Interaction of Gold Nanoparticles with Cyanine Dyes in Cholesteric DNA Submicroparticles: Impact of the Way of Their Introduction into the System
- Authors: Kolyvanova M.A.1,2, Klimovich M.A.1,2, Dement’eva O.V.3, Rudoy V.M.3, Kuzmin V.A.1, Trofimov A.V.1, Morozov V.N.1
-
Affiliations:
- Emanuel Institute of Biochemical Physics, Russian Academy of Sciences, Moscow, Russia
- Burnasyan Federal Medical Biophysical Center, Federal Medical Biological Agency, Moscow, Russia
- Frumkin Institute of Physical Chemistry and Electrochemistry, Russian Academy of Sciences, Moscow, Russia
- Issue: Vol 42, No 1 (2023)
- Pages: 64-72
- Section: ХИМИЧЕСКАЯ ФИЗИКА НАНОМАТЕРИАЛОВ
- URL: https://medbiosci.ru/0207-401X/article/view/139876
- DOI: https://doi.org/10.31857/S0207401X23010065
- EDN: https://elibrary.ru/MOYPZC
- ID: 139876
Cite item
Full Text
Abstract
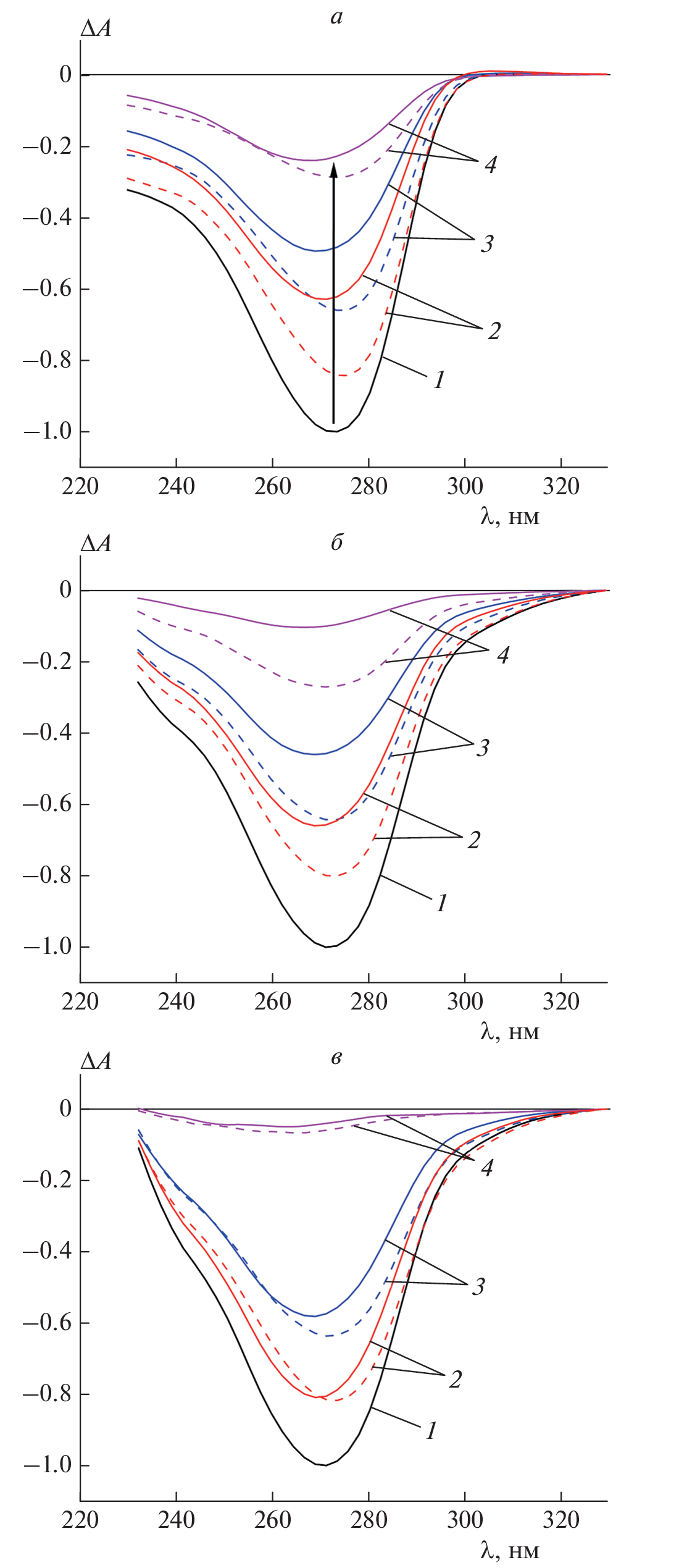
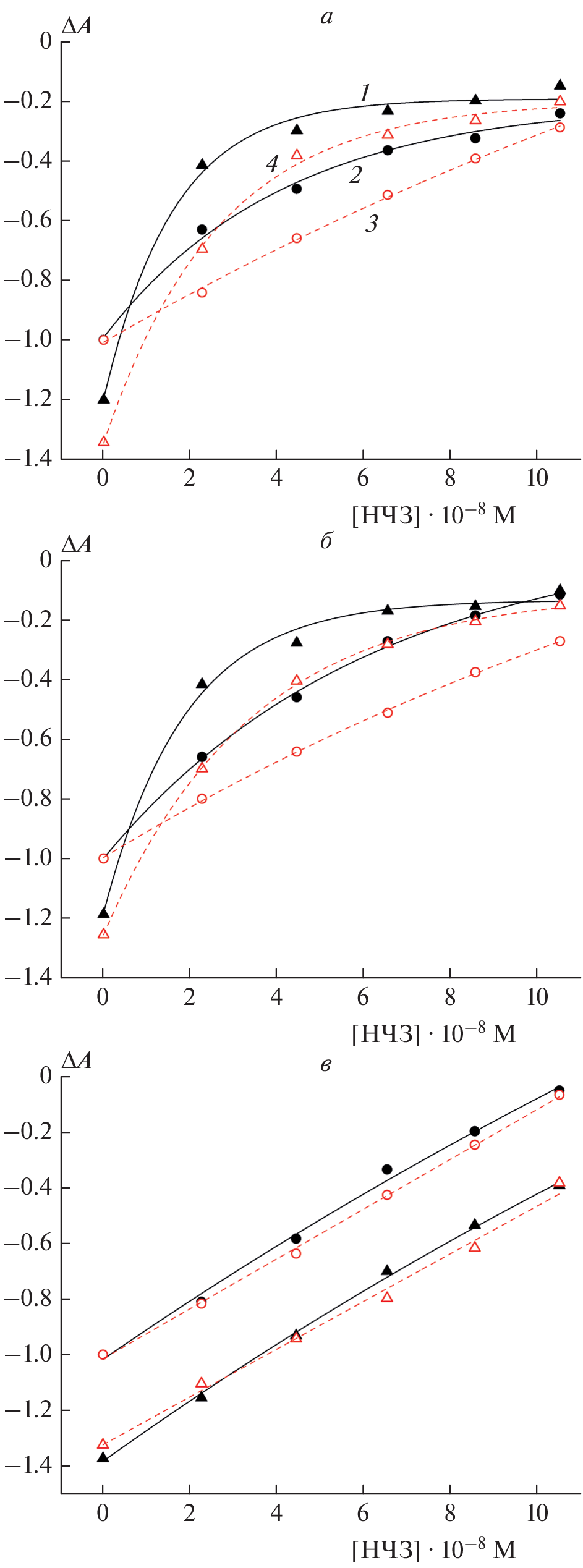
The results of two different ways of introducing SYBR Green I (SG) and PicoGreen (PG) cyanine dyes, as well as ultrasmall gold nanoparticles (GNPs) in a cholesteric liquid-crystalline dispersion (CLCD) of DNA, are compared: preliminary incubation with DNA and introduction in a ready-made dispersed system. In the absence of dyes and in the presence of SG, the preliminary incubation of GNPs in a DNA solution leads to an increase in the destruction of its cholesteric phase. At the same time, more efficient quenching of SG fluorescence was observed upon the injection of GNPs in a ready-made dispersed system. For the case of PG, the order of introduction of the components does not affect either the properties of the DNA CLCD or the fluorescence of the dye.
