Адаптивный БИХ-фильтр на базе штрафного сплайна
- Авторы: Кочегурова Е.А.1, Мартынова Ю.А.1
-
Учреждения:
- Национальный исследовательский Томский политехнический университет
- Выпуск: № 6 (2024)
- Страницы: 24-34
- Раздел: АНАЛИЗ ДАННЫХ
- URL: https://medbiosci.ru/0132-3474/article/view/283184
- DOI: https://doi.org/10.31857/S0132347424060036
- EDN: https://elibrary.ru/dyuoiy
- ID: 283184
Цитировать
Полный текст
Аннотация
Целью данной работы является развитие технологии сплайн-адаптивных фильтров (САФ) для реализации в реальном времени. Предложенный в работе P-САФ на базе рекуррентного штрафного P-сплайна по аналогии с классическим САФ состоит из линейной динамической и нелинейной статической компонентов. Для адаптации P-САФ разработаны вычислительные схемы с различной топологией, что одновременно определяет способ адаптации узлов и вычисления коэффициентов сплайна. Это позволило повысить эффективность P-САФ по сравнению с классическим САФ и сократить вычислительные затраты. Показатель эффективности MSE [dB] для P-САФ при анализе модельных и реальных временных рядов оказался на уровне и выше классического САФ.
Ключевые слова
Полный текст
1. ВВЕДЕНИЕ
В последние годы возрос интерес научного и инженерного сообщества к нелинейным и адаптивным моделям, а также к прикладным задачам на их основе. Обоснован подобный интерес нелинейной природой многих процессов реальной жизни.
Нелинейные адаптивные модели и фильтры обладают хорошей гибкостью и высокой производительностью [1–3]. Нелинейность моделей отражает нестационарную природу процессов, а адаптивность моделей повышает эффективность их применения. Вычислительные затраты определяются, главным образом, принципами адаптации и обучения модели.
Одна из популярных идей при создании нелинейных фильтров основана на обновлении (адаптации) коэффициентов линейных фильтров. Наиболее популярные алгоритмы такой адаптации основаны на методе наименьших квадратов и его модификациях, а также методе аффинной проекции. Первая группа методов имеет небольшую вычислительную сложность, вторая – хорошую сходимость.
Другие идеи адаптивного обучения основаны на нейронных сетях [5], адаптивных фильтрах Вольтерра [4], ядра [7], функциональной связи [8], расширенном фильтре Калмана [6] и пр. Однако подобные фильтры эффективны только для объектов со слабой нелинейностью. А значительная нелинейность отрицательно сказывается на сходимости алгоритмов адаптации и усложняет вычисления, поскольку связана с увеличением порядка модели.
Системы реального времени наиболее требовательны к быстродействию алгоритмов обработки информации и, соответственно, к их вычислительной сложности. Поэтому в таких системах адаптивные модели с этапом обучения или с использованием численных методов мало пригодны.
В этой ситуации возможен подход с использованием адаптивных сплайнов, интерес к которым возрастает, как к инструменту нелинейного моделирования. Сама идея, а также термин “сплайн-адаптивный фильтр” (САФ) были введены в 2013 г. в работе [9] M. Scarpiniti. Концепция САФ включает последовательную комбинацию линейного фильтра и нелинейного алгоритма с функцией адаптации. Нелинейная часть в базовой конструкции представлена интерполяционным сплайном, структура которого остается неизменной. Для интерполяции используются базисные сплайны и сплайны Катмалла–Рома с фиксированной матрицей коэффициентов для локального звена сплайна.
Структурно модель САФ относится к блочно-ориентированному представлению и включает линейные и нелинейные блоки [10, 11]. Линейная часть модели является временно-инвариантной (динамической), а нелинейная модель – статической (рис. 1).
Рис. 1. Структура сплайн-адаптивного фильтра.
Топология блоков в САФ также может быть различной. Например, модель САФ [9], называемая моделью Винера, представляет собой линейно-нелинейную (ЛН) модель, включающую линейный фильтр и статическую нелинейную функцию адаптации. Другая популярная модель, известная как Хаммерштейн-модель, является нелинейно-линейной (НЛ) моделью, в которой динамический и нелинейный статический блок имеют обратный порядок [12]. Также существуют модели, которые комбинируют компоненты ЛН и НЛ, обеспечивая гибкость и разнообразие в работе с различными типами нелинейностей.
