Влияние неравносторонних апертур цифровых фильтров лапласиана “усеченная пирамида” и “двойная пирамида” на точность работы телевизионных измерительных систем
- Авторы: Рылов К.А.1, Куприянова К.С.1, Каменский А.В.1
-
Учреждения:
- Томский государственный университет систем управления и радиоэлектроники
- Выпуск: № 3 (2024)
- Страницы: 21-32
- Раздел: КОМПЬЮТЕРНАЯ ГРАФИКА И ВИЗУАЛИЗАЦИЯ
- URL: https://medbiosci.ru/0132-3474/article/view/271638
- DOI: https://doi.org/10.31857/S0132347424030033
- EDN: https://elibrary.ru/QATTKZ
- ID: 271638
Цитировать
Полный текст
Аннотация
В современном мире обработка цифровых изображений требует увеличения быстродействия используемых методов и алгоритмов обработки. Одним из способов повышения быстродействия является преобразование пространственных фильтров в фильтры с рекурсивно-сепарабельной формой реализации. Свойство рекурсии подразумевает использование предыдущих выходных значений функции для формирования текущего отсчета. Под свойством сепарабельности понимается разделение на обработку по столбцу и по строке матрицы значений цифрового изображения. Преобразование пространственных фильтров заключается в изменении апертуры масок в неортогональную (неравностороннюю) форму, что позволяет сократить количество вычислительных операций и ускорить процесс обработки при сохранении ее эффективности. В работе представлено описание неравносторонних апертур разработанных ранее цифровых фильтров лапласиан “усеченная пирамида” и “двойная пирамида”. Для неравносторонних апертур впервые получены результаты по их применению для телевизионных измерительных систем, из которых видно, что для этого использования рекомендуется фильтр лапласиан “усеченная пирамида” с неравносторонними апертурами обработки, поскольку он повышает эффективность измерения дальности до объектов интереса при сокращении времени обработки. По результатам обработки модифицированными фильтрами были получены наборы обработанных изображений для каждого из 10-ти исходных изображений. Для каждого набора обработанных изображений проводились измерения пикового отношения сигнал-шум, среднеквадратического отклонения и выбор оптимального центрального коэффициента маски фильтра для последующей оценки эффективности обработки модифицированными фильтрами. Оценка влияния рекурсивно-сепарабельных фильтров лапласиана “усеченная пирамида” и “двойная пирамида” с масками неравносторонней апертуры на точность работы телевизионных измерительных систем заключалась в рассмотрении их влияния на измерение расстояния (от камеры) до объекта интереса на изображении при контроле времени обработки. По результатам оценки можно сделать вывод о том, что за счет применения предварительной обработки изображений модифицированными цифровыми фильтрами улучшается точность измерения расстояния от камеры до объекта измерения при сокращении времени обработки.
Полный текст
ВВЕДЕНИЕ
В связи с быстрым развитием компьютерных технологий и широким внедрением видеоинформационных технологий усовершенствование способов и методов обработки изображений является весьма актуальной задачей.
Примером таких технологий являются телевизионные измерительные системы (ТИС), которые нашли достаточно широкое применение в устройствах наблюдения, ориентации, навигации, системах технического зрения роботов, в медицине и других областях [1]. ТИС предназначены для дистанционного автоматического контроля за состоянием пространства в угле поля зрения телевизионных датчиков, для измерения параметров совокупности объектов, находящихся в контролируемом пространстве, и при необходимости для управления состоянием и взаимодействием этих объектов [2].
Классические алгоритмы фильтрации изображений осуществляются (производятся) с помощью операции двумерной дискретной свертки, которая представляет собой сумму произведений значений пикселов изображения и значений маски фильтра. Данный метод фильтрации известен как пространственная фильтрация [3, 4]. При использовании фильтров больших размеров такой способ требует большого числа вычислений, так как функцию свертки необходимо вычислить для каждого пиксела изображения.
Для улучшения классических алгоритмов цифровых фильтров в данной работе применяются свойства рекурсии и сепарабельности. Под свойством рекурсии понимается использование предыдущих выходных значений функции свертки для формирования текущего отсчета. Свойство сепарабельности позволяет реализовать разделение на обработку по столбцу и по строке матрицы значений входного изображения [5].
Рекурсивно-сепарабельные фильтры – “масочные” фильтры, так как для обработки используются маски, представленные в виде двумерных матриц. Примером таких фильтров является фильтр лапласиан “усеченная пирамида” (ЛУП) и фильтр лапласиан “двойная пирамида” (ЛДП) [6]. Применение данных фильтров позволяет сократить количество вычислительных операций, тем самым ускоряя процесс фильтрации.
