Синтез и свойства композитов на основе поли-пара-ксилилена и оксида молибдена
- Авторы: Несмелов А.А.1, Демин В.А.1, Емельянов А.В.1,2, Миннеханов А.А.1, Трофимов А.Д.1,2, Храмов Е.В.1, Велигжанин А.А.1, Стрельцов Д.Р.1, Кондратьев О.А.1, Бакиров А.В.1, Малахов С.Н.1, Завьялов С.А.1, Чвалун С.Н.1
-
Учреждения:
- Национальный исследовательский центр “Курчатовский институт”
- Московский физико-технический институт
- Выпуск: Том 42, № 7 (2023)
- Страницы: 50-58
- Раздел: XXXIV СИМПОЗИУМ “СОВРЕМЕННАЯ ХИМИЧЕСКАЯ ФИЗИКА” (СЕНТЯБРЬ 2022 г., ТУАПСЕ)
- URL: https://medbiosci.ru/0207-401X/article/view/139946
- DOI: https://doi.org/10.31857/S0207401X23070142
- EDN: https://elibrary.ru/YFMJMW
- ID: 139946
Цитировать
Полный текст
Аннотация
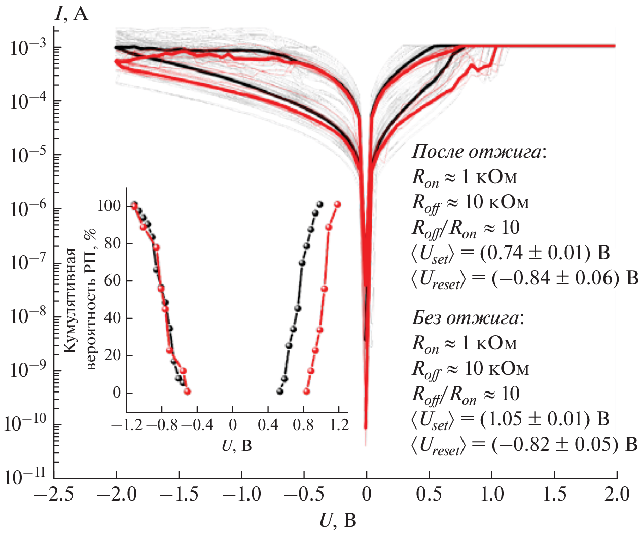
Методом полимеризации на поверхности из газовой фазы синтезированы образцы тонкопленочных композитов на основе поли-пара-ксилилена и оксида молибдена с различной толщиной и концентрацией неорганического наполнителя. Методами рентгеновского рассеяния и спектроскопии поглощения рентгеновского излучения исследована структура синтезированных композитов и ее изменение при термическом отжиге. Обнаружено, что наночастицы оксида молибдена как в исходных, так и в отожженных образцах остаются аморфными. При этом в наночастицах сохраняются элементы локального порядка, характерные для орторомбического триоксида молибдена, однако происходит заметное разупорядочение структуры с понижением эффективной степени окисления молибдена. Увеличение концентрации наполнителя и отжиг приводят к уменьшению ширины запрещенной зоны в наночастицах оксида молибдена, что, по всей видимости, связано с увеличением размера наночастиц. Показано, что отжиг приводит к улучшению стабильности характеристик резистивного переключения в мемристорах на основе синтезированных композитов, что открывает возможность использования данных материалов в качестве активного слоя мемристивных устройств.
Ключевые слова
Об авторах
А. А. Несмелов
Национальный исследовательский центр “Курчатовский институт”
Email: aanesmelov@gmail.com
Россия, Москва
В. А. Демин
Национальный исследовательский центр “Курчатовский институт”
Email: aanesmelov@gmail.com
Россия, Москва
А. В. Емельянов
Национальный исследовательский центр “Курчатовский институт”; Московский физико-технический институт
Email: aanesmelov@gmail.com
Россия, Москва; Россия, Моск. обл., Долгопрудный
А. А. Миннеханов
Национальный исследовательский центр “Курчатовский институт”
Email: aanesmelov@gmail.com
Россия, Москва
А. Д. Трофимов
Национальный исследовательский центр “Курчатовский институт”; Московский физико-технический институт
Email: aanesmelov@gmail.com
Россия, Москва; Россия, Моск. обл., Долгопрудный
Е. В. Храмов
Национальный исследовательский центр “Курчатовский институт”
Email: aanesmelov@gmail.com
Россия, Москва
А. А. Велигжанин
Национальный исследовательский центр “Курчатовский институт”
Email: aanesmelov@gmail.com
Россия, Москва
Д. Р. Стрельцов
Национальный исследовательский центр “Курчатовский институт”
Email: aanesmelov@gmail.com
Россия, Москва
О. А. Кондратьев
Национальный исследовательский центр “Курчатовский институт”
Email: aanesmelov@gmail.com
Россия, Москва
А. В. Бакиров
Национальный исследовательский центр “Курчатовский институт”
Email: aanesmelov@gmail.com
Россия, Москва
С. Н. Малахов
Национальный исследовательский центр “Курчатовский институт”
Email: aanesmelov@gmail.com
Россия, Москва
С. А. Завьялов
Национальный исследовательский центр “Курчатовский институт”
Email: aanesmelov@gmail.com
Россия, Москва
С. Н. Чвалун
Национальный исследовательский центр “Курчатовский институт”
Автор, ответственный за переписку.
Email: aanesmelov@gmail.com
Россия, Москва
Список литературы
- Wang Z., Wu H., Burr G. W. et al. // Nat. Rev. Mater. 2020. V. 5. № 3. P. 173.
