Dynamics of Degradation of Polylactide-Natural Rubber Compositions under the Influence of UV Irradiation
- Authors: Podzorova M.V.1,2, Tertyshnaya Y.V.1,2
-
Affiliations:
- Emanuel Institute of Biochemical Physics, Russian Academy of Sciences
- Plekhanov Russian University of Economics
- Issue: Vol 43, No 3 (2024)
- Pages: 27-34
- Section: ВЛИЯНИЕ ВНЕШНИХ ФАКТОРОВ НА ФИЗИКО-ХИМИЧЕСКИЕ ПРЕВРАЩЕНИЯ
- URL: https://medbiosci.ru/0207-401X/article/view/263291
- DOI: https://doi.org/10.31857/S0207401X24030035
- EDN: https://elibrary.ru/VGOOFN
- ID: 263291
Cite item
Full Text
Abstract
The effect of ultraviolet radiation of various wavelengths (254 nm and 365 nm) on compositions based on polylactide with the addition of natural rubber was studied. It was found that the effect of the wavelength of 254 nm on the studied samples is much more active than 365 nm, which is characterized by a decrease in the melting temperature and the degree of crystallinity of polylactide in the compositions, as well as a deterioration in physical and mechanical properties. The IR spectroscopy method confirms the photodegradation process by changing the intensities of structurally sensitive polylactide and natural rubber bands.
Keywords
Full Text
ВВЕДЕНИЕ
Основная часть применяемых пластмасс производится из невозобновляемых ресурсов [1]. В связи с тем, что во многих странах взят курс на создание и применение биоразлагаемых материалов, возникает вопрос о перспективных полимерах, которые способны эффективно разлагаться с низкой токсичностью под действием различных факторов окружающей среды [2–5].
Полимолочная кислота или полилактид (ПЛА), полученный из возобновляемых ресурсов, имеет превосходную биологическую совместимость, механические свойства и высокую чувствительность к воздействию УФ-излучения и воде [6–11].
Воздействие влаги, тепла и ультрафиолетового излучения, а также, что более важно, сочетание этих параметров может привести к снижению жесткости и прочности материала. Долговечность композитов при воздействии ультрафиолетового излучения вызывает особую озабоченность, поскольку ультрафиолетовое излучение может вызвать изменения в химическом составе поверхности композитов и привести к фоторазрушению.
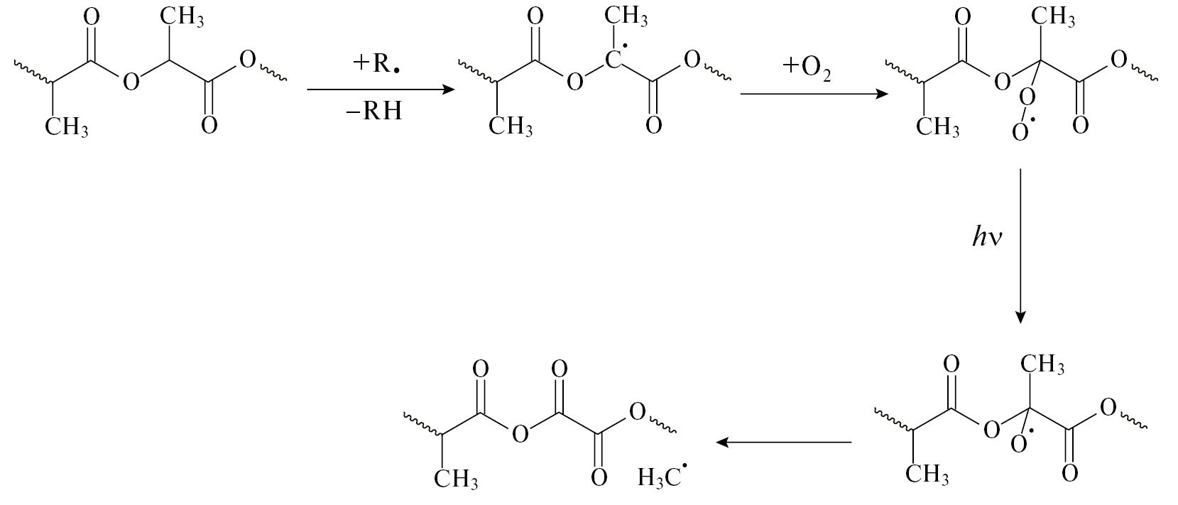
В работе [11] была предложена схема деструкции ПЛА под воздействием ультрафиолетового излучения (рис. 1). В работах [11, 12] проводились исследования в условиях воздействия УФ с λ = 254 нм, было установлено, что ПЛА подвергается воздействию ультрафиолета.
