Searching for Laurent Solutions of Systems of Linear Differential Equations with Truncated Power Series in the Role of Coefficients
- Authors: Abramov S.A.1, Ryabenko A.A.1, Khmelnov D.E.1
-
Affiliations:
- Federal Research Center “Computer Science and Control,” Russian Academy of Scienc
- Issue: No 5 (2023)
- Pages: 35-46
- Section: COMPUTER ALGEBRA
- URL: https://medbiosci.ru/0132-3474/article/view/141781
- DOI: https://doi.org/10.31857/S0132347423020036
- EDN: https://elibrary.ru/GYMMYQ
- ID: 141781
Cite item
Full Text
Abstract
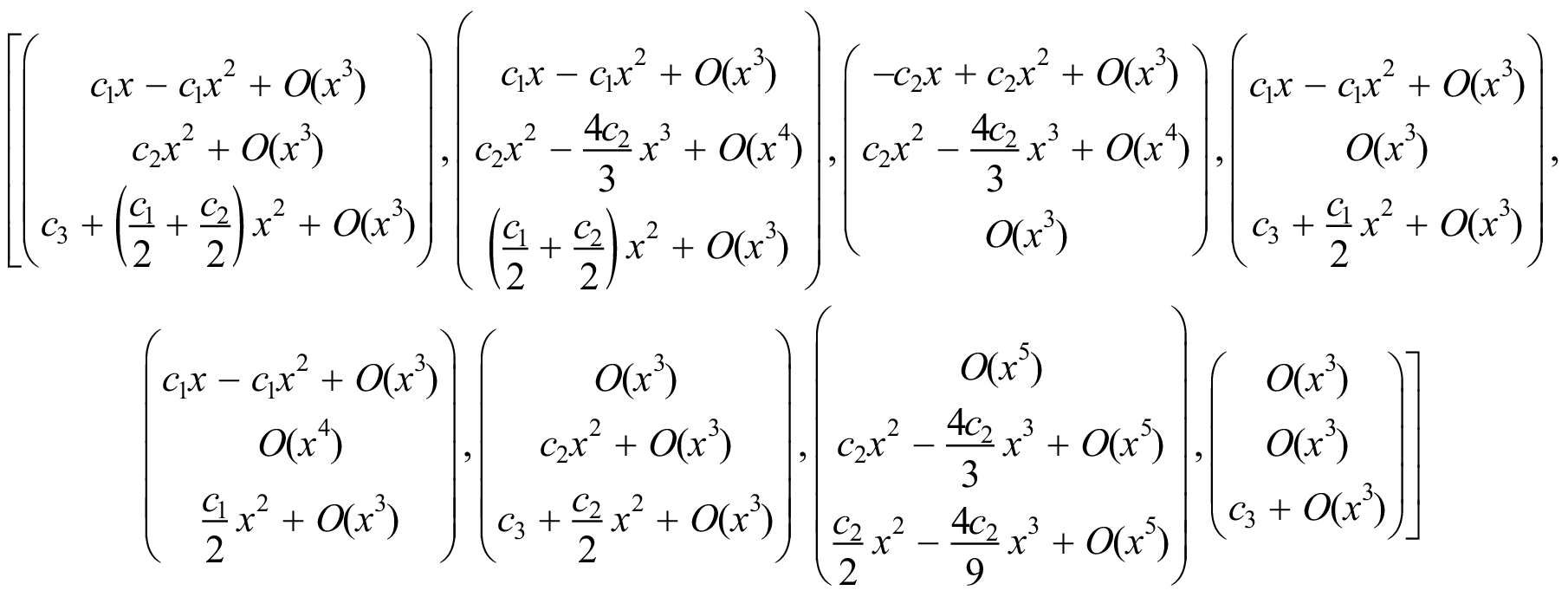
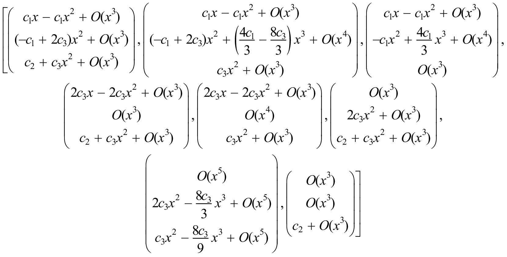
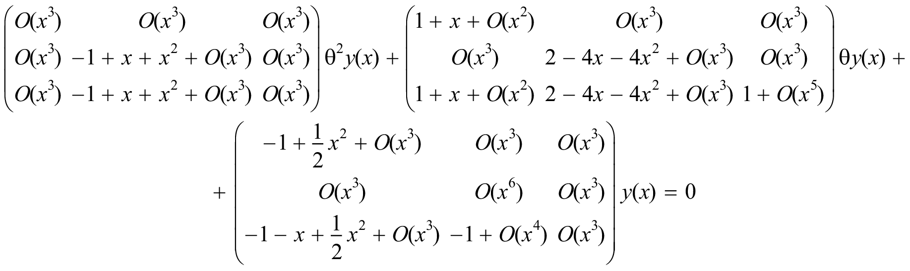
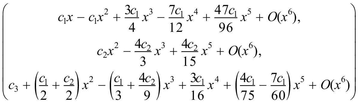
Systems of linear ordinary differential equations with the coefficients in the form of infinite formal power series are considered. The series are represented in a truncated form, with the truncation degree being different for different coefficients. Induced recurrent systems and literal designations for unspecified coefficients of the series are used as a tool for studying such systems. An algorithm for constructing Laurent solutions of the system is proposed for the case where the determinant of the leading matrix of the induced system is not zero and does not contain literals. The series included in the solutions are still truncated. The algorithm finds the maximum possible number of terms of the series that are invariant with respect to any prolongations of the truncated coefficients of the original system. The implementation of the algorithm as a Maple procedure and examples of its usage are presented.
