035(4) | 13.6240(6) |
c, Å | 18.2631(6) | 28.9656(7) | 20.1763(9) |
α, град | 72.227 (1) |
| 92.536(2) |
β, град | 74.860 (1) | 98.435(1) | 104.420(2) |
γ, град | 65.060 (1) |
| 116.169(2) |
V, Å3 | 2287.2(1) | 4816.9(2) | 2930.3(2) |
Z | 2 | 4 | 2 |
ρ(выч.), г/см3 | 1.383 | 1.369 | 1.295 |
µ, мм–1 | 0.608 | 0.635 | 0.524 |
F(000) | 976 | 2036 | 1172 |
Размеры кристалла, мм | 0.35 × 0.20 × 0.08 | 0.42 × 0.32 × 0.20 | 0.31 × 0.15 × 0.10 |
Диапазон углов θ, град | 2.369–26.022 | 2.276–26.021 | 2.38–26.022 |
Число измеренных рефлексов | 35148 | 59177 | 31789 |
Число независимых рефлексов (Rint) | 8948 (0.0624) | 9441 (0.0467) | 11531 (0.0664) |
Полнота сбора данных по θ = 25.00°, % | 99.7 | 99.6 | 99.7 |
S-фактор по F2 | 1.113 | 1.070 | 0.950 |
R1, wR2 (I > 2σI) | 0.0685, 0.1669 | 0.0554, 0.1563 | 0.0568, 0.1405 |
R1, wR2 (все отражения) | 0.0927, 0.1771 | 0.0684, 0.1642 | 0.1015, 0.1576 |
Остаточная электронная плотность s(min/max), e/Å3 | 1.347/–0.479 | 1.578/–0.489 | 0.884/–0.399 |
Структурные параметры депонированы в Кембриджском центре кристаллографических данных (№ CCDC № 2349586 (I), 2349585 (II), 2349587 (III · Et2O), deposit@ccdc.cam.ac.uk; www: http://www.ccdc.cam.ac.uk).
Спектры фотолюминесценции и возбуждения комплексов в твердом состоянии и в растворе регистрировали с помощью спектрофлуориметра Horiba Fluorolog 3, оснащенного непрерывными 450 Вт и импульсными ксеноновыми лампами в качестве источников света, охлаждаемым детектором и двойными решетчатыми монохроматорами возбуждения и излучения. Спектры фотолюминесценции и возбуждения корректировались с учетом интенсивности источника (лампа и решетка) и спектрального отклика излучения (детектор и решетка) с помощью стандартных кривых коррекции. Для измерения абсолютного квантового выхода использовался спектрофлуориметр Fluorolog 3, снабженный квантовой сферой (Quanta-ϕ). Для комплекса I абсолютный квантовый выход был получен при возбуждении 400 нм, для комплекса II – 420 нм, для комплекса III – 440 нм.
Кинетика затухания фотолюминесценции в наносекундном временном диапазоне для соединения L3 в твердом состоянии и в растворе (Т = 300 К) регистрировалась методом коррелированного по времени подсчета одиночных фотонов с использованием импульсного источника света NanoLED и контроллера NanoLED-C2. Для соединения L3 в твердом состоянии и в растворе для возбуждения использовалась длина волны 350 нм, регистрация проводилась в максимумах излучения 470 нм (в растворе) и 480 нм (в твердом состоянии). Кинетика затухания люминесценции комплексов в микросекундном диапазоне времени записывалась с помощью импульсной ксеноновой лампы (λвозб = 350 нм, λрег = 605 нм для I, λвозб = 350 нм, λрег = 610 нм для II, λвозб = 350 нм, λрег = 610 нм для III, Т = 300 К).
Результаты и их обсуждение
Реакция раствора тетрафторобората меди(I) в MeCN или CH2Cl2 c раствором смеси соединений Ln (n = 1, 2, 3) и POP в CH2Cl2 приводит к получению ярко-желтых прозрачных растворов (схема 2).
Схема 2. Схема синтеза гетеролептических комплексов меди(I).