Целью работы является оценка влияния модифицированных цифровых фильтров с масками неравносторонней апертуры на быстродействие работы алгоритма предобработки цифровых изображений, формируемых ТИС и влияния на точность определения расстояния до объекта в поле зрения ТИС.
Для достижения поставленной цели необходима программная реализация неравносторонних апертуры цифровых фильтров ЛУП и ЛДП. Для оценки быстродействия необходимо сравнить скорость выполнения операций в фильтрах равносторонней и неравносторонней апертуры на ряде тестовых изображений. Для оценки влияния фильтров на точность работы ТИС необходимо после обработки преобразованными фильтрами измерить расстояние до объектов интереса на тестовых изображениях.
РАЗРАБОТКА НЕРАВНОСТОРОННИХ АПЕРТУР ЦИФРОВЫХ ФИЛЬТРОВ ЛУП И ЛДП
Разработка неравносторонних апертур рекурсивно-сепарабельных фильтров заключается в преобразовании их равносторонней формы в неравностороннюю [7]. Данное преобразование осуществляется путем расчета и изменения значений коэффициентов кадровых и строчных рециркуляторов. При условии: форма преобразованного фильтра должна быть схожа с изначальным трехмерным видом исходной матрицы 7 × 7 элементов. Рециркуляторами называют образующие рекурсивные ячейки, которые соответствуют обработке по строке (СР) и по кадру (КР) матрицы входного изображения, а заданные в них значения служат для формирования размера требуемой маски.
Структурная схема цифрового фильтра ЛУП [8], формирующая маски равносторонней формы, представлена на рис. 1, где x(n1, n2) – входная информация; y(n1, n2) – выходная информация; D – дополнительный параметр для маски свертки; a – дополнительный параметр сдвига маски; m1 – коэффициент строчных и кадровых рециркуляторов для дополнительной маски; d1 и d2 – параметры строчного и кадрового рециркулятора для основной маски; c – коэффициент смещения маски увеличения центрального элемента; A1 – коэффициент подъема центральной апертуры финальной маски; A2 – коэффициент увеличения центрального элемента; LR – строчный рециркулятор; FR – кадровый рециркулятор; z – элемент задержки.
Рис. 1. Структурная схема ЛУП
Данная структурная схема состоит из трех ветвей. В первой ветви фильтра формируется маска размером m1 × m1 элемента, которая необходима для создания области положительных элементов (при наличии окаймления в виде отрицательных элементов) внутри основной маски, это осуществляется для нормализации яркости обработанного изображения. Вторая ветвь фильтра формирует основную маску фильтра размерностью d1 × d2 элементов, которая подается на сумматор с отрицательным знаком. Третья ветвь используется для добавления к итоговой апертуре дополнительного коэффициента фильтрации (A2). Далее происходит суммирование полученных масок первой и второй ветвей фильтра, и за счет полученной отрицательной основной маски происходит вычитание первой положительной маски, в результате чего на выходе получается итоговая маска фильтра размерностью d1 × d2 элементов, эквивалентная обработанному изображению.
Для формирования маски неравносторонней формы, размерностью 7 × 5 элементов, изменялись размеры СР и КР. Для маски апертуры 7 × 5 элементов в структурной схеме задается начальный дополнительный коэффициент 16.67. Данный коэффициент вводится для корректного соотношения сумм внутренней и внешней частей итоговой матрицы, его вычисление производится из условия равенства нулю суммы этих частей маски фильтра. После этого, в соответствии со структурной схемой, происходит перемножение коэффициентов рециркуляторов, где в первой ветви фильтра используются строчный рециркулятор с коэффициентом 3 и кадровый рециркулятор с коэффициентом 3, во второй ветви фильтра используются два строчных рециркулятора с коэффициентами 5 и 3 и два кадровых рециркулятора с коэффициентами 4 и 2. Подробный алгоритм работы фильтров описан в ранее опубликованной работе [9].
Для фильтра ЛДП формирование маски неравносторонней формы размерностью 7 × 5 элементов происходит аналогичным образом, как и в случае фильтра ЛУП. Структурная схема цифрового фильтра ЛДП, формирующего маски любой размерности, представлена на рис. 2, где x(n1, n2) – входная информация; y(n1, n2) – выходная информация; D – дополнительный параметр для маски свертки; a – дополнительный параметр сдвига маски; m1 – параметр строчных и кадровых рециркуляторов для дополнительной маски; d1 и d2 – параметы строчного и кадрового рециркулятора для основной маски; c – коэффициент смещения для маски увеличения центрального элемента; A1 – коэффициент возвышения центральной апертуры; A2 – коэффициент увеличения центрального элемента.
