Detection of photoreversibility of NO2–ONO linkage isomerization in [Co(NH3)5NO2]Cl(NO3 crystals by the photomechanical response method
- Authors: Chizhik S.A.1, Gribov P.A.1, Kovalskii V.Y.1, Sidelnikov A.A.1
-
Affiliations:
- Institute of Solid State Chemistry and Mechanochemistry Siberian Branch of Russian Academy of Science
- Issue: Vol 43, No 2 (2024)
- Pages: 17-32
- Section: Kinetics and mechanism of chemical reactions, catalysis
- URL: https://medbiosci.ru/0207-401X/article/view/259894
- DOI: https://doi.org/10.31857/S0207401X24020036
- EDN: https://elibrary.ru/WIXJAV
- ID: 259894
Cite item
Full Text
Abstract
Linkage isomerization NO2-ONO (nitro-nitrito) in the complex cation [Co(NH3)5NO2]2+ is a well-studied classical reaction. It is believed that the photoisomerization of the nitro form to nitrito in the crystalline phase achieves complete transformation at low temperature, while the reverse transformation proceeds as a first-order thermal intramolecular reaction upon heating of the crystals. To date, there is no information about the possibility of reverse photoisomerization. In this work, photoisomerization in [Co(NH3)5NO2]Cl(NO3) crystals is investigated by the analysis of crystal deformation caused by the transformation at different wavelengths. A change in the lattice parameters during the transformation leads to reliably measurable elongation and bending of acicular crystals. It is shown that the limiting elongation of the crystal under prolonged irradiation depends on the wavelength, which proves the reversibility of photoisomerization. The quantum yield of the reverse reaction is estimated to be 0.04 of the quantum yield of the direct reaction.
Full Text
1. Введение
Изомерия комплексного катиона [Co(NH3)5NO2]2+, допускающего два варианта координации кобальта амбидентатным лигандом NO2-, Co–NO2 (нитро) и Co–ONO (нитрито), является первым известным примером связевой изомерии в координационной химии и привлекает внимание исследователей уже более века [1–3]. В течение всего ХХ века реакция взаимного превращения изомеров исследовалась многократно (обширный список литературы представлен в работах [4, 5]) и в настоящее время рассматривается как прототип реакций связевой изомеризации [6]. Хорошо установлены условия протекания изомеризации в растворах и кристаллах: термически стабильный нитро-изомер превращается в нитрито-форму под действием УФ- и видимого света с λ < 530 нм с квантовым выходом, лежащим в диапазоне от 0.04 до 0.2, в зависимости от среды и энергии возбуждения [7–10]. Обратное превращение в нитро-форму протекает как термоактивированная внутримолекулярная реакция с энергией активации около 100 кДж/моль [11–13], что позволяет нитрито-форме достаточно долго находиться в метастабильном состоянии при умеренно низкой температуре (несколько месяцев при 0 °C, несколько дней при комнатной температуре) и обеспечивает возврат к нитро-форме за минуты при умеренном нагреве до 80 °C [8, 9, 13–16].
В водосодержащих растворах фотоизомеризация сопровождается фотолизом комплекса, характеризующимся втрое бóльшим квантовым выходом. Независимость отношения квантового выхода фотолиза к фотоизомеризации от длины волны возбуждающего излучения указывает на протекание обеих реакций из одного возбужденного состояния, наиболее вероятно соответствующего переносу заряда от лиганда к металлу, приводящему к гомолитическому разрыву связи лиганда с комплексом [7, 8]. Соотношение квантовых выходов определяется конкуренцией между выходом NO2 из сольватной оболочки с последующими реакциями гидролиза комплекса и восстановлением связи металла с лигандом в нитрито-координации.
В кристаллической фазе изомеризация остается единственной возможной фотохимической реакцией из-за невозможности для NO2 покинуть реакционную полость. Длительная засветка мелких кристаллов комплексных соединений [Co(NH3)5NO2](NO3)2 и [Co(NH3)5NO2]Cl2 с размерами в несколько микрон приводит к практически полному переходу в нитрито-форму [8, 10], а разложение комплекса не превышает 0.2% при l > 300 нм [8] и, как показывает наш опыт работы, может быть связано с поверхностным разложением с участием адсорбированной воды. Единственность реакции изомеризации в кристаллах дает преимущество более детального изучения превращения и установления влияния ближайшего окружения. Например, влияние гидростатического давления и внешнесферных анионов на скорость превращений [5, 12] было рассмотрено в рамках концепции реакционной полости [17–19]. Также установлено влияние деформации кристаллов, вызываемой внешним изгибающим моментом (механической нагрузкой) [16], термическим расширением (изменяющим межатомные расстояния) [20], и степенью превращения (за счет изменения параметров решетки в результате превращения) на скорость фотоизомеризации [13].
Вместе с тем вопрос о точном установлении реакционных путей фото- и термоизомеризации следует признать все еще открытым. Единственный, хорошо установленный факт заключается в том, что и в растворах и в кристаллах фото- и термоизомеризация являются внутрисферными реакциями, заключающимися в повороте лиганда NO2–. Анализ реакционной полости в кристаллах позволяет предположить, что поворот лиганда может происходить либо в исходной плоскости ONO, либо с выходом из нее в зависимости от конкретного ближайшего окружения лиганда в кристалле [9, 21].
Однако структура переходного состояния остается предметом гипотез. Наибольшее согласие вызывает предположение о семикоординированном состоянии, в котором кобальт координирован в равной степени атомом азота и одним из атомов кислорода NO2–-лиганда [21], что подтверждается квантовохимическими вычислениями [22]. В работе [23] показано, что фотоизомеризация в кристаллах при температуре жидкого азота приводит к образованию метастабильного интермедиата, отличающегося по ИК-спектру и превращающегося в нитрито-изомер при отогревании кристаллов до 0 °C. При поддержании низкой температуры получаемый интермедиат остается стабильным в отсутствие облучения, но медленно превращается в нитрито-изомер при засветке. Авторы предположили, что обнаруженный интермедиат имеет отношение к переходному семикоординированному состоянию. Между тем эта гипотеза может противоречить предположению о переходном состоянии, так как оно не должно было бы оставаться стабильным даже при температуре T = 77 K. Полученный результат может скорее свидетельствовать о существовании некоторой дополнительной, кинетически замороженной структуре комплекса. Примечательно, что в недавнем квантовохимическом исследовании рассматриваемого комплекса была предсказана неизвестная ранее метастабильная структура, в которой кобальт координирован аналогично нитрито-изомеру, но NO2–-лиганд наклонен так, что терминальный атом кислорода образует водородные связи с двумя NH3-лигандами комплекса [24, 25]. Эти факты указывают на необходимость получения дополнительных сведений о реакции.