About the authors
S. A. Abramov
Federal Research Center “Computer Science and Control,” Russian Academy of Scienc
Author for correspondence.
Email: sergeyabramov@mail.ru
Russia, Moscow
A. A. Ryabenko
Federal Research Center “Computer Science and Control,” Russian Academy of Scienc
Author for correspondence.
Email: anna.ryabenko@gmail.com
Russia, Moscow
D. E. Khmelnov
Federal Research Center “Computer Science and Control,” Russian Academy of Scienc
Author for correspondence.
Email: dennis_khmelnov@mail.ru
Russia, Moscow
References
- Abramov S.A., Barkatou M.A., Khmelnov D.E. On full rank differential systems with power series coefficients // J. of Symbolic Computation. 2015. V. 68. P. 120–137.
- Абрамов С.А., Хмельнов Д.Е. Регулярные решения линейных дифференциальных систем с коэффициентами в виде степенных рядов // Программирование. 2014. № 2. С. 75–85.
- Рябенко А.А. Экспоненциально-логарифмические решения линейных дифференциальных систем с коэффициентами в виде степенных рядов // Программирование. 2015. № 2. С. 54–62.
- Абрамов С.А., Рябенко А.А., Хмельнов Д.Е. Линейные обыкновенные дифференциальные уравнения и усеченные ряды // Ж. выч. мат. и мат. физ. 2019. Т. 59. № 10. С. 66–77.
- Абрамов С.А., Рябенко А.А., Хмельнов Д.Е. Регулярные решения линейных обыкновенных дифференциальных уравнений и усеченные ряды // Ж. выч. мат. и мат. физ. 2020. Т. 60. № 1. С. 4–17.
- Абрамов С.А., Рябенко А.А., Хмельнов Д.Е. Усеченные ряды и формальные экспоненциально-логарифмические решения линейных обыкновенных дифференциальных уравнений// Ж. вычисл. матем. и матем. физ. 2020. Т. 60. № 10. С. 1664–1675.
- Abramov S.A., Barkatou M.A., Pfluegel E. Higher-order linear differential systems with truncated coefficients // In Proc. of CASC’2011, 2011. P. 10–24.
- Abramov S.A., Barkatou M.A. On Strongly Non-Singular Polynomial Matrices // In: Schneider C., Zima E. (eds) Advances in Computer Algebra. Springer Proceedings in Mathematics & Statistics. 2018. V. 226. P. 1–17.
- Абрамов С.А., Рябенко А.А., Хмельнов Д.Е. Процедуры поиска лорановых и регулярных решений линейных дифференциальных уравнений с усеченными степенными рядами в роли коэффициентов // Труды ИСП РАН. 2019. Т. 31. № 5. С. 233–248.
- Maple online help // http://www.maplesoft.com/support/help/
- Abramov S., Khmelnov D., Ryabenko A. Truncated and infinite power series in the role of coefficients of linear ordinary differential equations // Proc. CASC’2020. Lecture Notes in Computer Science. 2020. V. 12291. P. 63–76.
- Abramov S., Khmelnov D., Ryabenko A. The TruncatedSeries Package for Solving Linear Ordinary Differential Equations Having Truncated Series Coefficients// In: Maple in Mathematics Education and Research, Springer Nature Switzerland. 2021. P. 19–33.
- Абрамов С.А., Рябенко А.А., Хмельнов Д.Е. Процедуры поиска усеченных решений линейных дифференциальных уравнений с бесконечными и усеченными степенными рядами в роли коэффициентов// Программирование. 2021. № 2. С. 56–65.
- Абрамов С.А., Рябенко А.А., Хмельнов Д.Е. Процедуры поиска локальных решений линейных дифференциальных систем с бесконечными степенными рядами в роли коэффициентов // Программирование. 2016. № 2. С. 75–86.
- Abramov S. EG-eliminations. J. of Difference Equations and Applications. 1999. V. 5. P. 393–433.
Supplementary files