Рис. 1. Схема деструкции полилактида под воздействием ультрафиолетового излучения.
Изменение свойств композитных материалов, предназначенных для длительного использования, должно контролироваться в режиме реального времени и условиях эксплуатации, но данные эксперименты достаточно длительные.
В литературе процесс фотодеградации, происходящий с λ > 300 нм, описывается как реакция, протекающая в соответствии с механизмом Норриша II [13, 14]. Карбонильная группа в присутствии в химической структуре ПЛА, поглощает ультрафиолетовое излучение при λ ≈ 280 нм.
В последние годы были проведены некоторые исследования по изучению стойкости ПЛА и композитов на его основе к ультрафиолетовому излучению [15–17]. Были предложены другие механизмы для прогнозирования деградации ПЛА при ультрафиолетовом облучении. Так, авторы работы [18], изучая влияние длины волны на фотодеградацию ПЛА в диапазоне λ = 232–500 нм, пришли к выводу, что фотодеградация в основном происходит в интервале λ = 200–300 нм и предложили два механизма данного процесса. Один механизм приводит к разрыву основной цепи C–O в результате реакции фотолиза, а другой – к образованию производных гидропероксида и последующему разложению соединений, содержащих концевые группы карбоновой кислоты и дикетона, путем фотоокисления.
Как было сказано выше, особое внимание на сегодняшний день уделяется композиционным материалам на основе полилактида, как наиболее перспективным. Цель данного исследования – определение влияния ультрафиолетового излучения с различной длиной волны на пленочные материалы на основе полилактида с добавкой натурального каучука (НК).
ЭКСПЕРИМЕНТАЛЬНАЯ ЧАСТЬ
Для исследования были использованы пленки на основе полилактида марки 4032D производства компании NatureWorks, (USA) с натуральным каучуком SVR-3L (Вьетнам) растворным методом в хлороформе в требуемом соотношении. Содержание полимеров в растворе составляло 9 мас. %. Содержание НК в композиции: 0, 5, 10 и 15 мас. %.
Процесс плавления образцов исследовали на дифференциальном сканирующем калориметре DSC 214 Polyma производства компании Netzsch (Germany) при скорости нагрева 10°C/мин и массе образца (5 ± 0.3) мг.
Величину степени кристалличности (χкр) рассчитывали по формуле χкр (%) = 100∆Нпл /∆Нпл* , где теплота плавления идеального кристалла ПЛА ∆Нпл* = 93.1 Дж/г [19]; ∆Нпл – теплота плавления, полученная экспериментально.
Исследование механических характеристик образцов смесей проводили на разрывной машине DVT GP UG 5 производства компании Devotrans (Турция) по ГОСТ 11262. Скорость нагружения составляла 50 мм/мин. Проводился анализ таких показателей, как прочность при растяжении и относительное удлинение для семи образцов каждого состава.
Методом инфракрасной спектроскопии анализировали химический состав до и после воздействия ультрафиолетового излучения с помощью ИК-Фурье спектрометра Lumos производства компании Bruker (Germany). Спектры были получены при температуре (22 ± 2)°C в диапазоне длин волн 4000 ≤ λ ≤ 650 см−1 в отраженном свете методом неполного внутреннего отражения (МНПВО).
