Adhesion of mold spores to polymer materials during their deposition in the air
- Authors: Kalinina I.G.1, Ivanov V.B.1, Semenov S.A.1, Kazarin V.V.1, Zhdanova O.A.1
-
Affiliations:
- Federal state budgetary institution of science Federal research center of chemical physics N. N. Semenova Russian Academy of Sciences (FIC CHF N.N. Semenov RAS)
- Issue: Vol 43, No 9 (2024)
- Pages: 69-74
- Section: Chemical physics of biological processes
- URL: https://medbiosci.ru/0207-401X/article/view/282083
- DOI: https://doi.org/10.31857/S0207401X24090085
- ID: 282083
Cite item
Full Text
Abstract
The features of the adhesive interaction of spores of various types of mold fungi deposited in a stationary air environment with polymeric materials are investigated. It is shown that regardless of the type of material, its angle of inclination and the type of fungus, all spores that have reached the polymer surface remain on it. The location of the sample relative to the source of spore propagation and the mechanism of their supply to the surface determine the number of spores retained on the material, characterizing the microbiological component of the air environment (the content and specific consumption of fungal spores in it). An algorithm for estimating this characteristic is proposed. It is advisable to take the research results into account when developing methods for testing the resistance of polymer materials to infection and damage by biodegradable fungi.
Keywords
Full Text
1. ВВЕДЕНИЕ
Производство новых полимерных композиционных материалов с заданными свойствами и повышение эксплуатационного ресурса изделий из них находятся в противоречии с задачей их утилизации. Проблема загрязнения окружающей среды пластиком остается актуальной [1, 2]. В природе полимерные материалы подвержены деструкции при воздействии на них повышенной температуры, влаги, ультрафиолета и других факторов [3–5]. Деструкция, как правило, сопровождается (или ей предшествует) воздействием микроорганизмов, необходимой начальной стадией которого является их адгезия к полимерным материалам [6–9].
В серии работ [10–17] силу адгезии спор плесневых грибов к полимерным и металлическим поверхностям характеризовали величиной силы внешнего воздействия, обеспечивающей отрыв спор от поверхности.
В работах [10–13, 15, 17] силу отрыва создавали в процессе центрифугирования зараженных спорами образцов. Установлено, что среднее значение силы адгезии составляет от 2.5 до 150 нН и зависит от типа материала, видовой принадлежности гриба и температурно-влажностного режима испытания. Близкие значения силы адгезии (от 1.0 до 40 нН на спору гриба Aspergillus niger) получены в работах [9, 18–20] с использованием других методов исследования. Дополнительной характеристикой адгезионного взаимодействия является число адгезии, определяемое как отношение количества спор, оставшихся на образце после воздействия силы отрыва, к числу спор, первоначально находившихся на поверхности.
Особенность проведения экспериментов в работах [10–13, 15, 17] заключается в том, что на образец полимерного материала наносится водная суспензия спор грибов. Воздействие воды определяет ряд физико-химических и биохимических свойств спор грибов и влияет на механизм их взаимодействия с поверхностью материалов. В реальных атмосферных условиях распространение и осаждение спор грибов на изделия [21], происходит, как правило, из воздушной среды. В этом случае рассматриваемое адгезионное взаимодействие может оказаться существенно иным. Часто единственным постоянным фактором, воздействующим на споры и способствующим удалению их с негоризонтальной поверхности, является сила тяжести. Поэтому ее тангенциальная составляющая к расположенной под углом поверхности может быть использована при оценке адгезии спор к полимерным материалам из воздушной среды.
Цель данной работы – определение особенностей адгезионного взаимодействия оседающих в неподвижном воздухе спор плесневых грибов с расположенными под углом к направлению их оседания полимерными материалами.
2. ЭКСПЕРИМЕНТАЛЬНАЯ ЧАСТЬ
В экспериментах исследовали следующие повреждаемые микроорганизмами полимерные материалы [10–13, 15, 16, 22]: полиэтилен (ГОСТ 16337-70), целлофан (ГОСТ 7730-74) и лакоткань, представляющую собой хлопчатобумажную нитяную основу, пропитанную этилцеллюлозным лаком ЭЦ-959 (ТУ-6-10-691-74). Образцами для испытаний служили, пластины материалов размером 50х20 мм, наклеенные для придания жесткости на подложки из алюминиевого сплава. Использовали приведенные в табл.1 культуры грибов, вызывающие повреждения этих материалов.