Один из малоизученных аспектов связан с обратимостью каждого из этих превращений. Изучение термоизомеризации в направлении превращения нитро- в нитрито-форму затруднено в силу смещения термического равновесия в сторону нитро-изомера. Изменение доли нитрито-формы, присутствующей в малой концентрации в равновесии, оказывается весьма малым, чтобы его можно было достоверно установить спектроскопическими или дифракционными методами. По этим причинам до недавнего времени существовало расхождение во мнениях об обратимости нитрито-нитротермоизомеризации [26–29]. Обратимость термоизомеризации была доказана методом термического анализа в работах [11, 12], где показано, что энтальпия и энтропия реакции в кристаллах [Co(NH3)5NO2]Х2 зависят от противоионов X. В частности, стандартная энергия Гиббса реакции при температуре 300 K меняется в ряду X = Cl–, Br–, I– как –7, –8 и –11 кДж/моль, что приводит к оценке равновесной доли нитрито-формы от 6 до 1% соответственно, на пределе обнаружения дифракционными и спектроскопическими методами.
Вопрос об обратной фотоизомеризации из нитрито- в нитро-форму не был до недавнего времени рассмотрен вообще. Облучение растворов, как уже сказано, приводит к фотолизу, не позволяя сделать никаких выводов об обратной фотоизомеризации. Изучение превращения в кристаллах имеет существенное преимущество — отсутствие других путей реакции, но превращение оказывается смещено в сторону нитрито-формы, что не позволяет сделать достоверных выводов о стационарном соотношении концентраций нитро- и нитрито-форм при длительном облучении. Традиционно используемые для изучения этой системы методы, ИК- и УФ-спектроскопии, позволяют лишь качественно обнаруживать следовые количества нитро-формы, остающиеся после длительной засветки [8]. Кроме того, деформация и разрушение кристаллов с размерами, превышающими 40 мкм, создают существенные трудности и для использования рентгеноструктурных методов на монокристаллах (к тому же и недостаточно чувствительных), ограничивая возможности исследования только начальными степенями превращения [9].
Вместе с тем именно механические эффекты, вызываемые превращением в кристаллах, могут быть использованы для реализации высокочувствительного метода изучения таких реакций. Изгибы, скручивание, разрушение, подпрыгивание и переползание кристаллов, наблюдаемые при световом или тепловом воздействии на различные вещества, в которых под влиянием этих воздействий происходят химические или фазовые превращения, в последние десятилетия вызывают большой интерес в связи с потенциальной возможностью использовать эффекты в различных механических устройствах [30–36]. В частности, тонкие игольчатые кристаллы соединений, испытывающих фотохимические превращения, демонстрируют значительные изгибы на углы до 90° из-за эффекта поглощения света, приводящего к неоднородности превращения в глубине кристалла [37–40]. Измерение отклонения таких кристаллов от исходной формы позволяет определить деформацию, вызываемую превращением, с чувствительностью не хуже ~10–4, что соответствует чувствительности по степени превращения менее 1%, если полное превращение вызывает изменение параметров решетки на 1%. Таким образом, изучение механического отклика кристаллов на превращение способно превзойти по чувствительности большинство традиционных методов изучения превращения в условиях in situ.
Соединение состава [Co(NH3)5NO2]Cl(NO3) отличается тем, что позволяет выращивать игольчатые кристаллы с толщиной от нескольких микрон до сотен микрон и длиной в десятки раз больше толщины. В серии ранних работ [15, 16] было показано, что кристаллы толщиной более 40–50 мкм разрушаются вследствие механических напряжений, возникающих из-за неоднородного по толщине превращения при длительной засветке нефильтрованным излучением дуговой ксеноновой лампы (300–1000 нм). Однако тонкие кристаллы толщиной <30 мкм свободно изгибаются в форме дуги, достигая радиуса кривизны около одного миллиметра, а потом разгибаются по мере приближения к однородному превращению по всей толщине.
Именно кристаллы [Co(NH3)5NO2]Cl(NO3) были впервые использованы для детального изучения кинетики фотоизомеризации по фотомеханическому отклику (см. теорию, предложенную в работе [30]) для описания начальных степеней превращения в толстых кристаллах [20] и глубокого превращения в тонких кристаллах [13], а также для получения соответствующих констант скорости реакции термоизомеризации и квантового выхода фотоизомеризации. Показано, что превращение нитро- в нитрито-форму не вызывает фазовых превращений: пространственная группа Pnma сохраняется во всем диапазоне соотношения нитро/нитрито, а параметры решетки практически линейно зависят от степени превращения [13]. Параметр решетки b, расположенный вдоль оси игольчатого кристалла, увеличивается на 3.4% при длительной засветке источником излучения с длиной волны 465 нм (вблизи локального максимума поглощения нитро-изомера в растворах, рис. 1) при комнатной температуре, что приводит к соответствующему итоговому удлинению кристалла.
Рис. 1. Коэффициент экстинкции изомеров [Co(NH3)5NO2]2+ (1)и [Co(NH3)5ONO]2+ (2) в водном растворе. Данные взяты из работы [8].
Расшифровка кристаллической структуры свидетельствует о почти полном превращении в нитрито-форму. Учитывая 5%-ную погрешность определения заселенности позиций нитрито- и нитро-изомерами при моделировании интенсивности дифракции, можно сказать, что степень превращения, достигаемая при использовании источника света с длиной волны 465 нм, составляет >95%. Методология анализа фотомеханического отклика, разработанная в [13], основана на совместном рассмотрении двух характеристик, меняющихся по мере изомеризации – кривизны кристалла и его продольного удлинения, что повышает достоверность определения степени превращения в объеме кристаллов.
Применение данной методологии для изучения изомеризации соединения [Co(NH3)5NO2]Cl(NO3) при облучении на длинах волн 523 и 403 нм (на краях полосы поглощения нитро-изомера при 460 нм) позволило получить сведения о неполном превращении нитро- в нитрито-форму в этих условиях [41]. Максимальная степень превращения при указанных длинах волн оказывается примерно на 10% ниже, чем при облучении синим (465 нм) светом. Было высказано предположение, что наиболее вероятной причиной неполного превращения является его фотообратимость: образующийся нитрито-изомер испытывает обратное фотохимическое превращение в нитро-форму под действием этого же излучения.
Для детальной проверки гипотезы о фотообратимости связевой изомеризации в рассматриваемом комплексе поставлена задача – изучить зависимости максимально достижимой степени фотоизомеризации от длины волны излучения на основе анализа деформации кристалла, происходящей при изменении длины волны источников излучения.
