Mechanoactivation of Clinoptilolites with Sodium and Ammonium Hydrophosphates to Improve Their Electrophysical Properties
- Autores: Dabizha O.N.1, Soloboeva T.P.2, Khamova T.V.1, Shilova O.A.1
-
Afiliações:
- Grebenshchikov Institute of Silicate Chemistry, Russian Academy of Sciences
- Irkutsk State Transport University
- Edição: Volume 49, Nº 3 (2023)
- Páginas: 330-345
- Seção: Articles
- URL: https://medbiosci.ru/0132-6651/article/view/139370
- DOI: https://doi.org/10.31857/S0132665122600960
- EDN: https://elibrary.ru/SOLRYB
- ID: 139370
Citar
Texto integral
Resumo
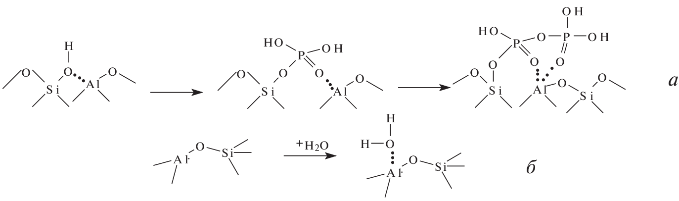
The mechanochemical activation of zeolite (clinoptilolite and clinoptilolite–stilbite) rocks with acidic salts—sodium hydrogen phosphate and ammonium hydrogen phosphate—with the weight ratio of the initial components of 1 : 1 in an IVS-4 vibratory attritor (1500 rpm, 0.6 kW, specific power 4 W/g, steel grinding set) is studied. The structure, chemical and phase composition, and thermal stability of salt-modified zeolite samples are studied by infrared spectroscopy, atomic emission spectrometry, X-ray phase analysis, and differential scanning calorimetry. The specific volume resistance of pelletized samples is measured using a three-electrode circuit. It is established that the electrical conductivity of high-silica zeolite rocks modified with sodium and ammonium hydrophosphates is 2.2 × 10–6 up to 2.4 × 10–5 S m–1 at 25°C. It is shown that the mechanochemical activation of clinoptilolite and clinoptilolite–stilbite rocks with sodium hydrogen phosphate in a vibratory attritor at a mechanical energy dose of 2.4 kJ/g increases the conductivity of mechanically activated zeolites by factors of 140 and 470 at 25°C, and by factors of 30 and 490 at 100°C, respectively. This allows us to consider mechanochemical activation as a promising method for improving the electrical properties of mineral materials.
Sobre autores
O. Dabizha
Grebenshchikov Institute of Silicate Chemistry, Russian Academy of Sciences
Email: dabiga75@mail.ru
199034, St. Petersburg, Russia
T. Soloboeva
Irkutsk State Transport University
Email: dabiga75@mail.ru
664074, Irkutsk, Russia
T. Khamova
Grebenshchikov Institute of Silicate Chemistry, Russian Academy of Sciences
Email: dabiga75@mail.ru
199034, St. Petersburg, Russia
O. Shilova
Grebenshchikov Institute of Silicate Chemistry, Russian Academy of Sciences
Autor responsável pela correspondência
Email: dabiga75@mail.ru
199034, St. Petersburg, Russia
Bibliografia
- Брек Д. Цеолитовые молекулярные сита / Пер. с англ. под ред. А.Л. Клячко [и др.]. М.: Мир, 1976. 390 с. (Breck, D.W. Zeolite-molecular sieves Structure, chemistry and use – N.Y., Wiley Intersciense publication, John Wiley & Sons, Inc.).
- Liu N., Li Y., Li J., Ouyang D., Wang W. Study on the removal of high contents of ammonium from piggery wastewater by clinoptilolite and the corresponding mechanisms // Open Chem. 2019. V. 17. № 1. P. 1393–1402.
- Patent 3736186 Current International Class H01M11/00. Separator and electrolyte material for solid electrolyte battery systems [Text] / Liang C.C.; applicant and patentee PR Mallory and Co Inc. № 15379471; assign. 1971-06-16; public. 1973-05-29. 2 p.
- Felice V., Tavares A.C. Faujasite zeolites as solid electrolyte for low temperature fuel cell // Solid State Ion. 2011. V. 194. Iss. 1. P. 53–61.
- Cura Ö., Ajjaq A., Çağırtekin A.O., Cavdar S., Acar S. Low-energy ball milling effect on the dielectric response and electrical transport mechanisms of natural clinoptilolite zeolites in a wide temperature range // Mater. Today Commun. 2021. V. 29. 102964.
- Дж. Рабо Химия цеолитов и катализ на цеолитах / Пер. с англ. под ред. Х.М. Миначева. М.: Мир, 1980. Т. 1. 506 с.
- Колесникова Л.Г., Ланкин С.В., Юрков В.В. Ионный перенос в клиноптилолите: монография. Благовещенск: Изд-во БГПУ, 2007. 113 с.
