Energy Capabilities of Hydroxylammonium Salts of Nitroamine Derivatives of Some Polynitrogen Fused Heterocycles as Components of Composite Propellants
- Authors: Zyuzin I.N.1, Gudkova I.Y.1, Lempert D.B.1
-
Affiliations:
- Institute of Problems of Chemical Physics, Russian Academy of Sciences
- Issue: Vol 42, No 5 (2023)
- Pages: 20-29
- Section: Combustion, explosion and shock waves
- URL: https://medbiosci.ru/0207-401X/article/view/139891
- DOI: https://doi.org/10.31857/S0207401X23050151
- EDN: https://elibrary.ru/PDHQXT
- ID: 139891
Cite item
Full Text
Abstract
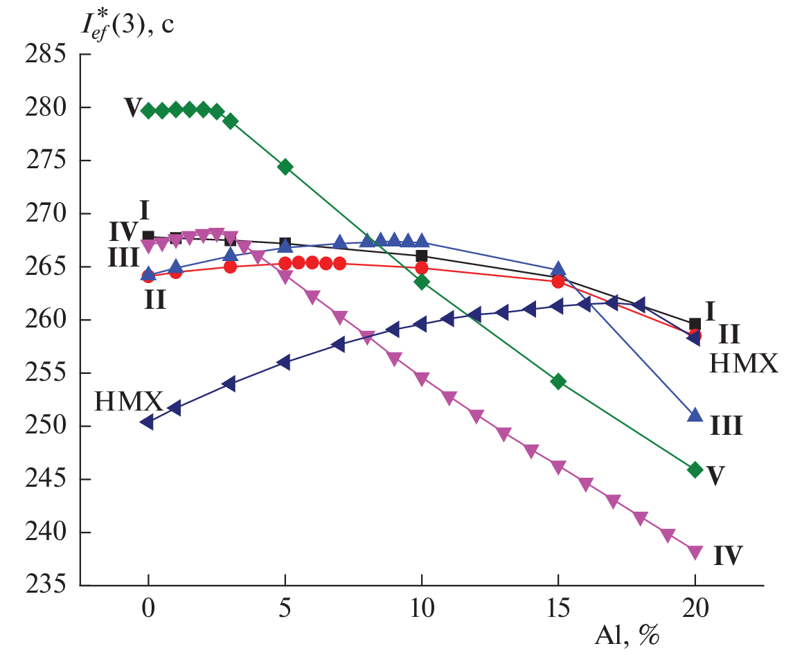
The ballistic characteristics of energy systems based on hydroxylammonium salts of nitroamine derivatives of some polynitrogen fused heterocycles are considered. The quantitative dependences of the energy parameters of such systems on the properties of the studied compound (the main filler), the proportion of aluminum, the presence of additional oxidizing agents in the composition, and the type of binder are established. All the considered compounds (I–V) outperform the classical energy components in the class of composite propellants (CPs) without condensed combustion products. The most effective component is dihydroxylammonium salt (E)-1,2-bis(3-nitroamino-[1,2,4]triazolo[4,3-b][1,2,4,5]tetrazin-6-yl)diazene (V), which significantly exceeds many of the known components in terms of the value of the effective impulse in the third stage (Ief(3) = 279.7 s). However, when using a more realistic value of the enthalpy of the formation of compound V (according to our estimate) in the calculations, the indicator for the composition based on compound V dropped to 266.8 c, and the dihydroxylammonium salt of 1,4-bis(nitroamino)-3,6-dinitropyrazolo[4,3-c]pyrazole (I) with Ief(3) = 267.8 s performed the best.
About the authors
I. N. Zyuzin
Institute of Problems of Chemical Physics, Russian Academy of Sciences
Email: zyuzin@icp.ac.ru
Chernogolovka, Russia
I. Yu. Gudkova
Institute of Problems of Chemical Physics, Russian Academy of Sciences
Email: zyuzin@icp.ac.ru
Chernogolovka, Russia
D. B. Lempert
Institute of Problems of Chemical Physics, Russian Academy of Sciences
Author for correspondence.
