Mechanism of One-Pot Stereoselective Assembly of Spiroketal Derivatives from Cyclohexanone and Phenylacetylene in KOH/DMSO: a Quantum Chemical Study
- Authors: Orel V.B.1, Manzhueva A.A.1
-
Affiliations:
- Irkutsk State University
- Issue: Vol 42, No 7 (2023)
- Pages: 59-69
- Section: XXXIV СИМПОЗИУМ “СОВРЕМЕННАЯ ХИМИЧЕСКАЯ ФИЗИКА” (СЕНТЯБРЬ 2022 г., ТУАПСЕ)
- URL: https://medbiosci.ru/0207-401X/article/view/139949
- DOI: https://doi.org/10.31857/S0207401X23070154
- EDN: https://elibrary.ru/YFNJBE
- ID: 139949
Cite item
Full Text
Abstract
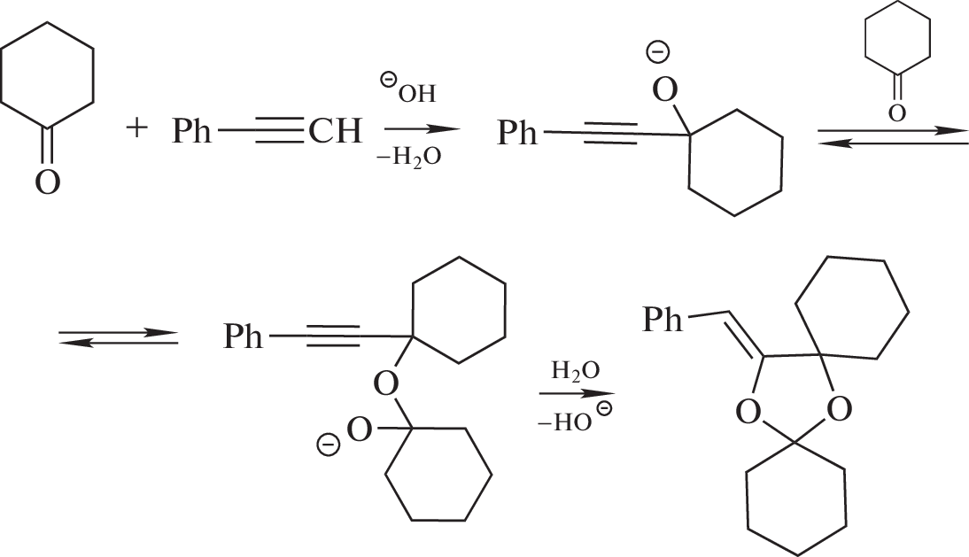
The formation mechanisms of 15-[(Z)-phenylmethylidene]-7,14-dioxadispiro[5.1.5.2]pentadecane and the competitive formation of unsaturated ketones from cyclohexanone and phenylacetylene are studied using the B2PLYP-D2/6-311+G**//B3LYP/6-31+G* quantum chemical approach, taking into account solvation effects within the IEFPCM model. All stages of the assembly of dispiroketal and the stability of various conformers and isomers of the intermediates and the product are considered using the anionic model (ANIONGAS). Within the more detailed MONOPCM model, the activation barriers of the assembly of dispiroketal and the competing reaction of C-vinylation are evaluated. The obtained results of the quantum chemical calculations are in close agreement with the experimental data.
About the authors
V. B. Orel
Irkutsk State University
Email: orelv@isu.ru
Irkutsk, Russia
A. A. Manzhueva
Irkutsk State University
Author for correspondence.
