Мониторинг сенокосных полей по геоботаническим, наземным спектрометрическим и спутниковым данным
- Авторы: Ботвич И.Ю.1, Кононова Н.А.1, Емельянов Д.В.1, Письман Т.И.1
-
Учреждения:
- Институт биофизики СО РАН
- Выпуск: № 2 (2023)
- Страницы: 43-53
- Раздел: ИСПОЛЬЗОВАНИЕ КОСМИЧЕСКОЙ ИНФОРМАЦИИ О ЗЕМЛЕ
- URL: https://medbiosci.ru/0205-9614/article/view/136977
- DOI: https://doi.org/10.31857/S0205961423010037
- EDN: https://elibrary.ru/MLOLYA
- ID: 136977
Цитировать
Полный текст
Аннотация
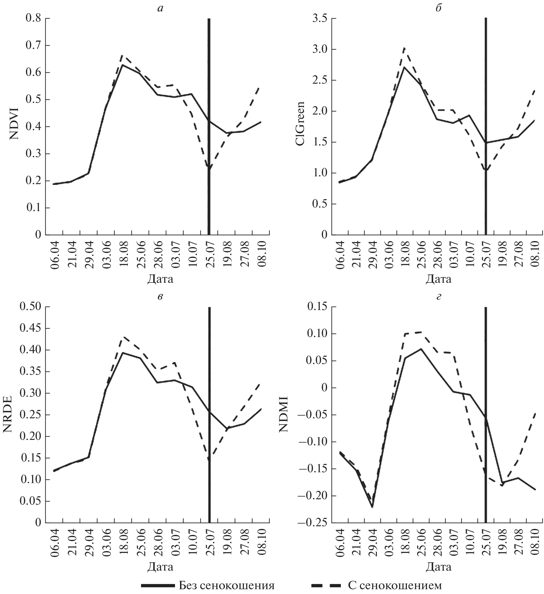
Проведена оценка возможности мониторинга сенокосных угодий на основе различных спектральных вегетационных индексов (NDVI, ClGreen, NDRE, NDMI), рассчитанных по спутниковым данным Sentinel-2 в течение вегетационного сезона 2018 г. Геоботанические исследования и данные наземной спектрофотометрии проводились одновременно в одно и то же время суток и использовались как дополнительный этап мониторинга сенокошения. Показана возможность распознавания сенокосных угодий и определения даты сенокошения по наземным и спутниковым спектрометрическим данным. Отмечено падение величины индексов (NDVI, ClGreen, NDRE, NDMI) в дату сенокошения (25.07.2018 г.). Подтверждена достоверность возможности дешифрирования сенокосных полей по индексу NDVI. Показано, что даты сенокошения, определенные по спутниковым данным, хорошо согласуются с наземными датами сенокошения (25 июля и 27 августа). Построены карты пространственного распределения индекса NDVI сенокосных полей по спутниковым данным Sentinel-2 за даты (18 июня, 10 июля и 27 августа). Полученные карты позволяют выявлять сенокосные поля и дату сенокошения на больших территориях.
Ключевые слова
Об авторах
И. Ю. Ботвич
Институт биофизики СО РАН
Автор, ответственный за переписку.
Email: irina.pugacheva@mail.ru
Россия, Красноярск
Н. А. Кононова
Институт биофизики СО РАН
Email: irina.pugacheva@mail.ru
Россия, Красноярск
Д. В. Емельянов
Институт биофизики СО РАН
Email: irina.pugacheva@mail.ru
Россия, Красноярск
Т. И. Письман
Институт биофизики СО РАН
Email: irina.pugacheva@mail.ru
Россия, Красноярск
Список литературы
- Ботвич И.Ю., Письман Т.И., Кононова Н.А., Шевырногов А.П. Сезонная динамика растительности залежных земель Красноярской лесостепи по наземным и спутниковым данным // Исслед. Земли из космоса. 2018. № 6. С. 39–51.
- Ерошенко Ф.В., Барталев С.А., Лапенко Н.Г., Самофал Е.В., Сторчак И.Г. Возможности дистанционной оценки состояния и степени деградации природных кормовых угодий // Современные проблемы дистанционного зондирования Земли из космоса. 2018. Т. 15. № 7. С. 53–66.
- Кононова Н.А., Ларько А.А, Емельянов Д.В., Ботвич И.Ю. Оценка состояния сенокосных земель красноярского края на основе наземной спектрометрии // Вестник КрасГАУ. 2019. № 2. С. 31–37.