Микроскопические исследования образцов проводили на оптическом микроскопе компании Olympus (Japan) BX3M-PSLED с системой визуализации при температуре (22 ± 2)°C.
Исследуемые образцы подвергали воздействию УФ-излучения длиной волны λ = 254 и 365 нм. В качестве источника УФ-излучения использовали установку VL-6.LС производства компании Vilber Lourmat (France). Максимальное время эксперимента для λ = 254 нм составляет 100 ч, а для λ = 365 нм – 300 ч.
ОБСУЖДЕНИЕ РЕЗУЛЬТАТОВ
Небольшая полярность ПЛА способствует фотолизу, что приводит к его более быстрой деградации под действием ультрафиолетового излучения по сравнению с другими карбоцепными полимерами [20]. Фоторазрушение в конечном счете вызывает изменения в эксплуатационных характеристиках. По этой причине механические характеристики измеряются после или во время воздействия УФ-излучения; при этом наблюдается резкое снижение прочности и относительного удлинения при разрыве, а также изменения кристалличности ПЛА. Изучение фотодеструкции ПЛА и его биокомпозитов важно, поскольку в процессе эксплуатации материалы должны быть устойчивы к деградации, а после применения могли бы разрушаться в окружающей среде. В работе [12] было показано, что механические свойства ПЛА снижаются после воздействия УФ-излучения с λ = 254 нм.
В результате исследования композиций на основе полилактида с добавлением натурального каучука при УФ-воздействии с λ = 365 нм в течение 300 ч отмечается снижение механических характеристик (рис. 2). Исследование проводилось после УФ-воздействия с λ = 365 нм, так как последняя наиболее приближена к реальным условиям окружающей среды. Во многих работах более короткие УФ-волны используются в качестве ускоренного эксперимента [21, 22]. Стоит отметить, что механические характеристики значительно снижаются и после УФ-воздействия с λ = 254 нм. Так, уже спустя 25 ч начинается хрупкое разрушение материала с содержанием натурального каучука менее 10 мас. %, которое характерно для ПЛА и композиций на его основе [12, 23].
Рис. 2. Изменение тактических характеристик (прочность при разрыве (а) и относительное удлинение (б)) образцов ПЛА/НК до (1) и после (2) воздействия УФ-излучения c λ = 365 нм в течение 300 ч.
Изменение в структуре и свойствах композиций ПЛА/НК наблюдается и при изучении теплофизических характеристик после УФ-воздействия с λ = 254 нм в течение 50 и 100 ч (табл. 1) и 365 нм в течение 100 и 300 ч (табл. 2).
Таблица 1. Теплофизические характеристики смесей ПЛА/НК до и после действия УФ-излучения (λ = 254 нм) в течение 50 и 100 ч
Содержание НК, мас. % | Тпл ПЛА, оС | χкр ПЛА, % | ||||
исходный | 50 ч | 100 ч | исходный | 50 ч | 100 ч | |
0 | 165 | 160 | 145 | 33 | 30 | 24 |
5 | 166 | 162 | 152 | 35 | 32 | 25 |
10 | 163 | 161 | 153 | 31 | 27 | 22 |
15 | 161 | 157 | 148 | 30 | 26 | 22 |
Таблица 2. Теплофизические характеристики смесей ПЛА/НК до и после действия УФ-излучения (λ = 365 нм) в течение 100 и 300 ч
Содержание НК, мас. % | Тпл ПЛА, оС | χкр ПЛА, % | ||||
исходный | 100 ч | 300 ч | исходный | 100 ч | 300 ч | |
0 | 165 | 164 | 162 | 33 | 31 | 30 |
5 | 166 | 164 | 162 | 35 | 33 | 32 |
10 | 163 | 161 | 158 | 31 | 30 | 28 |
15 | 161 | 160 | 157 | 30 | 30 | 28 |
Данные табл. 1 и 2 указывают на то, что ПЛА подвержен фоторазрушению при воздействии ультрафиолета с различной длиной волны. Поскольку молекулярная структура ПЛА способствует фотолизу его сложноэфирной группы. Снижение Tпл и степени кристалличности наиболее активно происходит при λ = 254 нм; так, после облучения в течение 100 ч Тпл полилактида снижается на 10–20°C, а степень кристалличности – на 8–10%. Наличие в композиции натурального каучука в количестве выше 10 мас. % способствует небольшому торможению фотолитических процессов. При УФ-воздействии с λ = 365 нм в течение 50 ч теплофизические характеристики практически не изменяются; через 300 ч облучения заметно уменьшение Тпл полилактида на 3–5°C, а степени кристалличности на 2–3%.