Осаждение спор на образцы проводили в специальной камере, снабженной зажимами для размещения образцов под заданным углом (20° или 60°) и плоскодонными чашками, предназначенными для определения количества оседающих спор. Чашки располагали параллельно дну камеры (перпендикулярно направлению оседания спор). При выполнении экспериментов чашки заполняли стерильной водой. В верхней части камера была снабжена резиновой двухслойной мембраной для распыления спор путем воздушно-импульсного воздействия, создаваемого компрессором, соединенным с мембраной стеклянной трубкой. Источником спор служат целлофановые диски с предварительно выращенной на них в течение 10 сут спороносящей биомассой, закрепленные на поверхности резиновой мембраны. При импульсной подаче воздуха мембрана совершает колебательные движения, распыляя присутствующие на ней споры, которые затем оседают на образцах материалов и в заполненных водой чашках. Через определенный промежуток времени образцы и чашки с водой извлекали из камеры и определяли количество спор в воде и на образцах.
Количество спор в воде определяли путем последовательных разведений исходного раствора с последующим высевом на твердую питательную среду Чапека–Докса и подсчетом развивающихся на среде колоний. На основании полученных значений рассчитывали удельный расход спор – число спор, прошедших (осевших) через единицу площади горизонтального сечения камеры.
Количество спор на поверхности образцов (количество адгезированных образцом спор) определяли следующим образом. Поверхность образца тщательно протирали смоченной в 0.1%-ном растворе лаурилсульфата натрия салфеткой, которую затем погружали в колбу с тем же раствором. Перемешивая и встряхивая раствор, отделяли споры от салфетки. Методом высева на твердые питательные среды определяли количество спор грибов в смыве и пересчитывали его на единицу площади поверхности образца.
Все работы с плесневыми грибами (пересев, выращивание, хранение культуры, приготовление суспензии спор, заражение и инкубирование источника спор – целлофановых дисков и другие операции) проводили, используя стандартизованные приемы, методы и режимы [23, 24]. Грибы выращивали на агаризованной среде Чапека–Докса при благоприятной для их развития температуре +(29 ± 2) °С в течение 12 сут. Затем приготавливали суспензию спор, заражали ею целлофановые диски, размещенные на плотной питательной среде Чапека–Докса и инкубировали в течении 10 сут при температуре (29 ± 2) °С. При наличии на целлофановом диске визуально определяемых признаков спороношения колоний диск считали пригодным для проведения эксперимента в качестве источника спор.
В каждом опыте испытывали по четыре образца полимерного материала. Обработку экспериментальных данных проводили по алгоритмам программы STATISTICA 6.1. Разброс результатов характеризовали отношением среднего квадратичного отклонения к математическому ожиданию. Он не превышал 20%.
3. РЕЗУЛЬТАТЫ И ИХ ОБСУЖДЕНИЕ
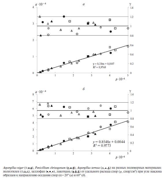
На рис. 1 представлены результаты определения количества адгезированных полимерными материалами спор грибов (a) в условиях их осаждения в неподвижном воздухе при различных удельных расходах спор (p) и углах наклона (α) образцов. Видно, что для всех исследованных типов материалов и видов грибов экспериментально полученные значения в координатной плоскости р–а (при постоянной величине угла наклона образцов) располагаются вблизи одной общей прямой линии. При увеличении угла наклона образцов относительно направления движения спор от 20° (рис. 1а) до 60° (рис. 1б) величина a возрастает. На рис. 1 приведены также соответствующие прямолинейные зависимости, полученные методом наименьших квадратов. Расчеты показали, что такая аппроксимация обладает достаточной точностью (коэффициент детерминации R 2 > 0.97).
Полученные данные дают основания предполагать, что в условиях эксперимента количество адгезированных спор грибов независимо от их видовой принадлежности и типа полимерного материала определяется удельным расходом спор и углом наклона образца относительно направления их движения. Исходя из этого предположения, рассчитывали количество спор a0, достигающих поверхности образца, при их заданном содержании в воздушной среде. Допускали, что на плоскую поверхность, расположенную под углом α к направлению оседания спор, должны оседать те из них, которые находятся внутри объема гипотетического параллелепипеда, нижней образующей гранью которого является данная поверхность. Тогда при скорости оседания V и содержании c спор в воздухе за время t на 1 см2 поверхности образца должно оказаться количество спор a0, равное
(1)
Заменяя произведение ctv в выражении (1) на величину удельного расхода спор p за время t их осаждения, получим
(2)
С использованием уравнения (2) и экспериментально определенных значений p можно вычислить соответствующие им количества спор, достигающих поверхности образца и находившихся на ней в момент контакта.
Установлено, что при используемых удельных расходах спор рассчитанные из выражения (2) величины a0 и экспериментально полученные значения a отличаются незначительно и, соответственно, величины чисел адгезии γ = a/a0 близки к единице (рис. 1). Разброс результатов не превышает 19%, что соответствует ошибке экспериментального определения величин p и a.