Email: orelv@isu.ru
Irkutsk, Russia
References
- Brimble M., Furkert D. // Curr. Org. Chem. 2003. V. 7. № 14. P. 1461; https://doi.org/10.2174/1385272033486404
- Perron F., Albizati K.F. // Chem. Rev. 1989. V. 89. № 7. P. 1617; https://doi.org/10.1021/cr00097a015
- Koshino H., Takahashi H., Osada H. et al. // J. Antibiot. (Tokyo). 1992. V. 45. № 9. P. 1420; https://doi.org/10.7164/antibiotics.45.1420
- Shimizu T., Usui T., Machida K. et al. // Bioorg. Med. Chem. Lett. 2002. V. 12. № 23. P. 3363; https://doi.org/10.1016/S0960-894X(02)00782-5
- Cullen W.P., Celmer W.D., Chappel L.R. et al. // J. Ind. Microbiol. 1988. V. 2. № 6. P. 349; https://doi.org/10.1007/BF01569573
- Kotecha N.R., Ley S.V., Mantegani S. // Synlett. 1992. № 05. P. 395; https://doi.org/10.1055/s-1992-21357
- Tachibana K., Scheuer P.J., Tsukitani Y. et al. // J. Amer. Chem. Soc. 1981. V. 103. № 9. P. 2469; https://doi.org/10.1021/ja00399a082
- Singh S.B., Zink D.L., Heimbach B. et al. // Org. Lett. 2002. V. 4. № 7. P. 1123; https://doi.org/10.1021/ol025539b
- Pettit G.R., Chicacz Z.A., Gao F. et al. // J. Org. Chem. 1993. V. 58. № 6. P. 1302; https://doi.org/10.1021/jo00058a004
- Ueno T., Takahashi H., Oda M. et al. // Biochemistry 2000. V. 39. № 20. P. 5995; https://doi.org/10.1021/bi992661i
- Li A., Piel J. // Chem. Biol. 2002. V. 9. № 9. P. 1017; https://doi.org/10.1016/S1074-5521(02)00223-5
- Francke W., Kitching W. // Curr. Org. Chem. 2001. V. 5. № 2. P. 233; https://doi.org/10.2174/1385272013375652
- Lenci E. // Small Molecule Drug Discovery. Elsevier, 2020. P. 225–245; https://doi.org/10.1016/B978-0-12-818349-6.00008-X
- Sun P., Zhao Q., Zhang H. et al. // ChemBioChem 2014. V. 15. № 5. P. 660; https://doi.org/10.1002/cbic.201300616
- Zarganes-Tzitzikas T., Dömling A. // Org. Chem. Front. 2014. V. 1. № 7. P. 834; https://doi.org/10.1039/C4QO00088A
- Ramachary D.B., Mondal R., Venkaiah C. // Org. Biomol. Chem. 2010. V. 8. № 2. P. 321; https://doi.org/10.1039/B920152A
- Sydnes M.O. // Curr. Green Chem. 2014. V. 1. P. 216; https://doi.org/10.2174/2213346101666140221225404
- Mead K.T., Brewer B.N. // Curr. Org. Chem. 2003. V. 7. № 3. P. 227; https://doi.org/10.2174/1385272033372969
- Palmes J.A., Aponick A. // Synthesis (Stuttg). 2012. V. 44. № 24. P. 3699; https://doi.org/10.1055/s-0032-1317489
- Raju B.R., Saikia A.K. // Molecules. 2008. V. 13. № 8. P. 1942; https://doi.org/10.3390/molecules13081942
- Yadav J.S., Raghavendra Rao K.V., Ravindar K. et al. // Synlett. 2010. № 1. P. 51; https://doi.org/10.1055/s-0029-1218546
- Trofimov B.A., Schmidt E.Y. // Acc. Chem. Res. 2018. V. 51. № 5. P. 1117; https://doi.org/10.1021/acs.accounts.7b00618
- Schmidt E.Y., Zorina N.V., Skitaltseva E.V. et al. // Tetrahedron Lett. 2011. V. 52. № 29. P. 3772; https://doi.org/10.1016/j.tetlet.2011.05.056
- Schmidt E.Y., Zorina N.V., Skitaltseva E.V. et al. // Tetrahedron Lett. 2011. V. 52. № 29. P. 3772; https://doi.org/10.1016/j.tetlet.2011.05.056
- Trofimov B.A., Schmidt E.Y., Skitaltseva E.V. et al. // Ibid. 2011. V. 52. № 33. P. 4285; https://doi.org/10.1016/j.tetlet.2011.06.019
- Siyamak Shahab, Masoome Sheikhi // Russ. J. Phys. Chem. B. 2020. V. 14. № 1. P. 15–18. https://doi.org/10.1134/S1990793120010145
- Zhiyan Wu, Zhang L., Liao Y. // Russ. J. Phys. Chem. B. 2021. V. 15. № S1. P. S81–S91. https://doi.org/10.1134/S1990793121090153
- Breslavskaya N.N., Wasserman L.A., Barashkova I.I., Buchachenko A.L. // Russ. J. Phys. Chem. B. 2019. V. 13. № 4. P. 569; https://doi.org/10.1134/S199079311904002X
- Ramakrishnan R., Dral P.O., Rupp M. et al. // Sci. Data. 2014. V. 1. P. 1; https://doi.org/10.1038/sdata.2014.22
- Забалов М.В., Левина М.А., Тигер Р.П. // Хим. физика 2019. Т. 38. № 9. С. 3; https://doi.org/10.1134/S0207401X19090127
- Grambow C.A., Pattanaik L., Green W.H. // Sci. Data. 2020. V. 7. № 1. P. 1–8. https://doi.org/10.1038/s41597-020-0460-4
- Frisch M., Trucks G., Schlegel H., Scuseria G.E., Robb M.A., Cheeseman J.R., Scalmani G., Barone V., Petersson G.A., Nakatsuji H., Li X., Caricato M., Marenich A.V., Bloino J., Janesko B.G., Gomperts R., Mennucci B., Hratchian H.P., Ortiz J.V., Izmaylov A.F., Sonnenberg J.L., Williams-Young D., Ding F., Lipparini F., Egidi F., Goings J., Peng B., Petrone A., Henderson T., Ranasinghe D., Zakrzewski V.G., Gao J., Rega N., Zheng G., Liang W., Hada M., Ehara M., Toyota K., Fukuda R., Hasegawa J., Ishida M., Nakajima T., Honda Y., Kitao O., Nakai H., Vreven T., Throssell K., Montgomery J.A., Jr., Peralta J.E., Ogliaro F., Bearpark M.J., Heyd J.J., Brothers E.N., Kudin K.N., Staroverov V.N., Keith T.A., Kobayashi R., Normand J., Raghavachari K., Rendell A.P., Burant J.C., Iyengar S.S., Tomasi J., Cossi M., Millam J.M., Klene M., Adamo C., Cammi R., Ochterski J.W., Martin R.L., Morokuma K., Farkas O., Foresman J.B., Fox D.J. Gaussian 16. Wallingford CT: Gaussian Inc., 2019.