В свою очередь авторы в работе [24] при изучении нетканых материалов ПЛА/НК при воздействии УФ-излучения с λ = 365 нм в течение 50 ч отмечают, что в образцах нетканого волокна ПЛА/НК температура стеклования ПЛА в композициях изменяется незначительно, а температура стеклования чистого волокна ПЛА увеличивается через 50 ч эксперимента. Возможно, что воздействие ультрафиолетового излучения (λ = 365 нм) в течение 50 ч вызывает эффект отжига, при котором теплофизические характеристики увеличиваются. Авторы предполагают, что более длительное воздействие УФ-излучения с λ = 365 нм приведет к снижению температуры стеклования и плавления, а также степени кристалличности. В данном эксперименте подтверждается результат эксперимента из работы [24], и теплофизические характеристики при УФ-воздействии с λ = 365 нм в течение 300 и даже 100 ч снижаются.
В присутствии кислорода свет инициирует цепную окислительную реакцию, образуются радикалы, а затем процесс протекает по радикальному механизму, подобному процессу термоокислительной деградации [24]. Как было сказано ранее, основным механизмом фоторазрушения ПЛА является механизм Норриша II [25, 26]. Согласно этому механизму полимерная цепь поглощает фотон, что приводит к расщеплению связи C–O. Образование гидропероксидов приводит к деградации с образованием концевых групп карбоновой кислоты и дикетона. Кроме того, фотолиз дикетонов способствует гемолитическому расщеплению связи С–С между двумя карбонильными группами [18, 27].
Изменения интенсивности сигнала по отношению к конкретным химическим группам являются основой для анализа механизма реакции, а также состава производных продуктов реакции [11]. Изучение пленочных материалов ПЛА/НК после 50-часового УФ-воздействия λ = 254 нм методом ИК-спектроскопии (рис. 3) показало, что полоса при 860 см–1 перекрывается с полосой 863 см–1, которая относится к C–H-внеплос- костному деформационному колебанию группы C(CH3)=CH в макромолекуле каучука. Происходит уменьшение интенсивности этой полосы в спектрах ПЛА/НК, что подтверждает деградацию ПЛА и натурального каучука. Также на ИК-спектрах в композициях с каучуком заметно увеличение интенсивности полос в области 3560–3050 см−1, что свидетельствует о накоплении гидроксильных групп, образовавшихся в процессе окисления полиизопрена.
Рис. 3. ИК-спектры (МНПВО) образца 85ПЛА/15НК до (1) и после (2) воздействия УФ-излучения с λ = 254 нм в течение 100 ч.
При УФ-воздействии как с λ = 254 нм, так и с λ = 365 нм на композиции ПЛА/НК отмечается уменьшение интенсивности структурно чувствительных полос (рис. 4). Полосы поглощения при 1380–1000 см−1 относятся к пространственным флуктуациям –C–O-групп. В интервале длин волн 1900–1600 см−1 выделяется пик при 1750 см−1, который относится к группам –C=O. Уменьшение интенсивности этих полос, по-видимому, наблюдается благодаря разрушению связей при фотодеструкции.