Рис. 1. Зависимости количества адгезированных спор (a, спор/см2) и числа адгезии (γ) микроскопических грибов
Эти результаты показывают, что, как и следовало ожидать, для всех исследованных пар микроорганизм – материал сила их адгезионного взаимодействия превосходит силу отрыва, определяемую составляющей силы тяжести, варьируемой наклоном образцов. Вычисленные силы отрыва приведены в табл. 1. Их значения не превышают 2.32 пН на одну спору. Это примерно на три порядка ниже величин сил адгезии, полученных в уже упомянутых работах [10–13, 15, 17].
Таблица 1. Сила отрыва, воздействующая на споры плесневых грибов при различных углах (α) наклона образцов материалов, при температуре +(20 ± 2) °C.
Вид гриба, штамм | Средний радиус спор, мкм | Fотр, пН на одну спору | |
α = 20° | α = 60° | ||
Aspergillus niger, ВКМF-2039 | 3.92 | 2.32 | 1.24 |
Penicillium chrysogenum, ВКМF-3067 | 2.12 | 0.37 | 0.20 |
Aspergillus terreus, ВКМF-1025 | 1.14 | 0.057 | 0.030 |
Примечание. Величину силы отрыва Fотр рассчитывали по формуле Fотр = (4/3)πr3 ρg sin(90° - α), где, r и ρ – радиус и плотность споры, соответственно; g – ускорение свободного падения; α – угол наклона образца к направлению оседания спор. В расчетах использовали величины среднего радиуса спор, полученные в работе [15]. Плотность спор принимали равной 1.0 г/см3.
Таким образом, создаваемая при наклоне образца сила не приводит к отрыву от него спор. Достигнув поверхности материала, споры остаются на ней. Расположение образца относительно источника распространения спор и механизм их подвода к поверхности определяют количество a удерживающихся на материале спор, характеризующее микробиологическую составляющую воздушной среды (содержание в ней спор грибов, их удельный расход).
Выражения (1) и (2) позволяют рассчитать эту практически важную для проведения сравнительных и прогностических оценок характеристику начального этапа адгезионного взаимодействия. Для этого целесообразно использовать значения p или сведения о содержании спор грибов в атмосферном воздухе, близкие к реально существующим в определенном климатическом (географическом) районе. Такие данные могут быть получены из литературных источников или в результате специально проведенных исследований.
ЗАКЛЮЧЕНИЕ
Показано, что независимо от типа материала и вида плесневых грибов уже в начальный момент их контакта формируется сила адгезии, превышающая силу отрыва, определяемую составляющей силы тяжести, зависящей от наклона образца.
Количество адгезированных полимером спор (а) может быть использовано для оценки и прогнозирования начального этапа взаимодействия материалов с разрушающими их микроорганизмами. Предложены уравнения для его расчета. Результаты исследований целесообразно учитывать при разработке методов испытаний стойкости полимерных материалов к заражению и повреждению грибами-биодеструкторами.
Данная работа финансировалась за счет средств бюджета Федерального исследовательского центра химической физики им. Н.Н. Семёнова Российской академии наук. Никаких дополнительных грантов на проведение или руководство данным конкретным исследованием получено не было.
About the authors
I. G. Kalinina
Federal state budgetary institution of science Federal research center of chemical physics N. N. Semenova Russian Academy of Sciences (FIC CHF N.N. Semenov RAS)
Author for correspondence.
