Development of a Complex Catalyst to Accelerate the Curing of Urea Melamine Formaldehyde Resin
- Authors: Istomin A.M.1, Bakunin E.S.1, Rukhov A.V.1, Istomina V.I.1, Zhabkina I.A.1, Goncharova M.S.1
-
Affiliations:
- Tambov State Technical University
- Issue: Vol 30, No 1 (2024)
- Pages: 130-138
- Section: Chemical Engineering and Related Industries. Chemistr
- URL: https://medbiosci.ru/0136-5835/article/view/278728
- DOI: https://doi.org/10.17277/vestnik.2024.01.pp.130-138
- ID: 278728
Cite item
Full Text
Abstract
A composite (complex) hardener based on urea oxalate and ammonium peroxodisulfate has been developed to accelerate the polycondensation reaction of oligomer chains of urea-melamine-formaldehyde resins, as well as to reduce the gelatinization (curing) time of binder adhesive compositions in the production of wood-based materials. The formulation of the additive, possible mechanisms of reactions of polycondensation of oligomers and the production of a hardener are presented. The mechanism of action of the additive and its influence on the general technical characteristics of the resin are considered. The dependence of the resin gelatinization time on the hardener content is given.
Full Text
Введение
В настоящее время в Российской Федерации сформировалась развитая подотрасль производства древесных плит. За период с 2001 по 2016 гг. производство древесностружечных плит (ДСП) выросло с 2482 до 7400 тыс. м3. В целом заявленные новые мощности по производству ориентированно-стружечных плит (ОСП) до 2024 г. составляют 3,9 млн м3/год. За период с 2001 по 2016 гг. среднегодовые темпы роста выпуска плит ДСП составили 7,6 %, а плит ОСП – 19,1 % [1 – 4], что говорит об интенсивном развитии производства древесных плит.
Увеличение объемов производства древесных плит сопровождалось расширением их ассортимента. В больших объемах изготавливаются ДСП с улучшенными и специальными свойствами, такими как ДСП общего назначения типа Р2 пониженной токсичности класса эмиссии формальдегида Е0,5 [5, 6] и влагостойкие ДСП типа Р3, Р5, Р7 [5, 7]. Для их производства активно используются меламинокарбамидоформальдегидные смолы (МКФС).
Подобное увеличение спроса связано с широким развитием строительной отрасли и производства мебели, в которых используются ОСП, фанера и т.д.
По отношению к другим древесным пропиточным смолам, например, карбамидоформальдегидным смолам (КФС), МКФС обеспечивают повышенную влаго- и атмосферную стойкость, но имеют довольно низкую скорость отверждения на стадии горячего прессования плит, что снижает производительность [8].
Следовательно, проблемы медленной поликонденсации смол МКФС являются достаточно актуальными для предприятий деревообрабатывающей отрасли.
Подбор отвердителя
Сегодня на большинстве предприятий в качестве стандартных отвердителей применяется хлорид аммония NH4Cl или сульфат аммония (NH4)2SO4, однако эффективность данных отвердителей невысокая, также наблюдаются экологические проблемы при их применении [2, 9, 10].
Представленный в исследовании отвердитель рекомендован для применения вместо стандартных отвердителей, добавляемых на производстве древесностружечных плит перед отверждением, вместо стандартных отвердителей NH4Cl или (NH4)2SO4.
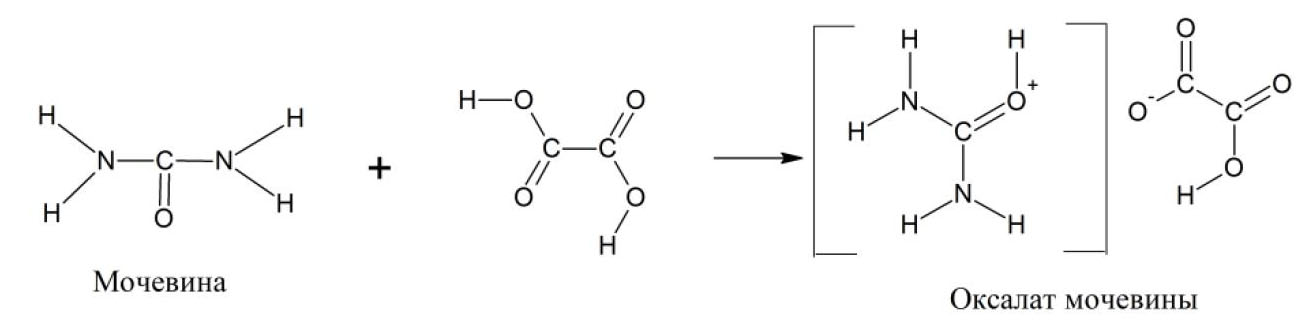
Реакция образования оксалата мочевины представлена на рис. 1.
Образование оксалата мочевины происходит за счет взаимодействия с одной карбоксильной группой щавелевой кислоты, так как мочевина является слабым основанием и может взаимодействовать лишь с одним эквивалентом кислоты.
