Cell Number Dynamics, Chlorophyll а Fluorescence Intensity, and Photosynthetic Pigment Content in Thalassiosira nordenskioeldii Cleve 1873 (Bacillariophyta) Exposed to Environmental Copper Pollution
- Authors: Markina Z.V.1, Podoba A.V.1, Orlova T.Y.1
-
Affiliations:
- Zhirmunsky National Scientific Center of Marine Biology, Far Eastern Branch, Russian Academy of Sciences
- Issue: Vol 50, No 4 (2024)
- Pages: 320-324
- Section: КРАТКИЕ СООБЩЕНИЯ
- Accepted: 24.11.2024
- Published: 24.11.2024
- URL: https://medbiosci.ru/0134-3475/article/view/271250
- DOI: https://doi.org/10.31857/S0134347524040071
- ID: 271250
Cite item
Full Text
Abstract
The effect of copper at concentrations of 10, 20, and 50 µg/L on population growth, chlorophyll a fluorescence, and content of photosynthetic pigments (chlorophyll a and carotenoids) of the diatom Thalassiosira nordenskioeldii was studied. It was shown that at metal concentrations of 10 and 20 µg/L, the cell number started to increase from the first days of the experiment and, by the end of the experiment, exceeded that in the control group 5.8- and 5.6-fold, respectively. The intensity of chlorophyll a fluorescence and the content of photosynthetic pigments under these conditions were higher than in control throughout the experiment. At a metal concentration of 50 µg/L, the growth of the cell population was inhibited at the beginning of the experiment; by the end of the experiment, the cell number exceeded that in control. The same pattern was recorded for the other parameter, too. Based on the obtained data, it is hypothesized that copper at the studied concentrations may contribute to the proliferation of T. nordenskioeldii in the natural environment.3
Full Text
Диатомовая водоросль Thalassiosira nordenskioeldii Cleve 1873 (Bacillariophyta) – доминирующий вид фитопланктона Японского моря. Его численность может достигать 400 кл./мл (Шевченко и др., 2020), составляя до 90% от общей численности фитопланктона в зимний период. В летнее время этот вид также может быть в числе субдоминирующих планктонных микроводорослей (Стоник, 2018; Шевченко и др., 2020). Массовое развитие T. nordenskioeldii отмечено и в других районах Мирового океана: в Белом (Ильяш и др., 2014), Южно-Китайском (Liu et al., 2021), Шотландском (Harris et al., 1995) и Северном (Muylaert, Sabbe, 1996) морях.
Известно, что T. nordenskioeldii массово развивается в водах, обогащенных нитратами (Ильяш и др., 2014). Снижение концентрации нитратов может быть результатом активного потребления этих соединений водорослями данного вида (Шевченко и др., 2020). Медь, относящаяся к жизненно необходимым для растения элементам, также оказывает стимулирующий эффект на рост популяций разных представителей микроводорослей (Miazek et al., 2015; Cavalletti et al., 2022; Maltsev et al., 2023). Этот металл содержится в прибрежных водах всех морей России и считается одним из основных загрязняющих элементов (Коршенко, 2021).
Для выяснения действия экологических факторов на микроводоросли традиционно изучают динамику численности клеток – интегральный показатель, отражающий происходящие в организмах микроводорослей процессы. Кроме того, эффект действия тяжелых металлов на микроводоросли часто определяется по изменению содержания фотосинтетических пигментов и интенсивности флуоресценции хлорофилла а (Miazek et al., 2015; Cavalletti et al., 2022).
Цель настоящей работы заключалась в оценке влияния меди на рост популяции, количество клеток в колониях, интенсивность флуоресценции хлорофилла а и содержание фотосинтетических пигментов у Thalassiosira nordenskioeldii.
Материал и методика. Объектом исследования служила клоновая культура диатомовой водоросли Thalassiosira nordenskioeldii (Bacillariophyta) из коллекции Морского биобанка ННЦМБ ДВО РАН – клон MBRU_Tnor22 (Коллекция живых микроорганизмов). Водоросль выращивали на среде f/2 (Guillard, Ryther, 1962), приготовленной на основе фильтрованной и стерилизованной морской воды соленостью 32‰, без добавления меди, в 250 мл колбах Эрленмейера с объемом культуральной среды 200 мл, при температуре 16±2°С, интенсивности освещения 2500 лк в области видимого света и свето-темновым периодом 14 ч свет : 10 ч темнота. В качестве инокулята использовали культуры на экспоненциальной стадии роста. Начальная концентрация клеток составляла 500 кл./мл.