Эксперимент
Для проведения фотоизомеризации использовали термостатированную камеру с оптическими окнами для засветки и наблюдения за кристаллом, установленную на инвертированный оптический микроскоп Neophot 21 (Carl Zeiss Jena, Germany). Кристалл (длина L = 600 мкм, толщина h = = 18 мкм), прикрепленный к стеклянному держателю с возможностью свободно изгибаться, размещался в камере в потоке сухого азота при температуре 0 °C, поддерживаемой с точностью ±1 °C (подробная схема установки описана в работе [41]). В ходе превращения изображения кристалла регулярно регистрировались цифровой камерой. Для подсветки кристалла использовали светодиодный источник света с длиной 625 нм, не вызывающий фотохимических превращений. Для получения временных зависимостей кривизны и продольного удлинения кристаллов серии цифровых изображений кристалла анализировали с использованием специально разработанного программного обеспечения – плагина “Bending crystal track” (http://imagej.net/PhotoBend) для программы анализа изображений ImageJ [42]. Метод основан на распознавании заданных элементов изображения кристалла и определении координат трех точек, расположенных на концах и в середине центральной линии кристалла, по которым вычисляется текущая длина и кривизна кристалла [13].
Проведение экспериментов при температуре 0 °C обеспечивает протекание только фотохимической изомеризации. Участием термоактивированного превращения изомеров в данных условиях можно пренебречь, так как характерное время термической изомеризации составляет порядка одного месяца при 0 °C, в то время как типичная длительность фотоизомеризации составляет несколько часов. Для засветки кристалла использовали светодиодные источники с длинами волн 403 и 465 нм, а так же ксеноновую дуговую лампу высокого давления с полосовыми интерференционными фильтрами 350, 375, 425 и 491 нм.
Стандартная последовательность проведения эксперимента состояла в следующем: кристалл, расположенный в измерительной камере, прогревался в темноте до 80 °C в течение 30 мин для приведения состава комплексного соединения к термически равновесному, соответствующему практически полному превращению соединения в нитро-форму. После этого кристалл охлаждали до 0 °C в течение часа и далее его подвергали засветке источником с одной из длин волн в течение суток для достижения фотостационарного состояния. На следующий день производили замену источника света другим, регистрировали кинетические кривые последующего механического отклика кристалла.
Погрешности измерения изменений степени превращения в экспериментах с переключением источников света можно оценить исходя из долговременной стабильности измерений длины и кривизны кристалла в отсутствие засветки (рис. 2). Шум измерения длины кристалла характеризуется стандартным отклонением в 0.22 пикселя при средней длине изображения кристалла равной 3248.3 пикселя, что соответствует погрешности измерения деформации кристалла ±6.8 · 10–5. Такой уровень погрешности соответствует ошибке в определении изменения степени изомеризации, равной ±0.2%. Разброс измерения кривизны составил ±7.6 · 10–3 см–1, что соответствует стандартному отклонению прогиба центральной части кристалла в 0.19 пикселя. Данная погрешность определяет предел чувствительности методики к изменению поперечной неоднородности степени превращения, равной 0.04% для кристалла, использованного в эксперименте. Учитывая то, что шум в измерениях прогиба прямого кристалла определяется только шумами цифрового изображения кристалла, а погрешность измерения длины включает также случайную термическую деформацию, по полученным характеристикам можно оценить погрешность поддержания температуры кристалла, примерно равную ±1 °C, а погрешность определения координат элементов изображения – около 0.1 пикселя.
Рис. 2. Изображение измеряемого кристалла (a) и шум измерения длины и относительного прогиба центральной части кристалла без засветки при Т = 0 °С (б).
Результаты и их обсуждение
Характер фотомеханического отклика при изменении длины волны источника света
Для качественной демонстрации полной картины механического отклика кристалла при замене источников света на рис. 3 представлены результаты простого эксперимента, в котором кристалл, исходно находившийся в нитро-форме, был последовательно засвечен источниками с различными длинами волн: 425, 350 и вновь 425 нм. Первый этап засветки кристалла источником с l = 425 нм в течение ~2.7 ч был достаточен для почти полного завершения деформационных процессов, что указывало на приближение к фотостационарному состоянию. Последующие переключения на источники с длинами волн 350 и 425 нм каждый раз вызывали дополнительный слабый механический отклик. Переключение на источник с длиной волны 350 нм вызывает небольшое увеличение степени изомеризации, что проявляется в дополнительном удлинении кристалла на ~0.08% и цикле изгиб–разгиб кристалла в том же направлении, что и на первом этапе. Это согласуется с ростом степени превращения со стороны засветки кристалла. Вторичная засветка источником с l = 425 нм вызывает обратный по характеру отклик — небольшое укорочение кристалла и цикл изгиб–разгиб в противоположном направлении, что указывает на снижение степени превращения, распространяющееся со стороны засветки. Деформация кристалла практически возвращается к состоянию, достигнутому в конце первого этапа.
Рис. 3. Кинетика изменения удлинения (a) и кривизны (б) кристалла при последовательной засветке источниками с длинами волн 425, 350, и 425 нм при Т = 0 °С. На вставках: увеличенные участки зависимостей изменения длины и кривизны кристалла, вызываемые переключением источников света.
Для получения представления о наблюдаемой деформации кристалла на рис. 4 показано совмещенное изображение трех последовательных состояний: 1 — начальное состояние кристалла, 2 — состояние в пике кривизны на первом этапе засветки источником с длиной волны 425 нм (также показаны метки, используемые алгоритмом анализа формы кристалла), 3 — пик кривизны на этапе засветки источником с длиной волны 350 нм. Сравнение изображений 1 и 3 позволяет получить представление о достигаемом в этот момент (~104 с, см. рис. 3a и 3б) удлинении кристалла в ~3.7%, и отклонении от геометрии кристалла, вызванном кривизной, – 1/R ~ 0.4 см–1.
Рис. 4. Совмещенное изображение кристалла в трех последовательных стадиях процесса, показанного на рис. 3: 1 — начальное состояние, 2 — пик кривизны при засветке источником l = 425 нм (t = 103 с), 3 — пик кривизны, достигнутый после переключения с длины волны 425 на 350 нм (t = 104 с). На изображении 2 показаны метки, используемые алгоритмом анализа формы кристалла. Стрелки указывают направление засветки кристалла.
Полученные результаты свидетельствуют о существовании воспроизводимой зависимости фотостационарной степени превращения от длины волны. Достигнутое при λ = 425 нм удлинение кристалла (~3.64%) оказалось близко к величине, полученной ранее в работе [13] для λ = 465 нм. Это говорит о том, что значения фотостационарных степеней превращения при λ = 425 и 465 нм близки друг к другу.