При упаривании полученных реакционных смесей не удается выделить кристаллические фазы, так как вещества очень хорошо растворимы в хлористом метилене и ацетонитриле. При этом удается выделить кристаллические фазы комплексов меди(I) высаживанием слабополярным диэтиловым эфиром – либо напрямую добавляя в реакционную смесь диэтиловый эфир, либо выдерживая реакционную смесь в атмосфере эфира. Для получения хорошего качества монокристаллов для проведения РСА реакционную смесь следует концентрировать до минимального объема (~0.5 мл) и выдерживать в атмосфере диэтилового эфира. Похожая методика синтеза ионных комплексов меди(I) с общей формулой [Cu(NN)(PP)]+A– описана в [33]. Во всех трех системах Cu+–Ln–POP–BF4– (n = 1–3) были получены монокристаллы, которые, по данным РСА, являются сольватами и имеют следующий состав [CuL1(POP)]BF4 · 0.5MeCN (I), [CuL2(POP)]BF4 · 0.5CH2Cl2 (II), [CuL3(POP)]BF4 · 1.25Et2O (III · Et2O). Фазы комплексов I и II со временем не изменяются (рис. S1 и S2), и они сохраняют сольватные молекулы, что также подтверждается данными элементного анализа.
Комплекс III · Et2O достаточно быстро теряет сольватные молекулы и в течение часа переходит в фазу III (рис. S3) c составом [CuL3(POP)]BF4, что подтверждается элементным анализом. Важно подчеркнуть, что соединение III · Et2O, теряющее сольватные молекулы за несколько минут, было охарактеризовано только данными РСА и РФА, при получении дифракционных картин в обоих методах кристалл/кристаллы комплекса III · Et2O помещали во фторированное масло для предотвращения изменения фазы.
Комплексы I, II, III · Et2O имеют однотипное ионное строение и состоят из комплексного катиона [CuLn(POP)]+, внешнесферного аниона BF4¯ и сольватных молекул На рис. 1–3 показано строение комплексных катионов [CuLn(POP)]+ соединений I, II и III · Et2O. Координационный полиэдр атома Cu – искаженный тетраэдр (CuN2P2), образованный двумя атомами азота фенантролинового фрагмента и пиразольного цикла молекулы Ln и двумя атомами фосфора молекулы POP. Бидентатно-циклическая координация молекул Ln приводит к замыканию практически плоских шестичленных гетероциклов CuN3C2. Известно, что для комплексов меди(I) эмиссионные свойства существенно зависят от искажения координационного узла, так в [34] предлагается параметр τ4 для этой оценки, при этом для идеального тетраэдра τ4 = 1, таким образом, чем ближе параметр τ4 к 1, тем менее искажен тетраэдрический координационный узел. В табл. 2 приведены значения этого параметра в сравнении с параметрами τ4 для ранее опубликованных комплексов иодида меди(I) с L1 и L2.
Рис. 1. Строение комплексного катиона [CuL1(POP)]+ в I, изображенное в виде эллипсоидов (вероятность 50%), с нумерацией атомов. Атомы водорода опущены для ясности.
Рис. 2. Строение комплексного катиона [CuL2(POP)]+ в II, изображенное в виде эллипсоидов (вероятность 50%), с нумерацией атомов. Атомы водорода опущены для ясности.
Рис. 3. Строение комплексного катиона [CuL3(POP)]+ в III · Et2O, изображенное в виде эллипсоидов (вероятность 50%), с нумерацией атомов. Атомы водорода опущены для ясности.
