Features of structural formations in butadiene-nitrile rubber films under the action of a directed electric field
- Authors: Shibryaeva L.S.1,2, Komova N.N.2, Chizhenok V.A.2, Boginskay I.A.3
-
Affiliations:
- Emanuel Institute of Biochemical Physics, Russian Academy of Sciences
- Russian Technological University
- Federal State Budgetary Institution of Science Institute of Theoretical and Applied Electrodynamics of the Russian Academy of Sciences
- Issue: Vol 43, No 1 (2024)
- Pages: 92-101
- Section: Chemical physics of polymeric materials
- URL: https://medbiosci.ru/0207-401X/article/view/258734
- DOI: https://doi.org/10.31857/S0207401X24010113
- EDN: https://elibrary.ru/mfaxcj
- ID: 258734
Cite item
Full Text
Abstract
The influence of the direction of a constant electric field on the properties and structural features of thin films of nitrile rubber (NBR) formed on copper substrates from a solution in chloroform has been studied. It is shown that the greatest effect in the modification of properties associated with structural transformations in the process of formation of elastomer films occurs on the negative electrode - the cathode, when the electric field lines are directed to the electrode surface. The method of differential scanning calorimetry shows the structural differences between films formed outside and in the presence of electric fields. The films formed in the fields have different electrical characteristics from the films formed outside the field. IR spectroscopy methods confirmed the structuring and cyclization of BNKS molecules on the surface of the film formed on the cathode.
Full Text
ВВЕДЕНИЕ
В последнее время возрос интерес к нетрадиционным методам синтеза и модификации полимерных материалов под действием электрических и магнитных полей, переменного электрического поля и электромагнитного излучения [1, 2]. Формирование полимерных структур под действием различных внешних условий приводит к изменениям характеристик материалов и предопределяет конечные свойства и, как следствие, их применение.
Воздействие как постоянного, так и переменного электрических полей на полимеры приводит к изменению электрофизических, механических и прочностных характеристик материала. Особенно четко такое воздействие проявляется в процессе деструкции полимерных цепей [3–5]. Воздействие электрических полей на полимер в зависимости от его природы может приводить к изменению в структуре макромолекул. Так, в работе [6] исследовано явление электромеханического отклика (деформации под действием электрического поля), которое заключается в выраженном изменении степени набухания образца при воздействии электрического поля на композиционные системы хитозан–полианилин, что является результатом ориентационного вытягивания цепей в электрических полях.
В работе [7] доказано, что электропроводящие полимеры (полианилин, полипиррол и т.п.) способны проявлять электромеханический отклик, обусловленный индуцированными электрохимическим методом конформационными переходами в макромолекулах. В работе [8] проанализировано изменение состояния макромолекулярной цепи протонированного полиэтиленоксида при совместном действии температуры и высокочастотного электрического поля с помощью компьютерного моделирования. Результаты моделирования подтверждены экспериментально.
В процессе ориентирующего действия электрических полей (в большей степени на полярные макромолекулы) [9] появляется возможность увеличения проводимости полимеров [10]. Механизм такой проводимости определяется состоянием полимера в различных температурных интервалах [11]. Столь сильное влияние электрических полей на структурную организацию макромолекул, в особенности полярных полимеров, дает основание для их применения с целью модификации свойств полимерных материалов.
Типичным полярным полимером является бутадиен-нитрильный синтетический каучук (БНКС), в состав которого входят такие полярные группы, как –CN и –С=СН2. Резины на основе БНКС нашли широкое применение в технике, поскольку обладают стойкостью к агрессивным средам [12], в том числе к продуктам нефтепроизводства. Они имеют высокую устойчивость к воде, пластичным смазкам, минеральным маслам, алифатическим углеводородам, хладагентам, животным и растительным жирам и маслам, дизельному топливу с добавлением ароматических углеводородов до 40% [13]. Бутадиен-нитрильный каучук хорошо совместим со смесями каучуков благодаря межфазному взаимодействию таких материалов [14]. Материалы на основе БНКС можно подвергать эксплуатации при температурах в пределах от –30 до +100 °С. Специальные материалы на основе БНКС, можно эксплуатировать в более широком температурном диапазоне. Этот каучук отличается высокой адгезионной способностью к металлам, поэтому широко используется для изготовления резинометаллических деталей, контактирующих с маслами и топливом.