- Кострова Ю.Б., Костров Б.В. Использование дистанционного зондирования земли в целях повышение эффективности сельскохозяйственного производства // Вестник РГАТУ, 2010. № 3. С. 88–90.
- Лапенко Н.Г., Ерошенко Ф.В., Сторчак И.Г., Дудченко Л.В., Шестакова Е.О. Деградационные процессы в степных сообществах и данные дистанционного зондирования Земли // Достижения науки и техники АПК. 2018. Т. 32. № 10. С. 50–53. https://doi.org/10.24411/0235-2451-2018-11011
- Ларько А.А., Ботвич И.Ю., Емельянов Д.В., Кононова Н.А. Оценка состояния сенокосных угодий на основе наземной и спутниковой спектрометрии // Вестник КрасГАУ. 2020. № 2. С. 11–17. https://doi.org/10.36718/1819-4036-2020-2-11-17
- Родионова А.В., Тебердиев Д.М. Продуктивность долголетнего сеяного сенокоса и плодородие дерново-подзолистых почв // Успехи современной науки. 2017. Т. 1. № 10. С. 178–182.
- Barnes E.M., Clarke T.R., Richards S.E., Colaizzi P.D., Haberland J., Kostrzewski M., Lascano R.J. Coincident detection of crop water stress, nitrogen status and canopy density using ground based multispectral data // In Proceedings of the Fifth International Conference on Precision Agriculture, Bloomington, MN, USA.2000. V. 1619.
- Bayat B., Tol C., Verhoef W. Remote Sensing of Grass Response to Drought Stress Using Spectroscopic Techniques and Canopy Reflectance Model Inversion // Remote Sens. 2016. 8. 557. https://doi.org/10.3390/rs8070557
- Bretas I.L., Valente D.S.M., Silva F.F., Chizzotti M.L., Paulino M.F., D’Áurea A.P., Paciullo D.S.C., Pedreira B.C., Fernanda H.M. Chizzotti F.H.M. Prediction of aboveground biomass and dry-matter content in Brachiaria pastures by combining meteorological data and satellite imagery// Grass and Forage Science. 2020. https://doi.org/10.1111/gfs.12517
- Erunova M.G., Simakina A.S., Yakubailik O.E. Smart analysis of agricultural land use with NDVI at Kuraginskoye agricultural experimental production facility // IOP Conf. Series: Earth and Environmental Science 677. 2021. 032105. https://doi.org/10.1088/1755-1315/677/3/032105.
- Gao B.C. A Normalized Difference Water Index for Remote Sensing of Vegetation Liquid Water from Space // In SPIE’s 1995 Symposium on OE, Aerospace Sensing and Dual Use Photonics.1995. V. 2480.
- Gitelson A.A., Vina A., Ciganda V., Rundquist D.C., Arkebauer T.J. Remote estimation of canopy chlorophyll content in crops // Geophys Res Lett. 2005. 32: L08403. https://doi.org/10.1029/2005GL022688
- Gitelson A.A., Gritz U., Merzlyak M.N. Relationships between leaf chlorophyll content and spectral reflectance and algorithms for non-destructive chlorophyll assessment in higher plant leaves // J. Plant Physiol. 2003. 160: 271–82.
- Kolecka N., Ginzler C., Pazur R., Price B., Verburg P. H. Regional Scale Mapping of Grassland Mowing Frequency with Sentinel-2 Time Series // Remote Sens. 2018. 10. 1221. https://doi.org/10.3390/rs10081221
- Pisman T.I., Shevyrnogov A.P., Larko A.A., Botvich I.Y., Emelyanov D.V., Shpedt A.A., Trubnikov Y.N. The Information Content of Spectral Vegetation Indices in the Interpretation of Satellite Images of Cultivated Fields // Biophys. 2019. 64(4). P. 588–592.
- Richter R.,Schläpfer D. Atmospheric/Topographic Correction for Satellite Imagery: ATCOR-2/3 UserGuide”, DLR IB 565-01/11, Wessling, Germany, 2011. (https://sentinel.esa.int/web/sentinel/technical-guides/sentinel-2-msi/level-2a/algorithm).
- Rouse J.W., Haas R.H., Scheel J.A., Deering D.W. Monitoring Vegetation Systems in the Great Plains with ERTS // Proceedings, 3rd Earth Resource Technology Satellite (ERTS) Symposium. 1974. V. 1. P. 48–62.
Дополнительные файлы