Таблица 2. Параметр τ4 для комплексов Cu(I) с пиразоло[1,5-a][1, 10]фенантролинами
Соединение | τ4 | Литература |
I | 0.88 | Настоящая работа |
II | 0.79 | Настоящая работа |
III · Et2O | 0.86 | Настоящая работа |
[CuL1(PPh3) I] (полиморф a) | 0.80 | [29] |
[CuL1(PPh3) I] (полиморф b) | 0.81 | [29] |
[CuL2(PPh3) I] | 0.83 | [29] |
Молекулы лигандов Ln в комплексах практически плоские, отклонения атомов от плоскостей колец не превышают 0.01 Å. Длины связей в анионах BF4–, молекулах CH2Cl2, MeCN и Et2O хорошо согласуются с имеющимися литературными данными [35]. Проекция кристаллической структуры комплекса I на плоскость (010) показана на рис. S4. В структуре I найдены взаимодействия между атомами фтора аниона BF4– и атомами водорода лиганда L1 соседних молекул, расстояния этих коротких контактов собраны в табл. S1. Проекция кристаллической структуры комплекса II на плоскость (100) показана на рис. S5. В структуре II есть межмолекулярные взаимодействия между концевыми атомами кислорода пиразольного заместителя и атомами водорода координированной молекулы L2, принадлежащей соседней молекуле комплекса, атомами фтора аниона BF4– и атомами водорода молекул POP и L2. Проекция кристаллической структуры комплекса III · Et2O на плоскость (010) показана на рис. S6. В структуре соединения III · Et2O обнаружены межмолекулярные взаимодействия между атомом кислорода тозильного заместителя пиразольного цикла и атомом водорода молекулы POP соседних комплексных катионов, между атомами фтора аниона BF4– и атомами водорода молекулы POP, между атомами фтора аниона BF4– и атомами водорода фенильных колец молекулы L3 соседних молекул (табл. S1).
Комплексы I, II и III были охарактеризованы данными ИК-спектроскопии в диапазоне 4000–80 см–1, в табл. 3 собраны основные колебательные частоты, ИК-спектры представлены на рис. S7. ИК-спектры комплексов схожи друг с другом, в этих спектрах можно выявить похожие практически симметричные полосы колебаний некоординированного аниона BF4– при ~1050–1060 см–1, полосы колебаний молекулы POP, смещeнные относительно спектра свободного POP, и колебания Cu–N при ~350 см–1. Важно отметить, что полосы этих колебаний в ИК-спектре соединения III похожи на два других комплекса с известными кристаллическими структурами из данных РСА, это говорит о том, что при потере сольватных молекул и изменении фазы (III · Et2O → III) комплексный катион [CuL3(POP)]+, по-видимому, мало изменяется.
Таблица 3. Основные колебательные частоты (см-1) в ИК-спектрах соединения L3 и комплексов I–III
Соединение | ν(CH) | ν(CH3) | ν(CN) | ν(CO) | (ν+δ)колец | Частоты характеристических колебаний POP | ν(BF4) | ν(Cu–N) |
L3 | 3104, 3059 | 2851, 2922 | 1632, 1594, 1557, 1533, 1493 | - | ||||
III | 3071, 3049 | 2854, 2925 | 1639, 1596, 1589, 1573, 1565, 1541, 1495 | 1216, 749, 700 | 1056 | 353 | ||
II | 3068, 3056 | 2852, 2922 | 1668 | 1635, 1608, 1598, 1587, 1560, 1545, 1505, 1498 | 1217, 749, 697 | 1056 | 354 | |
I | 3073, 3059 | 2235 | 1636, 1593, 1560, 1540, 1493 | 1211, 744, 697 | 1060 | 352 | ||
POP | 3062, 3048 | 1582, 1563 | 1222, 748, 695 |
Для лигандов L1 и L2 их фотофизические свойства в твердом состоянии и в растворе описаны нами в работе [29]. Для соединения L3 на рис. 4а приведены спектры поглощения, возбуждения и фотолюминесценции в растворе, на рис. 4б – спектры в твердом состоянии. Интересно, что у этого соединения спектр поглощения не совпадает со спектром возбуждения, так в спектре поглощения три интенсивные полосы при 225, 290, 330 нм и очень слабое плечо при 380–390 нм (табл. 4). При возбуждении 380 нм наблюдается полоса эмиссии при 480 нм, а при возбуждении 315 нм – две полосы эмиссии при 390 и 450 нм. По-видимому, при возбуждении 315 нм вещество люминесцирует, и часть этого излучения перепоглощается и приводит снова к возбуждению части молекул, что приводит к ФЛ с максимумом при 480 нм. В твердом состоянии вещество также демонстрирует двухполосную эмиссию с такими же максимумами λмакс = 400 и 480 нм. Время жизни возбуждeнных состояний как в растворе, так и в твeрдом состоянии – наносекунды (табл. 4).
Рис. 4. Спектры ФЛ соединения L3 в CH2Cl2 (а) и в твердом состоянии (б).