Медь добавляли в виде CuSO4×5H2O в день постановки эксперимента, концентрации указаны в пересчете на ионы меди. Исследуемые концентрации составляли 10, 20 и 50 мкг/л. Выбор концентраций основан на содержании этого металла в прибрежных водах России. Предельно допустимая концентрация (ПДК) для меди составляет 5 мкг/л (Коршенко, 2021). Суспензию водоросли вводили в эксперимент без предварительной адаптации культуры к меди.
Продолжительность экспериментов составляла 14 сут. Пробы для подсчета численности клеток, количества клеток в цепочках и определения флуоресценции хлорофилла а отбирали на 0, 4, 7, 11 и 14 сут опыта, для определения содержания хлорофилла а и каротиноидов – на 0, 7 и 14 сут опыта. Подсчет численности клеток и количества клеток в цепочках проводили в камере Седвика-Рафтера. Интенсивность флуоресценции хлорофилла а регистрировали в 96-луночном планшете на мультимодальном планшетном ридере Spark 10 TM (Tecan, Швейцария) при длине волны 685 нм, длина волны возбуждения составляла 490 нм. Содержание хлорофилла а и каротиноидов определяли стандартным методом экстракции из клеток ацетоном с последующим измерением на мультимодальном планшетном ридере Spark 10 TM. Расчет концентрации пигментов проводили по известным формулам (Jeffrey, Humphrey, 1975).
Эксперименты проводили в трех биологических повторностях, данные выражали в процентах к контролю. За контроль (100%) принимали показатели, полученные на культуре без добавления меди. Статистическую обработку выполняли с помощью программы Excel.
Результаты и обсуждение. При концентрации меди 10 мкг/л численность клеток Thalassiosira nordenskioeldii на 4-е сутки опыта не отличалась от таковой в контроле (рис. 1а). На 7-е и 11-е сутки этот показатель превышал контроль соответственно в 3.1 и 3.0 раза, а на 14-е – в 5.8 раза. При внесении 20 мкг/л металла количество клеток уже на 4-е сутки превышало контрольное и впоследствии не отличалось от такового при 10 мкг/л. Увеличение концентрации меди до 50 мкг/л приводило к угнетению роста популяции микроводоросли на 4-е сутки. Впоследствии число клеток увеличивалось и на 11-е сутки соответствовало контрольному, однако было существенно меньше, чем при концентрациях меди 10 и 20 мкг/л.
Рис. 1. Влияние разных концентраций меди на численность клеток микроводоросли Thalassiosira nordenskioeldii (а) и флуоресценцию хлорофилла а в них (б).
В культуре T. nordenskioeldii преобладали одиночные клетки, доля которых возрастала к концу опыта как в контроле, так и при добавлении меди (табл. 1). Доля собранных в цепочки клеток, напротив, снижалась. При концентрации меди 50 мкг/л доля одиночных клеток на 14-е сутки была выше, чем в контроле и в остальных вариантах опыта.
Таблица 1. Доля (%) клеток Thalassiosira nordenskioeldii в цепочках в контроле и при воздействии разных концентраций меди
Сутки | Контроль | Концентрация меди, мкг/л | ||||||||||
10 | 20 | 50 | ||||||||||
1 | 2 | 3 | 1 | 2 | 3 | 1 | 2 | 3 | 1 | 2 | 3 | |
0 | 60.0 | 23.6 | 16.4 | 60.0 | 23.6 | 16.4 | 60.0 | 23.6 | 16.4 | 60.0 | 23.6 | 16.4 |
4 | 74.4 | 16.8 | 8.8 | 55.4 | 30.2 | 14.4 | 62.6 | 27.0 | 10.4 | 69.4 | 23.4 | 7.2 |
7 | 80.9 | 8.3 | 10.8 | 75.0 | 20.6 | 4.4 | 85.4 | 12.3 | 2.3 | 80.6 | 14.8 | 4.6 |
11 | 90.6 | 7.9 | 1.4 | 90.6 | 7.9 | 1.5 | 92.7 | 6.4 | 0.8 | 87.8 | 9.6 | 2.6 |
14 | 92.4 | 6.9 | 0.7 | 92.4 | 7.0 | 0.6 | 89.4 | 10.0 | 0.6 | 80.3 | 15.8 | 3.9 |
Примечание. 1 – одиночные клетки, 2 – цепочки из 2-х клеток, 3 – более длинные цепочки.