В связи с использованием пленок БНКС в качестве покрытий для металлов актуальным является вопрос об электропроводности и электротехнических характеристиках этого материала в температурных диапазонах его эксплуатации. Цель настоящей статьи — исследование возможности регулирования таких характеристик в процессе формирования полимерных покрытий металлических поверхностей.
ЭКСПЕРИМЕНТАЛЬНАЯ ЧАСТЬ
Объектом исследования является синтетический бутадиен-нитрильный каучук марки БНКС-28 АМН (производитель — Красноярский завод синтетического каучука (СИБУР), ТУ 38.30313-2006). Пленки этого эластомера получали методом нанесения его раствора с концентрацией 6 мас. % в хлороформе на медные пластинки размером 1200 мм2. Пластины покрывали в несколько слоев и оставляли при комнатной температуре до полного высыхания при воздействии направленного постоянного электрического поля. Для создания постоянного электрического поля к пластинам подключали отрицательные и положительные полюса источника постоянного поля напряжением 100 В. Полноту высыхания полимерных пленок на электродах контролировали гравиметрическим методом. Толщины образованных пленочных покрытий составляли от 70 до 100 мкм. Исследовали от 5 до 7 образцов, полученных при одинаковых условиях. Зависимости электрического сопротивления образованных пленок от температуры, а также температурные зависимости электроемкости и тангенса диэлектрических потерь исследовали с использованием прецизионного измерителя LCR модели НР 4284A производства компании Agilent Technologies (USA) в эквивалентной схеме параллельно соединенных резистора и конденсатора при частоте 1 кГц в термостате с контролируемой температурой прогрева с точностью до 2 К в интервале 293–373 К. Температуру образцов контролировали с помощью термопары хромель-копель.
Теплофизические исследования образцов проводили с помощью дифференциального сканирующего калориметра DSC3 серии Excellence фирмы Меттлер Толедо (Швейцария). Скорость сканирования составляла 10 град/мин, навеску варьировали от 8 до 15 мг, калибровку осуществляли по индию с Тпл = 156.6 °С.
Определение химической структуры характерных групп макромолекул на поверхности образующейся пленки осуществляли методом спектроскопии комбинационного рассеяния с использованием спектрометра Alpha 300 R компании WITec (Germany) на основе конфокального микроскопа [15] в режиме «на отражение». Для возбуждения спектров использовали лазер мощностью 54 мВт с длиной волны 785 нм. Время накопления одного спектра составляло 20 с, количество усреднений — одно. Для измерений использовали объектив 50X/0.8 Carl Zeiss, (Germany) с коррекцией хроматических аберраций. В качестве регистрирующей системы использовали спектрограф UHTS 300 производства компании Andor (Irish) с безлинзовой системой передачи оптического сигнала, что позволяет снизить потери на передаче сигнала на 20%. Для детектирования сигнала использовалась матрица электронного умножителя с зарядовой связью (EMCCD) DU970N-BV (Andor, Irish) с охлаждением до –60°C, что на порядок снижает темновой шум. Спектры обрабатывали с помощью программы OPUS 7.0 (Bruker, Germany) с использованием встроенных алгоритмов обрезки в заданный диапазон и вычитания базовой линии методом «скорректированной эластичной ленты». Для оценки эффективности сигнала использовали структурно-чувствительные полосы комбинационного рассеяния при 1615, 2045 и 2112 см–1 [16]. Интенсивность сигнала SERS этих полос рассчитывали как среднее значение по измерениям в десяти точках образца после вычитания базовой линии.