Таблица 4. Фотофизические данные для соединений L3 и I–III в растворе и в твердом состоянии: λмакс – максимум эмиссии (нм), τ – время жизни, φ – абсолютный квантовый выход (%)
Соединение | В растворе (CH2Cl2) | В твердом состоянии | |||||
поглощение | возбуждение | ФЛ | τ | ФЛ λмакс, нм | τ | φ, % | |
λмакс, нм | |||||||
L3 | 225, 290, 330 | 315, 380 | 390, 450, 460 | 1.7 нс (99%) 7.8 нс (1%) | 410, 480 | 4.6 нс (99%) 19.3 нс (1%) | 3 |
I | 220, 270, 330, 380 | 315, 390 | 470, 650 | 605 | 8.7 мкс | 3 | |
II | 225, 275, 330, 385 | 320, 390 | 490, 650 | 610 | 6.5 мкс | <0.1 | |
III | 225, 275, 330, 380 | 330, 380 | 480, 650 | 600 | 4.7 мкс | 2 | |
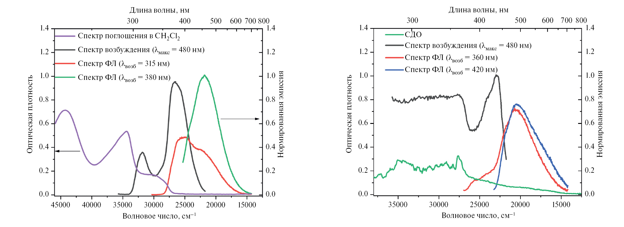
Для комплексов I, II и III записаны электронные спектры поглощения в растворе (рис. 5a–7a). Обнаружено, что основные полосы смещены относительно полос в электронных спектрах соответствующих соединений Ln, и появляется еще одна полоса при ~385 нм (табл. 4), которую можно отнести к переходам с переносом заряда металл-лиганд, что характерно для комплексных соединений одновалентной меди(I). При возбуждении в области 370–380 нм в спектрах люминесценции комплексов в растворе наблюдается двухполосная эмиссия с максимумами при 470–490 нм и 650 нм. По-видимому, первая полоса обусловлена наличием свободных молекул лиганда в растворе хлористого метилена за счет частичной диссоциации комплексного катиона, вторая полоса обусловлена релаксацией состояний с переносом заряда комплексных частиц [CuLn(POP)]+. Это согласуется с тем, что в твердом состоянии в спектрах ФЛ комплексов наблюдается только длинноволновая полоса при 600–610 нм, для которой времена жизни возбуждeнных состояний – микросекунды (табл. 4).
Рис. 5. Спектры ФЛ комплекса I в CH2Cl2 (а) и в твердом состоянии (б).
Рис. 6. Спектры ФЛ комплекса II в CH2Cl2 (а) и в твердом состоянии (б).
Рис. 7. Спектры ФЛ комплекса III в CH2Cl2 (а) и в твердом состоянии (б).
На рис. 5б–7б представлены спектры диффузного отражения, возбуждения и фотолюминесценции для поликристаллических образцов комплексов I–III, в табл. 4 собраны основные фотофизические характеристики комплексов меди(I). Обнаружено, что величины квантовых выходов комплексов коррелируют с искажениями координационного узла атомов меди в комплексных катионах [CuLn(POP)]+. Так, в комплексах I и III, в которых координационный узел больше приближен к правильному тетраэдру (табл. 2), были зафиксированы квантовые выходы 2–3%, в то время как в соединении II (наиболее искаженный координационный узел) квантовый выход на порядки меньше. Для комплекса II квантовый выход настолько мал, что его не удаeтся измерить на квантовой сфере. Сравнивая параметры искажения (τ4) и спектры ФЛ с аналогичными для ранее опубликованных комплексов меди(I) [CuLn(PPh3) I] (n = 1, 2), можно отметить, что введение бидентатного объемного лиганда POP приводит к уменьшению искажения КУ и смещению максимумов эмиссии в более коротковолновую область на ~100 нм. Обычно при введении фосфорнодонорных лигандов и образовании фрагмента [Cu(NN)(PP)]+ комплексы меди(I) демонстрируют эмиссию в желтой или даже в желто-зеленой областях спектра [25, 36–40], в нашем же случае эмиссия гетеролептических комплексов наблюдается в более красной области 600–650 нм (раствор и твердое состояние), что, по-видимому, обусловлено более протяженной π-системой координированных производных пиразоло[1,5-a][1, 10]фенантролина.