Предположительный механизм действия добавки основан на анализе строения молекул мономеров карбамидомеламиноформальдегидной смолы КМФ-К. Для щавелевой кислоты константы диссоциации по 1-й и 2-й ступеням соответственно равны K1 = 5,62∙10–2 и K2 = 5,37∙10–5 [11].
Щавелевая кислота является одной из сильнейших органических кислот, поэтому, несмотря на ее плохую растворимость, даже малые концентрации будут приводить к резкому снижению рН, и затем к нарушению сроков хранения КМФ смолы. При переводе щавелевой кислоты мочевиной в форму оксалата ее карбоксильная группа инактивируется молекулой мочевины и резкого падения рН не происходит. Присоединенная молекула мочевины также оказывает положительное влияние на реологические характеристики смолы, в результате взаимодействия функциональной группы мочевины и мономера КМФ смолы усиливается пластифицирующее действие, что приводит к сохранению оптимальной текучести смолы с отвердителем в течение времени. При температурном отверждении происходит растворение остатка оксалата и выделяется кислота за счет гидролиза его молекулы, по аналогии с моноуреидом фталевой кислоты [12, 13], щавелевая кислота за счет своей силы резко понижает рН и увеличивает скорость реакции поликонденсации олигомеров. Оксалат мочевины C4H10N4O6 применяют в качестве вспенивающего агента. Данное свойство полезно при производстве древесностружечных плит, так как увеличивает удельную поверхность контакта смолы со стружками и прочность склеенных плит. Второй компонент композиционной добавки – персульфат аммония (NH4)2S2O8, который является латентным катализатором отверждения, взаимодействующим с выделяющимся формальдегидом с образованием муравьиной кислоты. Данный компонент выбран из-за наиболее высокого показателя кислотности его кислотного остатка, следовательно, диссоциация происходит более полно, и по закону Гульдберга–Вааге возрастает концентрация вещества, взаимодействующего с формальдегидом подобно реакции на рис. 2 [14].
Предположительный механизм реакций поликонденсации олигомеров представлен на рис. 3, а, б [15 – 18].
Рис. 1. Реакция получения оксалата мочевины
Рис. 2. Взаимодействие хлорида аммония с формальдегидом
Рис. 3. Реакция поликонденсации по электрофильному механизму (а) и бимолекулярного нуклеофильного замещения (б)
Для приготовления добавки оксалата мочевины использовали реакцию между 20%-м насыщенным раствором щавелевой кислоты, который готовят при температуре 45 °С, и 40%-м водным раствором мочевины при температуре 25 °С. В результате взаимодействия образуется плохо растворимый в воде осадок, отделяемый фильтрованием, вследствие его сжимаемости. Одним из преимуществ данной добавки является доступное и недорогое сырье для ее получения.
Исследования проводились по методике полного двухфакторного двухуровневого эксперимента 22 [19, 20]. После получения данных проведен глубокий регрессионный анализ, и получена зависимость времени желатинизации от влияния двух факторов (веществ). Анализ экспериментальных данных, представленных в табл. 1, и расчет проводились с использованием программной среды Maple 14 [21]. Графики зависимостей времени желатинизации от концентраций компонентов представлены на рис. 4. Зависимости точно отражают реальный процесс, что подтверждается рассчитанным значением критерия Фишера, стандартное отклонение составляет 1,29. Проведя оценку значимости коэффициентов регрессии, сделаны выводы, что коэффициент, который характеризует взаимное влияние факторов (концентраций веществ) свойства продукта, незначителен. Следовательно, добавки действуют независимо друг от друга, и усиления или ослабления действия веществ по суперпозиционному или синергетическому закону не происходит.
Таблица 1
Зависимость между входными параметрами и значениями отклика
Номер | Массовые доли | pH | Время желатинизации, с | ||||
Номер эксперимента | Среднее | ||||||
(NH4)2S2O8 | C4H10N4O6 | 1 | 2 | 3 | |||
I | 1 | 1 | 7 | 75 | 74 | 74 | 74,3 |
II | 2 | 2 | 6 | 52 | 51 | 53 | 52 |
III | 1,5 | 1,5 | 6 | 67 | 64 | 63 | 64,67 |
IV | 1 | 2 | 6 | 68 | 65 | 63 | 65,33 |
V | 2 | 1 | 6.5 | 64 | 61 | 60 | 61,67 |
Рис. 4. Зависимости времени желатинизации от концентрации компонента персульфата аммония: а – оксалата мочевины, б – персульфата аммония
Заключение
Персульфат аммония работает за счет реакции с формальдегидом как латентный катализатор. Оксалат мочевины действует за счет прямого снижения рН.
Параметр условной вязкости сохраняется в пределах нормы несколько часов, поэтому данная добавка рекомендована к использованию непосредственно перед применением, так как в течение этого времени смола имеет удовлетворительную вязкость при снижении времени желатинизации на 25 с.
Исследуя данные построенных зависимостей и эксперимента, для использования рекомендована добавка состава V, которая содержит 2 масс. ед. персульфата аммония (NH4)2S2O8, 1 масс. ед. оксалата мочевины C4H10N4O6. Также возможно применение добавки состава II с содержанием 2-х масс. ед. (NH4)2S2O8 и 2-х масс. ед. оксалата мочевины.