Рис. 2. Структурная схема ЛДП
В ходе преобразования масок для каждого фильтра в неравностороннюю форму были получены значения начального добавочного коэффициента и значения коэффициентов СР и КР, представленные в табл. 1.
Таблица 1. Значения коэффициентов рециркуляторов для фильтров ЛУП и ЛДП
Фильтр ЛУП | |||||
1-я ветвь фильтра | 2-я ветвь фильтра | ||||
Размер маски | Дополнительный параметр D | Коэфф-ты СР и КР | Коэфф-ты СР | Коэфф-ты КР | |
7 × 7 | 25 | 3 и 3 | 5 и 3 | 5 и 3 | |
7 × 5 | 16.67 | 3 и 3 | 5 и 3 | 4 и 2 | |
7 × 3 | 20 | 3 и 0 | 5 и 3 | 2 и 2 | |
Фильтр ЛДП | |||||
1-я ветвь фильтра | 2-я ветвь фильтра | ||||
Размер маски | Дополнительный параметр D | Коэфф-ты СР | Коэфф-ты КР | Коэфф-ты СР | Коэфф-ты КР |
7 × 7 | 14 | 2 и 2 | 2 и 2 | 5 и 3 | 5 и 3 |
7 × 5 | 9.375 | 2 и 2 | 2 и 2 | 5 и 3 | 4 и 2 |
7 × 3 | 15 | 2 и 2 | 0 и 0 | 5 и 3 | 2 и 2 |
Полученные итоговые маски цифровых рекурсивно-сепарабельных фильтров ЛУП и ЛДП размерностью 7 × 5 элементов показаны на рис. 3 и 4.
Рис. 3. Маска 7 × 5 фильтра ЛУП
Рис. 4. Маска 7 × 5 фильтра ЛДП
В результате впервые были получены неравносторонние апертуры фильтров ЛУП и ЛДП для разработанных ранее рекурсивно-сепарабельных фильтров. Следует отметить, что благодаря этим результатам стала возможна модификация алгоритмов построения фильтров ЛУП и ЛДП, вследствие чего их алгоритмы стали способны автоматически строить неравносторонние апертуры.
2.1. Программная реализация алгоритма обработки фильтров ЛУП и ЛДП
Реализация алгоритма обработки фильтрами ЛУП и ЛДП заключается в последовательном и параллельном применении цепочек СР и КР.
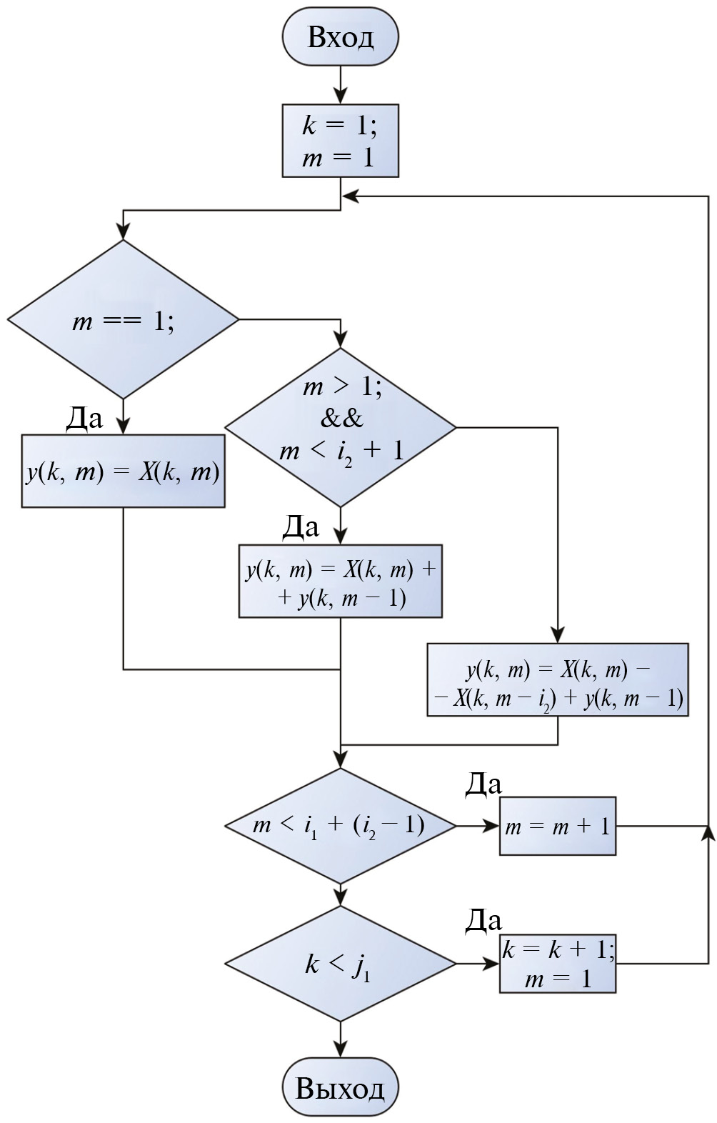
СР и КР, как уже указанно выше, это базовые элементы рекурсивно-сепарабельных фильтров. Алгоритм работы рециркуляторов основан на вложенных циклах (по ширине и по высоте изображения). Алгоритмы работы СР и КР представлены в виде блок-схем на рис. 5 и 6.