Отметим, что удлинение кристалла при переключении источников света на порядок превосходит возможные эффекты от термических деформаций кристалла из-за нестабильности его температуры: ±1 °C. Оценка возможного изменения температуры кристалла вследствие изменения мощности излучения источника света не превосходит величины ~10–2 °C в рассматриваемых условиях (мощность излучения источников – ~0.05 Вт/см2). Таким образом, все механические эффекты, наблюдаемые при замене источников света, гарантировано относятся только к изменению степени изомеризации в объеме кристалла, связанной с изменением фотостационарного состояния.
Так как длина кристалла практически линейно связана со степенью изомеризации [13], по дополнительному удлинению кристалла можно оценить увеличение доли нитрито-изомера. Если принять, что под действием света с длиной волны 425 нм происходит близкое к полному превращение, то приращение степени превращения при переключение источника на λ = 350 нм можно оценить как равное 0.08/0.0364 ≈ 2.2%. Для оценки абсолютных значений степени превращения можно воспользоваться двумя условиями: степень превращения должна быть не ниже 95% при λ = 425 нм (5%-ный предел обнаружения остаточной нитро-формы рентгеноструктурным методом) и не более 100% при λ = 350 нм. Тогда степень превращения при длине волны 425 нм должна лежать в интервале от 95 до 97.8%. Для дальнейших оценок можно условно принять, что величина фотостационарной степени превращения при l = 425 нм и T = 0 °С равна округленному среднему между двумя этими пределами (96 ± 1.4)%. Тогда величину максимальной продольной деформации при полном превращении нитро-формы в нитрито-форму при 0 °С можно оценить как равную ε0 = 3.64/0.96 = 3.79%.
Как видно из сравнения рис. 2 и 3, переключение источников света значительно сильнее отражается на изменении кривизны кристалла по сравнению с изменением его длины. Помимо того, что чувствительность методики к изменению кривизны кристалла выше, чем к его удлинению (перемещения, вызываемые изгибом, больше в ~L/h раз, чем перемещения, вызываемые только удлинением), существует важное различие в механизмах изменения удлинения и изгиба. В отличие от удлинения, связанного только с изменением средней степени превращения, кривизна определяется поперечной неоднородностью превращения по толщине кристалла, приводящей к поперечному градиенту осевой деформации. Максимально достигаемая неоднородность превращения определяется масштабом, задаваемым характерной глубиной поглощения света, согласно закону Бугера–Ламберта–Бера [43].
Согласно теории фотомеханического отклика изложенной в работе [30], при слабом поглощении света, когда характерная глубина поглощения в законе Бугера–Ламберта–Бера примерно равна или больше толщины кристалла, максимальная кривизна определяется выражением 1/R = 0.37e0/h0, где ε0 — максимальная продольная деформация, вызываемая полным превращением, h0 — характерная глубина поглощения света.
Тогда по величине максимальной кривизны кристалла, равной 1/R ≈ 6 см–1 (рис. 3) можно получить оценку глубины поглощения света: h0 ≈ 22 мкм при l = 425 нм. Это согласуется с оценками, полученными в работе [13], где определено h0 ≈ 8.5 мкм при l = 465 нм: отношение величин глубины поглощения при 465 и 425 нм, равное 8.5/22 ~ 0.4, соответствует отношению значений экстинкций водных растворов соединения при 425 и 465 нм: ~40/100. При переключении на источник с l = 350 нм поглощение света значительно возрастает: из данных, представленных на рис. 1 следует, что исходная нитро-форма должна поглощать в ~8 раз сильнее, чем при l = 465 нм, т.е. глубина поглощения снижается до ~1 мкм, что гораздо меньше толщины кристалла h = = 18 мкм.
Засветка исходных кристаллов нитро-изомера в таких условиях неизбежно ведет к их разрушению вследствие больших механических напряжений, связанных с резкой поперечной неоднородностью деформации, возникающей из-за преимущественного превращения приповерхностного слоя ~h0 на начальных этапах реакции. Кристалл не разрушается в данном эксперименте благодаря тому, что перед засветской источником с l = 350 нм он уже был практически полностью превращен в результате длительного облучения источником с l = 425 нм. Дополнительная деформация, вызываемая увеличением превращения только на 2.2% при переключении длины волны с 425 на 350 нм вызывает в ~2000 раз меньшую энергию деформации по сравнению с полным превращением, что предотвращает разрушение. Более того, на втором этапе свет распространяется в кристалле, почти полностью превращенном в нитрито-форму, которая поглощает заметно слабее, что приводит к более слабой неоднородности превращения и дополнительно снижает риск разрушения.
Глубина поглощения света при l = 350 нм в нитрито-форме составляет h0 ≈ 3 мкм, тем не менее она все еще заметно меньше толщины кристалла. В этом случае пик кривизны кристалла на промежуточной стадии превращения определяется моментом формирования поперечного градиента превращения от нового уровня фотостационарной степени превращения на освещаемой поверхности до исходного состояния на противоположной поверхности кристалла. Достигаемая при этом кривизна оценивается как 1/R = De/h, где Δe — разница в значениях продольной деформации на противоположных сторонах кристалла, которая в рассматриваемом случае должна быть близка к полному удлинению кристалла в результате переключения с длины 425 на 350 нм. Следовательно, 1/R ≈ (8 · 10–4)/18 мкм ≈ 0.44 см–1, что соответствует наблюдаемому пику кривизны кристалла после переключения на источник с l = 350 нм. Заметим, что отношение пиков кривизны при длинах волн 350 и 425 нм (0.4 и 6 см–1) оказалось втрое больше, чем отношение значений продольных деформаций на этих этапах (0.08% и 3.64%), что вместе с большей чувствительностью измерения кривизны обуславливает визуально большее влияние переключения источников света на профили кривизны по сравнению с удлинением. Однако, как будет показано далее, количественный анализ изменения кривизны не может применяться для определения зависимости степени превращения от длины волны, если использовать существующие простые модели фотомеханического отклика. Для определения этой зависимости приходится ограничиться более слабым эффектом изменения длины кристалла. Тем не менее качественный анализ изменения кривизны кристалла позволяет подтвердить выводы, полученные по его удлинению.
Изменение кривизны кристалла на последнем, третьем этапе эксперимента после вторичной засветки источником l = 425 нм вообще не проходит через пик, а скорее возвращается к определенному стационарному значению. Это означает, что неоднородность превращения на этом этапе плавно меняется от почти однородного превращения в конце этапа при l = 350 нм до некоторого неоднородного превращения в конце последнего этапа при l = 425 нм. Более того, значения кривизны становятся отрицательными относительно исходной формы кристалла: 1/R ≈ -0.13 см–1 (также небольшая отрицательная кривизна наблюдается и в конце первого этапа эксперимента). Это означает, что при l = 425 нм противоположная от источника света сторона кристалла достигает в стационарном состоянии несколько большей степени превращения, чем непосредственно освещаемая сторона. Разницу в значениях степени превращения на освещаемой и обратной сторонах можно оценить из следующего соотношения: .
