Field Tests of Protective Epoxy Coatings in a Humid Tropical Climate
- Authors: Kondratenko Y.A.1, Golubeva N.K.1, Kochina T.A.1, Nguyễn C.V.2, Shilova O.A.1
-
Affiliations:
- Grebenshchikov Institute of Silicate Chemistry, Russian Academy of Sciences
- Coastal Branch, Vietnam-Russia Tropical Center
- Issue: Vol 49, No 1 (2023)
- Pages: 80-88
- Section: Articles
- URL: https://medbiosci.ru/0132-6651/article/view/139315
- DOI: https://doi.org/10.31857/S0132665122600509
- EDN: https://elibrary.ru/CGISUD
- ID: 139315
Cite item
Full Text
Abstract
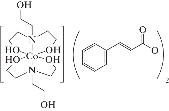
The results of a study of the resistance of protective coatings of three compositions to atmospheric corrosion in a humid tropical climate (SR Vietnam) are presented. The process of the biological fouling of coatings in the natural conditions of the South China Sea is studied. Coatings based on cycloaliphatic epoxy resin modified with epoxy rubber with fillers (mica-muscovite, TiO2) are chosen as the objects of research. To improve the anticorrosion and antifouling properties of the coatings, a triethanolamine complex with cobalt(II) cinnamate, which has a pronounced antimicrobial activity, is introduced into their composition.
About the authors
Yu. A. Kondratenko
Grebenshchikov Institute of Silicate Chemistry, Russian Academy of Sciences
Email: kondratencko.iulia@yandex.ru
199034, St. Petersburg, Russia
N. K. Golubeva
Grebenshchikov Institute of Silicate Chemistry, Russian Academy of Sciences
Email: kondratencko.iulia@yandex.ru
199034, St. Petersburg, Russia
T. A. Kochina
Grebenshchikov Institute of Silicate Chemistry, Russian Academy of Sciences
Email: kondratencko.iulia@yandex.ru
199034, St. Petersburg, Russia
Chi Văn Nguyễn
Coastal Branch, Vietnam-Russia Tropical Center
Email: kondratencko.iulia@yandex.ru
Nha Trang, Khanh Hoa, 650000, Vietnam
O. A. Shilova
Grebenshchikov Institute of Silicate Chemistry, Russian Academy of Sciences
Author for correspondence.
Email: kondratencko.iulia@yandex.ru
199034, St. Petersburg, Russia
References
- Lejars M., Margaillan A., Bressy C. Fouling Release Coatings: A Nontoxic Alternative to Biocidal Antifouling Coatings // Chem. Rev. 2012. V. 112. P. 4347–4390.
- Selim M.S., Shenashen M.A., El-Safty S.A., Sakai M., Higazy S.A., Selim M.M., Isago H., Elmarakbi A. Recent progress in marine foul-release polymeric nanocomposite coatings // Prog. Mater. Sci. 2017. V. 87. P. 1–32.
- Grozea C.M., Walker G.C. Approaches in designing non-toxic polymer surfaces to deter marine biofouling // Soft Matter. 2009. V. 5. P. 4088–4100.
- Lindholdt A., Dam-Johansen K., Olsen S.M., Yebra, D.M., Kiil, S. Effects of biofouling development on drag forces of hull coatings for ocean-going ships: A review. // J. Coat. Technol. Res. 2015. V. 12. P. 415–444.
- Hu P., Xie Q., Ma C., Zhang G. Silicone-based fouling-release coatings for marine antifouling // Langmuir. 2020. V. 36. P. 2170−2183.
- Liu C., Ma C., Xie Q., Zhang G. Self-repairing silicone coatings for marine anti-biofouling // J. Mater. Chem. A. 2017. V. 5. P. 15855–15861.
- Ильина М.А., Машляковский Л.Н., Дринберг А.С., Хомко Е.В., Гарабаджиу А.В. Кремнийсодержащие эпоксидные композиционные материалы и их применение в технологии судовых покрытий // ЖПХ. 2019. Т. 92. № 4. С. 491–503.