Рис. 5. Алгоритм работы СР
Рис. 6. Алгоритм работы КР
В блок-схемах алгоритмов используются следующие обозначения: k – позиция текущего элемента по горизонтали; m – позиция текущего элемента по вертикали; i1 – общее количество элементов по горизонтали во входной матрице; i2 – общее количество элементов по горизонтали в выходной матрице; j1 – общее количество элементов по вертикали во входной матрице; j2 – общее количество элементов по вертикали в выходной матрице; X(k, m) – входная матрица; y(k, m) – выходная матрица.
Параллельное включение последовательных цепочек рециркуляторов с изменяющимися коэффициентами СР и КР приводит к реализации конфигурации разработанных фильтров.
ОЦЕНКА ВЛИЯНИЯ ЦИФРОВЫХ ФИЛЬТРОВ ЛУП И ЛДП НА РАБОТУ ТИС
Для проведения оценки влияния рекурсивно-сепарабельных цифровых фильтров на точность работы ТИС было взято 10 специальных изображений, отснятых на полигоне. Каждое изображение формировалось при определенных параметрах ТИС, которые позволяли ей видеть объекты интереса на определенных расстояниях.
Полигон для испытаний ТИС представляет собой неровный участок местности, на котором были расположены опознавательные знаки (опорные точки) (рис. 7).
Рис. 7. Вид полигона с места расположения ТИС
Часть полученных изображений представлена на рис. 8.
Рис. 8. Тестовые изображения: а) ТИ № 1 Транспарант-1; б) ТИ № 2 Транспарант-3; в) ТИ № 3 Транспарант-2
3.1. Оценка быстродействия работы алгоритмов цифровых фильтров ЛУП и ЛДП
Рекурсивно-сепарабельный метод обработки изображений позволяет сократить количество вычислительных операций относительно стандартного метода двумерной свертки, тем самым он ускоряет процесс фильтрации.
Для определения ускорения работы фильтров важен размер исходных изображений, подвергаемых фильтрации. Изображения, полученные с ТИС, используемые для эксперимента, имеют размер 1032 × 772 пиксела. Скорость выполнения алгоритмов, реализующих фильтры, зависит от конфигурации (значений размеров рециркуляторов, представленных в табл. 1) и структуры фильтров (см. рис. 1 и 2). Результат ускорения работы фильтров с применением неравносторонних апертур приведен в табл. 2. Представленные результаты получены путем усреднения измерений времени работы алгоритмов для 10 изображений.
Таблица 2. Время работы и ускорение фильтров ЛУП и ЛДП
Размер апертуры | ЛУП | ЛДП | ||
Время, мс | Ускорение, раз | Время, мс | Ускорение, раз | |
7 × 7 | 29.94 | — | 39.82 | — |
7 × 5 | 21.40 | 1.4 | 28.46 | 1.4 |
7 × 3 | 12.44 | 2.4 | 16.54 | 2.4 |
Измерения скорости работы алгоритмов фильтров ЛУП и ЛДП проводились на платформе (процессоре) Core i5–9600K, 3.7 ГГц под управлением операционной системы Windows 10.
Подробное описание влияния неравносторонних апертур на характеристики цифровых фильтров ЛУП и ЛДП дано в ранее проделанной и опубликованной работе [10].
3.2. Оценка эффективности обработки модифицированными фильтрами ЛУП и ЛДП
Для оценки эффективности обработки для каждой маски фильтра производилось изменение положительной части матрицы значений путем ее пошагового увеличения за счет добавления дополнительных коэффициентов [11]. Увеличение происходит за счет добавления коэффициента поднятия от 0 до 10 к исходному значению положительной части маски. Результатом оценки эффективности обработки изображения будет минимальное отклонение полученных измерений дальности расположения тестовых объектов от эталонного измерения, выполненного лазерным дальномером. По полученным результатам будут определены оптимальные коэффициенты фильтрации. В ранее опубликованных материалах оптимальный коэффициент выбирался на основе измерения разрешения обработанных изображений [10]. В результате работы фильтров с измененными масками были получены наборы изображений.