При анализе дальнейших результатов работы оказалось, что в фотостационарном состоянии практически всегда наблюдается небольшая остаточная кривизна, зависящая от l. Так как ее величина намного меньше значения пика кривизны, всегда наблюдаемого на промежуточных стадиях в ходе полного превращения от нитро- к нитрито-форме, она никогда ранее не рассматривалась. При моделировании фотомеханического отклика считалось, что после длительной засветки кристалла при низкой температуре достигается почти однородное превращение во всем объеме. В работе [13] было показано, что если превращение осуществляется при более высокой температуре, когда нельзя пренебречь скоростью обратной реакции термоизомеризации, кривизна кристалла действительно достигает некоторого стационарного значения, зависящего от соотношения скоростей фото- и термоизомеризации на различной глубине от освещаемой поверхности.
В рассматриваемом случае отношение скоростей фото- и термоизомеризации при 0 °С позволяет оценить величину остаточной кривизны, ожидаемую из-за обратной термоизомеризации, не более ~0.02 см–1, что почти на порядок меньше наблюдаемых эффектов. Однако, даже если наблюдаемый слабый эффект остаточной кривизны связан с ненулевой скоростью термоактивированной изомеризации при 0 °С, то он должен всегда приводить только к положительной величине остаточной кривизны, так как на освещаемой стороне процесс фотопревращения всегда идет с большей скоростью. Наконец, если предположить о том, что наблюдаемые эффекты связаны с поперечной неоднородностью термических деформаций, то требуемая для этого разница температур на противоположных сторонах кристалла должна составлять более 1 °С, что физически невозможно для кристалла толщиной 18 мкм в потоке газа,так как подобный градиент температуры (эквивалентный 500 °С на 1 см) соответствовал бы огромному потоку тепловой энергии через толщу кристалла. Таким образом, остаточная кривизна кристалла однозначно свидетельствует о формировании фотостационарного градиента степени превращения в толще кристалла.
Вообще говоря, базовое предположение об однородном стационарном фотопревращении подразумевает одинаковое отношение скоростей прямой и обратной фотоизомеризации, что обязательно требует постоянного спектра излучения по всей толщине кристалла. Однако это условие может выполняться только для строго монохроматического источника света. Кинетика обратимой фотоизомеризации описывается уравнением
. (1)
Здесь C — доля нитрито-изомера, k1,2 — эффективные константы скорости прямой (нитро-нитрито) и обратной (нитрито-нитро) фотоизомеризации, которые выражаются в виде
, (2)
где I(x) – зависимость интенсивности света (плотности потока фотонов), распространяющегося на расстояние х в глубь освещаемой поверхности кристалла, возникающая из-за поглощения, [с–1 ∙ см–2], Ф1,2 — квантовые выходы прямой и обратной реакций, m1,2 — коэффициенты поглощения нитро- и нитрито-форм в законе Бугера–Ламберта–Бера, см–1; C0 – общая концентрация молекул в соединении, см–3. Следовательно, в фотостационарном состоянии доля нитрито-изомера Cps определяется согласно выражению
(3)
Из этого уравнения видно, что зависимость I(x), возникающая из-за поглощения света, не проявляется в стационарном состоянии, так как обе константы пропорциональны интенсивности излучения. Поскольку величины Фi и μi зависят от l, то выражение в уравнении не зависит от x только в случае строго монохроматического света. Из-за зависимости μi от длины волны спектр реального источника света может меняться по мере прохождения света в глубь кристалла: он смещается в область длин волн, характеризующихся меньшим поглощением. Из этого следует, что у стационарной степени превращения появляется некоторая зависимость Cps(x), приводящая к наблюдаемому остаточному изгибу кристалла в фотостационарном состоянии.
Знак остаточной кривизны определяется направлением изменения отношения Ф2m2 /Ф1m1 по мере смещения спектра света при его распространении вглубь кристалла. Учитывая ширину спектров излучения источников 10–20 нм, из анализа данных на рис. 1 можно сделать вывод, что отношение коэффициентов поглощения m2 /m1 имеет достаточно сильную зависимость от l и способно приводить к изменению стационарной степени превращения на единицы процентов из-за изменения спектра излучения как в сторону увеличения, так и в сторону снижения. В то же время можно предположить, что незначительное смещение центра спектра из-за поглощения на Δl (порядка его исходной ширины) не приводит к существенному изменению отношения квантовых выходов Ф2/Ф1. Следовательно, отклонения в стационарной степени превращения в большей степени определяются изменением отношения m2/m1 в области l ± Δl. Это позволяет получить качественное предсказание зависимости остаточной стационарной кривизны от l, основываясь на анализе зависимостей μ1(l) и μ2(l).
Следует учитывать, что положение и ширина максимумов полос поглощения в кристалле может несколько отличаться от данных для растворов из-за влияния сольватации на энергию электронных состояний и выделенной ориентации поглощающих центров в кристалле, в отличие от усредненной ориентации в растворе. Так как стационарная степень превращения близка к 100%, поглощение на поздних этапах превращения определяется в основном нитрито-формой, т.е. величиной μ2. Следовательно, спектр излучения источника заметно изменяется в объеме кристалла в том случае, если длина волны источника исходно находится в области сильного изменения μ2(l). При этом производная dμ2 /dl определяет направление смещения центра спектра по мере увеличения x. В частности, из представленных на рис. 1 данных следует, что в области l = 405–430 нм наблюдается разнонаправленное изменение μ1(l) и μ2(l): снижение кривой зависимости μ2(l) приводит к смещению спектра излучения в длинноволновую область, а рост μ1(l) обеспечивает итоговое увеличение стационарной степени превращения на обратной стороне кристалла по сравнению с освещаемой стороной. Это может быть причиной отрицательной остаточной кривизны кристаллов после длительной засветки источником с длиной волны 425 нм.
Из вышесказанного очевидно, что несмотря на то, что изменение длины волны источника света значительно сильнее отражается на изгибе кристалла, его анализ гораздо более сложен для определения изменения в степени превращенияпо сравнению с удлиннением. Для моделирования отклика кривизны кристалла потребовался бы явный учет спектров излучения источников и спектров поглощения изомеров, что существенно усложняет требуемую для этого количественную модель процесса. В то же время анализ изменения длины кристалла лишен всех указанных недостатков и дает прямую информацию о зависимости предельной степени превращения от длины волны.