Email: i_kalinina1950@mail.ru
Russian Federation, Moscow
V. B. Ivanov
Federal state budgetary institution of science Federal research center of chemical physics N. N. Semenova Russian Academy of Sciences (FIC CHF N.N. Semenov RAS)
Email: i_kalinina1950@mail.ru
Russian Federation, Moscow
S. A. Semenov
Federal state budgetary institution of science Federal research center of chemical physics N. N. Semenova Russian Academy of Sciences (FIC CHF N.N. Semenov RAS)
Email: i_kalinina1950@mail.ru
Russian Federation, Moscow
V. V. Kazarin
Federal state budgetary institution of science Federal research center of chemical physics N. N. Semenova Russian Academy of Sciences (FIC CHF N.N. Semenov RAS)
Email: i_kalinina1950@mail.ru
Russian Federation, Moscow
O. A. Zhdanova
Federal state budgetary institution of science Federal research center of chemical physics N. N. Semenova Russian Academy of Sciences (FIC CHF N.N. Semenov RAS)
Email: i_kalinina1950@mail.ru
Russian Federation, Moscow
References
- B.K.H. Lim, and E.S. Thian, Sci. Total Environ. 20, 813 (2022). http://doi.org/10.16|j.scitotenv.2021.151880
- I.G. Kalinina, G.P. Belov, K.Z. Gumargalieva, and Yu.S. Petronyuk, Russ. J. Phys. Chem. B, 5, 139 (2011). http://doi.org/10.1134/S1990793111020047
- B.C. Daglen, and D.R. Tyler, Green Chem Lett. Rev. 3. 69 (2010). https://doi.org/10.1080/17518250903506723
- W. Abdelmoez, I. Dahab, E.M. Ragab, O.A. Abbdelsalam, O.A. Mustafa, and A. Mustafa, Polym. Adv. Technol. 32, 1981 (2021). https://doi.org/10.1002/pat.5253
- I.G. Kalinina, S.A. Semenov, and V.B. Ivanov, Ros. Khim. Zh. 68, 9 (2024). http://doi.org/10.60601RCI. 202024681.2
- T.A. Camesano, Y. Liu, and M. Datta, Adv. Water Res.. 30. 1470. (2007). http://doi.org/10.1016/j.advwatres.2006.05.023
- R. Burgers, S. Hahnel, T. E. Reichert, M. Rosentritt, M. Behr, T. Gerlach, G. Handel, and M. Gosau, Acta Biomater. 6, 2307 (2010). http://dx.doi.org110.1016/jactbio.2009.11.003
- V.K. Vivi, S.M. Martins-Franchetti, and D. Attili-Angelis, Folia Microbiol. 64, 1 (2019). http://doi.org/10.1007/s12223-018-0621-4
- B.-E. Priegnitz, A. Wargenau, U. Brandt, M. Rohde, S. Dietrich, A. Kwade, R. Krull, and A. Fleissner, Fungal Gen. Biol. 49, 30 (2012). http://doi.org/10.1016/j.fgb.2011.12.002
- Y. Shen, M. Nakajima, M.R. Ahmad, S. Kojima, M. Hommac, T. Fukuda, Ultramicroscopy. 111. 1176 (2011). http://doi.org/10.1016/j.ultramic.2011.02.008
- I.G. Kalinina, K.Z. Gumargalieva, V.V. Kazarin, and S.A. Semenov, Russ. J. Phys. Chem. B 11, 304 (2017). http://doi.org/10.1134/S19907931170200463
- I.G. Kalinina, K.Z. Gumargalieva, S.A. Semenov, and V.V. Kazarin, Russ. J. Phys. Chem. B 12, 135 (2018). https://doi.org/10.1134/S1990793118010189
- I.G. Kalinina, V.B. Ivanov, S.A.Semenov, V.V. Kazarin, and O.A. Zhdanova, Russ. J. Phys. Chem. B 15, 506 (2021). https://doi.org/10.1134/S1990793121030210
- K.A. Whitehead, T. Deisenroth, A. Preuss, and Ch.M. Liauw, J. Verran, Coll. Surf. B: Biointerfaces. 82, 483 (2011). https://doi.org/10.1016/j.colsurfb.2010.10.001
- I.G. Kalinina, V.B Ivanov, S.A. Semenov, V.V. Kazarin, and O.A. Zhdanova, Russ. J. Phys. Chem. B 17, 78 (2023). https://doi.org/10.31857/S0207401X23020085
- I.G. Kalinina, V.B Ivanov, S.A. Semenov, V.V. Kazarin, and O.A. Zhdanova, Russ. J. Phys. Chem. B 14, 1014 (2020). https://doi.org/10.1134 /S1990793120060068
- I.G. Kalinina, and K.Z. Gumargalieva, Prot. Metals Phys. Chem. Surf. 50, 910 (2014). https://doi.org/10.1134/S2070205114070089
- X. Li, T. Zhang, and S. Wang, Indoor Air. 28, 744 (2018). https://doi.org/10.1111/ina.12486
- A. Wargenau, and A. Kwade, Langmuir. 26, 11071 (2010). https://doi.org/10.1021/la100653c
- C.L.C. Tan, S. Gao, B.S. Wee, A. Asa-Awuku, and B.J.R. Thio. Aerosol Sci. Technol.. 48, 541 (2014). https://doi.org/10.1080/02786826.2014.898835
- E. Levetin and K. Dorsey, Aerobiologia, 22, 3 (2006). https://doi.org/10.1007/s10453-005-9012-9
- I.G. Kalinina, V.B. Ivanov, S.A. Semenov, V.V. Kazarin, and O.A. Zhdanova. Russ. J. Phys. Chem. B 123 (2022). https://doi.org/10.1134/S1990793122010213
- GOST 9.048-89. ESZKS. Technical products. Methods of laboratory tests for resistance to mold fungi. http://www.gostexpert.ru/gost/gost-9.048-89/
- GOST 9.049-91. Materials polymeric and their components. Methods of laboratory tests for resistance to mold fungi. http://www.gostexpert.ru/gost/gost-9.049-91/
Supplementary files



