Application of N,N,N',N'-Tetramethyl-p-Phenylenediamine and α,ω-Hexadecanedioic Acid for Determination of the H+/O Ratios of Complexes III and IV of the Liver Mitochondrial Respiratory Chain under Free Respiration Conditions
- Authors: Samartsev V.N.1, Semenova A.A.1, Belosludtsev K.N.1,2, Dubinin M.V.1
 - 
							Affiliations: 
							
- Mari State University
 - Institute of Theoretical and Experimental Biophysics RAS
 
 - Issue: Vol 40, No 2 (2023)
 - Pages: 122-132
 - Section: Articles
 - URL: https://medbiosci.ru/0233-4755/article/view/135019
 - DOI: https://doi.org/10.31857/S0233475523020068
 - EDN: https://elibrary.ru/KWTSVK
 - ID: 135019
 
Cite item
Full Text
Abstract
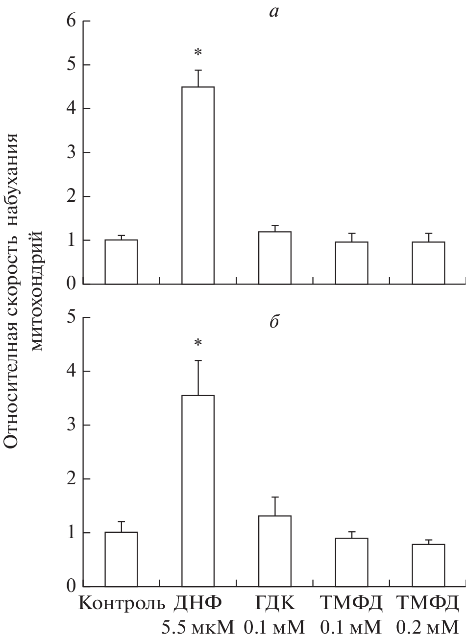
Stimulation of mitochondrial respiration in state 4 without changes in passive proton leakage is known to be accompanied by a decrease in the H+/O ratio (Luvisetto et al., 1991. J. Biol. Chem. 266, 1034–1042). In the present work, it was found that during the oxidation of succinate by liver mitochondria, N,N,N',N'-tetramethyl-p-phenylenediamine (TMPD) and α,ω-hexadecanedioic acid (HDA) effectively stimulate respiration in state 4, and their action, unlike the protonophore uncoupler DNP, is not caused by an increase in the proton conductivity of the inner membrane. Under these conditions, TMPD and HDA do not significantly affect the efficiency of oxidative ATP synthesis and energy transformation by complex IV (cytochrome c oxidase). The data obtained are considered as evidence that during the oxidation of succinate by liver mitochondria, TMPD and HDA selectively disable ETC complex III from energy transformation. It is theoretically substantiated that, under these conditions, the H+/O ratio can be determined based on the ratio of respiratory rates in the absence and presence of TMPD and HDA. Based on this model, we considered the change in the H+/O ratio depending on the stimulation of mitochondrial respiration in state 4 by TMPD and HDA. It has been established that under the influence of TMPD or HDA, the value of the H+/O ratio decreases during the oxidation of succinate from 6 to the limiting values of 2. We conclude that in liver mitochondria during free respiration, in contrast to the oxidative ATP synthesis, the values of the H+/O ratio are 4 and 2 for complexes III and IV, respectively.
About the authors
V. N. Samartsev
Mari State University
														Email: dubinin1989@gmail.com
				                					                																			                												                								Russia, 424000, Yoshkar-Ola						
A. A. Semenova
Mari State University
														Email: dubinin1989@gmail.com
				                					                																			                												                								Russia, 424000, Yoshkar-Ola						
K. N. Belosludtsev
Mari State University; Institute of Theoretical and Experimental Biophysics RAS
														Email: dubinin1989@gmail.com
				                					                																			                												                								Russia, 424000, Yoshkar-Ola; Russia, 142290, Moscow oblast, Pushchino						
M. V. Dubinin
Mari State University
							Author for correspondence.
							Email: dubinin1989@gmail.com
				                					                																			                												                								Russia, 424000, Yoshkar-Ola						
References
- Mitchell P. 2011. Chemiosmotic coupling in oxidative and photosynthetic phosphorylation. Biochim. Biophys. Acta. 1807, 1507–1538.
 - Mitchell P., Moyle J. 1967. Respiration-driven proton translocation in rat liver mitochondria. Biochem. J. 105, 1147–1162.