РЕЗУЛЬТАТЫ И ИХ ОБСУЖДЕНИЕ
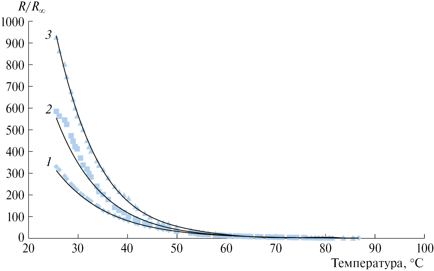
На рис. 1 представлены температурные зависимости относительного удельного сопротивления пленок бутадиен-нитрильного каучука, сформированных на медной подложке при разных условиях воздействия постоянного электрического поля. Из представленных зависимостей видно, что наибольшим электрическим сопротивлением до Т = 50 °С обладают пленки эластомера, образованные на катоде. Наименьшим относительным электрическим сопротивлением в рассматриваемых условиях обладают пленки, сформированные вне поля.
Рис. 1. Температурные зависимости относительного удельного сопротивления пленок бутадиент-нитрильного каучука, сформированных на медной пластине в отсутствии электрического поля (1), на аноде (2), на катоде (3).
Полученные зависимости на рис. 2 аппроксимируются прямыми линиями в координатах ln (R/R∞) — 1/T (метод линейной аппроксимации). Результаты обработки соответс твующих зависимостей позволяют определить энергии активации уменьшения относительного удельного сопротивления сформированных пленок БНКС.
Рис. 2. Полулогарифмическая анаморфоза зависимости относительного удельного сопротивления от обратной температуры для пленки БНКС, –сформированной в отсутствие поля (1), на аноде (2), на катоде (3).
Энергия активации уменьшения электрического сопротивления имеет наименьшее значение для пленки, сформированной вне поля: (82.647 ± ± 2.810 кДж/моль); для пленки, сформированной на аноде — 92.424 ± 1.121 кДж/моль; для пленки, сформированной на катоде — 100.127 ± 2.863 кДж/моль. Таким образом, для изменения электрического сопротивления необходимо затратить наибольшую энергию для образца, сформированного на катоде. Различные энергетические характеристики электропроводности для пленок, сформированных в разных условиях (отсутствие или разное направление электрического поля), определяются разными структурными образованиями в этих пленках. При изучении термических превращений БНКС путем определения степени структурирования после нагревания по линейному режиму в работах [17, 18]. Показано, что энергии активации термоструктурирования растут при увеличении концентрации нитрильных групп в БНКС от 18 до 40%: от (92 ± 4) до (125 ± 4) кДж/моль. Эти значения близки к найденным в работе величинам энергии активации изменения электросопротивления для пленок, сформированных на аноде и катоде. Такое соответствие дает основания полагать, что изменения электросопротивления определяются изменением в структуре молекул БНКС. В наибольшей степени процесс имеет место на катоде. Этот факт подтверждает положение о том, что функциональные и технологические свойства каучуков обусловлены характеристиками иерархии структурных элементов (сегментов, макромолекул, надмолекулярных структур) и зависят от их композиционной однородности по химическому составу и объему материала [19].
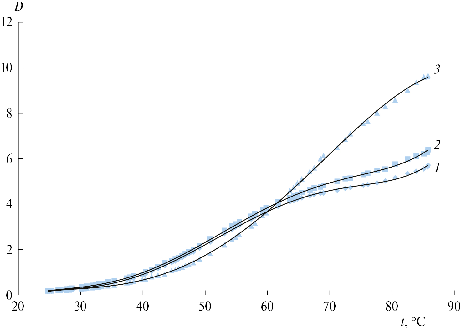
Температурная зависимость электроемкости образцов, сформированных при разных условиях, представлена на рис. 3. Зависимости экстраполируются степенными уравнениями третьего порядка. Резкий рост электроемкости наблюдается для всех трех образцов в районе 50–60 °С. Исходя из того факта, что электроемкость пропорциональна параметру поляризованности материала, можно утверждать, что в этом температурном диапазоне происходит рост локальных дипольных моментов полимерной среды, что отражается на увеличении поляризованности всей полимерной системы. В наибольшей степени это проявляется для образцов, сформированных вне электрического поля и на аноде. Если до указанного температурного диапазона ход зависимостей различается незначительно, то после 60 °С наблюдается резкое различие в характере соответствующих кривых (рис. 3).
Рис. 3. Температурная зависимость электроемкости образцов пленок, сформированных вне электрического поля (1), на аноде (2), на катоде (3).