Концепция САФ оказалась довольно продуктивной и для теоретических исследований, и в прикладных задачах. Разными исследователями были разработаны и изучены различные варианты САФ, например, с использованием БИХ-фильтров [13, 14], для активного контроля и фильтрации разного типа помех [15, 16], для негауссовой среды [17, 18]. Ряд работ посвящен вопросам улучшения устойчивости, сходимости, анализу надежности и производительности [18–20].
Тем не менее, несмотря на большое количество работ по САФ, существуют определенные вопросы относительно его применения на практике.
САФ достаточно разработаны теоретически и опираются на априорную информацию о свойствах входных сигналов и помех. При адаптации параметров САФ используются градиентные методы оптимизации [11, 18]. Однако в реальной задаче желаемый сигнал часто неизвестен, а целевая функция обычно мультимодальна. Еще одна проблема САФ связана с длительностью машинного обучения, что затрудняет его использование в режиме реального времени.
Целью данной работы является развитие технологии САФ для реализации в реальном времени. Для этого использована модификация штрафного P-сплайна, названная здесь Р-САФ. В отличие от традиционных P-сплайнов, вместо одного параметра сглаживания, предлагаемый Р-САФ позволяет изменять этот параметр в пределах отдельного звена сплайна. А создание группы отсчетов ВР решает проблему выбора узлов сплайна.
Другая особенность P-САФ состоит в экономичной вычислительной схеме P-САФ в виде рекуррентных алгебраических выражений, что позволяет использовать его в реальном времени.
И наконец, модель P-САФ представляет собой аналитическое выражение, что повышает интерпретируемость моделей на его основе.
2. ОПИСАНИЕ И ТОПОЛОГИЯ Р-САФ
Для реализации САФ в реальном времени предлагается математическая модель в форме рекуррентной сплайн-функции. Именно рекуррентное математическое описание делает возможным использование САФ в РРВ.
Большинство известных САФ основаны на сглаживающих сплайнах, однако также возможно использование штрафных P-сплайнов и базисных B-сплайнов [21, 22]. При этом сглаживающие сплайны имеют большую вычислительную сложность, что становится проблемой при реализации в реальном времени [23]. А, например, впервые предложенная в [9] модель САФ использует базисные B-сплайны. Для базисных и штрафных сплайнов оптимальность выбора узлов оказывает значительное влияние на сложность их реализации [24]. И хотя адаптация в реальном времени является трудоемкой процедурой, эффективность САФ при этом существенно повышается.
В теории цифровой фильтрации можно выделить два подхода: цифровой фильтр (ЦФ) с конечной импульсной характеристикой (КИХ) и бесконечной импульсной характеристикой (БИХ). В САФ, в основном, применяются КИХ-фильтры. Их достоинствами являются линейная фазовая характеристика и устойчивость. Эти и другие достоинства КИХ объясняются отсутствием обратной связи по выходным параметрам фильтра.
Структура БИХ-фильтров содержит обратную связь, что является причиной неустойчивости и, нередко, низкой сходимости. Однако БИХ-фильтры, в отличие от КИХ-фильтров, могут обеспечить резкость переходной зоны пропуска и подавления сигнала при одинаковом с КИХ-фильтрами порядке ЦФ [25].
Одним из способов описания ЦФ является разностное уравнение. В данной работе используется рекуррентная форма штрафного P-сплайна, полученная с применением вариационного подхода [26]. В классическом варианте сглаживающий кубический сплайн S(t) может быть получен как решение задачи минимизации на всем интервале наблюдения [a, b] по отсчетам :
, (1)
где λ – сглаживающий множитель, ассоциирован с параметром регуляризации Тихонова. А сами слагаемые в (1) определяют соответственно минимальную кривизну сплайна и минимум невязок [27]. Кубический сплайн S(t) находится среди всех функций из пространства Соболева . Степень гладкости или штраф за гладкость сплайна S(t) определяется параметром λ. Отсюда и название штрафной P-сплайн. Диапазон параметра λ неизвестен и обычно велик [10–9, 109], но при λ → 0 сплайн стремится к интерполяционному.
Для реализации P-сплайна в РРВ критерий (1) модифицирован нами и адаптирован отдельно для каждого i-го звена сплайна:
(2)
Входные данные в (2) собраны в группы по h значений между крайними отсчетами группы для каждого i -го звена сплайна.