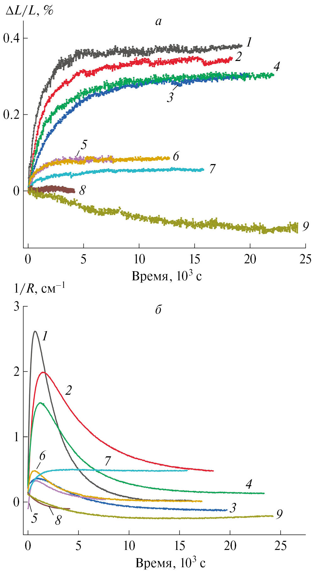
Зависимость фотостационарной степени изомеризации от длины волны
На рис. 5 показаны кривые фотомеханического отклика кристалла при следующих переключениях источников света: 403→350 нм, 403→375 нм, 403→425 нм, 403→465 нм, 425→350 нм, 465→350 нм, 465→375 нм, 465→425 нм, 465→491 нм. Наибольшее увеличение длины кристалла наблюдается в серии переключений от стационарного состояния при облучении с l = 403 нм, что говорит о наименьшей степени превращения при этой длине волны. Максимальное удлинение и, следовательно, наибольшая степень превращения достигается при l = 350 нм. Переключение 465 → 425 нм не вызывает заметного изменения длины кристалла и средней степени превращения, однако кривизна кристалла меняет знак, что свидетельствует об изменении знака градиента степени превращения по толщине. Примерное равенство степени превращения при облучении светом с длинами волн 425 и 465 нм подтверждается одинаковым удлинением кристалла при переключениях 403 → 425 нм и 403 → 465 нм, а также 425 → 350 нм и 465 → 350 нм. Отрицательная кривизна кристалла, достигаемая после переключений 465 → 425 нм и 403 → 425 нм согласуется с результатами, представленными на рис. 3, и подтверждает необычный эффект более глубокого превращения на обратной стороне облучаемого кристалла. Значение предельной степени превращения при 375 нм оказывается промежуточной величиной между l = 350 нм с одной стороны, и 425/465 нм с другой. Интересная особенность облучения кристалла при l = 375 нм состоит в самом высоком значении положительной остаточной кривизны (многократно наблюдавшемся при переключениях 403 → 375 нм и 465 → 375 нм) и соответствующей поперечной неоднородности превращения ΔC ~ 2.3%.
Рис. 5. Кинетика изменения удлинения (a) и кривизны (б) кристалла [Co(NH3)5NO2]Cl(NO3), вызываемая переключениями источников излучения: 1 — 403 → 350 нм, 2 — 403 → 375 нм, 3 — 403 → 425 нм, 4 — 403 → 465 нм, 5 — 425 → 350 нм, 6 — 465 → 350 нм, 7 — 465 → 375 нм, 8 — 465 → 425 нм, 9 — 465 → 491 нм.
Самый высокий пик изменения кривизны наблюдается при переключении 403 → 350 нм, что объясняется как самым высоким приростом степени превращения, так и высоким поглощением излучения l = 350 нм. Несколько меньший прирост степени превращения при переключениях 403 → 375 нм и 403 → 465 нм приводит к некоторому снижению пиков кривизны кристалла из-за меньшего поглощения на этих длинах волн.
Эффект меньшего поглощения света особенно заметен на переключении 403 → 425 нм — несмотря на одинаковое изменение степени превращения в случае переключения 403 → 465 нм, пик кривизны оказывается в четыре раза ниже. Изменение кривизны при переключениях 425 → 350 нм и 465 → 350 нм должно было бы иметь одинаковый характер, так как переход к новому состоянию начинается с примерно одинаковой степени превращения при облучении источниками с длинами волн 465 и 425 нм. Фактически наблюдаемые различия между этими кривыми объясняются тем, что процесс начинается с противоположных по знаку градиентов степени превращения. С учетом соответствующей разницы начальной кривизны кристалла наблюдается одинаковая амплитуда изменения кривизны в этих двух случаях. Наконец, отдельно стоит отметить результат переключения 425 → 491 нм – процесс достижения стационарной степени превращения при 491 нм оказался слишком долгим и не был завершен. Малая скорость процесса, вероятно, связана со снижением квантового выхода превращения в условиях низкой энергии возбуждающего света, что ранее наблюдалось при изучении превращения при l = 523 нм [41].
Данные анализа по удлинению кристалла в результате различных переключений представлены в табл. 1, показывающей изменение стационарной степени превращения относительно ее значений при l = 425 нм, а также зависимость стационарной степени превращения от длины волны, рассчитанной, исходя из оценки достижения 96%-ного превращения при l = 425 нм. Погрешность относительной степени превращения — 0.2%, абсолютной степени превращения — 1.4%. В таблицу также добавлена оценка степени превращения для источника с длиной волны 523 нм, полученная ранее в работе [41].
Довольно высокие значения степени превращения в табл. 1 согласуются с известными данными [8, 10] и указывают на то, что квантовый выход нитро-нитрито-реакции значительно превосходит квантовый выход обратной реакции. Степень превращения, равная 96% при l = 425 нм, вблизи изобестической точки, позволяет оценить отношение согласно уравнению (3), что близко к оценке из работы [41].
Таблица 1. Зависимость фотостационарной степени нитро-нитрито-изомеризации при 0 °С в кристалле [Co(NH3)5NO2]Cl(NO3) от длины волны источника облучения
λ, нм | Cps – Cps(425 нм), % | Cps, % |
350 | 2.2 | 98.2 |
375 | 1.5 | 97.5 |
403 | -8.2 | 87.8 |
425 | 0 | 96.0 |
465 | 0 | 96.0 |
491 | -3.0 | 93.0 |
523* | -10.0 | 86.0 |
* Оценка степени превращения для λ = 523 нм взята из работы [41].
Полученная кривая зависимости Cps(l) имеет две области снижения, расположенные на краях полосы поглощения при 460 нм нитро-изомера. В этих областях выполняется соотношение μ2 > μ1. Это позволяет предположить, что зависимость Cps(l) определяется, главным образом зависимостью m2(l)/m1(l) от длины волны.
На рис. 6 показана зависимость Cps(l), построенная согласно уравнению с Ф2/Ф1 = 0.04. Из этого рисунка видно, что полученная зависимость качественно согласуется с экспериментальными данными из табл. 1. Следовательно, зависимость Cps(l) в основном определяется соотношением коэффициентов поглощения нитро- и нитрито-изомеров. Учитывая полученные ранее в работе [41] величины квантового выхода нитро-нитрито-изомеризации для изучаемых кристаллов, квантовый выход обратной реакции можно оценить как меняющийся от 10–3 до 6 · 10–3 в диапазоне длин волн от 523–403 нм.
