Литий-проводящая мембрана нафион, пластифицированная смесью ДМСО–сульфолан
- Авторы: Каюмов Р.Р.1, Радаева А.П.1, Крупина А.А.1,2, Тарусина К.А.1, Лапшин А.Н.1, Шмыглева Л.В.1
-
Учреждения:
- Федеральный исследовательский центр проблем химической физики и медицинской химии Российской академии наук
- Московский физико-технический институт
- Выпуск: Том 42, № 7 (2023)
- Страницы: 23-32
- Раздел: XXXIV СИМПОЗИУМ “СОВРЕМЕННАЯ ХИМИЧЕСКАЯ ФИЗИКА” (СЕНТЯБРЬ 2022 г., ТУАПСЕ)
- URL: https://medbiosci.ru/0207-401X/article/view/139932
- DOI: https://doi.org/10.31857/S0207401X23070099
- EDN: https://elibrary.ru/YCALKG
- ID: 139932
Цитировать
Полный текст
Аннотация
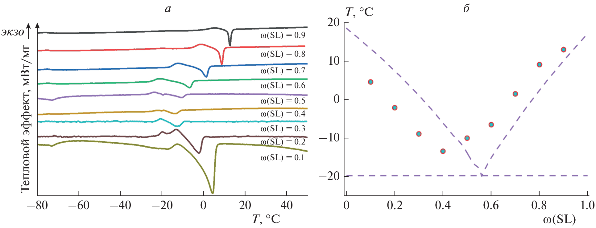
В работе исследовано влияние состава двойной пластифицирующей смеси на основе диметилсульфоксида и сульфолана на физико-химические свойства литиевой формы мембраны Нафион. Для объяснения поведения электротранспортных свойств мембран проведены экспериментальные исследования межмолекулярных взаимодействий, термического поведения, а также ион-транспортных свойств полученных литий-проводящих полиэлектролитов методами ИК-спектроскопии, синхронного термического анализа и импедансной спектроскопии. Выявлена зависимость между смещением точки эвтектики в область меньшего содержания сульфолана по сравнению с объемными растворителями и составом пластификатора, при котором образцы имели наилучшую проводимость, равную 0.76 мСм/см при температуре 30 °C.
Об авторах
Р. Р. Каюмов
Федеральный исследовательский центр проблем химической физики и медицинской химии Российской академии наук
Email: kayumov@icp.ac.ru
Россия, Черноголовка
А. П. Радаева
Федеральный исследовательский центр проблем химической физики и медицинской химии Российской академии наук
Email: kayumov@icp.ac.ru
Россия, Черноголовка
А. А. Крупина
Федеральный исследовательский центр проблем химической физики и медицинской химии Российской академии наук; Московский физико-технический институт
Email: kayumov@icp.ac.ru
Россия, Черноголовка; Россия, Долгопрудный
К. А. Тарусина
Федеральный исследовательский центр проблем химической физики и медицинской химии Российской академии наук
Email: kayumov@icp.ac.ru
Россия, Черноголовка
А. Н. Лапшин
Федеральный исследовательский центр проблем химической физики и медицинской химии Российской академии наук
Email: kayumov@icp.ac.ru
Россия, Черноголовка
Л. В. Шмыглева
Федеральный исследовательский центр проблем химической физики и медицинской химии Российской академии наук
Автор, ответственный за переписку.
Email: kayumov@icp.ac.ru
Россия, Черноголовка
Список литературы
- Fan X., Wang C. // Chem. Soc. Rev. 2021. V. 50. P. 10 486.
- Gibbs H.H., Griffin R.N. // Patent 3041317A US. 1962.
- Connolly D.J., Gresham W.F. // Patent 3282875 US. 1966.
- Kusoglu A., Weber A.Z. // Chem. Rev. 2017. V. 117. P. 987.
- Zhu L.Y., Li Y.C., Liu J. et al. // Pet. Sci (China). 2021. V. 19. P. 1371.
- Ng W.W., Thiam H.S., Pang Y.L. et al. // Membranes (Basel). 2022. V. 12. № 5. P. 506.
- Jiang B., Wu L., Yu L. et al. // J. Membr. Sci. 2016. V. 510. P. 18.
- Sanginov E.A., Kayumov R.R., Shmygleva L.V. et al. // Solid State Ionics. 2017. V. 300. P. 26.
- Yaroslavtsev A.B., Novikova S.A., Voropaeva D.Y. et al. // Batteries (Basel). 2022. V. 8. P. 162.
- Doyle M., Lewittes M.E., Roelofs M.G. et al. // J. Phys. Chem. B. 2001. V. 105. P. 9387.
- Doyle M., Lewittes M.E., Roelofs M.G. et al. // J. Membr. Sci. 2001. V. 184. P. 257.
- Sachan S., Ray C.A., Perusich S.A. // Polym. Eng. Sci. 2002. V. 42. P. 1469.