- Becke A.D. // Phys. Rev. A. 1988. V. 38. № 6. P. 3098; https://doi.org/10.1103/PhysRevA.38.3098
- Lee C., Yang W., Parr R.G. // Phys. Rev. B. 1988. V. 37. № 2. P. 785; https://doi.org/10.1103/PhysRevB.37.785
- Page M., Doubleday C., McIver J.W. // J. Chem. Phys. 1990. V. 93. № 8. P. 5634; https://doi.org/10.1063/1.459634
- Grimme S. // Ibid. 2006. V. 124. № 3. P. 034108; https://doi.org/10.1063/1.2148954
- Grimme S., Ehrlich S., Goerigk L. // J. Comput. Chem. 2011. V. 32. № 7. P. 1456; https://doi.org/10.1002/jcc.21759
- Tomasi J., Mennucci B., Cancès E. // J. Mol. Struct: THEOCHEM. 1999. V. 464. № 1–3. P. 211; https://doi.org/10.1016/S0166-1280(98)00553-3
- Pascual-ahuir J.L., Silla E., Tuñon I. // J. Comput. Chem. 1994. V. 15. № 10. P. 1127; https://doi.org/10.1002/jcc.540151009
- Bondi A. // J. Phys. Chem. 1964. V. 68. № 3. P. 441; https://doi.org/10.1021/j100785a001
- Wertz D.H. // J. Amer. Chem. Soc. 1980. V. 102. № 16. P. 5316; https://doi.org/10.1021/ja00536a033
- Vitkovskaya N.M., Kobychev V.B., Bobkov A.S. et al. // J. Org. Chem. 2017. V. 82. № 23. P. 12467; https://doi.org/10.1021/acs.joc.7b02263
- Allinger N.L. // J. Amer. Chem. Soc. 1959. V. 81. № 21. P. 5727; https://doi.org/10.1021/ja01530a049
- Stortz C.A. // J. Phys. Org. Chem. 2010. V. 23. № 12. P. 1173; https://doi.org/10.1002/poc.1689
- Vitkovskaya N.M., Orel V.B., Kobychev V.B. et al. // Intern. J. Quantum Chem. 2020. V. 120. № 9. P. 1; https://doi.org/10.1002/qua.26158
- Abramenkov A.V. Kinet for Windows. 2012. Ver. 0.8.
- Ларионова Е.Ю., Витковская Н.М., Кобычев В.Б. и др. // Журн. структур. химии 2007. Т. 48. № S7. С. 101.
- Ларионова Е.Ю., Витковская Н.М., Кобычев В.Б. и др. // Докл. РАН 2011. Т. 438. № 6. С. 765.
- Bordwell F.G., Fried H.E. // J. Org. Chem. 1991. V. 56. № 13. P. 4218; https://doi.org/10.1021/jo00013a027
- Matthews W.S., Bares J.E., Bartmess J.E. et al. // J. Amer. Chem. Soc. 1975. V. 97. № 24. P. 7006; https://doi.org/10.1021/ja00857a010
- Trofimov B.A., Schmidt E.Y., Zorina N.V. et al. // Adv. Synth. Catal. 2012. V. 354. № 9. P. 1813; https://doi.org/10.1002/adsc.201200210
Supplementary files