Предлагаемый Р-САФ позволяет изменять гладкость в пределах звена с помощью переменного параметра гладкости ρ, тем самым повышая гибкость нелинейных моделей отдельных звеньев. В отличие от традиционных P-сплайнов (1) с единым параметром сглаживания ρ.
Вид критерия (2) известен как блочная регуляризация Тихонова [28], которая в данном случае определяет блок, как группу из h отсчетов. Минимальный размер группы h = 3 (т. е. 4 отсчета ВР) определен порядком кубического сплайна. Но обычно h > 3 и это означает, что выборка избыточна и это положительно сказывается на равновесии данных для описания нелинейности [10].
Другой особенностью критерия (2) является адаптация штрафного параметра ρ в интервале . Нормирование сглаживающего сомножителя ρ уменьшает сложность его выбора в соответствии с физическим смыслом: от максимальной гладкости при ρ = 0 до интерполирующего сплайна при ρ = 1.
Переход от критерия (2) к функционалу J(S) упрощает получение неизвестных коэффициентов сплайна:
(3)
Шаг дискретизации Δt уравновешивает размерности слагаемых, а сам функционал (3) становится безразмерным. Далее Δt = 1.
Для получения коэффициентов рекуррентного сплайна Si(τ) на i-м звене
(4)
использованы два типа условий:
1) условия равенства непрерывных производных для смежных звеньев сплайна позволяют найти рекуррентные соотношения для непрерывных коэффициентов (k = 0, 1) смежных (i – 1)-х и i-х звеньев;
2) из условия найдены разрывные коэффициенты .
Математические соотношения для коэффициентов Р-сплайна представляют собой алгебраические выражения [26] и не требуют дополнительных методов решения (аналитических или численных).
Отличительная особенность предлагаемого Р-сплайна (4) – это возможность сопряжения смежных звеньев в любой точке внутри i-го звена () (рис. 2а). Это особенность уникальна и для теории сплайнов с последовательным сопряжением звеньев, и для реализации в реальном времени со скользящим окном.
Рис. 2. Топология вычислительных схем Р-САФ.
Временные моменты сопряжения сплайна q и вычисления τ являются параметрами вычислительных схем Р-САФ. И на основе их взаимного расположения можно разработать несколько топологий для вычислительных схем сплайна [29], в том числе последовательной рис. 2б и многократной фильтрации рис. 2в. И все три схемы сочетают рекуррентность коэффициентов сплайна, что соответствует адаптации линейного КИХ-фильтра в традиционном САФ, и локальность к группе отсчетов внутри звена.
Наибольший интерес с позиции РРВ имеет универсальная вычислительная схема, показанная на рис. 2а. Для произвольных значений q и τ разностное уравнение ЦФ, соответствующего такой схеме, представляет собой уравнение с переменными параметрами, порядок уравнения соответствует значению τ [30]. И именно параметры q и τ, как параметры топологии, определяют структурную адаптацию Р-САФ.
Рассмотрим частный случай данной вычислительной схемы для . Для получения разностного уравнения требуется задание единого временного отсчета, определенного для каждого i-го звена сплайна. Принципиально таким моментом может быть любой отсчет i-го звена . Здесь выбран момент времени и далее для этого момента введено обозначение .
Проанализируем компоненты функционала (3) относительно выбранного момента. Если введены обозначения , то последовательности можно рассматривать, как решетчатые функции с интервалом квантования Δt. И для введенных обозначений разностное уравнение Р-САФ имеет следующий вид:
(5)
где
Разностное уравнение (5) – наиболее простой случай разностного уравнения для Р-САФ и соответствует значениям . Это уравнение первого порядка с постоянными коэффициентами . Если и для всех звеньев сплайна τ = const, то разностное уравнение остается с постоянными параметрами, но порядок уравнения равен (τ – h). В данном случае коэффициенты разностного уравнения (5) не зависят от параметров вычислительной схемы q и τ, а зависят только от параметров самого сплайна h и τ. Эти параметры и определяют адаптивные свойства Р-САФ, т. е. участвуют в процессе параметрической адаптации.
3. УСТОЙЧИВОСТЬ И ПЕРЕХОДНЫЕ ПРОЦЕССЫ P-САФ
Концепция САФ оказалась довольно популярной и это можно объяснить способностью цифровых фильтров моделировать нелинейные системы при невысокой сложности самих САФ. Однако скорость сходимости САФ остается по-прежнему недостаточно высокой [31].
