Formation of Zn0.5Ni0.5Fe2O4 Nanocrystals in Conditions of Solution Combustion: Effect of the Type of Fuel on the Structure and Morphology
- Авторлар: Gavrilova M.A.1, Gavrilova D.A.1, Kondrashkova I.S.1, Krasilin A.A.1,2
-
Мекемелер:
- St. Petersburg State Technological Institute (Technical University), 190013, St. Petersburg, Russia
- Ioffe Institute, Russian Academy of Sciences, 194021, St. Petersburg, Russia
- Шығарылым: Том 49, № 4 (2023)
- Беттер: 459-470
- Бөлім: Articles
- URL: https://medbiosci.ru/0132-6651/article/view/139358
- DOI: https://doi.org/10.31857/S013266512260090X
- EDN: https://elibrary.ru/SGPCMI
- ID: 139358
Дәйексөз келтіру
Толық мәтін
Аннотация
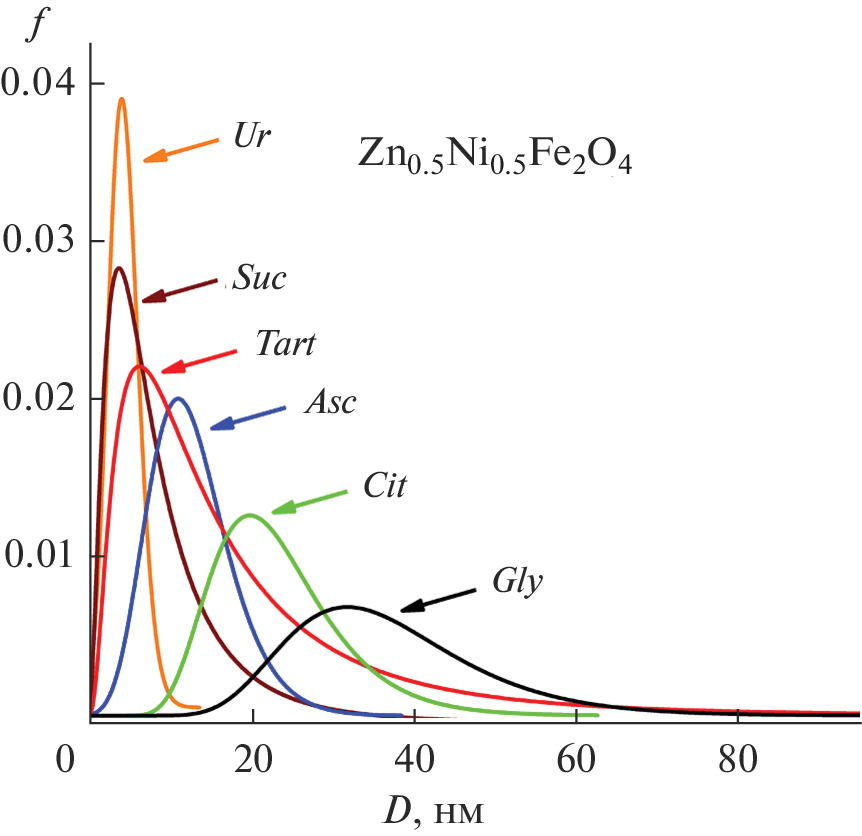
Nickel-zinc ferrites, which have pronounced ferrimagnetic and semiconductor properties, can be used as promising magnetically controlled photocatalysts for the purification of aqueous media from organic pollutants. The value of the specific surface area largely affects the photocatalytic properties of the material; therefore, the possibility of its control and variation at the stage of synthesis is of great scientific and technical interest. In this study, nanocrystalline ferrite of the Zn0.5Ni0.5Fe2O4 composition is obtained under conditions of solution combustion using various types of organic fuel as the main factor affecting the formation of the specific surface area, and subsequent heat treatment in air at a temperature of 500°C for 2 h. The crystal structure, chemical composition, and morphology of Zn0.5Ni0.5Fe2O4 are studied by methods of X‑ray phase analysis, X-ray spectral microanalysis, and scanning electron microscopy. The values of the specific surface area of the synthesized nanopowders are calculated based on the method of liquid-phase adsorption from a Methylene Blue solution and the low-temperature adsorption-desorption of nitrogen. The results of the X‑ray phase analysis show that a single-phase nanocrystalline product with a spinel structure is formed, where the average crystallite size varies within 11–23 nm and is inversely related to the value of the specific surface area, respectively, after the reaction with succinic acid (39.1 m2/g) and with glycine (20.2 m2/g). It is established that the choice of the fuel largely affects the formation of nanocrystals and the specific surface area of the samples, and the approach used makes it possible to control its values.