Авторы заявляют, что у них нет конфликта интересов.
Благодарности
Авторы благодарят И.В. Юшину за съемку спектров диффузного отражения, А.А. Шаповалову и А.И. Басова – за съемку ИК-спектров, Лабораторию микроанализа НИОХ СО РАН – за CHN-анализ. Также авторы выражают благодарность Ю.А. Малаховой за синтез монокристаллов комплекса II. Рентгенофазовый анализ выполнен на оборудовании Лаборатории молекулярного дизайна и экологически безопасных технологий Научно-образовательного центра Института химических технологий НГУ и кафедры Химии твердого тела НГУ.
Финансирование
Работа выполнена при поддержке Российского научного фонда (проект № 22-73-00255).
About the authors
K. A. Vinogradova
Nikolaev Institute of Inorganic Chemistry, Siberian Branch, Russian Academy of Sciences
Author for correspondence.
Email: kiossarin@mail.ru
Russian Federation, Novosibirsk
M. I. Rakhmanova
Nikolaev Institute of Inorganic Chemistry, Siberian Branch, Russian Academy of Sciences
Email: kiossarin@mail.ru
Russian Federation, Novosibirsk
M. D. Taigina
Nikolaev Institute of Inorganic Chemistry, Siberian Branch, Russian Academy of Sciences; Novosibirsk State University (National Research University)
Email: kiossarin@mail.ru
Russian Federation, Novosibirsk; Novosibirsk
N. V. Pervukhina
Nikolaev Institute of Inorganic Chemistry, Siberian Branch, Russian Academy of Sciences
Email: kiossarin@mail.ru
Russian Federation, Novosibirsk
D. Yu. Naumov
Nikolaev Institute of Inorganic Chemistry, Siberian Branch, Russian Academy of Sciences
Email: kiossarin@mail.ru
Russian Federation, Novosibirsk
V. A. Sannikova
Vorozhtsov Novosibirsk Institute of Organic Chemistry, Siberian Branch, Russian Academy of Sciences
Email: kiossarin@mail.ru
Russian Federation, Novosibirsk
I. R. Filippov
Novosibirsk State University (National Research University); Vorozhtsov Novosibirsk Institute of Organic Chemistry, Siberian Branch, Russian Academy of Sciences
Email: kiossarin@mail.ru
Russian Federation, Novosibirsk; Novosibirsk
D. S. Kolybalov
Novosibirsk State University (National Research University); Center for Collective Use, Siberian Ring Source of Photons (SKIF)
Email: kiossarin@mail.ru
Russian Federation, Novosibirsk; Koltsovo
A. Yu. Vorob’ev
Novosibirsk State University (National Research University); Vorozhtsov Novosibirsk Institute of Organic Chemistry, Siberian Branch, Russian Academy of Sciences
Email: kiossarin@mail.ru
Russian Federation, Novosibirsk; Novosibirsk
References
- Li X., Xie Y., Li Z. // Chem. Asian J. 2021. V. 16. № 19. P. 2817.
- Yersin H. // Top. Curr. Chem. 2004. V. 241. P. 1.
- Czerwieniec R., Leitl M. J., Homeieret H. H.H. et al. // Coord. Chem. Rev. 2016. V. 325. P. 2.
- Yersin H., Rausch A. F., Czerwieniec R. et al. // Coord. Chem. Rev. 2011. V. 255. № 21–22. P. 2622.
- Li T.Y., Zheng S. J., Djurovich P. I. et al. // Chem. Rev. 2024. V. 124. P. 4332.
- Alsaeedi M. S. Current Topics and Emerging Issues in Chemical Science. Morocco: Faculty of Sciences, Sidi Mohamed Ben Abdellah University. V. 1. 2023. P. 104.
- Ma D. and Duan L. // Chem. Rec. 2019. V. 19. № 8. P. 1483.
- Hu Y.X., Xia X., He W. Z. et al. // Org. Electron. 2019. V. 66. P. 126.