Email: zyuzin@icp.ac.ru
Chernogolovka, Russia
References
- Гудкова И.Ю., Зюзин И.Н., Лемперт Д.Б. // Хим. физика. 2020. Т. 39. № 3. С. 53; https://doi.org/10.31857/S0207401X20030061
- Зюзин И.Н., Гудкова И.Ю., Лемперт Д.Б. // Хим. физика. 2020. Т. 39. № 9. С. 52; https://doi.org/10.31857/S0207401X20090149
- Зюзин И.Н., Гудкова И.Ю., Лемперт Д.Б. // Хим. физика. 2021. Т. 40. № 7. С. 24; https://doi.org/10.31857/S0207401X2107013X
- Зюзин И.Н., Волохов В.М., Лемперт Д.Б. // Хим. физика. 2021. Т. 40. № 9. С. 18; https://doi.org/10.31857/S0207401X21090107
- Гудкова И.Ю., Зюзин И.Н., Лемперт Д.Б. // Хим. физика. 2022. Т. 41. № 1. С. 34; https://doi.org/10.31857/S0207401X2201006X
- Зюзин И.Н., Гудкова И.Ю., Лемперт Д.Б. // Хим. физика. 2022. Т. 41. № 9. С. 45; https://doi.org/10.31857/S0207401X2209014X
- Зюзин И.Н., Гудкова И.Ю., Лемперт Д.Б. // Хим. физика. 2022. Т. 41. № 12. С. 36; https://doi.org/10.31857/S0207401X22120129
- Gao H., Zhang Q., Shreeve J.M. // J. Mater. Chem. A. 2020. V. 8. № 8. P. 4193; https://doi.org/10.1039/C9TA12704F
- Yin P., Zhang J., Mitchell L.A., Parrish D.A., Shreeve J.M. // Angew. Chem. Intern. Ed. 2016. V. 55. № 41. P. 12895; https://doi.org/10.1002/anie.201606894
- Liu Y., Zhao G., Tang Y., Zhang J. et al. // J. Mater. Chem. A. 2019. V. 7. № 44. P. 7875; https://doi.org/10.1039/c9ta01717h
- Bian C., Feng W., Lei Q. et al. // Dalton Trans. 2020. V. 49. P. 368; https://doi.org/10.1039/c9dt03829a
- Hu L., Yin P., Zhao G. et al. // J. Amer. Chem. Soc. 2018. V. 140. P. 15 001; https://doi.org/10.1021/jacs.8b09519
- Lempert D.B. // Chin. J. Explos. Propellants. 2015. V. 38. № 4. P. 1; https://doi.org/10.14077/j.issn.1007-7812.2015.04.001
- Hечипоренко Г.H., Лемперт Д.Б. // Хим. физика. 1998. Т. 17. № 10. С. 93.
- Meyer R., Kohler J., Homburg A. Explosives. 7th ed. Weinheim (Germany): Wiley, 2016.
- Трусов Б.Г. // Тез. докл. XIV Междунар. конф. по химической термодинамике. СПб: НИИ химии СПбГУ, 2002.
- Павловец Г.Я., Цуцуран В.И. Физико-химические свойства порохов и ракетных топлив. М.: Изд-во Министерства обороны, 2009.
- Дорофеенко Е.М., Лемперт Д.Б. // Хим. физика. 2021. Т. 40. № 3. С. 48; https://doi.org/10.31857/S0207401X21030043
- Кизин А.Н., Дворкин П.Л., Рыжова Г.Л., Лебедев Ю.А. // Изв. АН СССР. Сер. хим. 1986. № 2. С. 372.
- Lempert D.B., Nechiporenko G.N., Manelis G.B. // Cent. Eur. J. Energetic. Mater. 2006. V. 3. № 4. P. 73.
- Li Y., Wang B., Chang P. et al. // RSC Adv. 2018. V. 8. № 25. P. 13755; https://doi.org/10.1039/C8RA02491J
- Konkova T.S., Matyushin Yu.N., Miroshnichenko E.A., Asachenko A.F., Dzhevakov P.B. Proc. 47th Intern. Annu. Conf. Fraunhofer ICT (Karlsruhe, Germany). 2016. P. 90.
- Fischer D., Klapotke T.M., Piercey D.G., Stierstorfer J. // Chem. Eur. J. 2013. V. 19. № 14. P. 4602; https://doi.org/10.1002/chem.201203493
- Sinditskii V.P., Serushkin V.V., Kolesov V.I. // Propellants Explos. Pyrotech. 2021. V. 46. № 10. P. 1504; https://doi.org/10.1002/prep.202100173
- Иноземцев Я.О., Иноземцев А.В., Махов М.Н., Воробьёв А.Б., Матюшин Ю.Н. // Хим. физика. 2021. Т. 40. № 12. С. 39; https://doi.org/10.31857/S0207401X21120074
- Лемперт Д.Б., Нечипоренко Г.Н., Долганова Г.П. // Хим. физика. 1998. Т. 17. № 7. С. 87.
Supplementary files