В случае формирования пленки на катоде, где электрическое поле направлено к поверхности электрода, изменение электроемкости с ростом температуры гораздо меньше. Такой эффект связан с меньшей концентрацией полярных групп, что приводит к меньшей поляризованности материала при растормаживании полимерной системы при нагревании. Уменьшение же полярных групп на поверхности пленки есть результат структурирования и циклизации полимерной системы. Циклизация молекул БНКС описывается схемой [17]
Структурирование на поверхности пленки может происходить в результате сшивания по двойным связям между молекулами с образованием групп –С=NН [19]:
а также за счет раскрытия двойных связей в боковых группах –СН=СН2 по схемам
Структурные особенности при формировании пленок под воздействием электрического поля в разных направлениях определяют различие температурных зависимостей тангенса угла диэлектрических потерь этих формирований (рис. 4). Такие зависимости аппроксимируются степенными функциями пятого порядка, и наибольшее расхождение таких зависимостей наблюдается после 60 °С. При этом наименьшие изменения претерпевает зависимость для образца, сформированного вне электрического поля, а наибольшее — для образца, сформированного на катоде. Анализируя полученные зависимости, можно заключить, что наиболее прочным с позиций электрофизических свойств структурным образованием БНКС является то, которое формируется на катоде, т.е. при направленности электрического поля к поверхности формируемой пленки.
Рис. 4. Температурная зависимость тангенса угла диэлектрических потерь пленок БНКС, сформированных на медных подложках: 1 — вне электрического поля, 2 — на аноде, 3 — на катоде.
Калориметрические исследования позволяют связать изменения в электрофизических свойствах пленок БНКС, сформированных при разных условиях, со структурными преобразованиями, происходящими в них в процессе изменения температуры. Как видно из рис. 5, для образцов, сформированных на катоде, на аноде и вне поля наблюдаются значительные отличия хода кривых. Для катодного образца при 48.2 °С наблюдается пик, который характеризует плавление. Нормированный интеграл этого пика составляет 1.14 Дж–1. Процесс плавления этого образца при дальнейшем нагреве сопровождается стеклованием при 76.8 °С, так как после этой температуры наблюдается изменение теплоемкости от 0.6 до 1.3 кДж/кг град. Пик кривой ДСК при отрицательной температуре (–39°С), так же как и для двух других образцов, соответствует релаксационному α-переходу, который отражает увеличение сегментарной подвижности макромолекул при нагревании [20, 21].
Рис. 5. Кривые ДСК при нагреве образцов со скоростью 10 град/мин, сформированных вне поля (1), на аноде (2), на катоде (3).
Особенности формирования структуры пленки БНКС на катоде следует рассмотреть с учетом того, что этот эластомер является полярным и имеет в своем составе группы –CN и –CH=CH2. Электроотрицательность группы –CN по Полингу [22] составляет 3.4 единицы. Для установления распределения электронной плотности на группе –CH=CH2 следует учесть, что у несимметричных алкеновых групп электронная плотность распределена неравномерно. Под влиянием метильной группы, связанной непосредственно с двойной связью, происходит смещение электронной плотности в сторону этой связи (на крайний углеродный атом), поэтому крайний атом углерода этой группы приобретает частичный отрицательный заряд.
Если к раствору такой полярной системы приложено электрическое поле, направленное к поверхности электрода, т.е. система находится на катоде, то все группы, содержащие отрицательный заряд, сориентируются таким образом, что их положение будет в основном локализовано с противоположной стороны отрицательной подложки (рис. 6).
Рис. 6. Схематическое представление формирования структуры пленки БНКС на катоде.
Локализация полярных групп на поверхности пленки создает условия образования диполь-дипольных связей. Согласование и фиксация в процессе удаления растворителя таких связей дает возможность образования квазикристаллического состояния на поверхности образующейся пленки. Из работ [23, 24] известно, что в кристаллическом состоянии полимеры обладают большим электрическим сопротивлением, так как поляронный или механизм передачи зарядов с помощью так называемых «зарядных ловушек» [25] требует достаточной локальной активности полярных групп, что связано с уменьшением кристалличности системы. Поэтому образец пленки, сформированный на катоде, обладает большим электрическим сопротивлением, чем образец, сформированный вне поля (рис. 1). Подтверждением высказанного механизма может служить кривая ДСК (кривая 3, рис. 5), где в районе температуры 48.2 °С фиксируется пик плавления.