- Soulayman S.Sh., Sahakyan A.A., Nikogosyan S., Yunusova S.A. Specific electrical conductivity of Natural Syrian and Armenian Zeolites // Вестник РУДН. Серия МИФ. 2007. № 1–2. С. 147–154.
- Мороз Н.К., Сереткин Ю.В., Афанасьев И.С., Бакакин В.В. Строение и диффузионная подвижность внекаркасной подсистемы в гидратированных аммонийных формах цеолитов клиноптилолита и шабазита // Журн. структ. химии. 2002. Т. 43. № 4. С. 642–648.
- Ersoy B., Celik M.S. Electrokinetic properties of clinoptilolite with mono- and multivalent electrolytes // Microporous Mesoporous Mater. 2002. № 55. P. 305–312.
- Ozkan A., Sener A.G., Ucbeyiay H. Investigation of coagulation and electrokinetic behaviors of clinoptilolite suspension with multivalent cations // Sep. Sci. Technol. 2018. V. 53. № 5. P. 823–832.
- Евдокимова В.А., Ланкин С.В. Особенности электрических свойств природных цеолитов обогащенных нитратом висмута // Научно-технический вестник Поволжья. № 1. 2015. С. 14–18.
- Евдокимова В.А., Карацуба Л.П., Ланкин С.В. Влияние адсорбированных молекул 3,4-бензпирена на электропроводимость клиноптилолита и его ионозамещенных форм // Изв. Самар. науч. центра РАН. 2011. Т. 13. № 6. С. 77–81.
- Yeritsyan H., Sahakyan A., Nikoghosyan S., Harutiunian V., Gevorkyan V., Grigoryan N., Hakhverdyan E., Keheyan Y., Gevorgyan R., Sargisyan H. Dielectric properties and specific conductivity of armenian natural clinoptilolite irradiated by electrons // Cent. Eur. J. Phys. 2005. V. 3. № 4. P. 610–622
- Пономарева В.Г., Шутова Е.С. Среднетемпературные протонные проводники на основе СsH2PO4 и модифицированного диоксида кремния // Электрохимия. 2007. Т. 43. № 5. С. 547–553.
- Tzvetkov S.Ch., Stoytcheva M.S. Ammonia and phosphates removal from wastewater using clinoptilolite // Bulgarian Chemistry and Industry. 2005. V. 76. P. 34–37.
- Bohács K., Faitli J., Bokányi L., Mucsi G. Control of natural zeolite properties by mechanical activation in stirred media mill // Arch. Metall. Mater. 2017. V. 62. P. 1399–1406.
- Никашина, В.А., Стрелецкий А.Н., Колбанев И.В., Мешкова И.Н., Гринев В.Г., Серова И.Б., Юсупов Т.С., Шумская Л.Г. Влияние механической активации на свойства природных цеолитов // Неорг. матер. 2011. Т. 47. № 12. С. 1470–1475.
- Дабижа О.Н., Дербенева Т.В., Хамова Т.В., Шилова О.А. Механическая активация клиноптилолитов как регулятор их сорбционной активности // Неорг. матер. 2021. Т. 57. № 4. С. 419–428.
- Аристов Ю.И., Гордеева Л.Г. Адсорбенты “соль в пористой матрице”: дизайн фазового состава и сорбционных свойств // Кинетика и катализ. 2009. Т. 50. № 1. С. 72–79.
- Юсупов Т.С. Новые технологические решения переработки и использования минерального сырья на основе изменения структуры и свойств минералов // Технологическая минералогия, методы переработки минерального сырья и новые материалы: [сб. науч. статей по матер. IV Рос. семинара по технолог. минералогии] / Под ред. В.В. Щипцова. Петрозаводск: Карельский научный центр РАН, 2010. С. 23–27.
- Xue N., Chen X., Nie L., Guo X., Ding W., Chen Y., Gu M., Xie Z. Understanding the enhancement of catalytic performance for olefin cracking: Hydrothermally stable acids in P/HZSM-5 // J. Catal. 2007. V. 248. Iss. 1. P. 20–28.
- Schulman E., Wu W., Liu D. Two-Dimensional Zeolite Materials: Structural and Acidity Properties // Materials. 2020. V. 13. № 8. 1822.
- Ратько А.И., Иванец А.И., Кулак А.И., Морозов Е.А., Сахар И.О. Термическое разложение природного доломита // Неорг. матер. 2011. Т. 47. № 12. С. 1502–1507.
- Зонхоева Э.Л. Природные цеолиты Забайкалья: свойства и применение // Улан-Удэ: Изд-во БНЦ СО РАН, 2018. 192 с.
- Шелудякова Л.А., Афанасьева В.А., Подберезская Н.В., Миронов Ю.И. Спектрально-структурный анализ гидро-фосфатов и арсенатов натрия // Журн. структ. химии. 1999. Т. 40. № 6. С. 1074–1078.
Arquivos suplementares