About the authors
A. M. Istomin
Tambov State Technical University
Author for correspondence.
Email: andrewerer@mail.ru
аспирант кафедры «Химия и химические технологии»
Russian Federation, TambovE. S. Bakunin
Tambov State Technical University
Email: andrewerer@mail.ru
кандидат технических наук, доцент кафедры «Химия и химические технологии»
Russian Federation, TambovA. V. Rukhov
Tambov State Technical University
Email: andrewerer@mail.ru
доктор технических наук, профессор, заведующий кафедрой «Химия и химические технологии»
Russian Federation, TambovV. I. Istomina
Tambov State Technical University
Email: andrewerer@mail.ru
студент
Russian Federation, TambovI. A. Zhabkina
Tambov State Technical University
Email: andrewerer@mail.ru
аспирант кафедры «Химия и химические технологии»
Russian Federation, TambovM. S. Goncharova
Tambov State Technical University
Email: andrewerer@mail.ru
студент
Russian Federation, TambovReferences
- Sokolova E.G. PhD of Candidate’s thesis (Eng.), St. Petersburg, 2011, 150 p. (In Russ.)
- Merkulova A.F., Vasilev V.V., Vyunkov S.N. [Application of composite hardeners for speed up the polycondensation process urea-melamine-formaldehyde resins], Aktualnye napravleniya nauchnyh issledovanij XXI veka: teoriya i praktika [Actual directions of scientific research of the XXI century: science and practice], 2018, no. 3, pp. 300-306. (In Russ., abstract in Eng.)
- Perminova D.A., Malkov V.S., Knyazev A.S., Dahnavi E.M. [Development of modification technology urea-melamine-formaldehyde resins], Vestnik tehnologicheskogo universiteta [Bulletin of the Technological University], 2015, no. 1, pp. 159-162. (In Russ., abstract in Eng.)
- Shalashov A.P.; Leonovich A.A. (Ed.). Trudy 20 Mezhdunarodnoj nauchno-prakticheskoj konferencii [Wood-based panels: theory and practice: Proceedings of the 20th International Scientific and Practical Conference], 15-16 March, 2017, St. Petersburg, 2017, pp. 6-11. (In Russ.)
- https://www.merani.ru/press-tsentr/stati/1089/ (accessed 01 June 2023).
- https://docs.cntd.ru/document/1200110850 (accessed 01 June 2023).
- https://docs.cntd.ru/document/1200110850 (accessed 01 June 2023).
- https://www.polypark.ru/catalog/polyester-resins/category_plastifikator/ (accessed 01 June 2023).
- Vahnina T.N., Titunin A.A., Fedotov A.A., Susoeva I.V. [Effect of modifiers on curing time phenol-formaldehyde binder for plywood pressing at low temperature], Lesotehnicheskij zhurnal [Forest-technical journal], 2019, no. 4, pp. 99-108. (In Russ., abstract in Eng.)
- Varankina G.S., Rusakov D.S., Chubinskij A.N. [Bonding plywood with modified adhesives], Sistemy. Metody. Tehnologii [Systems. Methods. Technology.], 2015, no.4, pp. 133-137. (In Russ., abstract in Eng.)
- https://www.chemequ.ru/справочники/константы_диссоциации_кислот/ (accessed 01 June 2023).
- https://www.huafumelamine.com/ru/china-urea-formaldehyde-resin/ (accessed 01 June 2023).
- Doronin Yu.G, Svitkina M.M., Miroshnichenko S.N. Sinteticheskie smoly v derevoobrabotke: Spravochnik [Synthetic resins in woodworking. Directory], Moscow, Lesnaya promyshlennost', 1979, 220 р. (In Russ.)
- Virshpa Z, Bzhezin'skij Ya. Aminoplasty [Amino resins], translated by I.V. Holodova, Moscow: Himiya, 1973, 343 p. (In Russ.)
- https://chem21.info/info/309288/ (accessed 01 June 2023).
- https://cyberleninka.ru/article/n/mehanizm-polucheniya-melaminoformaldegidnyh-i-karbamidomelaminoformaldegidnyh-smol (accessed 01 June 2023).
- https://studref.com/539614/matematika_himiya_fizik/mehanizmy_reaktsiy_nukleofilnogo_zamescheniya (accessed 01 June 2023).
- https://himija-online.ru/organicheskaya-ximiya/fenol/fenolformaldegidnye-smoly.html (accessed 01 June 2023).
- Konoplenko E.I., Horeeva N.K., Lapus' A.P Planirovanie eksperimenta: metodicheskie ukazaniya dlya studentov [Planning an experiment: guidelines for students], Moscow, MGUPP, 2011, 41 p. (In Russ.)
- Kuznecova E.V. Matematicheskoe planirovanie eksperimenta: uchebno-metod. posobie [Mathematical planning of experiment. Educational and methodological manual], Perm’, Permskij gosudarstvennyj tekhnicheskij universitet, 2011, 35 p. (In Russ.)
- http://old.exponenta.ru/soft/Maple/tour/3/3.asp (accessed 01 June 2023).
Supplementary files