По всей вероятности, процесс плавления для этого образца сопровождается распадом диполь-дипольных связей, который вызывает λ2-релаксацию. Этот процесс для БНКС подробно изучен в работах Бартенева [20, 21] и проявляется в температурном интервале 45–52 °С. Распад диполь-дипольных связей в БНКС завершается после 85 °С, а при более высоких температурах происходит распад λ-узлов по аналогии со случаем для неполярного полимера. Однако, для образца, сформированного на катоде, согласно данным ДСК (рис. 5) такой распад определяет процесс расстеклования при 76.8 °С.
В исследованиях образцов, проведенных методом ИК-спектроскопии при температурах 70–85 °С, наблюдали структурную релаксацию, которая подтвердилась методами механической релаксации и была интерпретирована как структурный πN-переход [26]. Это связано с увеличением свободы вращения полярных групп вокруг оси полимерных групп и оси полимерной цепи [26].
Что касается образца, сформированного на аноде, то в процессе нагрева, как видно по кривым ДСК (рис. 5, кривая 2), происходит релаксационный процесс в интервалах температур 60–100 и 170–200 °С. Первый соответствует λ3-переходу, который отражает разрушение микрообъемных физических λ-узлов молекулярной сетки [26], сформированных в объеме пленки. Положительный заряд на аноде притягивает отрицательные группы полимерной системы, но объемные затруднения не позволяют и даже препятствуют локальной ориентации макромолекул, содержащих полярные группы. В результате на аноде формируется строго аморфная структура, так как структурирование за счет взаимодействия полярных групп происходит в гораздо меньшей степени. Результатом таких процессов является проявление меньшего электрического сопротивления, чем в системе, содержащей более упорядоченные (квазикристаллические) области. В области 170–200 °С реализуется λ1 релаксационный процесс, скорее всего, определяемый разрушением редких и не столь прочных диполь-дипольных связей и двойных связей групп –CH=CH2.
Образец, сформированный в отсутствие электрического поля, не подвергается воздействию каких-либо ориентирующих сил. Структурообразование в этом случае имеет равновесный характер. Согласно данным ДСК (рис. 3, кривая 1), при нагревании для этого образца имеют место несколько мелкомасштабных релаксационных процессов, больше их по количеству, чем для образца, сформированного на аноде. Температурные интервалы этих процессов следующие: 40–70; 90–150; 170–200 °С. Первый процесс соответствует релаксационному πs-переходу (распад локальных физических узлов). Второй –релаксационный λ′′′-переход (распад микрообъемных физических λ-узлов молекулярной сетки). Третий — λ1-релаксационный переход.
Отсутствие достаточно упорядоченных областей в пленках, сформированных вне поля и на аноде, приводят к уменьшению электрического сопротивления. Причем значения этого параметра выравниваются для всех образцов в результате разрушения диполь-дипольных связей в полимерной системе. Но при таком разрушении происходит увеличение поляризованности пленок — увеличивается электроемкость образцов (рис. 3). Наибольшее значение поляризованности, отражающей локальные дипольные моменты молекул, проявляется для пленок, сформированных вне поля и на аноде.
Изменение электроемкости согласуется с изменением теплоемкости. Так, наименьшее значение и теплоемкости, и электроемкости наблюдается у образца, сформированного на катоде, а наибольшее — для двух других образцов.
Данные спектров комбинационного рассеяния свидетельствуют о различии структурных групп, образованных в пленках БНКС при различной направленности электрического поля и в его отсутствие. Идентификация групп на поверхности пленок по спектрам комбинационного рассеяния подтверждает предложенный механизм процессов структурирования и циклизации макромолекул на поверхности пленок, сформированных в поле, направленном к их поверхности (рис. 7). В спектре пленки, образованной на катоде (рис. 7, кривая 3), появляются пики поглощения: пик при длине волны 2112 см–1, который соответствует группе R–N–C; пики при длине волны 2045 см-1 , соответствующие поглощению группы С=С=С, а также при длине волны 1615 см–1, что соответствует поглощению группы –С=N–. Пиков поглощения при таких длинах волн не наблюдается в спектрах для образцов, сформированных вне электрического поля и при направленности электрического поля от поверхности пленки (рис. 7, кривые 1 и 2).