Негізгі сөздер
Авторлар туралы
M. Gavrilova
St. Petersburg State Technological Institute (Technical University), 190013, St. Petersburg, Russia
Email: amonrud@yandex.ru
Россия, 190013, Санкт-Петербург, Московский проспект, 26
D. Gavrilova
St. Petersburg State Technological Institute (Technical University), 190013, St. Petersburg, Russia
Email: amonrud@yandex.ru
Россия, 190013, Санкт-Петербург, Московский проспект, 26
I. Kondrashkova
St. Petersburg State Technological Institute (Technical University), 190013, St. Petersburg, Russia
Email: amonrud@yandex.ru
Россия, 190013, Санкт-Петербург, Московский проспект, 26
A. Krasilin
St. Petersburg State Technological Institute (Technical University), 190013, St. Petersburg, Russia; Ioffe Institute, Russian Academy of Sciences, 194021, St. Petersburg, Russia
Хат алмасуға жауапты Автор.
Email: amonrud@yandex.ru
Россия, 190013, Санкт-Петербург, Московский проспект, 26; Россия, 194021, Санкт-Петербург, Политехническая, 26
Әдебиет тізімі
- Martinson K.D., Kozyritskaya S.S., Panteleev I.B., Popkov V.I. Low coercivity microwave ceramics based on LiZnMn ferrite synthesized via glycine-nitrate combustion // Nanosystems Physics Chemistry Mathematics. 2019. V. 10. № 3. P. 313–317.
- Klumdoung P., Hassadee A., Pankaew P. Effect of nickel ferrite addition on characteristics of nanostructured nickel ferrite/hydroxyapatite ceramic // Materials Today: Proceedings. 2019. V. 17. P. 1752–1760.
- Hajarpour S., Honarbakhsh Raouf A., Gheisari K. Structural evolution and magnetic properties of nanocrystalline magnesium–zinc soft ferrites synthesized by glycine–nitrate combustion process // J. Magnetism and Magnetic Materials. 2014. V. 363. P. 21–25.
- Ombaka L.M., Dillert R., Robben L., Bahnemann D.W. Evaluating carbon dots as electron mediators in photochemical and photocatalytic processes of NiFe2O4 // APL Materials. 2020. V. 8. № 3. P. 031 105.
- Zulfiqar Ahmed M.N., Chandrasekhar K.B., Jahagirdar A.A., Nagabhushana H., Nagabhushana B.M. Photocatalytic activity of nanocrystalline ZnO, α-Fe2O3 and ZnFe2O4/ZnO // Applied Nanoscience. 2015. V. 5. № 8. P. 961–968.
- Suppuraj P., Parthiban S., Swaminathan M., Muthuvel I. Hydrothermal fabrication of ternary NrGO-TiO2/ZnFe2O4 nanocomposites for effective photocatalytic and fuel cell applications // Materials Today: Proceedings. 2019. V. 15. P. 429–437.
- Tsvetkov M.P., Milanova M.M., Cherkezova-Zheleva Z.P., Tsoncheva T.S., Zaharieva J.T., Abrashev M.V., Mitov I.G. Catalytic and photocatalytic properties of zinc–nickel ferrites // J. Chemical Sciences. 2021. V. 133. P. 24.
- Bohra M., Alman V., Arras R. Nanostructured ZnFe2O4: An exotic energy material // Nanomaterials. 2021. V. 11. № 5. P. 1286.
- Ashiq M.N., Naz F., Malana M.A., Gohar R.S., Ahmad Z. Role of Co–Cr substitution on the structural, electrical and magnetic properties of nickel nano-ferrites synthesized by the chemical co-precipitation method // Materials Research Bulletin. 2012. V. 47. № 3. P. 683–686.
- Sunny V., Kurian P., Mohanan P., Joy P.A., Anantharaman M.R. A flexible microwave absorber based on nickel ferrite nanocomposite // J. Alloys and Compounds. 2010. V. 489. № 1. P. 297–303.
- Ichiyanagi Y., Uehashi T., Yamada S. Magnetic properties of Ni–Zn ferrite nanoparticles // Physica Status Solidi C: Conferences. 2004. V. 1. № 12. P. 3485–3488.
- Wang Z., Wang J., Pan Y., Liu F., Lai Y., Li J., Jiang L. Preparation and characterization of a novel and recyclable InVO4/ZnFe2O4 composite for methylene blue removal by adsorption and visible-light photocatalytic degradation // Applied Surface Science. 2020. V. 501. P. 144006.
- Casbeer E., Sharma V.K., Li X.Z. Synthesis and photocatalytic activity of ferrites under visible light: A review // Separation and Purification Technology. 2012. V. 87. P. 1–14.