- Дринберг А.С., Козлов Г.В., Машляковкий Л.Н., Хомко Е.В., Тарасова И.Н., Карпов В.А. Разработка современных противообрастющих покрытий на основе эффективного комплекса биоцидов // Известия СПбГТИ(ТУ). 2018. № 46(72). С. 76–80.
- Бойнович Л.Б., Емельяненко А.М. Гидрофобные материалы и покрытия: принципы создания, свойства и применение // Успехи химии. 2008. Т. 77. № 7. С. 619–638.
- Уколов А.И., Попова Т.Н., Кулиш А.В. Влияние смачивания на обрастание поверхности защитного слоя // В сборнике: Актуальные проблемы биоразнообразия и природопользования. Материалы II Национальной научно-практической конференции, посвященной 20‑летию кафедры экологии моря ФГБОУ ВО “КГМТУ”. 2019. С. 649–654.
- Choi H., Song Y.K., Kim K.Y., Park J.M. Encapsulation of triethanolamine as organic corrosion inhibitor into nanoparticles and its active corrosion protection for steel sheets // Surface & Coatings Technology. 2012. V. 206. P. 2354–2362.
- Okeniyi J.O., Popoola A.P.I., Loto C.A. Corrosion-inhibition and compressive-strength performance of Phyllanthus muellerianus and triethanolamine on steel-reinforced concrete immersed in saline/marine simulating-environment // Energy Procedia. 2017. V. 119. P. 972–979.
- Okeniyi J.O., Ambrose I.J., Okpala S.O., Omoniyi O.M., Oladele I.O., Loto C.A., Popoola A.P.I. Probability density fittings of corrosion test-data: Implications on C6H15NO3 effectiveness on concrete steel-rebar corrosion // Sadhana. 2014. V. 39. P. 731–764.
- Okeniyi J.O., Popoola A.P.I., Loto C.A., Omotosho O.A., Okpala S.O., Ambrose I.J. Effect of NaNO2 and C6H15NO3 synergistic admixtures on steel-rebar corrosion in concrete immersed in aggressive environments // Adv. Mater. Sci. Eng. 2015. Article ID 540395. P. 1–11.
- Okeniyi J.O., Ambrose I.J., Oladele I.O., Loto C.A., Popoola P.A.I. Electrochemical performance of sodium dichromate partial replacement models by triethanolamine admixtures on steel-rebar corrosion in concretes // Int. J. Electrochem. Sci. 2013. V. 8. P. 10758–10771.
- Choi H., Kim K.Y., Park J.M. Encapsulation of aliphatic amines into nanoparticles for self-healing corrosion protection of steel sheets // Prog. Org. Coat. 2013. V. 76. P. 1316–1324.
- Raj R., Morozov Y., Calado L.M., Taryba M.G., Kahraman R., Shakoor R.A., Montemor M.F. Calcium carbonate particles loaded with triethanolamine and polyethylenimine for enhanced corrosion protection of epoxy coated steel // Corrosion Science. 2020. V. 167. Article ID 108548.
- Воронков М.Г., Барышок В.П. Атраны – новое поколение биологически активных веществ, используемых в медицине и сельском хозяйстве // Вест. Росс. акад. наук. 2010. Т. 80. № 11. С. 985–992.
- Kondratenko Y.A., Ugolkov V.L., Vlasov D.Y., Kochina T.A. Synthesis and characterization of triethanolamine complexes with cobalt(II) and zinc(II) cinnamates // Mendeleev Commun. 2020. V. 30. P. 639–641.
- Шилова О.А., Халаман В.В., Комендантов А.Ю., Кондратенко Ю.А., Ефимова Л.Н., Цветкова И.Н., Кочина Т.А. Исследование процесса биообрастания экологически безопасных лакокрасочных покрытий в естественных условиях Белого моря // Физика и химия стекла. 2021. Т. 47. № 2. С. 209–228.
- Кондратенко Ю.А., Голубева Н.К., Иванова А.Г., Уголков В.Л., Кочина Т.А., Шилова О. А. Улучшение физико-механических и антикоррозионных свойств покрытий на основе циклоалифатической эпоксидной матрицы // ЖПХ. (принята в печать).
Supplementary files