Рис. 7. Спектры комбинационного рассеяния пленок БНКС, пленка, сформированных вне поля (1), на аноде (2), на катоде (3).
ВЫВОДЫ
- Показано, что пленки БНКС, сформированные на катоде, обладают большим электрическим сопротивлением, чем аналогичные пленки, сформированные вне поля и на аноде.
- Проанализировано влияние структурообразования пленок БНКС при различных внешних условиях на электрофизические свойства.
- Показано, что при формировании пленок БНКС на катоде на поверхности пленки происходит образование более упорядоченного слоя, который является результатом изменения химической структуры макромолекул.
- Представлена наиболее вероятная схема химических процессов между структурными элементами макромолекул БНКС при действии постоянного электрического поля.
- Показана возможность с помощью направленного воздействия электрических полей при формировании пленок полярного БНКС регулировать структуру пленок и их электрофизические свойства.
About the authors
L. S. Shibryaeva
Emanuel Institute of Biochemical Physics, Russian Academy of Sciences; Russian Technological University
Email: komova_n@mirea.ru
Lomonosov Institute of Fine Chemical Technologies
Russian Federation, Moscow; MoscowN. N. Komova
Russian Technological University
Author for correspondence.
Email: komova_n@mirea.ru
Lomonosov Institute of Fine Chemical Technologies
Russian Federation, MoscowV. A. Chizhenok
Russian Technological University
Email: komova_n@mirea.ru
Lomonosov Institute of Fine Chemical Technologies
Russian Federation, MoscowI. A. Boginskay
Federal State Budgetary Institution of Science Institute of Theoretical and Applied Electrodynamics of the Russian Academy of Sciences
Email: komova_n@mirea.ru
Russian Federation, Moscow
References
- Levin P.P., Efremkin A.F., Khudyakov I.V. Recombination Kinetics of Radicals in Polymers: Magnetic Field Effects // Russian Journal of Physical Chemistry B. 2020. V. 14, №3. P.522-525. https://doi.org/10.1134/S1990793120030197
- Tertyshnaya Yu.V., Podzorova M.V. Effect of UV Irradiation on the Structural and Dynamic Characteristics of Polylactide and Its Blends with Polyethylene // Russian Journal of Physical Chemistry B. 2020. V. 14, № 1. P.167–175. https://doi.org/10.1134/S1990793120010170
- Slutsker A.I., Polikarpov Yu.I., Gilyarov B.JI. On elementary acts and kinetics of electrical destruction of polymers. // JTF. 2006. V. 2006, issue. 12. S. 52.
- Kai Wu, Dissado L. A., Okamoto T. Percolation model for electrical breakdown in insulating polymers. // Appl. Phys. Letters. 2004. V. 85. № 19. P. 4454. https://doi.org/10.1063/1.1819526
- Gul V.E., Basin V.E. Destruction of polymers in the field of mechanical and electrical forces.// Reports of the Academy of Sciences of the USSR. 1978. V.241. № 5. S. 45.
- Dmitriyev I.YU., Rozova Ye.YU., Zoolshoyev Z.F., Nesterov P.V., Kuryndin I.S., Kraynyukov Ye.S., Lebedev S.V., Yel’yashevich G.K. Elektromekhanicheskiy otklik i struktura kompozitsionnoy sistemy khitozan-polianilin.// Vysokomolek. Soyed. Seriya A. 2018. V. 60. № 3. P. 217.
- Smirnov MA, Bobrova NV, Dmitriev IYu, Bukolšek V, Elyashevich G.K. Electroactive hydrogels based on poly(acrylic acid) and polypyrrole.// Polym. Sci. A. 2011. V. 53. P. 67. https://doi.org/10.1134/S0965545X11010068
- Dudrovskiy S.A., Balabayev N.K. Komp’yuteronoye modelirovaniye vysokochastotnogo nagreva tsepi protonirovannogo polietilenoksida v vakuume// Vysokomolek. Soyed. A. 2018. V.60. № 3. P.249.