- Choudhary S., Bisht A., Mohapatra S. Microwave-assisted synthesis of α-Fe2O3/ZnFe2O4/ZnO ternary hybrid nanostructures for photocatalytic applications // Ceramics International. 2021. V. 47. № 3. P. 3833–3841.
- Mady A.H., Baynosa M.L., Tuma D., Shim J.J. Facile microwave-assisted green synthesis of Ag-ZnFe2O4@rGO nanocomposites for efficient removal of organic dyes under UV- and visible-light irradiation // Applied Catalysis B: Environmental. 2017. V. 203. P. 416–427.
- Passi M., Pal B. A review on CaTiO3 photocatalyst: Activity enhancement methods and photocatalytic applications // Powder Technology. 2021. V. 388. P. 274–304.
- Falak P., Hassanzadeh-Tabrizi S.A., Saffar-Teluri A. Synthesis, characterization, and magnetic properties of ZnO-ZnFe2O4 nanoparticles with high photocatalytic activity // J. Magnetism and Magnetic Materials. 2017. V. 441. P. 98–104.
- Kido Y., Nakanishi K., Kanamori K. Sol-gel synthesis of zinc ferrite-based xerogel monoliths with well-defined macropores // RSC Advances. 2013. V. 3. № 11. P. 3661–3666.
- Costa A.C.F.M., Fagury-Neto E., Morelli M.R., Kiminami R.H.G.A. Microwave synthesis of Ni–Zn ferrite powders // Materials Science Forum. 2003. V. 416–418. № 1. P. 705–710.
- Kumar S., Singh V., Aggarwal S., Mandal U.K., Kotnala R.K. Synthesis of nanocrystalline Ni0.5Zn0.5Fe2O4 ferrite and study of its magnetic behavior at different temperatures // Materials Science and Engineering B: Solid-State Materials for Advanced Technology. 2010. V. 166. № 1. P. 76–82.
- Hwang C.C., Tsai J.S., Huang T.H. Combustion synthesis of Ni–Zn ferrite by using glycine and metal nitrates – Investigations of precursor homogeneity, product reproducibility, and reaction mechanism // Materials Chemistry and Physics. 2005. V. 93. № 2–3. P. 330–336.
- Varma A., Mukasyan A.S., Rogachev A.S., Manukyan K.V. Solution Combustion Synthesis of Nanoscale Materials // Chemical Reviews. 2016. V. 116. № 23. P. 14493–14586.
- Tugova E.A., Karpov O.N. Glycine–nitrate combustion engineering of neodymium cobaltite nanocrystals // Rare Metals. 2021. V. 40. № 7. P. 1778–1784.
- Fan G., Gu Z., Yang L., Li F. Nanocrystalline zinc ferrite photocatalysts formed using the colloid mill and hydrothermal technique // Chemical Engineering J. 2009. V. 155. № 1–2. P. 534–541.
- Новиков В.А., Фирсова И.А. Влияние содержания восстановителя в реакции растворного синтеза горением на параметры горения и свойства получаемых продуктов // Современные материалы, техника и технологии. 2017. Т. 6. № 14. С. 93–99.
- Гаврилова Д.А., Гаврилова М.А., Кондрашкова И.С., Пантелеев И.Б. Влияние состава, структуры и морфологии нанокристаллов ZnхMn(1 – х)Fe2O4 на магнитные свойства // Огнеупоры и техническая керамика. 2021. № 11–12. С. 18–24.
- Akhtar M.N., Saleem M., Khan M.A. Al doped spinel and garnet nanostructured ferrites for microwave frequency C and X- band applications // J. Physics and Chemistry of Solids. 2018. V. 123. P. 260–265.
- Hegyesi N., Vad R.T., Pukanszky B. Determination of the specific surface area of layered silicates by methylene blue adsorption: The role of structure, pH and layer charge // Applied Clay Science. 2017. V. 146. P. 50–55.
- Лабораторные работы и задачи по коллоидной химии / Под ред. Ю.Г. Фролова, А.С. Гродского. М.: Химия, 1986. 216 с.
- Amulya M.A.S., Nagaswarupa H.P., Kumar M.R.A., Ravikumar C.R., Prashantha S.C., Kusuma K.B. Sonochemical synthesis of NiFe2O4 nanoparticles: Characterization and their photocatalytic and electrochemical applications // Applied Surface Science Advances. 2020. V. 1. P. 100023.
- Sonu, Sharma S., Dutta V., Raizada P., Hosseini-Bandegharaei A., Thakur V., Nguyen V.-H., Vanle Q., Singh P. An overview of heterojunctioned ZnFe2O4 photocatalyst for enhanced oxidative water purification // J. Environmental Chemical Engineering. 2021. V. 9. № 5. P. 105812.
Қосымша файлдар