 - Skulachev V.P., Bogachev A.V., Kasparinsky F.O. 2013. Principles of bioenergetics. Berlin: Springer-Verlag. 436 p.
 - Cadenas S. 2018. Mitochondrial uncoupling, ROS generation and cardioprotection. Biochim. Biophys. Acta. Bioenerg. 1859, 940–950.
 - Mazat J.P., Ransac S., Heiske M., Devin A., Rigoulet M. 2013. Mitochondrial energetic metabolism – some general principles. IUBMB Life. 65, 171–179.
 - Zorova L.D., Popkov V.A., Plotnikov E.Y., Silachev D.N., Pevzner I.B., Jankauskas S.S., Babenko V.A., Zorov S.D., Balakireva A.V., Juhaszova M., Sollott S.J., Zorov D.B. 2018. Mitochondrial membrane potential. Anal. Biochem. 552, 50–59.
 - Klingenberg M. 2008. The ADP and ATP transport in mitochondria and its carrier. Biochim. Biophys. Acta. 1778, 1978–2021.
 - Porter R.K., Brand M.D. 1993. Body mass dependens of H+ leak in mitochondria and its relevance to metabolic rate. Nature. 362, 628–630.
 - Nicholls D.G. 2021. Mitochondrial proton leaks and uncoupling proteins. Biochim. Biophys. Acta. Bioenerg. 1862, 148428.
 - Vinogradov A.D., Grivennikova V.G. 2016. Oxidation of NADH and ROS production by respiratory complex I. Biochim. Biophys. Acta. 1857, 863–871.
 - Hummer G., Wikström M. 2016. Molecular simulation and modeling of complex I. Biochim Biophys Acta. 1857, 915–921.
 - Sarewicz M., Osyczka A. 2015. Electronic connection between the quinone and cytochrome c redox pools and its role in regulation of mitochondrial electron transport and redox signaling. Physiol. Rev. 95, 219–243.
 - Fisher N., Meunier B., Biagini G.A. 2020. The cytochrome bc1 complex as an antipathogenic target. FEBS Lett. 594, 2935–2952.
 - Kao W.-C., Hunte C. 2022. Quinone binding sites of cyt bc complexes analysed by X-ray crystallography and cryogenic electron microscopy. Biochem. Soc. Trans. 50, 877–893.
 - Wikström M., Krab K., Sharma V. 2018. Oxygen activation and energy conservation by cytochrome c oxidase. Chem. Rev. 118, 2469–2490.
 - Brand M.D., Reynafarje B., Lehninger A.L. 1976. Re-evaluation of the H+/site ratio of mitochondrial electron transport with the oxygen pulse technique. J. Biol. Chem. 251, 5670–5679.
 - Reynafarje B., Brand M.D., Lehninger A.L. 1976. Evaluation of the H+/site ratio of mitochondrial electron transport from rate measurements. J. Biol. Chem. 251, 7442–7451.
 - Papa S., Guerrieri F., Lorusso M., Izzo G., Boffoli D., Capuano F., Capitanio N., Altamura N. 1980. The H+/e– stoicheiometry of respiration-linked proton translocation in the cytochrome system of mitochondria. Biochem. J. 192, 203–218.
 - Watt I.N., Montgomery M.G., Runswick M.J., Leslie A.G., Walker J.E. 2010. Bioenergetic cost of making an adenosine triphosphate molecule in animal mitochondria. Proc. Natl. Acad. Sci. USA. 107, 16 823–16 827.
 - Hinkle P.C. 2005. P/O ratios of mitochondrial oxidative phosphorylation. Biochim. Biophys. Acta. 1706, 1–11.
 - Stoner C.D. 1987 Determination of the P/2e– stoichiometries at the individual coupling sites in mitochondrial oxidative phosphorylation. Evidence for maximum values of 1.0, 0.5, and 1.0 at sites 1, 2, and 3. J. Biol. Chem. 262, 10445–10453.
 - Hinkle P.C., Kumar M.A., Resetar A., Harris D.L. 1991. Mechanistic stoichiometry of mitochondrial oxidative phosphorylation. Biochemistry. 30, 3576–3582.
 - Samartsev V.N., Semenova A.A., Ivanov A.N., Dubinin M.V. 2022. Comparative study of free respiration in liver mitochondria during oxidation of various electron donors and under conditions of shutdown of complex III of the respiratory chain. Biochem. Biophys. Res. Commun. 606, 163–167.
 - Brown G.C. 1989. The relative proton stoihiometries of the mitochondrial proton pumps are independent of the proton motive force. J. Biol. Chem. 264, 14 704–14 109.