В присутствии 10 и 20 мкг/л меди флуоресценция хлорофилла а была существенно выше контрольной на всем протяжении опыта (рис. 1б). Медь в концентрации 50 мкг/л на 4-е сутки вызывала снижение этого показателя; в дальнейшем он увеличивался, но не достигал контрольного значения.
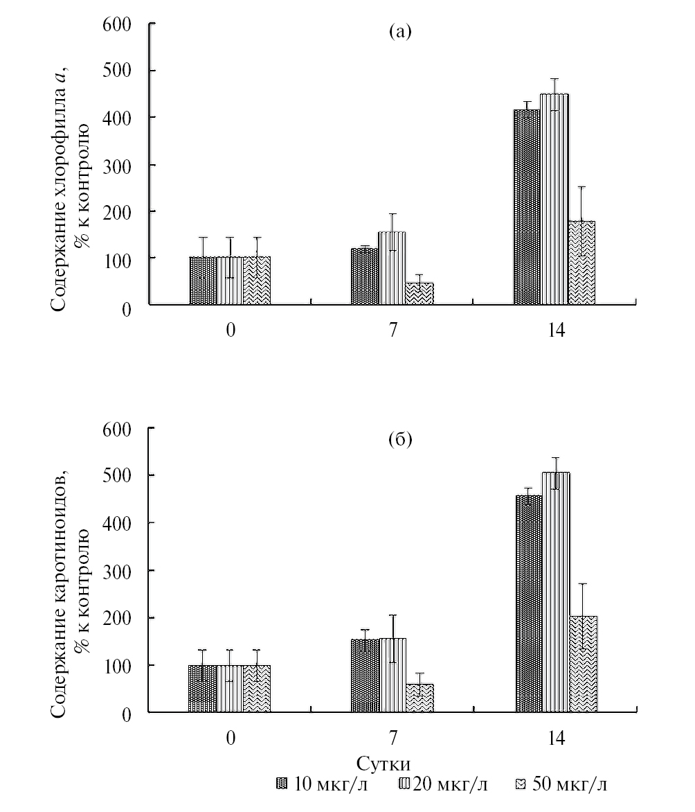
Содержание хлорофилла а и каротиноидов превышало контрольное при добавлении 10 и 20 мкг/л меди, особенно на 14-е сутки опыта (рис. 2). Наличие в среде 50 мкг/л вещества приводило к снижению содержания пигментов на 7-е сутки, а на 14-е превышало контрольное в два раза.
Рис. 2. Изменение содержания фотосинтетических пигментов хлорофилла а (а) и каротиноидов (б) в клетках Thalassiosira nordenskioeldii под воздействием меди.
Проведенный опыт подтвердил выраженный стимулирующий эффект меди, как на рост популяции T. nordenskioeldii, так и на работу фотосинтетического аппарата, особенно при концентрациях 10 и 20 мкг/л. Увеличение численности клеток, накопление в клетках фотосинтетических пигментов и увеличение флуоресценции хлорофилла а под воздействием меди ранее было отмечено у Thallasiosira pseudonana (Wang et al., 2021). У рафидофитовой водоросли Heterosigma akashiwo, содержавшейся в среде с добавлением 10 мкг/л меди, наблюдался более интенсивный рост чем в контроле, а при 20 и 50 мкг/л происходило его ингибирование (Маркина, 2021).