Качественное объяснение гораздо более низкого квантового выхода нитрито-нитро-изомеризации по сравнению с прямой нитро-нитрито-реакцией, может быть связано с более низким положением уровня энергии реакционно активного возбужденного состояния нитрито-формы, по сравнению с энергией возбужденного состояния нитро-формы. Таким образом, в отличие от основного состояния, в котором NO2–-лиганд прочнее связан с комплексом в нитро-координации, в возбужденном состоянии большим взаимодействием может характеризоваться нитрито-координация. Это согласуется с тем, что наименьшая энергия возбуждения комплекса (d-d-переход) в нитрито-форме на ~0.2 эВ меньше соответствующей энергии для нитро-формы. Эта величина больше, чем разница в значениях энергии основных состояний нитро- и нитрито-форм (~0.1 эВ), исходя из энтальпии превращения. Данное предположение объясняет почему термическая и фотохимическая реакции в данном случае преимущественно смещены к противолежащим продуктам.
Рис. 6. Зависимость фотостационарной степени нитро-нитрито-изомеризации от длины волны при 0 °C в кристалле [Co(NH3)5NO2]Cl(NO3) (точки) и модель зависимости Cps(l), согласно уравнению (3) при Ф2/Ф1 = 0.04 (линия).
Качественная модель остаточной фотостационарной кривизны кристалла
Согласие простой модели зависимости Cps(l) с экспериментальными данными позволяет проанализировать предсказание этой моделью наблюдаемых эффектов остаточной кривизны кристаллов в фотостационарном состоянии. При условии малой неоднородности зависимости стационарной степени превращения от глубины, Cps(x), кривизна кристалла выражается в виде
(4)
Так как градиент степени превращения вызывается смещением спектра излучения из-за его поглощения по мере прохождения через кристалл, мы можем приблизительно выразить его следующим уравнением, записанным в приближении узкого спектра излучения Δl/λm<<1 (λm — средняя длина волны спектра излучения):
(5)
Предполагая для простоты, что форма кривой исходного спектра излучения приближенно описывается гауссовой зависимостью от l, и что поглощение в стационарном состоянии обусловлено преимущественно нитрито-изомером, концентрация которого близка к 100%, для градиента средней длины волны спектра можно получить следующее выражение:
(6)
где δ — характерная ширина спектра источника излучения. Таким образом, получаем для остаточной кривизны приближенное уравнение вида
(7)
На рис. 7 представлена кривая остаточной кривизны, расчитанная по уравнению при δ = 0.03λm, что примерно соответствует ширине спектров использованных источников излучения. Как видно из этого рисунка, модель качественно верно предсказывает существование областей положительной и отрицательной остаточной кривизны, расположенных вблизи l = 400 нм и примерно согласующихся по амплитуде с наблюдаемой кривизной кристалла при длинах волн 375 нм (~0.5 см-1) и 425 нм (~ –0.14 см–1).
Рис. 7. Зависимость остаточной кривизны кристалла в фотостационарном состоянии от длины волны источника излучения, рассчитанная по уравнению (7).
Очевидно, что простое приближение, использованное в модели, не может обеспечить точного согласования с экспериментальными данными из-за отличия реального спектра поглощения кристалла от кривых поглощения в растворе, а также вследствие пренебрежения зависимостями величин квантовых выходов от длины волны источника. В частности, для l = 403 нм модель предсказывает близкий к максимальному эффект отрицательной остаточной кривизны, в то время как в эксперименте наблюдается незначительная положительная кривизна в фотостационарном состоянии при l = 403 нм. Это позволяет предположить, что точка перехода между областями положительной и отрицательной кривизны (~395 нм на рис. 7) должна распологаться при несколько большей длине волны, т.е. около l = 405 нм. Следовательно, реальная зависимость, представленная на рис. 7, может быть сдвинута на ~10 нм в область больших длин волн. Тем не менее полученный результат подтверждает главный вывод исследования о протекании обратной нитрито-нитро-фотоизомеризации, так как именно возникающая в результате этой реакции зависимость Cps(l) приводит к эффектам остаточной кривизны кристалла из-за конечной ширины спектра источников излучения.
Заключение
Для ответа на вопрос о фотохимической обратимости превращений между двумя связевыми изомерами [Co(NH3)5NO2]2+ и [Co(NH3)5ONO]2+ применен метод анализа удлинения и изгиба тонких кристаллов [Co(NH3)5NO2]Cl(NO3), сопровождающих превращение. Чувствительность метода к изменению степени превращения достигает 0.2%, а к ее неоднородности по толщине кристалла — 0.04%. Это позволило определить зависимость фотостационарной степени превращения кристалла нитро-нитрито-реакции от длины волны излучения в диапазоне 350–491 нм.
Показано, что фотостационарная степень превращения при 0 °С находится в диапазоне от 88% (при l = 403 нм) до 98% (при l = 350 нм). Погрешность оценки абсолютной степени превращения — 1.4%. Полученные результаты подтверждают, что при засветке кристаллов в них одновременно происходят встречные фотохимические превращения нитро- в нитрито- и нитрито- в нитро-формы, приводящие со временем к фотостационарному состоянию, зависящему от длины волны. Установлено, что полученная зависимость фотостационарной степени превращения от длины волны определяется соотношением коэффициентов поглощения нитро- и нитрито-изомеров, и удовлетворительно описывается моделью, предполагающей постоянное отношение квантовых выходов обратной Ф2 и прямой Ф1 реакций, т.е. . Низкие величины квантового выхода нитрито-нитро-изомеризации Ф2, составляющие от 10–3 до 6 · 10–3 для l, лежащей в диапазоне 403–523 нм, могут указывать на большую энергию связи лиганда NO2– в нитрито-координации, когда комплекс находится в возбужденном состоянии, что противоположно ситуации в основном состоянии.
В работе также обнаружен эффект слабого остаточного изгиба кристалла в фотостационарном состоянии, который объясняется смещением спектра излучения реальных немонохроматических источников света из-за поглощения в объеме кристалла. Наблюдаемый эффект дает дополнительное подтверждение существования определенной зависимости степени превращения от длины волны. Предложена модель, качественно объясняющая эффект и предсказывающая необычное явление достижения более высокой степени превращения на обратной стороне засвечиваемого кристалла.
Исследование выполнено за счет гранта Российского научного фонда № 22-23-01130.
About the authors
S. A. Chizhik
Institute of Solid State Chemistry and Mechanochemistry Siberian Branch of Russian Academy of Science
Author for correspondence.
