Электротранспортные и термические свойства твердых растворов NdBa1 – xMgxFeCo0.5Cu0.5O5 + δ (0.00 ≤ x ≤ 0.40)
- Авторы: Чижова Е.А.1, Клындюк А.И.1, Журавлева Я.Ю.1, Шевченко С.В.1
-
Учреждения:
- Белорусский государственный технологический университет
- Выпуск: Том 49, № 1 (2023)
- Страницы: 71-79
- Раздел: Статьи
- URL: https://medbiosci.ru/0132-6651/article/view/139313
- DOI: https://doi.org/10.31857/S0132665122600200
- EDN: https://elibrary.ru/CFQJKM
- ID: 139313
Цитировать
Полный текст
Аннотация
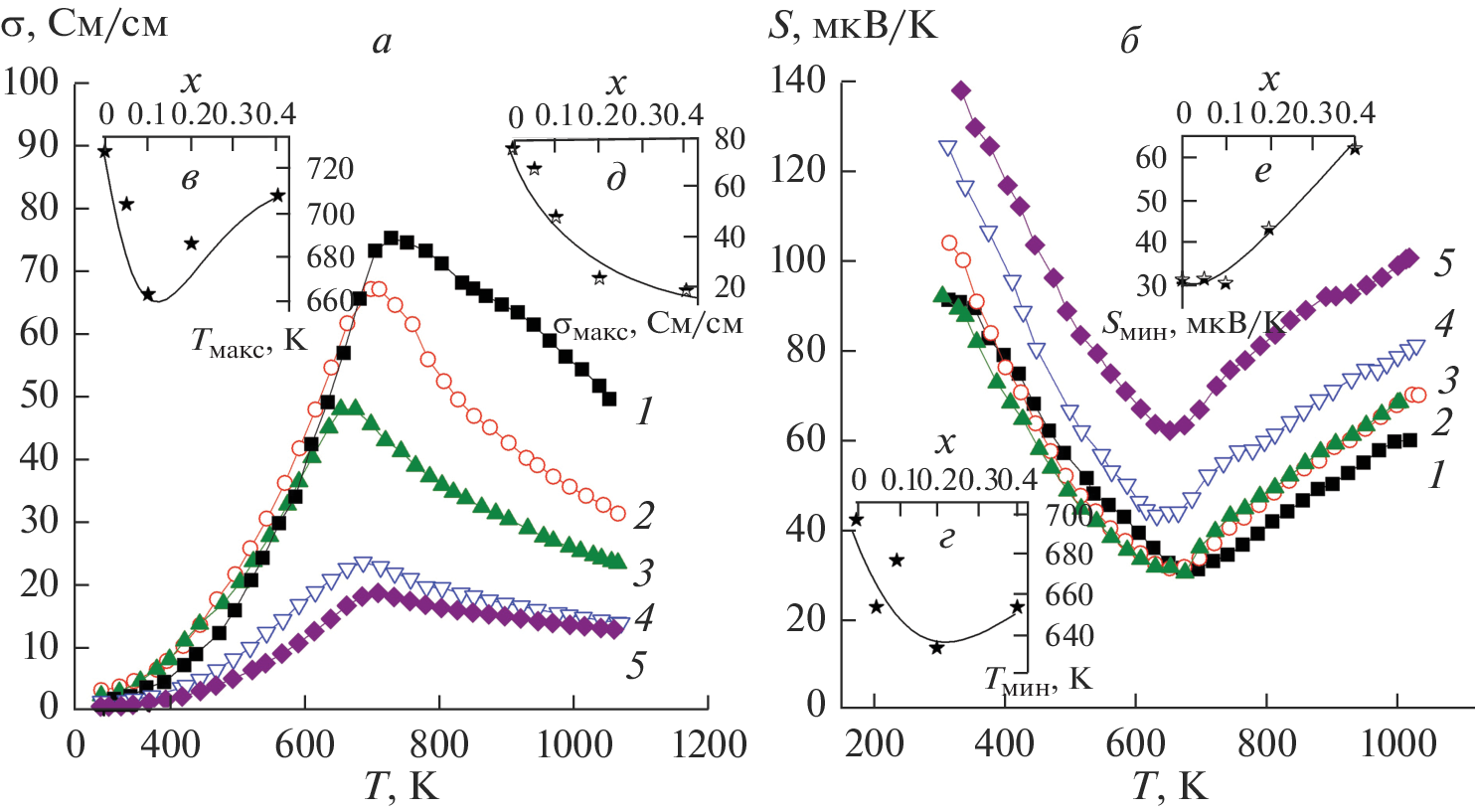
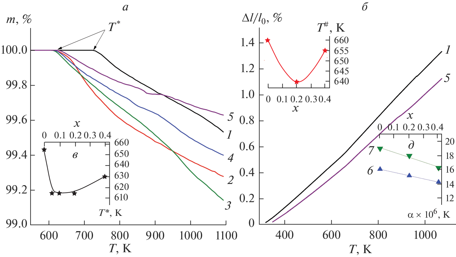
Керамическим методом синтезированы двойные перовскиты NdBa1 ‒ xMgxFe Co0.5Cu0.5O5 + δ (0.00 ≤ x ≤ 0.40), исследованы их структура, кислородная нестехиометрия (δ), термические и электротранспортные свойства. Соединения NdBa1 – xMgxFeCo0.5Cu0.5O5 + δ имеют тетрагональную структуру (пр. гр. симм. P4/mmm) и являются полупроводниками p-типа, характер электропроводности которых при повышенных температурах изменяется на металлоподобный ввиду выделения из образцов кислорода. Частичное замещение бария магнием в NdBaFeCo0.5Cu0.5O5 + δ приводит к уменьшению содержания кислорода в образующихся при этом твердых растворах, возрастанию размеров их элементарной ячейки и коэффициента термо-ЭДС, уменьшению термической стабильности, коэффициента линейного теплового расширения и электропроводности. Рассчитаны значения энергетики электропереноса, взвешенной подвижности и концентрации носителей заряда в изученных материалах.