 - Chien L.F., Brand M.D. 1996. The effect of chloroform on mitochondrial energy transduction. Biochem. J. 320, 837–845.
 - Skulachev V.P. 1998. Uncoupling: New approaches to an old problem of bioenergetics. Biochim. Biophys. Acta. 1363, 100–124.
 - Luvisetto S., Conti E., Buso M., Azzone G.F. 1991. Flux ratios and pump stoichiometries at sites II and III in liver mitochondria. Effect of slips and leaks. J. Biol. Chem. 266, 1034–1042.
 - Маркова О.В., Бондаренко Д.И., Самарцев В.Н. 1999. Опосредованное анионными переносчиками разобщающее действие дикарбоновых жирных кислот зависит от расположения второй карбоксильной группы. Биохимия. 64, 679–685.
 - Semenova A.A., Samartsev V.N., Dubinin M.V. 2021. The stimulation of succinate-fueled respiration of rat liver mitochondria in state 4 by α,ω-hexadecanedioic acid without induction of proton conductivity of the inner membrane. Intrinsic uncoupling of the bc1 complex. Biochimie. 181, 215–225.
 - Terada H., Shima O., Yoshida K., Shinohara Y. 1990. Effects of the local anesthetic bupivacaine on oxidative phosphorilation in mitochondria. Change from decoupling to uncoupling by formation of a leakage type ion pathway specific for H+ in cooperation with hydrophobic anions. J. Biol. Chem. 265, 7837–7842.
 - Alexandre A., Lehninger A.L. 1984. Bypasses of the antimycin a block of mitochondrial electron transport in relation to ubisemiquinone function. Biochim. Biophys. Acta. 767, 120–129.
 - Samartsev V.N., Semenova A.A., Dubinin M.V. 2020. A comparative study of the action of protonophore uncouplers and decoupling agents as inducers of free respiration in mitochondria in states 3 and 4: Theoretical and experimental approaches. Cell Biochem. Biophys. 78, 203–216.
 - Garlid K.D., Nakashima R.A. 1983. Studies on the mechanism of uncoupling by amine local anesthetics. Evidence for mitochondrial proton transport mediated by lipophilic ion pairs. J. Biol. Chem. 258, 7974–7980.
 - Popova L.B., Nosikova E.S., Kotova E.A., Tarasova E.O., Nazarov P.A., Khailova L.S., Balezina O.P., Antonenko Y.N. 2018. Protonophoric action of triclosan causes calcium efflux from mitochondria, plasma membrane depolarization and bursts of miniature end-plate potentials. Biochim. Biophys. Acta Biomembr. 1860, 1000–1007.
 - Brierley G.P., Jurkowitz M., Scott K.M., Merola A.J. 1970. Ion transport by heart mitochondria. XX. Factors affecting passive osmotic swelling of isolated mitochondria. J. Biol. Chem. 245, 5404–5411.
 - Самарцев В.Н., Кожина О.В., Полищук Л.С. 2005. Соотношение между дыханием и синтезом АТР в митохондриях при различной степени разобщения окислительного фосфорилирования. Биофизика. 50, 660–667.
 - Terada H. 1981. The interaction of highly active uncouplers with mitochondria. Biochim. Biophys. Acta. 639, 225–242.
 - Ponnalagu D., Singh H. 2017. Anion channels of mitochondria. Handb. Exp. Pharmacol. 240, 71–101.
 - Groen A.K., Wanders R.J.A., Westerhoff H.V., Van der Meer R., Tager J.M. 1982. Quantification of the contribution of various steps to the control of mitochondrial respiration. J. Biol. Chem. 257, 2754–2757.
 - Mookerjee S.A., Gerencser A.A., Watson M.A., Brand M.D. 2021. Controlled power: How biology manages succinate-driven energy release. Biochem. Soc. Trans. 49, 2929–2939.
 - Самарцев В.Н., Чезганова С.А., Полищук Л.С., Пайдыганов А.П., Видякина О.В., Зелди И.П. 2003. Температурная зависимость дыхания митохондрий печени крыс при разобщении окислительного фосфорилирования жирными кислотами. Влияние неорганического фосфата. Биохимия. 68, 1137–1143.
 
				
			
					
						
						
						
						
				