About the authors
M. A. Kolyvanova
Emanuel Institute of Biochemical Physics, Russian Academy of Sciences, Moscow, Russia; Burnasyan Federal Medical Biophysical Center, Federal Medical Biological Agency, Moscow, Russia
Email: morozov.v.n@mail.ru
Россия, Москва; Россия, Москва
M. A. Klimovich
Emanuel Institute of Biochemical Physics, Russian Academy of Sciences, Moscow, Russia; Burnasyan Federal Medical Biophysical Center, Federal Medical Biological Agency, Moscow, Russia
Email: morozov.v.n@mail.ru
Россия, Москва; Россия, Москва
O. V. Dement’eva
Frumkin Institute of Physical Chemistry and Electrochemistry, Russian Academy of Sciences, Moscow, Russia
Email: morozov.v.n@mail.ru
Россия, Москва
V. M. Rudoy
Frumkin Institute of Physical Chemistry and Electrochemistry, Russian Academy of Sciences, Moscow, Russia
Email: morozov.v.n@mail.ru
Россия, Москва
V. A. Kuzmin
Emanuel Institute of Biochemical Physics, Russian Academy of Sciences, Moscow, Russia
Email: morozov.v.n@mail.ru
Россия, Москва
A. V. Trofimov
Emanuel Institute of Biochemical Physics, Russian Academy of Sciences, Moscow, Russia
Email: morozov.v.n@mail.ru
Россия, Москва
V. N. Morozov
Emanuel Institute of Biochemical Physics, Russian Academy of Sciences, Moscow, Russia
Author for correspondence.
Email: morozov.v.n@mail.ru
Россия, Москва
References
- Евдокимов Ю.М., Сычев В.В. // Успехи химии. 2008. Т. 77. № 2. С. 194.
- Seeman N.C., Sleiman H.F. // Nat. Rev. Mater. 2018. V. 3. P. 17068.
- Jordan C.F., Lerman L.S., Venable J.H. // Nat. New Biol. 1972. V. 236. № 64. P. 67.
- Yevdokimov Y.M., Skuridin S.G., Lortkipanidze G.B. // Liq. Cryst. 1992. V. 12. № 1. P. 1.
- Скуридин С.Г., Верещагин Ф.В., Гусев В.М. и др. // Жидкие кристаллы и их практич. использ. 2020. Т. 20. № 3. С. 80.
- Yevdokimov Y.M., Salyanov V.I., Kondrashina O.V. et al. // Intern. J. Biol. Macromol. 2005. V. 37. № 4. P. 165.
- Пронкин П.Г., Татиколов А.С. // Хим. физика. 2021. Т. 40. № 2. С. 3.
- Пронкин П.Г., Татиколов А.С. // Хим. физика. 2022. Т. 41. № 2. С. 3.
- Бурцев И.Д., Егоров А.Е., Костюков А.А. и др. // Хим. физика. 2022. Т. 41. № 2. С. 41.
- Ribeiro T., Baleizão C., Farinha J.P.S. // Sci. Rep. 2017. V. 7. № 1. P. 2440.
- Morozov V.N., Kolyvanova M.A., Dement’eva O.V. et al. // J. Lumin. 2020. V. 219. P. 116898.
- Morozov V.N., Kolyvanova M.A., Dement’eva O.V. et al. // J. Mol. Liq. 2021. V. 321. P. 114751.
- Морозов В.Н., Климович М.А., Колыванова М.А. и др. // Химия высоких энергий. 2021. Т. 55. № 5. С. 339.
- Евдокимов Ю.М., Салянов В.И., Скуридин С.Г. и др. // Успехи химии. 2015. Т. 84. № 1. С. 27.
- Скуридин С.Г., Лорткипанидзе Г.Б., Мусаев О.Р. и др. // Высокомолекуляр. соединения. 1985. Т. 27. № 11. С. 2266.
- Zipper H., Brunner H., Bernhagen J. et al. // Nucleic Acids Res. 2004. V. 32. P. e103.
- Дементьева О.В., Карцева М.Е., Сухов В.М. и др. // Коллоид. журн. 2017. Т. 79. С. 562.
- Евдокимов Ю.М., Компанец О.Н. // Науч. приборостр. 2018. Т. 28. № 3. С. 44.
- Dragan A.I., Pavlovic R., McGivney J.B. et al. // J. Fluoresc. 2012. V. 22. № 4. P.1189.
- Belyakov V.A., Orlov V.P., Semenov S.V. et al. // Liq. Cryst. 1996. V. 20. № 6. P. 777.
- Скуридин С.Г., Дубинская В.А., Штыкова Э.В. и др. // Биол. мембраны. 2011. Т. 28. № 3. С. 191.
- Евдокимов Ю.М. // Вестн. Моск. ун-та. Сер. 2. Химия. 2015. Т. 56. № 3. С. 147.
Supplementary files