Для каждого изображения были проведены измерения среднеквадратического отклонения (СКО), пикового отношения сигнал/шум (ПОСШ). Формулы, используемые для расчета характеристик, приведены ниже:
,
где xij – текущий отсчет входного изображения; yij – текущий отсчет выходного изображения; N1, N2 – ширина и высота изображения;
,
где MAX – максимальная яркость изображения; σ – среднеквадратическое отклонение.
В итоге были получены результаты оценки изменения СКО и ПОСШ для 10 тестовых изображений, обработанных фильтрами ЛДП и ЛУП с различными размерами апертуры (7 × 3, 7 × 5, 7 × 7), при изменении коэффициента обработки от 1 до 10. Получено большое количество результатов (132 измерения для 1-го тестового изображения). Приведем ряд закономерностей из них, которые наблюдались в полученных результатах:
- при обработке фильтрами с апертурами 7 × 3 и 7 × 7 элементов наблюдается стабильный рост ПОСШ с ростом значений коэффициентов обработки, что свидетельствует о снижении шума, также значения СКО постепенно стремятся к нулю, что говорит о наличии изменений, вносимых после обработки;
- при обработке фильтрами с апертурой 7 × 5 элементов наблюдается подъем ПОСШ при первых 2–3 изменениях коэффициента фильтрации, однако далее с его ростом происходит снижение ПОСШ, при этом значение СКО при всех измерениях колебалось в диапазоне от 0.01 до 0.1.
В табл. 3 представлены результаты измерения ПОСШ для одного из тестовых изображений, обработанных фильтром ЛДП с разными размерами апертуры обработки, подтверждающие сформулированные выше выводы.
Таблица 3. Результаты измерения ПОСШ при обработке фильтром ЛДП
Размер апертуры фильтра | |||
Результат измерения ПОСШ | 7 × 3 | 7 × 5 | 7 × 7 |
47.0431 | 77.0365 | 39.1443 | |
42.6313 | 81.1998 | 38.1657 | |
46.0926 | 78.5284 | 41.5324 | |
48.9906 | 78.4868 | 43.9070 | |
50.2213 | 76.3267 | 45.3991 | |
52.4076 | 79.2550 | 46.9840 | |
52.8337 | 76.5747 | 47.9170 | |
55.0987 | 77.7039 | 49.2083 | |
55.1801 | 76.1263 | 49.8406 | |
57.5485 | 77.0323 | 50.9732 | |
57.2802 | 75.7893 | 51.3757 | |
Для наглядности изменений, произошедших на тестовых изображениях, приведем ряд примеров зон измерения дальности, расположенных на различных расстояниях. Результаты обработки ТИ № 1 фильтрами ЛУП и ЛДП с масками размерностью 7 × 7 элементов представлены на рис. 9. Для фильтра ЛУП центральный коэффициент равен 17, для фильтра ЛДП – 58.
Рис. 9. Результат обработки ТИ № 1: а) исходное изображение; обработанные изображения: б) фильтр ЛУП, в) фильтр ЛДП
Результаты обработки ТИ № 2 фильтрами ЛУП и ЛДП с масками размерностью 7 × 5 элементов показаны на рис. 10. Для фильтра ЛУП центральный коэффициент равен 19, для фильтра ЛДП – 36.
Рис. 10. Результат обработки ТИ № 2: а) исходное изображение; обработанные изображения: б) фильтр ЛУП, в) фильтр ЛДП
Результаты обработки ТИ № 3 фильтрами ЛУП и ЛДП с масками размерностью 7 × 3 элементов представлены на рис. 11. Для фильтра ЛУП центральный коэффициент равен 19, для фильтра ЛДП – 30.
Рис. 11. Результат обработки ТИ № 3: а) исходное изображение; обработанные изображения: б) фильтр ЛУП, в) фильтр ЛДП
На полученных в результате фильтрации изображениях наблюдаются значительное увеличение резкости изображения и повышение четкости границ объектов интереса.
3.3. Оценка влияния модифицированных фильтров ЛУП и ЛДП на точность работы ТИС
Для оценки влияния модифицированных цифровых фильтров ЛУП и ЛДП на точность работы ТИС был разработан программный модуль, который позволяет измерить расстояние от камеры до объекта интереса при контроле времени обработки изображений [12].
По результатам измерений произведено сравнение расстояний, полученных с изображений без предобработки фильтрами, отснятых посредством ТИС и расстояний, измеренных с изображений с предобработкой модифицированными фильтрами, также полученных посредством ТИС с реальным расстоянием, полученным в ходе прямых измерений. Прямое измерение проводилось лазерным дальномером непосредственно от места расположения ТИС до объектов интереса, представленных на рис. 8.