- Li T.Y., Wu J., Wu Z. G. et al. // Coord. Chem. Rev. 2018. V. 374. P. 55.
- Monkman A. // ACS Appl. Mater. Interfaces. 2022. V. 14. P. 20463.
- Tanimoto S., Suzuki T., Nakanotani H. et al. // Chem Lett. 2016. V. 45. № 7. P. 770.
- Bergmann L., Zink D. M., Bräse S. et al. // Top. Curr. Chem. 2016. V. 374. № 3. Art 22.
- Patil V.V., Hong W. P., Lee J. Y. // Adv. Energy Mater. 2024. Р. 2400258.
- Yuan L., Zhang Y. P., Zheng Y. X. // Sci. China Chem. 2024. V. 67 № 4. P. 1097.
- Dumur F. // Org. Electronics. 2015. V. 21. P. 27.
- Sandoval-Pauker C., Santander-Nelli M., Dreyse P. // RSC Adv. 2022. V. 12. № 17. P. 10653.
- Mcmillin D.R., Mcnett K. M. // Chem. Rev. 1998. V. 98. № 3. P. 1201.
- Leoni E., Mohanraj J., Holler M. et al. // Inorg. Chem. 2018. V. 57. № 24. P. 15537.
- Holler M., Delavaux-Nicot B., Nierengarten J.F. // Chem. Eur. J. 2019. V. 25. № 18. P. 4543.
- Armaroli N. // Chem Soc. Rev. 2001. V. 30. № 2. P. 113.
- Lavie-Cambot A., Cantuel M., Leydet Y. et al. // Coord. Chem. Rev. 2008. V. 252. № 23–24. P. 2572.
- Accorsi G., Listorti A., Yoosaf K. et al. // Chem Soc Rev. 2009. Vol. 38, № 6. P. 1690.
- Miao H., Wang P., Huang Z. et al. // Struct. Chem. 2023.V. 34. № 6. Р. 2307.
- Zhang X., Wu Z., Xu J. Y. et al. // Polyhedron. 2021. V. 202. P. 115197.
- Toigo J., Farias G., Salla C. A.M. et al. // Eur. J. Inorg. Chem. 2021. V. 2021. № 31. P. 3177.
- Li C., MacKenzie C.F.R., Said S.A. et al. // Inorg. Chem. 2021. V. 60. № 14. P. 10323.
- Jin X.X., Li T., Shi D. P. et al. // New J. Chem. 2020. V. 44. № 31. P. 13393.
- Sannikova V.A., Filippov I. R., Karmatskikh O. Y. et al. // Chem. Heterocycl. Compd. 2020. V. 56. № 8. P. 1042.
- Malakhova J.A., Berezin A. S., Glebov E. M. et al. // Inorg. Chim. Acta. 2023. V. 555. P. 121604.
- Fadeeva V.P., Tikhova V.D., Nikulicheva O.N. // J. Analyt. Chem. 2008. V. 63. № 11. P. 1094.
- APEX2 (version 1.08), SAINT (version 7.03), and SADABS (version 2.11). Bruker AXS Inc., 2004.
- Sheldrick G.M. // Acta Crystallogr. A. 2015. V. 71. № 1. P. 3.
- Cuttell D.G., Kuang S.M., Fanwick P.E. et al. // J. Am. Chem. Soc. 2002. V. 124. № 1. P. 6.
- Yang L., Powell D.R., Houser R.P. // Dalton Trans. 2007. № 9. P. 955.
- Allen F.H., Kennard O., Watson D.G. // Perkin Trans. 1987. № 12. P. S1.
- Zheng D., Tong Q. // Russ. J. Phys. Chem. A. 023. V. 97. № 13. P. 2942.
- Kuang X.N., Lin S., Liu J.M. et al. // Polyhedron. 2019. V. 165. P. 51.
- Wang Y.P., Hu X.H., Wang Y.F. et al. // Polyhedron. 2015. V. 102. P. 782.
- Si Z., Li X., Li X. et al. // Inorg. Chem. Commun. 2009. V. 12. № 10. P. 1016.
- Smith C.S., Branham C.W., Marquardt B.J. et al. // J. Am. Chem. Soc. 2010. V. 132. № 40. P. 14079.
Supplementary files