Рекуррентный Р-САФ как математический инструмент обработки информации в РРВ должен соответствовать требованиям сходимости, устойчивости и точности [32]. Для оценки эффективности P-САФ в установившихся и переходных режимах целесообразно использовать методы линейных динамических систем. Как и в случае любого ЦФ для описания P-САФ используется математический аппарат, включающий аппаратную и системную функции фильтра.
В отличие от КИХ-фильтров, обладающих линейной фазой и устойчивостью, БИХ-фильтры могут оказаться неустойчивыми. Поэтому в обязательном порядке следует анализировать устойчивость рекуррентного сплайн-фильтра в области изменения его параметров.
На основе z-преобразования правой и левой частей разностного уравнения (5) аналитически получена системная функция сплайн-фильтра [31]:
, (6)
которая является аналогом частотной передаточной функции (ПФ) непрерывных систем.
И несмотря на несложный вид системной функции, синтез P-САФ непосредственно на его основе довольно проблематичен. Альтернативным способом синтеза Р-САФ является представление ПФ в виде соединения элементарных звеньев САУ с прямыми, параллельными или каскадными связями [33]. Для этого представим системную функцию (6) в традиционном виде отношения полиномов:
(7)
с коэффициентами
Тогда структурная схема прямой реализации Р-САФ будет выглядеть следующим образом (рис. 3).
Рис. 3. Структурная схема рекуррентного P-САФ.
Обратная связь в структуре Р-САФ, являясь достоинством рекурсивных ЦФ, может привести к его неустойчивости, т. е. наличию корней характеристического уравнения за пределами единичного круга . Для оценки областей устойчивости запишем характеристический полином ПФ (6) с учетом билинейного w-преобразования. И, заменив , получим
, (8)
где
Для уравнения второго порядка (8) критерий Гурвица–Мизеса определяет условия устойчивости дискретных систем:
С учетом введенных в (5) обозначений для коэффициентов разностного уравнения устойчивость Р-САФ полностью определяется параметрами сплайна h и τ. И для выбранной топологии вычислительной схемы q = 0, τ = 1 Р-САФ устойчив при любых значениях сглаживающего параметра при любом размере группы h.
На рис. 4 области неустойчивости не заштрихованы, области абсолютной устойчивости (т. е. при всех значениях ) заштрихованы полностью, а на областях частичной устойчивости приведена нижняя граница диапазона ρ при некоторых соотношениях h и q. Изменение параметра топологии q > 0 заметно сужает области устойчивости Р-САФ. Устойчивость наблюдается только при стремлении ρ → 1, и сами диапазоны ρ весьма малы: [0.99–1], [0.84–1]. И наконец при q → h Р-САФ всегда неустойчив.
Рис. 4. Области устойчивости P-САФ.
При сопряжении смежных звеньев в начале текущего звена (q = 0) Р-САФ всегда остается устойчив и при τ > 1. В практических приложениях сопряжении в начале звена и используется чаще всего.
Также целесообразно оценить сходимость Р-САФ на основе косвенных критериев, т. е. исследовать аппаратную функцию g(t). Известно, что аппаратная функция ЦФ является функцией веса компонент фильтра во времени. И по мере увеличения длины веса ЦФ резко возрастает вычислительная сложность процессов фильтрации и адаптации.
Аппаратная функция g(t) P-САФ была получена аналитически на основе системной функции Р-САФ (6) с использованием обратного преобразования Фурье.
Являясь аналогом импульсной весовой функции непрерывной системы, аппаратная функция выражает аналитическую зависимость сигналов между входными и выходными сигналами ЦФ на основе уравнения дискретной свертки. Визуально аппаратная функция Р-САФ несимметрична, что типично для БИХ-фильтров (рис. 5а). А затухающий характер подтверждает сходимость Р-САФ при изменении параметров сплайна ρ и h.
Рис. 5. Аппаратная функция P-САФ.
Однако условие каузальности () соблюдается только в случае, если Р-САФ работает в режиме без задержки, т. е. не имеет запаздывания по параметрам топологии вычислительной схемы. В других случаях аппаратная функция отлична от нуля, что характерно для систем с запаздыванием, например, при обработке данных группами.