- Svorcık V., Gardasova R., Rybka V., Hnatowicz V., Cervena J., Plesek J. Effect of Electrical Field on Dipoles in Polymer Composites // Journal of Applied Polymer Science. 2004. V. 91. Р.40.
- Pallavi G., Mohit R. et.al. Electric field and current assisted alignment of CNT inside polymer matrix and its effects on electrical and mechanical properties. // J.Polymer. 2016. V.89. № 10. P.1016.
- Komova N.N. AC conductance of thin polychloroprene films formed in an electric field. // Fine chemical technologies. 2018. № 1. V.13. P.75. https://doi.org/10.32362/2410-6593-2018-13-1-75-92
- Livanova N.M., Popov A.A Free Volume and the Rates of the Ozone Degradation of Vulcanizates’ Statistical and Block Nitrile–Butadiene Rubbers.// Russian Journal of Physical Chemistry B. 2020. V. 14, № 3. P. 541–546. https://doi.org/10.1134/S1990793120030215
- Encyclopedia of polymers: in 3 volumes. Moscow: Soviet Encyclopedia, 1977. Vol. 1. P. 310–320.
- Livanova N.M., Khazova V.A., Pravda E.S., Adriasyan Yu.O. Topological, Micromolecular, and Supramolecular Structure of Ethylene-Propylenediene Elastomers and Patterns of their Combination with Nitrile Butadiene Rubbers// Russian Journal of Physical Chemistry B. 2022. V. 16, № 4. P. 756–764. https://doi.org/10.1134/S1990793122040108
- Boginskaya I., Sedova M., Baburin A., Afanas’ev K., Zverev A., Echeistov V., Ryzhkov V., Rodionov I., Tonanaiskii B., Ryzhikov I., Lagarkov A. SERS-Active Substrates Nanoengineering Based on e-Beam Evaporated Self-Assembled Silver Films. Appl. Sci. 2019, № 9. P. 988. https://doi.org/10.3390/app9193988
- Malyshev A.I., Help A.S. Rubber analysis M.: Chemistry, 1977. 179 p.
- Zuev Yu.S., Degtev T.G. Durability of elastomers under operational conditions / M.: Chemistry, 1986. 264 p.
- Papkov, V.N. Butadiyen-nitril’nyye kauchuki. Sintez i svoystva / V.N. Papkov, YU.K. Gusev, E.M. Rivin, Ye.V. Blinov. — Voronezh, 2014. — 218 s.
- Gaydukova L.V., Agibalova L.V., Baranets I.V., Nadervel’ T. A., Kurlyand S.K. Effektivnost’ kompleksnogo issledovaniya sopolimerov na primere promyshlennykh butadiyen-nitril’nykh kauchukov. // Izvestiya SPbGTI(TU) 2021. № 57. P.83.
- Bartenev G.M., Aliguliyev R.M., Khiteyeva D.M. Relaksatsionnyye perekhody v polietilene. // Vysokomolek. Soyed. A. 1981. T. 23. № 9. S. 2003.
- Bartenev G.M. Struktura i relaksatsionnyye svoystva elastomerov. M.: Khimiya, 1979. 288 s.
- Pauling L. Chemical bond. Ithaca, New York: Cornell University Press, 1967.
- Diaz A.F., Logan J.A. Electroactive polyaniline films // Journal of Electroanalytical Chemistry. 1980. V. 111. P. 111. https://doi.org/10.1016/S0022-0728(80)80081-7
- Averkin A.A., Ayrapetyants A.V, Ilisavskiy Yu.V. and al. Vliyaniye rastyazheniya i vsestoronnego davleniya na elektroprovodnost’ termicheski obrabotannogo poliakrilonitrila // Doklady AN SSSR. 1963. V. 152. S. 1140.
- Blythe T., Bloor D. Electrical properties of polymer. Cambridge university press, 2005. 376 р.
- Bartenev G.M., Barteneva A.G. Relaksatsionnyye svoystva polimerov. M.: Khimiya, 1992. 383 s.
Supplementary files