Необходимо отметить, что флуоресценция хлорофилла а на клетку водоросли была ниже при воздействии всех концентраций меди, за исключением концентрации 10 и 20 мкг/л вещества на 4-е сутки опыта (табл. 2). Такое явление свидетельствует о токсическом воздействии металла. Например, при внесении 35.5 мкг/л металла квантовый выход флуоресценции хлорофилла а у Thalassiosira weisfloggi снижался на фоне ингибирования роста клеток и содержания хлорофилла а, не отличавшегося от контрольного (Акимов и др., 2023).
Таблица 2. Динамика интенсивности флуоресценции (относительные единицы) на клетку Thallasiosira nordenskioeldii в контроле и при воздействии разных концентраций меди (мкг/л)
Сутки | Контроль | 10 | 20 | 50 |
0 | 0.70±0.11 | 0.70±0.11 | 0.70±0.11 | 0.70±0.11 |
4 | 0.72±0.11 | 0.88±0.20 | 0.78±0.21 | 0.50±0.14 |
7 | 0.99±0.17 | 0.70±0.18 | 0.56±0.10 | 0.47±0.07 |
11 | 0.56±0.12 | 0.48±0.06 | 0.51±0.13 | 0.31±0.05 |
14 | 0.85±0.16 | 0.40±0.04 | 0.28±0.06 | 0.40±0.06 |
В целом, медь в изученных концентрациях оказывала на диатомовые водоросли ингибирующий эффект чаще, чем стимулирующий (Miazek et al., 2015; Cavalletti et al., 2022). По-видимому, у T. nordenskioeldii существуют способы детоксикации меди и использования ее для роста. Например, у диатомеи Skeletonema costatum отмечено депонирование этого металла в вакуолях (Cavalletti et al., 2022). У разных представителей рода Thalassiosira в среде, загрязненной медью, зарегистрирован более интенсивный синтез белков и полисахаридов, предназначенных для связывания с металлами и последующей экскреции их из клетки (Miazek et al., 2015). Еще одним механизмом детоксикации тяжелых металлов является усиление синтеза фитохелатинов в токсической среде, как это отмечалось у T. nordenskioeldii в присутствии кадмия (Wang, Wang, 2008).
Таким образом, в изученных концентрациях медь оказывала выраженный стимулирующий эффект как на рост популяции T. nordenskioeldii, так и на синтез фотосинтетических пигментов и флуоресценцию хлорофилла а. В загрязненной медью среде при подавлении роста сопутствующих видов фитопланктонного сообщества T. nordenskioeldii может получить конкурентное преимущество и достичь более высокой концентрации. Следовательно, медь может способствовать “цветению” этой микроводоросли.
БЛАГОДАРНОСТИ
Авторы благодарны ресурсному центру “Морской биобанк” ННЦМБ ДВО РАН (http://marbank.dvo.ru) за предоставленную культуру Thalassiosira nordenskioeldii и возможность пользоваться мультимодальным планшетным ридером Spark 10 TM.
ФИНАНСИРОВАНИЕ РАБОТЫ
Работа выполнена при финансовой поддержке гранта Российского научного фонда (проект № 21-74-30004).
СОБЛЮДЕНИЕ ЭТИЧЕСКИХ СТАНДАРТОВ
В данной работе отсутствуют эксперименты с людьми или животными.
КОНФЛИКТ ИНТЕРЕСОВ
Авторы заявляют, что у них нет конфликта интересов.
About the authors
Zh. V. Markina
Zhirmunsky National Scientific Center of Marine Biology, Far Eastern Branch, Russian Academy of Sciences
Author for correspondence.
Email: zhannav@mail.ru
ORCID iD: 0000-0001-7135-1375
Russian Federation, Vladivostok, 690041
A. V. Podoba
Zhirmunsky National Scientific Center of Marine Biology, Far Eastern Branch, Russian Academy of Sciences
Email: zhannav@mail.ru
ORCID iD: 0009-0007-4783-3471
Russian Federation, Vladivostok, 690041
T. Yu. Orlova
Zhirmunsky National Scientific Center of Marine Biology, Far Eastern Branch, Russian Academy of Sciences
Email: zhannav@mail.ru
ORCID iD: 0000-0002-5246-6967
Russian Federation, Vladivostok, 690041
References
- Акимов А.И., Соломонова Е.С., Шоман Н.Ю., Рылькова О.А. Сравнительная оценка влияния наночастиц оксида меди и сульфата меди на структурно-функциональные характеристики Thalassiosira weissflogii в условиях накопительного культивирования // Физиол. раст. 2023. T. 70. № 5. С. 494–505.