Системную ошибку ЦФ определяет ширина аппаратной функции Δ (рис. 5в). Количественно ширина аппаратной функции может быть оценена следующим соотношением [34]:
. (9)
Как видно на геометрической иллюстрации ширина аппаратной функции зависит от параметров сплайна ρ и h. Причем ширина уменьшается и с ростом сглаживающего множителя ρ, и с ростом длины сплайна h. С увеличением числа отсчетов звена h полоса пропускания фильтра уменьшается. Соответственно уменьшается и ширина аппаратной функции, что видно из рисунка. Гладкость сплайна на выходе фильтра в таких случаях увеличивается, однако он становится значительно отдален от линии регрессии, что приводит к увеличению систематической ошибки. Таким образом, ширина амплитудной функции физически интерпретируется как фактор, влияющий на точность измерений.
Влияние сглаживающего множителя ρ много слабее, чем параметра h. И при h > 15 влияние параметра сглаживания практически нет.
5. РЕЗУЛЬТАТЫ ЧИСЛЕННЫХ ЭКСПЕРИМЕНТОВ
Для оценки эффективности предлагаемого P-САФ выполнена серия вычислительных экспериментов с реализацией в режиме реального времени. Численные эксперименты предназначены для демонстрации сглаживающих и фильтрующих возможностей P-САФ, а также для сопоставления результатов с другими САФ.
Результаты предложенного P-САФ, основанного на штрафном сплайне реального времени, сравниваются с классическими вариантами САФ на основе SAF-LMS [9].
Для проведения исследований в качестве модельных и реальных данных целесообразно выбрать широко известные функции с выраженными нелинейностями, которые часто используются в подобных исследованиях алгоритмов САФ.
Для оценки эффективности САФ [18] используется показатель точности, основанный на среднеквадратическом отклонении и выраженный в децибелах:
, (10)
где E[*] – среднее значение; e(n) – разность полезного и восстановленного сигналов.
Модельные входные сигналы
Все результаты получены путем усреднения 20 испытаний Монте-Карло. Максимальный объем выборки для всех модельных сигналов – 30 000 отсчетов.
На рис. 6 представлены результаты эффективности предлагаемого Р-САФ для двух наиболее популярных примеров в теории САФ. Для рис. 6а входной полезный сигнал xn представляет собой гауссовский случайный процесс и генерируется соотношением [9]
,
где – белый гауссовский шум с нулевым средним с единичной дисперсией; r ä [0, 1) – коэффициент, определяющий корреляцию между соседними входными отсчетами xn.
Рис. 6. Эффективность алгоритма P-САФ в условиях гауссовского случайного процесса.
Кроме того, ко входным данным добавляется независимый белый гауссов шум с различными соотношениями сигнал/шум (SNR = 10, 20, 30, 40 dB).
Рис. 6б отражает эффективность фильтрации процесса, порожденного альфа-стабильным распределением, и для α ≠ 1 имеет следующий вид [17, 18]:
,
где α ä (0, 2] – индекс стабильности, определяющий выраженность импульса; –1 ≤ β ≤ 1 – индекс симметрии; ρ – параметр положения; γ > 0 – параметр дисперсии. Очевидно, что при α = 2 имеет место гуссовский сигнал. И по аналогии для остальных значений α ä (0, 2] сигнал называют негауссовским. В эксперименте данный сигнал является полезным и для него заданы значения параметров α = 1.6, β = 0, ρ = 0, γ = 0.05. Аддитивная помеха – белый гауссов шум с различными соотношениями сигнал/шум (SNR = 10, 20, 30, 40 dB).
Кривые MSE [dB] позволяют оценить общую эффективность (MSE [dB] приближение к установившемуся значению MSE) и скорость сходимости алгоритмов.
Рис. 6б демонстрирует хорошую эффективность P-САФ в условиях негауссовского входного сигнала. Графики MSE [dB] подтверждают сходимость алгоритма к значению установившейся ошибки при различных соотношениях сигнал/шум. И в установившемся режиме графики MSE [dB] асимптотически стремятся к значению мощности шума [9]. При заданных уровнях сигнал/шум (SNR = 10, 20, 30, 40 dB) они теоретически равны (–10, –20, –30, –40 dB) соответственно.
Однако в случае гауссовского полезного сигнала (рис. 6а) графики MSE [dB] довольно далеки от теоретических значений поэтому и алгоритм P-САФ имеет значительную установившуюся ошибку. Для сравнения на рис. 6а пунктирной линией приведена кривая MSE [dB] для классического САФ [13] при SNR = 30 dB. Установившаяся ошибка согласуется с мощностью сигнала, но при довольно большом числе отсчетов n > 2000 (рис. 5 в [13]).