Email: stas@solid.nsc.ru
Russian Federation, Novosibirsk
P. A. Gribov
Institute of Solid State Chemistry and Mechanochemistry Siberian Branch of Russian Academy of Science
Email: stas@solid.nsc.ru
Russian Federation, Novosibirsk
V. Yu. Kovalskii
Institute of Solid State Chemistry and Mechanochemistry Siberian Branch of Russian Academy of Science
Email: stas@solid.nsc.ru
Russian Federation, Novosibirsk
A. A. Sidelnikov
Institute of Solid State Chemistry and Mechanochemistry Siberian Branch of Russian Academy of Science
Email: stas@solid.nsc.ru
Russian Federation, Novosibirsk
References
- Gibbs W. and Genth F.A. Researches on the Ammonia-cobalt Bases (Smithsonian Institution, 1856).
- Jörgensen S.M. // Z. Anorg. Chem. 1894. V. 5. 147–196,
- Kauffman G.B. // Coord. Chem. Rev. 1973. V. 11. P. 161–188.
- Boldyreva E.V. // Molecular Crystals and Liquid Crystals Science and Technology. Section A. Molecular Crystals and Liquid Crystals. 1994. V. 242. P. 17–52.
- Boldyreva E.V. // Russian Journal of Coordination Chemistry. 2001. V. 27. P. 297–323.
- Basolo F., Pearson R.G. Mechanisms of inorganic reactions: Study of metal complexes in solution (John Wiley & Sons, Nashville, TN, 1967).
- Scandola F., Bartocci C., Scandola M.A. // The Journal of Physical Chemistry. 1974. V. 78. P. 572–575.
- Balzani V., Ballardini R., Sabbatini N., Moggi L. // Inorg. Chem. 1968. V. 7. P. 1398–1404.
- Kubota M., Ohba S. // Acta Crystallogr., Sect. B. 1992. V. 48. P. 627–632.
- Heyns A.M., de Waal D. // Spectrochimica Acta Part A: Molecular Spectroscopy. 1989. V. 45. P. 905–909.
- Eslami A. // Thermochim. Acta. 2004. V. 409. P. 189–193.
- Eslami A., Hasani N. // Thermochim. Acta. 2014. V. 575. P. 114–121.
- Chizhik S., Sidelnikov A., Zakharov B., Naumov P., Boldyreva E. // Chemical Science. 2018. V. 9. P. 2319–2335.
- Adell B. // Z. Anorg. Allg. Chem. 1952. V. 271. № 1–2. P. 49–64.
- Boldyreva E.V., Sidelnikov A.A., Chupakhin A.P., Lyakhov N.Z., Boldyrev V.V. // Dokl. Akad. Nauk SSSR 1984. V. 277. P. 893–896.
- Boldyreva E.V., Sidelnikov A.A. // Izv. Sib. Otd. Akad. Nauk SSR, Ser. Khim. Nauk 1987. V. 5.
- Boldyreva E.V. // Solid State Ionics. 1997. V. 101–103. P. 843.
- Kitagawa D., Tanaka R., Kobatake S. // Phys. Chem. Chem. Phys. 2015. V. 17. № 41. P. 27300.
- Luty T., Eckhardt C.J. // J. Amer. Chem. Soc. 1995. V. 117. № 9. P. 2441.
- Sidelnikov A.A., Chizhik S.A., Zakharov B.A., Chupakhin A.P., Boldyreva E.B. // CrystEngComm. 2016. V. 18. № 38. P. 7276.
- Grenthe I., Nordin E. // Inorg. Chem. 1979. V. 18. № 7. P. 1869.
- Ciofini I., Adamo C. // J. Phys. Chem. A. 2001. V. 105. № 6. P. 1086.
- Johnson D.A., Pashman K.A. // Inorg. Nucl. Chem. Lett. 1975. V. 11. № 1. P. 23.
- Muya J.T., Chung H., Lee S.U. // RSC Adv. 2018. V. 8. № 6. P. 3328.
- Muya J.T., Meher B.R., Sahoo S.C., Chung H. // Intern. J. Quantum Chem. 2019. V. 19. № 14. P. e25929.
- Jackson W.G. // J. Chem. Educ. 1991. V. 68. № 11. P. 903.
- Phillips W.M., Choi S., Larrabee J.A. // Ibid. 1990. V. 67. № 3. P. 267.
- Masciocchi N., Kolyshev A., Dulepov V., Boldyreva E., Sironi A. // Inorg. Chem. 1994. V. 33. № 12. P. 2579.
- Beattie I.R., Satchell D.P.N. // Trans. Faraday Soc. 1956. V. 52. P. 1590.
- Naumov P., Chizhik S., Panda M.K., Nath N.K., Boldyreva E. // Chem. Rev. 2015. V. 115. № 22. P. 12440.
- Nath N.K., Panda M.K., Sahoo S.C., Naumov P. // CrystEngComm. 2014. V. 16. № 10. P. 1850.
- Commins P., Desta I.T., Karothu D.P., Panda M.K., Naumov P. // Chem. Commun. 2016. V. 52. № 97. P. 13941.
- White T.J. Photomechanical Materials, Composites, and Systems: Wireless Transduction of Light into Work. Wiley, 2017. P. 233.
- Naumov P., Karothu D.P., Ahmed E., Catalano L., Commins P. et al. // J. Amer. Chem. Soc. 2020. V. 142. № 31. P. 13256.
- Halabi J.M., Ahmed E., Sofela S., Naumov P. // Proc. Natl. Acad. Sci. USA. 2021. V. 118. № 5. P. e2020604118.
- Gromov S.P., Chibisov A.K., Alfimov M.V. // Russian Journal of Physical Chemistry B. 2021. V. 15. P. 219.
- Kitagawa D., Tanaka R., Kobatake S. // Phys. Chem. Chem. Phys. 2015. V. 17. № 41. P. 27300.
- Hirano A., Kitagawa D., Kobatake S. // CrystEngComm. 2019. V. 21. № 15. P. 2495.
- Kitagawa D., Kobatake S. // J. Phys. Chem. C. 2013. V. 117. № 40. P. 20887.
- Kim T., Zhu L., Mueller L.J., Bardeen C.J. // J. Amer. Chem. Soc. 2014. V. 136. № 18. P. 6617.
- Ahmed E., Chizhik S., Sidelnikov A., Boldyreva E., Naumov P. // Inorg. Chem. 2022. V. 61. № 8. P. 3573.
- Schneider C.A., Rasband W.S., Eliceiri K.W. // Nat. Methods. 2012. V. 9. № 7. P. 671.
- Mayerhofer T.G., Pahlow S., Popp J. // ChemPhysChem. 2020. V. 21. № 18. P. 2029.
Supplementary files
Note
Х Международная конференция им. В.В. Воеводского “Физика и химия элементарных химических процессов” (сентябрь 2022, Новосибирск, Россия).









