Methyl-Substituted Derivatives of Furazanoazepines: Synthesis, Structure, Enthalpy of Formation, and Ballistic Efficiency
- Authors: Lempert D.B.1, Ignatieva E.L.1, Stepanov A.I.2, Dashko D.V.2, Kazakov A.I.1, Nabatova A.V.1, Shilov G.V.1, Korchagin D.V.1, Aldoshin S.M.1
-
Affiliations:
- Federal Research Center of Problems of Chemical Physics and Medicinal Chemistry, Russian Academy of Sciences
- Special Design and Technological Bureau “Technolog”
- Issue: Vol 42, No 9 (2023)
- Pages: 20-29
- Section: Combustion, explosion and shock waves
- URL: https://medbiosci.ru/0207-401X/article/view/139934
- DOI: https://doi.org/10.31857/S0207401X23090066
- EDN: https://elibrary.ru/TTDDMT
- ID: 139934
Cite item
Full Text
Abstract
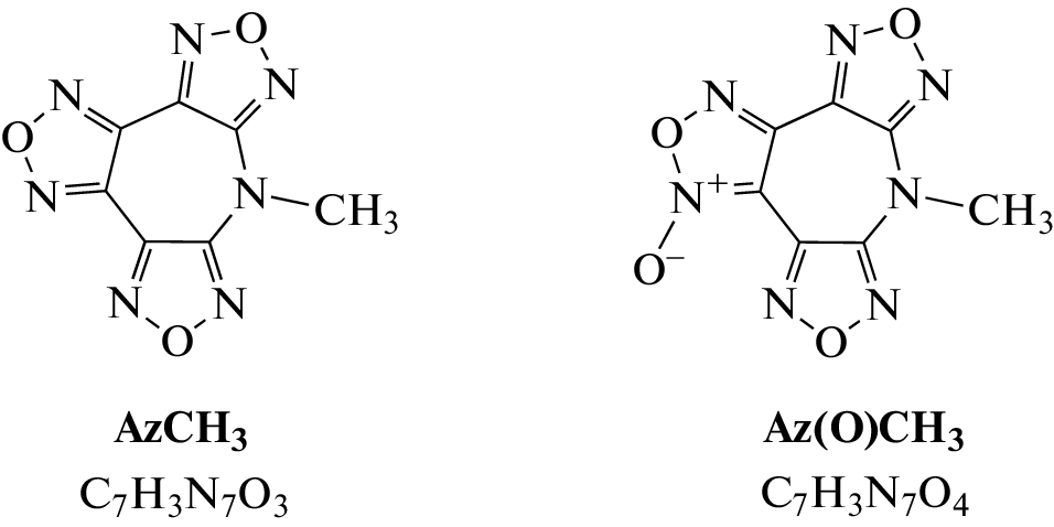
Energy-intensive compounds AzCH3, 7-methyl-7Н-trifurazano[3,4-b:3′,4′-f:3″,4″-d]azepine, and Az(O)CH3, 7-methyl-7Н-difurazano[ 3,4-b:3′,4′-f]furoxano[3″,4″-d]azepine, are extensively studied as potential dispersants in gas-generating fuels. The main parameters of the crystal lattice are determined by X‑ray diffraction analysis and experimental data on the heats of combustion and enthalpies of the formation of AzCH3 and Az(O)CH3 are obtained. A thermodynamic analysis of the effectiveness of these compounds in gas-generating fuels is carried out. It is shown that AzCH3 and Az(O)CH3 are very effective as potential dispersants of solid fuels for gas generator engines.
About the authors
D. B. Lempert
Federal Research Center of Problems of Chemical Physics and Medicinal Chemistry, Russian Academy of Sciences
Email: lempert@icp.ac.ru
Chernogolovka, 142432, Russia
E. L. Ignatieva
Federal Research Center of Problems of Chemical Physics and Medicinal Chemistry, Russian Academy of Sciences
Email: lempert@icp.ac.ru
Chernogolovka, 142432, Russia
A. I. Stepanov
Special Design and Technological Bureau “Technolog”
Email: lempert@icp.ac.ru
192076, St. Petersburg, Russia
D. V. Dashko
Special Design and Technological Bureau “Technolog”
Email: lempert@icp.ac.ru
192076, St. Petersburg, Russia
A. I. Kazakov
Federal Research Center of Problems of Chemical Physics and Medicinal Chemistry, Russian Academy of Sciences
Email: lempert@icp.ac.ru
Chernogolovka, 142432, Russia
A. V. Nabatova
Federal Research Center of Problems of Chemical Physics and Medicinal Chemistry, Russian Academy of Sciences
Email: lempert@icp.ac.ru
Chernogolovka, 142432, Russia
G. V. Shilov
Federal Research Center of Problems of Chemical Physics and Medicinal Chemistry, Russian Academy of Sciences
Email: lempert@icp.ac.ru
Chernogolovka, 142432, Russia
D. V. Korchagin
Federal Research Center of Problems of Chemical Physics and Medicinal Chemistry, Russian Academy of Sciences
Email: lempert@icp.ac.ru
Chernogolovka, 142432, Russia
S. M. Aldoshin
Federal Research Center of Problems of Chemical Physics and Medicinal Chemistry, Russian Academy of Sciences
Author for correspondence.