В ходе сравнения полученных данных определяются коэффициент и размер маски фильтра, при котором удалось определить расстояние с наименьшим отклонением от результатов прямых измерений посредством лазерного дальномера.
Полученные данные измерений расстояния для ТИ № 1, расположенного на расстоянии 11 м, представлены в табл. 4.
Таблица 4. Результаты измерения расстояния для ТИ № 1
Измерение дальности до объектов, м | |||||||
Зона № 1 – Транспарант № 1 | |||||||
Лазерный дальномер | 11 м | ||||||
ТИС | 11.12 м | ||||||
Фильтр | ЛУП | ЛДП | |||||
Размер маски | 7 × 3 | 7 × 5 | 7 × 7 | 7 × 3 | 7 × 5 | 7 × 7 | |
Коэффициенты | 1 | 11.062 | 11.077 | 11.002 | 11.187 | 11.069 | 11.671 |
2 | 11.057 | 11.096 | 11.033 | 11.076 | 11.069 | 11.388 | |
3 | 11.074 | 11.090 | 11.053 | 11.036 | 11.073 | 11.224 | |
4 | 11.071 | 11.091 | 11.068 | 11.031 | 11.068 | 11.140 | |
5 | 11.089 | 11.083 | 11.263 | 11.039 | 11.076 | 11.091 | |
6 | 11.080 | 11.093 | 11.047 | 11.035 | 11.082 | 11.035 | |
7 | 11.075 | 11.079 | 11.075 | 11.053 | 11.073 | 11.025 | |
8 | 11.089 | 11.079 | 11.091 | 11.058 | 11.075 | 11.049 | |
9 | 11.089 | 11.094 | 11.079 | 11.054 | 11.060 | 11.037 | |
10 | 11.078 | 11.092 | 11.070 | 11.066 | 11.072 | 11.019 | |
В табл. 4 жирным шрифтом выделены значения с наименьшим отклонением от расстояния, полученного при прямых измерениях, проделанных с помощью лазерного дальномера.
Из результатов, представленных в таблице, видно, что при обработке фильтром ЛУП с любой размерностью апертуры наилучший результат достигается при значениях коэффициента фильтрации, равном 1 или 2, при этом с ростом размерности апертуры повышается точность определения расстояния. Разница между эталонным результатом, полученным с помощью лазерного дальномера и обработанным изображением фильтром ЛУП с оптимальным коэффициентом равным 1, составляет 0.002 м.
Для фильтра ЛДП наблюдается рост оптимального коэффициента обработки с ростом размерности апертуры цифрового фильтра. В итоге наилучший результат также достигается при апертуре 7 × 7 элементов, но уже с оптимальным коэффициентом, равным 10. Разница между результатами эталонного измерения и измерения по обработанному изображению составила 0.019 м.
Полученные данные измерений расстояния для ТИ № 2, расположенного на расстоянии 19.06 м, представлены в табл. 5.
Таблица 5. Результаты измерения расстояния для ТИ № 2
Измерение дальности до объектов, м | |||||||
Зона № 9 – Транспарант № 2 | |||||||
Лазерный дальномер | 19.06 м | ||||||
ТИС | 18.5 м | ||||||
Фильтр | ЛУП | ЛДП | |||||
Размер маски | 7 × 3 | 7 × 5 | 7 × 7 | 7 × 3 | 7 × 5 | 7 × 7 | |
Коэффициенты | 1 | 18.787 | 19.148 | 18.901 | 19.041 | 18.974 | 19.455 |
2 | 19.021 | 19.002 | 18.774 | 18.769 | 19.156 | 19.099 | |
3 | 18.962 | 18.937 | 19.009 | 18.812 | 19.213 | 18.678 | |
4 | 19.073 | 19.126 | 18.908 | 18.876 | 19.046 | 18.948 | |
5 | 19.062 | 19.044 | 19.078 | 18.839 | 19.149 | 18.933 | |
6 | 19.199 | 18.811 | 18.974 | 19.056 | 19.114 | 19.225 | |
7 | 18.810 | 18.968 | 19.051 | 18.822 | 19.103 | 18.671 | |
8 | 19.036 | 18.949 | 18.729 | 19.109 | 19.168 | 18.419 | |
9 | 19.117 | 19.078 | 18.925 | 19.016 | 18.928 | 18.399 | |
10 | 18.949 | 19.004 | 18.810 | 18.985 | 18.791 | 17.903 | |
На изображении, расположенном на расстоянии примерно 19 м, наблюдается разность в результатах двух исследуемых фильтров. Фильтр ЛУП наилучшие результаты по оценке дальности показывает при коэффициентах обработки от 5 до 7 вне зависимости от размеров апертуры обработки. Наилучший результат был достигнут при размере апертуры 7 × 5 элементов с оптимальным коэффициентом обработки, равным 5. Отличие от эталонного измерения составило 0.002 м, что на 0.558 м точнее, чем измерение ТИС.