- Berggren K., Xia Q., Likharev K. et al. // Nanotechnology. 2021. V. 32. № 1. P. 012002.
- Mikhaylov A., Pimashkin A., Pigareva Y. et al. // Front. Neurosci. 2020. V. 14. P. 1.
- Demin V.A., Emelyanov A.V., Lapkin D.A. et al. // Crystallogr. Reports. 2016. V. 61. № 6. P. 992.
- Yao P., Wu H., Gao B. et al. // Nature. 2020. V. 577. P. 641.
- Milano G., Pedretti G., Montano K. et al. // Nat. Mater. 2022. V. 21. P. 195.
- Emelyanov A.V., Nikiruy K.E., Serenko A.V. et al. // Nanotechnology. 2020. V. 31. № 4. P. 045201.
- Makarov V.A., Lobov S.A., Shchanikov S. et al. // Front. Comput. Neurosci. 2022. V. 16.
- Elliott S.R. // Intern. J. Appl. Glas. Sci. 2015. V. 6. № 1. P. 15.
- Vincent A.F., Larroque J., Locatelliet N. et al. // IEEE Trans. Biomed. Circuits Syst. 2015. V. 9. № 2. P. 166.
- Khakimov R.R., Chernikova A.G., Lebedinskii Y. et al. // ACS Appl. Electron. Mater. 2021. V. 3. № 10. P. 4317.
- Lapkin D.A., Korovin A.N., Malakhov S.N. et al. // Adv. Electron. Mater. 2020. V. 6. № 10. P. 1.
- Strukov D.B., Snider G.S., Stewart D.R. et al. // Nature. 2008. V. 453. № 7191. P. 80.
- Minnekhanov A.A., Shvetsov B.S., Martyshov M.M. et al. // Org. Electron. 2019. V. 74. P. 89.
- Banerjee W., Liu Q., Hwang H. // J. Appl. Phys. 2020. V. 127. № 5.
- Choi S., Tan S.H., Li Z. et al. // Nat. Mater. 2018. V. 17. № 4. P. 335.
- Martyshov M.N., Emelyanov A.V., Demin V.A. et al. // Phys. Rev. Appl. 2020. V. 14. № 3. P. 1.
- Matsukatova A.N., Emelyanov A.V., Kulagin V.A. et al. // Org. Electron. 2022. V. 102. P. 10645.
- Zeng T., Zou X., Wang Z. et al. // Small. 2021. V. 17. № 13. P. 2006662.
- Громов В.Ф., Иким М.И., Герасимов Г.Н. и др. // Хим. физика. 2021. Т. 40. № 12. С. 76.
- Иким М.И., Спиридонова Е.Ю., Белышева Т.В. и др. // Хим. физика. 2016. Т. 35. № 6. С. 90.
- Мацукатова А.Н., Емельянов А.В., Миннеханов А.А. и др. // Письма в ЖТФ. 2020. Т. 46. № 2. С. 25
- Matsukatova A.N., Emelyanov A.V., Minnekhanov A.A. et al. // Appl. Phys. Lett. 2020. V. 117. № 24. P. 243501.
- Minnekhanov A.A., Emelyanov A.V., Lapkin D.A. et al. // Sci. Rep. 2019. V. 9. № 1. P. 10800.
- Zavyalov S.A., Grigoriev E.I. Zavyalov A.S. et al. // Intern. J. Nanosci. 2005. V. 04. № 01. P. 149.
- Streltsov D.R., Mailyan K.A., Gusev A.V. et al. // Polymer. 2015. V. 71. P. 60.
- Nesmelov A.A., Oveshnikov L.N., Ozerin S.A. et al. // J. Phys. Chem. C. 2019. V. 123. № 16. P. 10517.
- Oveshnikov L.N., Zavyalov S.A., Trunkin I.N. et al. // Sci. Rep. 2021. V. 11. № 1. P. 16004.
- Yeh Y.S., James W.J., Yasuda H. // J. Polym. Sci., Part B: Polym. Phys. 1990. V. 28. № 4. P. 545.
- Pokhodnya K.I., Bonner M., Miller J.S. // Chem. Mater. 2004. V. 16. № 24. P. 5114.
- Hübers H.W., Schubert J., Krabbe A. et al. // Infrared Phys. Technol. 2001. V. 42. № 1. P. 41.
- Shvetsov B.S., Minnekhanov A.A., Emelyanov A.V. et al. // Nanotechnology. 2022. V. 33. № 25. P. 255201.
- Deb S.K., Bowden F.P. // Proc. Roy. Soc. London, Ser. A. 1968. V. 304. № 1477. P. 211.
- Xue Q., Wang Y.C., Wei X.H. // Appl. Surf. Sci. 2019. V. 479. P. 469.
- Трахтенберг Л.И., Герасимов Г.Н., Григорьев Е.И. // ЖФХ. 1999. Т. 73. № 2. С. 209
- Chernyshov A., Veligzhanin A., Zubavichus Y. // Nucl. Instr. Meth. Phys. Res. A. 2009. V. 603. P. 95.
- Ravel B. // J. Synchrotron. Rad. 2005. V. 12. P. 537.
- Суровой Э.П., Еремеева Г.О. // Неорган. материалы. 2013. Т. 49. № 5. С. 500.
- Tauc J. // Mater. Res. Bull. 1968. V. 3. P. 37.
- Ressler T., Wienold J., Jentoft R.E. et al. // J. Catal. 2002. V. 210. P. 67.
- Farges F., Siewert R., Brown G.E. et al. // Can. Mineral. 2006. V. 44. P. 731.
- Andersson G., Magneli A. // Acta Chem. Scand. 1950. V. 4. P. 793.
Дополнительные файлы