Email: lempert@icp.ac.ru
Chernogolovka, 142432, Russia
References
- Klapötke T.M. Chemistry of High-Energy Materials. 3rd ed. Berlin: De Gruyter, 2015.
- Chavez D.E. // Topics in Heterocyclic Chemistry / Ed. Larionov O.V. Berlin: Springer, 2017. V. 53. P. 1; https://doi.org/10.1007/7081_2017_5
- Churakov A.M., Ioffe S.L., Tartakovsky V.A. // Mendeleev Commun. 1995. V. 5. № 6. P. 227; https://doi.org/10.1070/MC1995v005n06ABEH000539
- Sheremetev A.B., Kulagina V.O., Aleksandrova N.S. et al. // Propellants Explos. Pyrotech. 1998. V. 23. P. 142.
- Сысолятин С.В., Лобанова А.А., Черникова Ю.Т., Сакович Г.В. // Успехи химии. 2005. Т. 74. № 8. С. 830; https://doi.org/10.1070/RC2005v074n08ABEH001179
- Chavez D.E., Parrish D.A., Mitchell L., Imler G.H. // Angew. Chem. Intern. Ed. 2017. V. 56. № 13. P. 3575; https://doi.org/10.1002/anie.201612496
- Churakov A.M., Ioffe S.L., Tartakovsky V.A. // Mendeleev Commun. 1996. V. 6. P. 20; https://doi.org/10.1070/MC1996v006n01ABEH000560
- Klenov M.S., Guskov A.A., Anikin O.V. et al. // Angew. Chem. Intern. Ed. 2016. V. 55. № 38. P. 11472; https://doi.org/10.1002/anie.201605611
- Xia C., Zheng C., Zhang T. et al. // Chin. J. Energetic Mater. 2015. V. 23. № 11. P. 1089; https://doi.org/10.11943/j.issn.1006-9941.2015.11.010
- Wei H., Gao H., Shreeve J.M. // Chem. Eur. J. 2014. V. 20. № 51. P. 16943; https://doi.org/10.1002/chem.201405122
- Stepanov A.I., Dashko D.V., Astrat’ev A.A. // Cent. Eur. J. Energetic Mater. 2012. V. 9. № 4. P. 329.
- Степанов А.И., Астратьев А.А., Дашко Д.В. и др. // Изв. АН. Сер. хим. 2012. № 5. С. 1019.
- Astrat’ev A.A., Dashko D.V., Stepanov A.I. // Cent. Eur. J. Chem. 2012. V. 10. № 4. P. 1087; https://doi.org/10.2478/s11532-012-0020-7
- Zhanga J., Zhou J., Bi F., Wang B. // Chin. Chem. Lett. 2020. V. 31. № 9. P. 2375; https://doi.org/10.1016/j.cclet.2020.01.026
- Казаков А.И., Лемперт Д.Б., Набатова А.В. и др. // Журн. прикл. химии. 2019. Т. 92. № S13. С. 1657; https://doi.org/10.1134/S0044461819130036
- Лемперт Д.Б., Игнатьева Е.Л., Степанов А.И. и др. // Хим. физика. 2023. Т. 42. № 2. С. 3.
- Казаков А.И., Лемперт Д.Б., Набатова А.В. и др. // Хим. физика. 2023. Т. 42. № 5. С. 3.
- Лемперт Д.Б., Игнатьева Е.Л., Степанов А.И. и др. // Хим. физика. 2023. Т. 42. № 5. С. 11.
- Leonov N.E., Semenov S.E., Klenov M.S. et al. // Mendeleev Commun. 2021. V. 31. № 6. P. 789; https://doi.org/10.1016/j.mencom.2021.11.006
- Степанов А.И., Дашко Д.В., Астратьев А.А. // Химия гетероцикл. соединений. 2013. № 7. С. 1145.
- Sheldrick G.M. // Acta Crystall. C. 2015. V. 71. Part 1. P. 3; https://doi.org/10.1107/S2053229614024218
- Кирпичев Е.П., Зюзин И.Н., Авдонин В.В., Рубцов Ю.И., Лемперт Д.Б. // ЖФХ. 2006. Т. 80. № 9. С. 1543.
- Глушко В.П. Термические константы веществ. Справ. в 10 вып. М.: АН СССР, ВИНИТИ, 1965.
- Алдошин С.М., Лемперт Д.Б., Гончаров Т.К. и др. // Изв. РАН. Сер. хим. 2016. № 8. С. 2018.
- Лемперт Д.Б., Казаков А.И., Набатова А.В. и др. // Физика горения и взрыва. 2020. Т. 56. № 6. С. 3; https://doi.org/10.15372/FGV20200601
Supplementary files