Рис. 4. ИК-спектры (МНПВО) образца 85ПЛА/15НК до (1) и после (2) воздействия УФ-излучения c λ = 365 нм в течение 300 ч.
Полосы при 755 и 870 см−1, соответствующие кристаллической и аморфной фазам ПЛА, также менее интенсивны после фотодеградации. Подобный результат наблюдали и другие авторы [11, 12, 24].
Методом оптической микроскопии были получены микрофотографии исходных образцов и после воздействия на них УФ-излучения. Характер разрушения всех образцов ПЛА/НК подобен. В качестве примера на рис. 5 представлены микрофотографии композиции с содержанием 15 мас. % натурального каучука. Действие УФ-излучения приводит к изменению в макроструктуре образца (рис. 5б), а именно к появлению темных пятен и трещинообразованию. Такие изменения влияют на микроструктуру полимерной матрицы: снижаются физики-механические свойства, изменяются температура плавления и степень кристалличности образца.
Рис. 5. Микрофотографии образца 85ПЛА/15НК до (а) и после (б) воздействия УФ-излучения с λ = 254 нм) в течение 100 ч.
ЗАКЛЮЧЕНИЕ
Таким образом, в данной работе была проведена комплексная оценка влияния времени воздействия как жесткого (254 нм), так и приближенного к естественному свету ультрафиолета (365 нм). В результате изучения пленочных материалов ПЛА/НК было установлено, что добавление натурального каучука не влияет на сам механизм фотодеструкции полилактида, но может сдерживать фотолиз. Установлено также, что динамика разрушения композиций может быть представлена следующим образом: УФ-излучение с длиной волны 254 и 365 нм влияет на структуру и свойства композиций – происходит разрушение кристаллической фазы матрицы ПЛА, что приводит к ухудшению физико-механических свойств исследуемых образцов. Таким образом, в зависимости от области применения и требуемых эксплуатационных характеристик, можно использовать более или менее стойкие к УФ-старению композиционные материалы ПЛА/НК.
Результаты исследования получены в рамках гранта Президента РФ на государственнкю поддержку молодых российских ученых – кандидатов наук № МК-2082.2022.1.3 “Функциональные экоматериалы на основе полилактида и натурального каучука длч промышленности и “зеленых” технологий выращивания сельскохозяйственных культур”.
About the authors
M. V. Podzorova
Emanuel Institute of Biochemical Physics, Russian Academy of Sciences; Plekhanov Russian University of Economics
Author for correspondence.
Email: mariapdz@mail.ru
Russian Federation, Moscow; Moscow
Yu. V. Tertyshnaya
Emanuel Institute of Biochemical Physics, Russian Academy of Sciences; Plekhanov Russian University of Economics
Email: mariapdz@mail.ru
Russian Federation, Moscow; Moscow
References
- Ates B., Koytepe S., Ulu A., Gurs-es C., Thakur V.K. // Chem. Rev. 2020. V. 120. № 17. Р. 9304; https://doi.org/10.1021/acs.chemrev.9b00553
- Hamad K., Kaseem M., Ayyoob M., Joo J., Deri F. // Prog. Polym. Sci. 2018. V. 85 P. 83; https://doi.org/10.1016/j.progpolymsci.2018.07.001
- Podzorova M.V., Tertyshnaya Yu.V. // Russ. J. Appl. Chem. 2019. V. 92(6). P. 767; https://doi.org/10.1134/S1070427219060065