Следующим модельным сигналом, часто используемым при анализе ВР является Доплеровская функция, определенная на интервале [0, 1]:
.
Аддитивная помеха в данном случае также представлена белым гауссовским шумом с различными соотношениями сигнал/шум (SNR = 10, 20, 30, 40 dB). На графике (рис. 7а) показан полезный сигнал (серая линия), смесь сигнала и шума (черные точки) и результат обработки алгоритмом P-САФ (синяя линия) на интервале [0, 1] при SNR = 10 dB для 1000 отсчетов ВР. Параметры алгоритма P-САФ приведены на рисунке. В зумированной области представлен результат работы алгоритма (красная линия) на интервале [0, 0.3] при значениях параметров P-САФ h = 3, ρ = 0.5. Для подобных сигналов со значительным изменением и частоты, и амплитуды параметры P-САФ оказывают существенное влияние на эффективность его работы. На графике (рис. 7б) отображены кривые MSE [dB] для разных значений соотношения сигнал/шум при h = 3, ρ = 0.5. Сходимость алгоритма подтверждается приближением графиков MSE [dB] к установившемуся значению. Причем скорость сходимости для слабого шума с SNR = 40 dB на порядок ниже, чем с низким значением SNR = 10 dB.
Рис. 7. Эффективность алгоритма P-САФ для Доплеровской функции.
Реальные временные ряды
В качестве входных данных использованы два реальных набора данных из репозитория DaISy [11]. Эта БД содержит большое количество реальных статистических данных из разных отраслей: механические системы, биомедицинские, промышленные процессы, экологические и др.
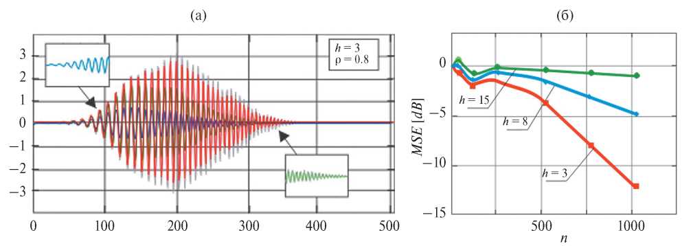
Набор данных № 96-008 “Данные о флаттере крыла” содержит 1024 значения. На рис. 8а серым цветом показана информативная часть ВР – 512 значений. Флаттер крыла – это колебания крыла самолета во время полета. Характеризуется флаттер высокочастотными колебаниями и влияет на безопасность полета. На рисунке красной линией отображена работа алгоритма P-САФ при параметрах алгоритма h = 3, ρ = 0.8. При обработке подобных высокочастотных сигналов существенную роль имеют параметры настройки P-САФ. Влияние параметров сплайна взаимное и сочетанное. В предложенном алгоритме P-САФ параметр ρ в большей степени определяет амплитуду восстановленного сигнала, в то время как параметр h влияет на частоту. При значении h = 3 наблюдается полное совпадение сигналов по частоте во всем временном диапазоне: синяя линия в диапазоне отсчетов [60÷160], зеленая – [250÷350]. Кроме того, на рис. 8б отображено влияние размера группы отсчетов h на точность восстановления сигнала. Очевидно, что точность повышается при уменьшении параметра h.
Рис. 8. Эффективность алгоритма P-САФ для набора данных № 96-008 DaISy.
Еще один набор данных из репозитория DaISy № 96-004 “Данные шаровой установки SISTA (система оценки информационной безопасности)” содержит 1000 значений ВР. На рис. 9а исходный набор данных показан серой линией, а результат работы алгоритма – зеленой. Расширяя исследования [11], ВР здесь был дополнительно исследован в условиях аддитивной помехи в виде белого гауссовского шума с различными соотношениями сигнал/шум (SNR = 10, 20, 30, 40 dB). Рис. 9б показывает хорошую сходимость алгоритма P-САФ для всех заданных соотношений сигнал/шум.
Рис. 9. Эффективность алгоритма P-САФ для набора данных № 96-004 DaISy.
При отсутствии шума значение погрешности MSE [dB] варьируется в диапазоне (–55, –60) dB при различных соотношениях параметров h и ρ. И эти значения можно рассматривать как систематическую погрешность предложенного алгоритма P-САФ для заданного ВР.
6. ЗАКЛЮЧЕНИЕ
БИХ-фильтры привлекают внимание исследователей благодаря широкому спектру прикладных задач при обработке данных в реальном времени. Особую актуальность БИХ-фильтры на базе сплайнов приобрели, как инструмент нелинейной обработки, известный, как САФ.