- Su L., Darling R.M., Gallagher K.G. et al. // J. Electrochem. Soc. 2016. V. 163. P. A5253.
- Krupina A.A., Kayumov R.R., Nechaev G.V. et al. // Membranes (Basel). 2022. V. 12. № 9. P. 840.
- Воропаева Д.Ю., Новикова С.А., Ярославцев А.Б. // Успехи химии. 2020. Т. 89. № 10. С. 1132.
- Kulova T., Skundin A., Chekannikov A. et al. // Batteries. 2018. V. 4. № 4. P. 61.
- Voropaeva D.Y., Novikova S.A., Kulova T.L. et al. // Solid State Ionics. 2018. V. 324. P. 28.
- Воропаева Д.Ю., Ярославцев А.Б. // Мембраны и мембр. технологии. 2022. Т. 12. № 4. С. 315.
- Карелин А.И., Каюмов Р.Р., Сангинов Е.А. и др. // Мембр. мембр. технол. 2016. Т. 6. № 4. С. 366.
- Каюмов Р.Р., Шмыглева Л.В., Евщик Е.Ю. и др. // Электрохимия. 2021. Т. 57. № 8. С. 507.
- Kayumov R.R., Sanginov E.A., Shmygleva L.V. et al. // J. Electrochem. Soc. 2019. V. 166. P. F3216.
- Guglielmi M., Aldebert P., Pineri M. // J. Appl. Electrochem. 1989. V. 19. P. 167.
- Voropaeva D.Y., Novikova S.A., Kulova T.L. et al. // Ionics. 2018. V. 24. P. 1685.
- Voropaeva D., Novikova S., Xu T. et al. // J. Phys. Chem. B. 2019. V. 123. № 48. P. 10217.
- Сангинов Е.А., Евщик Е.Ю., Каюмов Р.Р. и др. // Электрохимия. 2015. Т. 51. № 10. С. 1115.
- Istomina A.S., Yaroslavtseva T.V., Reznitskikh O.G. et al. // Polymers (Basel). 2021. V. 13. № 7. P. 1150.
- Sanginov E.A., Borisevich S.S., Kayumov R.R. et al. // Electrochim. Acta. 2021. V. 373. P. 137914.
- Cai Z., Liu Y., Liu S. et al. // Energy Environ. Sci. 2012. V. 5. P. 5690.
- Liu Y., Cai Z., Tan L. et al. // Ibid. P. 9007.
- Cao C., Wang H., Liu W. et al. // Intern. J. Hydrogen Energy. 2014. V. 39. P. 16110.
- Simari C., Tuccillo M., Brutti S. et al. // Electrochim. Acta. 2022. V. 410. P. 139936.
- Резницких О.Г., Истомина А.С., Борисевич С.С. и др. // ЖФХ. 2021. Т. 95. № 6. С. 867.
- Fulem M., Růžička K., Růžička M. // Fluid Phase Equilib. 2011. V. 303. № 2. P. 205.
- Ahlers J., Lohmann J., Gmehling J. // J. Chem. Eng. Data. 1999. V. 44. № 4. P. 727.
- Domalski E.S., Hearing E.D. // J. Phys. Chem. Ref. Data. 1990. V. 19. P. 881.
- Jannelli L., Pansini M. // J. Chem. Eng. Data. 1985. V. 30. P. 428.
- Feldheim D.L., Lawson D.R., Martin C.R. // J. Polym. Sci. B. 1993. V. 31. P. 953.
- Thompson E.L., Capehart T.W., Fuller T.J. et al. // J. Electrochem. Soc. 2006. V. 153. P. A2351.
- Lue S.J., Shieh S.J. // J. Macromol. Sci. B. 2009. V. 48. P. 114.
- Смирнов В.А., Дубовицкий В.А., Денисов Н.Н. и др. // Хим. физика. 2018. Т. 37. № 6. P. 72.
- Gruger A., Régis A., Schmatko T. et al. // Vib. Spectrosc. 2001. V. 26. P. 215.
- Karelin A.I., Kayumov R.R., Sanginov E.A. et al. // Spectrochim. Acta, Part A. 2017. V. 178. P. 94.
- Bushkova O.V., Sanginov E.A., Chernyuk S.D. et al. // Membranes and Membr. Technol. 2022. V. 4. № 6. P. 433.
- Bagheri S., Monajjemi M., Ziglari A. et al. // Russ. J. Phys. Chem. B. 2021. V. 15. Suppl. 1. P. S140.
- Chen Z., Shao Z., Siddiqui M.K. et al. // Russ. J. Phys. Chem. B. 2019. V. 13. P. 156.
- Галашева А.Е., Рахманова О.Р., Катиг К.П. и др. // Хим. физика. 2020. Т. 39. № 11. P. 80.
Дополнительные файлы