- Tertyshnaya Yu.V., Shibryaeva L.S., Levina N.S. // Fibre Chem. 2019. V. 52(1). P. 43; https://doi.org/10.1007/s10692-020-10148-z
- Popov A.A., Zykova A.K., Mastalygina E.E. // Rus. J. Phys. Chem. B. 2020. V. 14(3). P. 533; https://doi.org/10.1134/S1990793120030239
- Li Y., Qiu Sh., Sun J. et al. // Chem. Eng. J. 2022. V. 428. P. 131979; https://doi.org/10.1016/j.cej.2021.131979
- Yeo J.C.C., Muiruri J.K., Koh J.J. et al. // Adv. Funct. Mater. 2020. V. 30. № 30. P. 2001565; https://doi.org/10.1002/adfm.v30.3010.1002/adfm.202001
- Tertyshnaya Y.V., Karpova S.G., Popov A.A. // Rus. J. Phys. Chem. B. 2017. V. 11. P. 531; https://doi.org/10.1134/S1990793117030241
- Huang Y., Zhang C., Pan Y., et al. // Polym. Degrad. Stab. 2013. V. 9. P. 943; https://doi.org/10.1016/j.polymdegradstab.2013.02.018
- Tertyshnaya Y.V., Khvatov A.V., Popov A.A. // Rus. J. Phys. Chem. B. 2022. V. 16(1). P. 162; https://doi.org/10.1134/S1990793122010304
- Olewnik-Kruszkowska E., Koter I., Skopin-ska-Wisniewskab J., Richert J. // J. Photochem. Photobiol. A: Chem. 2015. № 311. P. 144; https://doi.org/10.1016/j.jphotochem.2015.06.029
- Tertyshnaya Y.V., Podzorova M.V. // Rus. J. Phys. Chem. B. 2020. V. 14. P. 167; https://doi.org/10.1134/S1990793120010170
- Ikada E. // J. Photopolym. Sci. Technol. 1997. V. 10. P. 265.
- Tsuji H., Echizen Y., Nishimura Y. // Polym. Degrad. Stab. 2006. V. 91. Is. 5. P. 1128; https://doi.org/10.1016/j.polymdegradstab.2005.07.007
- Marek A.A., Verney V. // Eur. Polym. J. 2016. V. 81. P. 239.
- Bao Q., Wong W., Liu S., Tao X. // Polymers. 2022. V. 14. P. 1216; https://doi.org/10.3390/polym14061216
- Kaynak C., Sarı B. // Appl. Clay Sci. 2016. V. 121–122. P. 86; https://doi.org/10.1016/j.clay.2015.12.025
- Janorkar A.V., Metters A.T., Hirt D.E. // J. Appl. Polym. Sci. 2007. V. 106. P. 1042; https://doi.org/10.1002/app.24692
- Lim L.-T., Auras R., Rubino M. // Prog. Polym. Sci. 2008. V. 33. P. 820; https://doi.org/10.1016/j.progpolymsci.2008.05.004
- Li S., McCarthy S. // Macromolecules. 1999. V. 32. P. 4454; https://doi.org/10.1021/ma990117b.
- Jeon H.J., Kim M.N. // Intern. Biodeterior. Biodegrad. 2013. V. 85. P. 289; https://doi.org/10.1016/j.ibiod.2013.08.013
- Pan F., Chen L., Jiang Y.et al. // Intern. J. Biol. acromol. 2018. V.119. P. 582; https://doi.org/10.1016/j.ij biomac.2018.07.189
- Bocchini S., Fukushima K., Di Blasio A., Fina A., Geobaldo F.F. // Biomacromolecules. 2010. V. 11. P. 2919; https://doi.org/10.1021/bm1006773
- Tertyshnaya Y., Podzorova M., Moskovskiy M. // Polymers. 2021. V. 13. P. 461; https://doi.org/10.3390/polym13030461
- Moura I., Botelho G., Machado A.V. // J. Polym. Environ. 2014. V. 22. P. 148; https://doi.org/10.1007/s10924-013-0614-y
- Zhang C., Man C., Wang W., Jiang L., Dan Y. // Polym. Plast. Technol. 2011. V. 50. P. 810; https://doi.org/10.1080/03602559.2011.551970
- Yang W., Dominici F., Fortunati E., Kenny J.M., Puglia D. // Ind. Crop. Prod. 2015. V. 77. P. 833; https://doi.org/10.1016/j.indcrop.2015.09.057
Supplementary files