Предложенный в работе P-САФ на основе рекуррентного P-сплайна по аналогии с классическим САФ M. Scarpiniti [9] состоит из линейной динамической и нелинейной статической компонент. Для адаптации P-САФ разработаны вычислительные схемы с различной топологией, что одновременно определяет способ адаптации узлов и вычисления коэффициентов сплайна. Это повышает эффективность P-САФ по сравнению с классическим САФ и сокращает вычислительные затраты.
Был проведен анализ частотных и временных характеристик рекурсивного P-САФ, а также изучены условия его сходимости. Установлено, что при изменении параметров P-САФ остается низкочастотным.
Сравнительный анализ предложенного P-САФ c другими САФ выполнен с использованием модельных и реальных данных из репозитария DAISY. Значения показателя MSE [dB] для P-САФ оказались на уровне и выше классического САФ в случае высокочастотных детерминированных или реальных сигналов. В этом и проявляется преимущество P-САФ: короткая рекурсивная часть и наличие аналитической модели.
ИСТОЧНИК ФИНАНСИРОВАНИЯ
Работа выполнена при поддержке Российского научного фонда (проект № 23-21-00259).
Об авторах
Е. А. Кочегурова
Национальный исследовательский Томский политехнический университет
Автор, ответственный за переписку.
Email: kocheg@mail.ru
Россия, 634050 Томск, пр. Ленина, д. 30
Ю. А. Мартынова
Национальный исследовательский Томский политехнический университет
Email: martynova@tpu.ru
Россия, 634050 Томск, пр. Ленина, д. 30
Список литературы
- Haykin S.S. Adaptive Filter Theory. 5th ed., Pearson Education, 2014. 912 p. ISBN: 9780132671453.
- Comminiello D., Príncipe J.C. Adaptive learning methods for nonlinear system modeling. Oxford: Butterworth-Heinemann, 2018. 388 p. ISBN: 9780128129777.
- Shcherbakov М.А., Panov A.P. Nonlinear filtering with adaptation to local properties of the image. Computer Optics. 2014. V. 38. № 4. P. 818–824. https://doi.org/10.18287/0134-2452-2014-38-4-818-824
- Wang Y.R., Cheng C.M. Volterra series identification and its applications in structural identification of nonlinear block-oriented systems. International Journal of Systems Science. 2020. V. 51. № 11. P. 1959–1968.
- Solovyeva E.B. Behavioural nonlinear system models specified by various types of neural networks. Journal of Physics: Conference Series. IOP Publishing. 2018. V. 1015(3). P. 032139.
- Fallahi K., Raoufi R., Khoshbin H. An application of chen system for secure chaotic communication based on extended Kalman filter and multi-shift cipher algorithm. Commun. Nonlinear Sci. Numer. Simul. 2008. V. 13. № 4. P. 763–781.
- Liu W., Principe J.C., Haykin S. Kernel Adaptive Filtering: A Comprehensive Introduction. Wiley, 2011. ISBN: 9780470447536.
- Comminiello D., Scarpiniti M., Azpicueta-Ruiz L.A., Arenas-Garcia J., Uncini A. Functional link adaptive filters for nonlinear acoustic echo cancellation. EEE Trans. Audio Speech Lang. Process. 2013. V. 21. № 7. P. 1502–1512.
- Scarpiniti M., Comminiello D., Parisi F., Uncini A. Nonlinear spline adaptive filtering. Signal Processing. 2013. V. 93. № 4. P. 772–783.
- Yang L., Liu J., Sun R. et al. Spline adaptive filters based on real-time over-sampling strategy for nonlinear system identification. Nonlinear Dyn. 2021. V. 103. P. 657–675. https://doi.org/10.1007/s11071-020-05899-7
- Guan S., Biswal B. Spline adaptive filtering algorithm based on different iterative gradients: Performance analysis and comparison. Journal of Automation and Intelligence. 2023. V. 2. № 1. P. 1–13.
- Cheng S., Wei Y., Sheng D., Wang Y. Identification for Hammerstein nonlinear systems based on universal spline fractional order LMS algorithm. Commun. Nonlinear Sci. Numer. Simul. 2019. V. 79. P. 104901.
- Scarpiniti M., Comminiello D., Parisi R., Uncini A. Nonlinear system identification using IIR Spline Adaptive Filters. Signal Processing. 2015. V. 108. P. 30–35.
