Study of the Electrophysical Properties of Solid Solutions with a Perovskite Structure in La2O3–SrO–Ni(Co,Fe)2O3–δ Systems for Cathode Electrodes for Fuel Cells
- Authors: Kalinina M.V.1, Dyuskina D.A.1, Polyakova I.G.1, Arsent’ev M.Y.1, Shilova O.A.1,2,3
-
Affiliations:
- Grebenshchikov Institute of Silicate Chemistry, Russian Academy of Sciences
- St. Petersburg State Technological Institute (Technical University)
- St. Petersburg State Electrotechnical University “LETI”
- Issue: Vol 49, No 2 (2023)
- Pages: 158-170
- Section: Articles
- URL: https://medbiosci.ru/0132-6651/article/view/139310
- DOI: https://doi.org/10.31857/S013266512260087X
- EDN: https://elibrary.ru/NWCLRR
- ID: 139310
Cite item
Full Text
Abstract
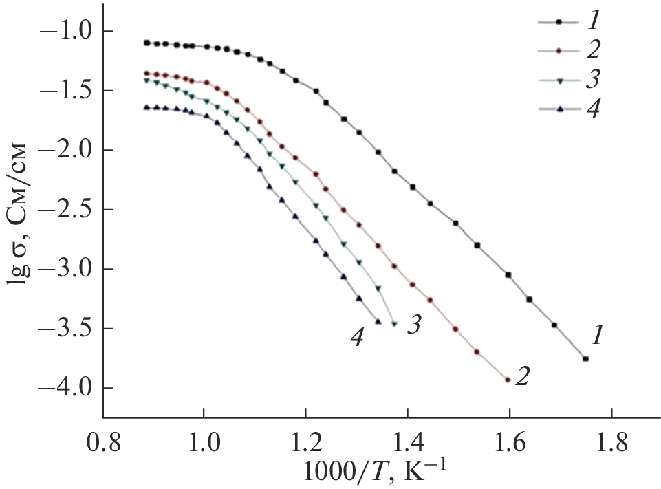
Finely dispersed mesoporous powders of the following composition are synthesized by the method of cocrystallization of nitrate salts with ultrasonic treatment: La1–xSrxNiO3–δ, La1–xSrxCoO3–δ, and La1–xSrxFe0.7Ni0.3O3–δ (x = 0.30; 0.40). Based on them, ceramic nanomaterials of the given composition with a coherent scattering region (CSR) of ~65–69 nm (1300°С) are obtained. Ceramics fired at 1300°C are single-phase and have a tetragonal and orthorhombic perovskite-type structure in the La2O3‒SrO‒Ni(Co,Fe)2O3–δ system. Solid solutions have mixed electron–ion conductivity with transfer numbers te = 0.98–0.90 and ti = 0.02–0.10. Ceramics with a tetragonal perovskite-type crystal structure exhibit higher electrical conductivity than materials having an orthorhombic perovskite-type crystal structure. According to their electrophysical properties related to the structural features of solid solutions, ceramic materials obtained based on them are promising as solid oxide cathodes for average-temperature fuel cells.
About the authors
M. V. Kalinina
Grebenshchikov Institute of Silicate Chemistry, Russian Academy of Sciences
Email: tikhonov_p-a@mail.ru
199034, St. Petersburg, Russia
D. A. Dyuskina
Grebenshchikov Institute of Silicate Chemistry, Russian Academy of Sciences
Email: tikhonov_p-a@mail.ru
199034, St. Petersburg, Russia
I. G. Polyakova
Grebenshchikov Institute of Silicate Chemistry, Russian Academy of Sciences
Email: tikhonov_p-a@mail.ru
199034, St. Petersburg, Russia
M. Yu. Arsent’ev
Grebenshchikov Institute of Silicate Chemistry, Russian Academy of Sciences
Email: tikhonov_p-a@mail.ru
199034, St. Petersburg, Russia
O. A. Shilova
Grebenshchikov Institute of Silicate Chemistry, Russian Academy of Sciences; St. Petersburg State Technological Institute (Technical University); St. Petersburg State Electrotechnical University “LETI”
Author for correspondence.
Email: tikhonov_p-a@mail.ru
199034, St. Petersburg, Russia; 190013, St. Petersburg, Russia; 197376, St. Petersburg, Russia
References
- Miranda P.E. Science and Engineering of Hydrogen-Based Energy Technologies: Hydrogen Production and Practical Applications in Energy Generation. Elsevier Science & Technology. 2018. 326 p. ISBN: 9780128142516.
- Pachauri R.P., Chauhan Y.K. A study, analysis and power management schemes for fuel cells // Renewable and Sustainable Energy Reviews. 2015. V. 43. P. 1301–1319.
- Tarancón A. Strategies for Lowering Solid Oxide Fuel Cells Operating Temperature // Energies. 2009. V. 2. P. 1130–1150.
- Wincewicz K., Cooper J. Taxonomies of SOFC Material and Manufacturing Alternatives // J. Power Sources. 2005. V. 140. № 2. P. 280–296.
- Steele B.C.H. Materials for IT-SOFC Stacks 35 years R&D: the Inevitability of Gradualness // Solid State Ionics. 2000. V. 134. P. 3–20.
- Ma B., Balachandran U. Phase stability of SrFeCo0.5 in reducing environment // Mat. Res. Bull. 1998. V. 33. P. 223–236.