Ключевые слова
Об авторах
Е. А. Чижова
Белорусский государственный технологический университет
Email: kai_17@rambler.ru
Республика Беларусь, 220006, Минск, ул. Свердлова, 13А
А. И. Клындюк
Белорусский государственный технологический университет
Email: kai_17@rambler.ru
Республика Беларусь, 220006, Минск, ул. Свердлова, 13А
Я. Ю. Журавлева
Белорусский государственный технологический университет
Email: kai_17@rambler.ru
Республика Беларусь, 220006, Минск, ул. Свердлова, 13А
С. В. Шевченко
Белорусский государственный технологический университет
Автор, ответственный за переписку.
Email: kai_17@rambler.ru
Республика Беларусь, 220006, Минск, ул. Свердлова, 13А
Список литературы
- Afroze S., Karim A.H., Cheok Q., Eriksson S., Azad A.K. Latest development of double perovskite electrode materials for solid oxide fuel cells: a review // Front. Energy. 2019. V. 13. V. 770–797.
- Tsvetkov D.S., Ivanov I.L., Malyshkin D.A., Sednev A.L., Sereda V.V., Zuev A.Yu. Double perovskites REBaCo2 – xMxO6 – δ (RE = La, Pr, Nd, Eu, Gd, Y; M = Fe, Mn) as energy-related materials: an overview // Pure Appl. Chem. 2019. V. 19. № 6. P. 923–940.
- Kaur P., Singh K. Review of perovskite-structure related cathode materials for solid oxide fuel cells // Ceram. Int. 2020. V. 46. P. 5521–5535.
- Истомин С.Я., Лысков Н.В., Мазо Г.Н., Антипов Е.В. Электродные материалы на основе сложных оксидов d-металлов для симметричных твердооксидных топливных элементов // Успехи химии. 2021. Т. 90. № 6. С. 644–676. [Istomin S.Ya., Lyskov N.V., Mazo G.N., Antipov E.V. Electrode materials based on complex d-metal oxides for symmetrical solid oxide fuel cells // Russ. Chem. Rev. 2021. V. 90. P. 644–676.]
- Klyndyuk A.I., Chizhova E.A., Kharytonau D.S., Medvedev D.A. Layered Oxygen-Deficient Double Perovskites as Promising Cathode Materials for Solid Oxide Fuel Cells // Materials. 2022. V. 15. № 1. P. 141.
- Klyndyuk A. Layered Perovskite-Like Oxides 0112 Type: Structure, Properties and Possible Applications. Advances in Chemistry Research. V. 5 / Ed. J.C. Taylor. N.Y.: Nova Science Publishers, 2010. P. 59–105.
- Kim J.-H., Manthiram A. Layered LnBaCo2O5 + δ oxides as cathodes for intermediate-temperature solid oxide fuel cell // J. Electrochem. Soc. 2008. V. 155. № 4. P. B385–B390.
- Kim J.-H., Manthiram A. Layered LnBaCo2O5+δ perovskite cathodes for solid oxide fuel cells: an overview and perspective // J. Mater. Chem. 2015. V. 3. P. 24195–24210.
- Lin Y., Jin F., Yang X., Nik B., Li Y., He T. YBaCo2O5 + δ-based double perovskite cathodes for intermediate-temperature solid oxide fuel cells with simultaneously improved structural stability and thermal expansion properties // Electrochim. Acta. 2019. V. 297. P. 344–354.
- Kharton V., Marques F., Atkinson A. Transport properties of solid oxide electrolyte ceramics: a brief review // Solid State Ionics. 2004. V. 174. P. 135–149.
- Xue J., Shen Y., He T. Performance of double-perovskite YBa0.5Sr0.5Co2O5 + δ as cathode material for intermediate-temperature solid oxide fuel cells // Int. J. Hydrog. Energy. 2011. V. 36. P. 6894–6898.
- Cherepanov V.A., Aksenova T.V., Gavrilova L.Y., Mikhaleva K.N. Structure, nonstoichiometry and thermal expansion of NdBa(Co,Fe)2O5 + δ layered perovskites // Solid State Ionics. 2011. V. 188. P. 53–57.