Обработка фильтром ЛДП показала противоположный результат обработки объекта, расположенного на расстоянии 11 м. В данном эксперименте наблюдаются противоположные результаты, с ростом размеров апертуры обработки уменьшается значение оптимального коэффициента обработки. Отличие от эталонного измерения составило 0.004 м, что на 0.556 м точнее, чем измерение ТИС.
Полученные данные измерений расстояния для ТИ № 3, расположенного на расстоянии 34.97 м, представлены в табл. 6.
Таблица 6. Результаты измерения расстояния для ТИ № 3
Измерение дальности до объектов, м | |||||||
Зона № 3 – Транспарант № 3 | |||||||
Лазерный дальномер | 34.97 м | ||||||
ТИС | 34.78 м | ||||||
Фильтр | ЛУП | ЛДП | |||||
Размер маски | 7 × 3 | 7 × 5 | 7 × 7 | 7 × 3 | 7 × 5 | 7 × 7 | |
Коэффициенты | 1 | 33.533 | 34.643 | 33.297 | 31.299 | 34.597 | 27.428 |
2 | 34.067 | 34.659 | 33.806 | 32.820 | 34.528 | 28.674 | |
3 | 34.311 | 34.698 | 34.073 | 33.470 | 34.554 | 29.485 | |
4 | 34.465 | 34.705 | 34.304 | 33.715 | 34.558 | 30.250 | |
5 | 34.592 | 34.721 | 34.355 | 33.966 | 34.601 | 30.742 | |
6 | 34.609 | 34.741 | 34.465 | 34.188 | 34.548 | 31.189 | |
7 | 34.634 | 34.761 | 34.528 | 34.224 | 34.569 | 31.648 | |
8 | 34.631 | 34.767 | 34.557 | 34.266 | 34.561 | 31.995 | |
9 | 34.664 | 34.800 | 34.591 | 34.542 | 34.575 | 32.239 | |
10 | 34.713 | 34.761 | 34.590 | 34.384 | 34.550 | 32.588 | |
Проанализированы полученные результаты измерения дальности до тестового объекта, располагающегося на расстоянии 34.97, и выявлен минимальный эффект от обработки тестовых изображений. Связано это с тем, что результат измерения дальности, полученный с помощью ТИС, очень близок к эталонному измерению и отличается всего на 0.19 м. Для фильтра ЛУП оптимальные коэффициенты были определены от 9 до 10 при использовании любой размерности фильтра.
Выявить зависимость изменения оптимальных коэффициентом от изменения размерности апертуры обработки для фильтра ЛДП не удается, поскольку значение оптимальных коэффициентов то снижается от маски 7 × 3 к маске 7 × 5 элементов, то обратно возрастает при увеличении размеров апертуры обработки до маски размерностью 7 × 7 элементов, что требует дополнительных исследований на расширенной базе экспериментальных данных.
ЗАКЛЮЧЕНИЕ
Из проделанной работы следует, что рекурсивно-сепарабельный метод обработки изображений фильтрами с неравносторонней апертурой позволяет сократить количество вычислительных операций относительно базовой размерности исходного фильтра, тем самым ускоряя процесс обработки.
Согласно полученным результатам (см. табл. 2) время выполнения фильтров с неравносторонней апертурой относительно исходной (равносторонней) сократилось в 1.4 раза для 7 × 5 (~8.5 мс) и в 2.4 раза для 7 × 3 (~17.5 мс).
В результате применения рекурсивно-сепабельных фильтров для ТИ № 1 точность определения расстояния при обработке фильтром ЛУП с апертурой размером 7 × 7 увеличилась на 0.118 м, а при обработке фильтром ЛДП с апертурой 7 × 7 – на 0.101 м.
Для ТИ № 2 точность определения расстояния при обработке фильтром ЛУП с апертурой размером 7 × 5 увеличилась на 0.544 м, а при обработке фильтром ЛДП с апертурой 7 × 5 – на 0.546 м.
Для ТИ № 3 точность определения расстояния при обработке фильтром ЛУП с апертурой размером 7 × 5 увеличилась на 0.02 м, а при обработке фильтром ЛДП с апертурой 7 × 5 – на 0.179 м.