- Hendriksen P.V., Larsen P.H., Mogensen M., Poulsen F.W., Wiik K. Prospects and problems of dense oxygen permeable membranes // Catal. Today. 2000. V. 56. P. 283–295.
- McIntosh S., Vente J.F., Haije W.G., Blank D.H.A., Bouwmeester H.J.M. Phase stability and oxygen nonstoichiometry of SrCo0.8Fe0.2O3 – measured by in situ neutron diffraction // Solid State Ionics. 2006. V. 177. P. 833–842.
- Sadykov V., Usoltsev V., Yeremeev N., Mezentseva N., Pelipenko V., Krieger T., Belyaev V., Sadovskaya E., Muzykantov V., Fedorova Yu., Lukashevich A., Ishchenko A., Salanov A., Okhlupin Yu., Uvarov N., Smorygo O., Arzhannikov A., Korobeynikov M., Thumm Ma K.A. Functional nanoceramics for intermediate temperature solid oxide fuel cells and oxygen separation membranes // J. European Ceramic Society. 2013. V. 33. № 12. P. 2241–2250.
- Брэгг У., Кларингбул Г. Кристаллическая структура минералов. М.: Мир, 1967. 341 с.
- Jun A., Kim. J., Shin J., Kim. G. Perovskite as a cathode material: a review of its role in solid-oxide fuel cell technology // ChemElectroChem. 2016. V. 3. P. 511–530.
- Sadykov V.A., Pavlova S.N., Kharlamova T.S., Muzykantov V.S., Ishchenko A.V., Bobin A.S., Mezentseva N.V., Alikina G.M., Lukashevich A.I., Krieger T.A., Larina T.V., Bulgakov N.N., Tapilin V.M., Belyaev V.D., Sadovskaya E.M., Boronin A.I., Uvarov N.F., Sobyanin V.A., Okhlupin Y.S., Bobrenok O.F., Smirnova A.L., Smorygo O.L., Kilner J.A. Perovskites and their nanocomposites with fluorite-like oxides as materials for solid oxide fuel cells cathodes and oxygen-conducting membranes: mobility and reactivity of the surface/bulk oxygen as a key factor of their performance // Perovskites: structure, properties and uses, Nova Science Publishers, Inc. 2010. P. 67–178.
- Egorova T.L., Kalinina M.V., Simonenko E.P., Simonenko N.P., Shilova O.A., Sevastyanov V.G., Kuznetsov N.T. Liquid-Phase Synthesis and Physicochemical Properties of Xerogels, Nanopowders and Thin Films of the CeO2–Y2O3 System // Russian J. Inorganic Chemistry. 2016. V. 61. № 9. P. 1061–1069.
- Kalinina M.V., Morozova L.V., Egorova T.L., Arsent’ev M.Yu., Drozdova I.A., Shilova O.A. Synthesis and Physicochemical Properties of a Solid Oxide Nanocomposite Based on a ZrO2–Y2O3–Gd2O3–MgO System // Glass Physics and Chemistry. 2016. V. 42. № 5. P. 505–511.
- Callow R.C.A. Computer Modelling in Inorganic Crystallography. London: Academic Press. 1997. 340 p.
- Bernholc J. Computational Materials Science: The Era of Applied Quantum Mechanics // Phys. Today. 1999. V. 52. № 9. P. 30–35.
- Duran P., Villegas M., Capel F., Recio P., Moure C. Low temperature sintering and microstructural development of nano scale Y-TZP ceramics // J. Eur. Ceram. Soc. 1996. № 16. 945 p.
- Тихонов П.А., Кузнецов А.К., Кравчинская М.В. Прибор для измерения электронной и ионной проводимости окисных материалов // Заводская лаборатория. 1978. № 7. С. 837–838.
- Soler J.M., Artacho E., Gale J.D., Garcia A., Junquera J., Ordejon P., Sanchez-Portal D. The SIESTA method for ab initio order-N materials simulation // J. Phys. Condens. Matter. 2002. V. 14. № 11. P. 2745–2779.
- Калинина М.В., Дюскина Д.А., Хамова Т.В., Ефимова Л.Н., Шилова О.А.Синтез и исследование нанопорошков и керамики системы La2O3–SrO–Ni(Co,Fe)2O3 // Перспективные материалы. 2022. № 5. С. 49–57.
- Пальгуев С.Ф., Гильдерман В.К., Земцов В.И. Высокотемпературные оксидные электронные проводники для электрохимических устройств. М.: Наука, 1990. 197 с. ISBN 5-02-001490-7.
- Hammer B., Hansen L.B., Norskov J.K. Improved adsorption energetics theory perdew-Burke-Ernzerhof functional // Phys. Rev. B. 1999. V. 59. № 11. P. 7413–7421.
- Bull C.L., Gleeson D., Knight K.S. Determination of B-site ordering of metal perovskites La2CoMnO6 and La2NiMnO6 // J. Phys. Condens. Matter. 2003. V. 15. № 29. P. 4927–4936.
- Ярославцев И.Ю., Богданович Н.М., Вдовин Г.К., Демьяненко Т.А., Бронин Д.И., Исупова Л.А. Катоды на основе никелато-ферритов редкоземельных металлов, изготовленные с применением промышленного сырья для твердооксидных топливных элементов // Электрохимия. 2014. Т. 50. № 6. С. 611–617.
Supplementary files