- Zhang S.-L., Chen K., Zhang A.-P., Li C.-X., Li C.-Y. Effect of Fe doping on the performance of suspension plasma-sprayed PrBa0.5Sr0.5Co2 – xFexO5 + δ cathodes for intermediate-temperature solid oxide fuel cells // Ceram. Int. 2017. V. 43. P. 11648–11655.
- Jin F., Li Y., Wang Y., Chu X., Xu M., Zhai Y., Zhang Y., Fang W., Zou P., He T. Evaluation of Fe and Mn co-doped layered perovskite PrBaCo2/3Fe2/3Mn2/3O5 + δ as a novel cathode for intermediate-temperature solid oxide fuel cells // Ceram. Int. 2018. V. 44. P. 22489–22496.
- Cordaro G., Donazzi A., Pelosato R., Mastropasqua L., Cristiani C., Sora I.N., Dotelli G. Structural and Electrochemical Characterization of NdBa1 – xCo2 – yFeyO5 + δ as cathode for Intermediate Temperature Solid Oxide Fuel Cells // J. Electrochem. Soc. 2020. V. 167. P. 024502.
- Klyndyuk A.I., Mosiałek M., Kharitonov D.S., Chizhova E.A., Zimovska M., Socha R., Komenda A. Structural and electrochemical characterization of YBa(Fe,Co,Cu)O5 + δ layered perovskites as cathode materials for solid oxide fuel cells // Int. J. Hydrog. Ehergy. 2021. V. 46. № 32. P. 16977–16988.
- Yao C., Yang J., Zhang H., Chen S., Lang X., Meng J., Cai K. Evaluation of A-site deficient PrBa0.5 ‒ xSr0.5Co2O5 + δ layered (x = 0, 0.04, and 0.08) as cathode materials for solid oxide fuel cells // J. Alloys Compd. 2021. V. 883. P. 160759.
- Yang Q., Tian D., Liu R., Wu H., Chan nY., Ding Y., Lu X., Lin B. Exploiting rare-earth-abundant layered perovskite cathodes of LnBa0.5Sr0.5Co1.5Fe0.5O5 + δ (Ln = La and Nd) for SOFC // Int. J. Hydrog. Energy. 2021. V. 46. № 7. P. 5630–5642.
- Klyndyuk A.I., Zhuravleva Ya.Yu., Gundilovich N.N. Crystal structure, thermal and electrotransport properties of NdBa1 – xSrxFeCo0.5Cu0.5O5 + δ (0.02 ≤ x ≤ 0.20) solid solutions // Chimica Techno Acta. 2021. V. 8. № 3. P. 20218301.
- Клындюк А.И., Чижова Е.А. Кристаллическая структура, тепловое расширение и электропроводность слоистых оксидов LnBa(Fe,Co,Cu)2O5 + δ (Ln = Nd, Sm, Gd) // Физ. хим. стекла. 2014. Т. 40. № 1. С. 158–163. [Klyndyuk A.I., Chizhova E.A. Crystal Structure, Thermal Expansion, and Electrical Properties of Layered LnBa(Fe,Co,Cu)2O5 + δ Oxides // Glass. Phys. Chem. 2014. V. 40. № 1. P. 124–128.]
- Urusova A.S., Cherepanov V.A., Aksenova T.V., Gavrilova L.Y., Kiselev E.A. Phase equilibria, crystal structure and oxygen content of intermediate phases in the Y–Ba–Co–O system // J. Solid State Chem. 2013. V. 202. P. 207–214.
- Клындюк А.И., Чижова Е.А. Структура, тепловое расширение и электрические свойства твердых растворов системы BiFeO3–NdMnO3 // Неорган. матер. 2015. Т. 51. № 3. С. 322–327. [Klyndyuk A.I., Chizhova E.A. Structure, Thermal Expansion, and Electrical Properties of BiFeO3–NdMnO3 Solid Solutions // Inorg. Mater. 2015. V. 51. № 3. P. 272–277.]
- Shannon R.D. Revised effective ionic radii and systematic studies of interatomic distances in halides and chalogenides // Acta Cryst. 1976. V. 32. P. 751–767.
- Atanassova Y.K., Popov V.N., Bogachev G.G., Iliev M.N., Mitros C., Psycharis V., Pissas M. Raman- and infrared active phonons in YBaCuFeO5: experimental and lattice dynamics // Phys Rev B. 1993. V. 47. P. 15201–15207.
- Мотт Н., Дэвис Э. Электронные процессы в некристаллических веществах. М.: Мир, 1982. 368 с. [Mott N., Davis E. Electronic processes in Non-Crystalline Materials. Oxford University Press, Oxford, 1979].
- Snyder G.J., Snyder A.H., Wood M., Gurunatham R., Snyder B.H., Niu C. Weighted Mobility // Adv. Mater. 2020. V. 35. P. 2001537.
Дополнительные файлы