- Wang Y., Ding F., Xu L. Some new results of designing an IIR filter with colored noise for signal processing. Digital Signal Processing. 2018. V. 72. P. 44–58.
- Patel V., George N.V. Multi-channel spline adaptive filters for non-linear active noise control. Applied Acoustics. 2020. V. 161. P. 107142.
- Liu C., Zhang Z., Tang X. Sign-normalized IIR spline adaptive filtering algorithms for impulsive noise environments. Circu. Syst. Signal Process. 2019. V. 38. № 2. P. 891–903.
- Guo W., Zhi Y. Nonlinear Spline Adaptive Filtering Against Non-Gaussian Noise. Circuits, Systems, and Signal Processing. 2022. V. 41. P. 579–596. https://doi.org/10.1007/s00034-021-01798-3
- Tao Y., Wenqi L., Yi Y., Rodrigo C.L. Robust spline adaptive filtering based on accelerated gradient learning: Design and performance analysis. Signal Processing. 2021. V. 183. P. 107965.
- Gao Y., Zhao H., Zhu Y., Lou J. The q-gradient LMS spline adaptive filtering algorithm and its variable step-size variant. Information Sciences. 2023. V. 658. P. 119983. https://doi.org/10.1016/j.ins.2023.119983
- Zhao H., Chen B. Spline Adaptive Filter. In Book: Efficient Nonlinear Adaptive Filters. Chap. Springer: Cham. 2023. P. 163–208. https://doi.org/10.1007/978-3-031-20818-8_4
- Sharif S., Kamal S. Comparison of Significant Approaches of Penalized Spline Regression (P-splines). Pakistan Journal of Statistics and Operation Research. 2018. V. XIV (2). P. 289–303.
- Lenz D., Yeh R., Mahadevan V., Grindeanu I., Peterka T. Customizable adaptive regularization techniques for B-spline modeling. Journal of Computational Science. 2023. V. 71. P. 102037. https://doi.org/10.1016/j.jocs.2023.102037
- Budakçı G., Dişibüyük Ç., Goldman R., Oruç H. Extending fundamental formulas from classical B-splines to quantum B-splines. Journal of Computational and Applied Mathematics. 2015. V. 282. P. 17–33.
- Goepp V., Bouaziz O., Nuel G. Spline Regression with Automatic Knot Selection. arXiv: Applications. 2018. hal-01853459. P. 26.
- Tan L., Jiang J. Digital Signal Processing. 3rd ed. Academic Press, 2019. 816 p. ISBN: 978-0-12-374090-8.
- Kochegurova E.A, Gorokhova E.S. Current Derivative Estimation of Non-stationary Processes Based on Metrical Information. Lecture Notes in Computer Science. 2015. V. 9330. P. 512–519.
- Rozhenko A.I. A new method for finding an optimal smoothing parameter of the abstract smoothing spline. J. Approx. Theory. 2010. V. 162. P. 1117–1127. https://doi.org/10.1016/j.jat.2009.08.002
- Sameni R. Online filtering using piecewise smoothness priors: Application to normal and abnormal electrocardiogram denoising. Signal Processing. 2017. V. 133. P. 52–63.
- Kochegurova E.A., Kochegurov A.I., Rozhkova N.E. Frequency Analysis of Recurrence Variational P-Splines. Optoelectronics, Instrumentation and Data Processing. 2017. V. 53. № 6. P. 591–598.
- Kochegurova E.A., Wu D. Realization of a recursive digital filter based on penalized splines. Computer Optics 2018. V. 42. № 6. P. 1083–1092.
- Bhattacharjee S.S., Patel V., George N.V. Nonlinear Spline Adaptive Filters based on a Low Rank Approximation. Signal Processing. 2022. V. 201. P. 108726.
- Agrawal N., Kumar A., Bajaj V., Singh G.K. Design of digital IIR filter: A research survey. Applied Acoustics 2021. V. 172. P. 107669. https://doi.org/10.1016/j.apacoust.2020.107669
- Rathod M., Patel V., George N.V. Generalized spline nonlinear adaptive filters. Expert Systems with Applications. 2017. V. 83. № 15. P. 122–130.
- Воскобойников Ю.Е., Колкер А.Б. Аппроксимация изолиний изображений сглаживающими сплайнами. Автометрия. 2003. Т. 39. № 4. С. 3–12.
Дополнительные файлы