- Ильяш Л.В., Радченко И.Г., Шевченко В.П. и др. Контрастные сообщества летнего фитопланктона в стратифицированных и перемешанных водах Белого моря // Океанология. 2014. Т. 54. № 6. С. 781–781.
- Коршенко А.Н. Качество морских вод по гидрохимическим показателям. Ежегодник 2020. М.: Наука, 2021. 281 с.
- Маркина Ж.В. Ультраструктура и автотрофная функция клеток рафидофитовой микроводоросли Heterosigma akashiwo (Y. Hada) Y. Hada ex Y. Hara and M. Chihara, 1987 в загрязненной медью среде // Биол. моря. 2021. Т. 47. № 3. С. 196–201.
- Стоник И.В. Качественный и количественный состав фитопланктона бухты Золотой Рог Японского моря // Изв. ТИНРО. 2018. Т. 194. С. 167–174.
- Шевченко О.Г., Шульгина М.А., Шулькин В.М., Тевс К.О. Многолетняя динамика и морфология диатомовой водоросли Thalassiosira nordenskioeldii Cleve, 1873 (Bacillariophyta) в прибрежных водах залива Петра Великого Японского моря // Биол. моря. 2020. Т. 46. № 4. С. 277–284.
- Cavalletti E., Romano G., Palma Esposito F. et al. Copper effect on microalgae: toxicity and bioremediation strategies // Toxics. 2022. V. 10. № 9. P. 527.
- https://doi.org/10.3390/toxics10090527
- Guillard R.R.L., Ryther J.H. Studies of marine planktonic diatoms. 1. Cyclotella nana Hustedt and Detonula confervacea (Cleve) Gran. // Can. J. Microbiol. 1962. V. 8. № 2. P. 229–239.
- Harris A.S.D., Medlin L.K., Lewis J. et al. Thalassiosira species (Bacillariophyceae) from a Scottish sea-loch // Eur. J. Phycol. 1995. V. 30. № 2. P. 117–131.
- Jeffrey S.T., Humphrey G.F. New spectrophotometric equations for determining chlorophylls a, b, c1 and c2 in higher plants, algae and natural phytoplankton // Biochemie und Physiologie der Pflanzen. 1975. V. 167. № 2. Р. 191–194.
- Liu K., Liu S., Chen Y. et al. Complete mitochondrial genome of the harmful algal bloom species Thalassiosira nordenskioeldii (Mediophyceae, Bacillariophyta) from the East China Sea // Mitochondrial DNA. Part B. 2021. V. 6. № 4. P. 1421–1423.
- Muylaert K., Sabbe K. The diatom genus Thalassiosira (Bacillariophyta) in the estuaries of the Schelde (Belgium/The Netherlands) and the Elbe (Germany) // Bot. Mar. 1996. V. 39. № 1-6. P. 103–116.
- Maltsev Y., Maltseva S., Kulikovskiy M. Toxic effect of copper on soil microalgae: experimental data and critical review // Int. J. Environ. Sci. Technol. 2023. V. 20. P. 10903–10920.
- Miazek K., Iwanek W., Remacle C. et al. Effect of metals, metalloids and metallic nanoparticles on microalgae growth and industrial products biosynthesis: a review // Int. J. Mol. Sci. 2015. V. 16. № 10. P. 23929–23969.
- Wang X., Cao W., Du H. et al. Increasing temperature alters the effects of extracellular copper on Thalassiosira pseudonana physiology and transcription // J. Mar. Sci. Eng. 2021. V. 9. № 8. art. ID 816.
- https://doi.org/10.3390/jmse9080816
- Wang M.J., Wang W.X. Temperature-dependent sensitivity of a marine diatom to cadmium stress explained by subcellular distribution and thiol synthesis // Environ. Sci. Technol. 2008. V. 42. № 22. P. 8603–8608.
Supplementary files