Можно отметить, что при обработке фильтром ЛУП наблюдается закономерность: при росте расстояния до объекта интереса растет и значение оптимального коэффициента фильтрации. Это следует из того, что для объекта, расположенного на расстоянии 11 м, оптимальный коэффициент был равен 1–2, для объекта, расположенного на расстоянии 19.06 м, он составляет 5–7 и для объекта, расположенного на расстоянии 34.97 м, он равен 9–10.
Фильтр ЛУП оказался более эффективен и стабилен в результатах, чем фильтр ЛДП. Это связано с формируемой апертурой обработки. У фильтра ЛУП имеется усеченная верхняя часть, которая дает эффект сглаживания, устраняя шумы в исходном изображении. Из-за этого для применения в ТИС, при оценке дальности до объектов интереса в поле зрения системы, предлагается использовать фильтр ЛУП с неравносторонними апертурами.
ИСТОЧНИК ФИНАНСИРОВАНИЯ
Исследование выполнено за счет гранта Российского научного фонда № 21-79-10200 в ТУСУРе.
Об авторах
К. А. Рылов
Томский государственный университет систем управления и радиоэлектроники
Автор, ответственный за переписку.
Email: tstr70@mail.ru
Россия, Томск
К. С. Куприянова
Томский государственный университет систем управления и радиоэлектроники
Email: kuprianovak8@gmail.com
Россия, Томск
А. В. Каменский
Томский государственный университет систем управления и радиоэлектроники
Email: andru170@mail.ru
Россия, Томск
Список литературы
- Курячий М.И., Рудникович А.С., Семенов Е.В. Телевизионные измерительные системы на базе процессоров TMS320C6000 // Доклады международной конференции DSPA. 2003. Т. 2. № 52. С. 1–4.
- Коротаев В.В., Краснящих А.В. Телевизионные измерительные системы: Учеб. пособие. СПб.: СПбГУ ИТМО, 2008. 108 с.
- Гонсалес Р.С., Вудс Р.Е. Цифровая обработка изображений. 3-е изд., испр. и доп. М.: Техносфера, 2012. 1104 с.
- Chun He, Ke Guo, Huayue Chen. An Improved Image Filtering Algorithm for Mixed Noise; A special issue of Applied Sciences (ISSN 2076-3417), belongs to the section “Computing and Artificial Intelligence” // Appl. Sci. 2021. 11(21). 10358. https://doi.org/10.3390/app112110358
- Sironi A., Tekin B., Rigamonti R., Lepetit V., Fua P. Learning Separable Filters // IEEE Transactions on Pattern Analysis and Machine Intelligence. 2015. V. 37. I. 1. P. 94–106. https://doi.org/10.1109/TPAMI.2014.2343229
- Minh N. Do, Vetterli M. Frame reconstruction of the laplacian pyramid. Acoustics, Speech, and Signal Processing, 1988. ICASSP-88 // 1988 International Conference on 6: 3641–3644. V. 6.
- Kamenskiy A.V. High-speed recursive-separable image processing filters // Computer Optics 2022; 46(4): 659–665. https://doi.org/10.18287/2412-6179-CO-1063
- Kamenskiy A.V., Kuryachiy M.I., Krasnoperova A.S., Ilyin Y.V., Akaeva Т.М., Boyarkin S.E. / High-speed recursive-separable image processing filters with variable scanning aperture sizes // Computer Optics, 2023. 47(4): 605–613. https://doi.org/10.18287/2412-6179-CO-1240
- Сай С.В., Каменский А.В., Курячий М.И. Современные методы анализа и повышения качества цифровых изображений: монография. Министерство науки и высшего образования Российской Федерации, Тихоокеанский государственный университет. Хабаровск: Изд-во Тихоокеан. гос. ун-та, 2020. 173 с.
- Куприянова К.С., Рылов К.А., Каменский А.В. Влияние неравносторонних апертур на характеристики цифровых фильтров лапласиан “усеченная пирамида” и лапласиан “двойная пирамида” // Труды 33-й Междунар. конф. по компьютерной графике и машинному зрению. Москва, 19–21 сент. 2023 г. С. 482–491.
- Смирнов В.М. Влияние размера апертуры на степень устранения импульсного шума при медианной фильтрации // Научная сессия ГУАП. 2019. С. 22–29.
- Kapustin V.V., Zahlebin A.S., Movchan A.K., Kuriyachiy M.I., Kruticov M. Experimental assessment of the distance measurement accuracy using the active-pulse television measuring system and a digital terrain model // Computer Optics. 2022. V. 46(6): 948–954. https://doi.org/10.18287/2412-6179-CO-1114
Дополнительные файлы













