Energy Barrier of a Monolayer Stalk Formation during Lipid Droplet Fusion
- Authors: Molotkovsky R.J.1
 - 
							Affiliations: 
							
- Frumkin Institute of Physical Chemistry and Electrochemistry, Russian Academy of Sciences
 
 - Issue: Vol 41, No 2 (2024)
 - Pages: 123-132
 - Section: Articles
 - URL: https://medbiosci.ru/0233-4755/article/view/257100
 - DOI: https://doi.org/10.31857/S0233475524020035
 - EDN: https://elibrary.ru/xvuiyf
 - ID: 257100
 
Cite item
Full Text
Abstract
Lipid droplets are organelles responsible for the accumulation and breakdown of neutral fats in the human body. Lipid droplets have a monolayer shell of phospholipids, which prevents their spontaneous fusion. The fusion of lipid droplets is carried out by specialized fusion proteins and is regulated by the lipid composition of the monolayer membrane. The efficiency of fusion is determined by the energy needed for the local approach of lipid droplets and the topological rearrangement of their monolayers. In this work, the fusion of monolayers is modeled within the framework of the theory of membrane elasticity. The energy barrier for fusion is calculated under various conditions simulating possible compositions of monolayers, as well as the possible effects of proteins. The calculation results show that the height of the barrier is most dependent on the distance between lipid droplets, which is determined by the fusion proteins. Lipid composition also affects the fusion efficiency and can change it several tens of times, which is consistent with previously obtained data on bilayer fusion.
Full Text
ВВЕДЕНИЕ
Эукариотические клетки, как правило, состоят из множества взаимодействующих органелл. Это взаимодействие часто осуществляется путем контакта и перестройки липидных мембран, окружающих органеллы и выполняющих барьерную функцию. Одной из форм процессов перестройки мембран является их слияние, т. е. объединение материала самих мембран и объемов воды, которые они окружают. Слияние мембран необходимо для успешного протекания множества биологических процессов, таких как экзоцитоз, оплодотворение, секреция, синаптическая передача и т. д. [1, 2].
Для осуществления слияния мембранам необходимо сблизиться на небольшое расстояние порядка нескольких нанометров и совершить топологическую реконфигурацию, для чего мембраны должны быть деформированы. Согласно имеющимся представлениям, этот процесс происходит через несколько промежуточных метастабильных состояний, разделенных энергетическими барьерами [2, 3]. Высоты энергетических барьеров определяют кинетические параметры слияния, такие как среднее время ожидания слияния, и поэтому являются важнейшими физическими величинами. Ключевым метастабильным состоянием является сталк – структура, в которой контактные монослои уже слились, а дистальные – еще нет [4, 5]. Сталк является первой структурой, в которой осуществляется физический контакт сливающихся мембран; сталк наблюдался в экспериментах по рентгеновскому рассеянию на мультислоях, а также в исследованиях методами молекулярной динамики [3, 5]. В дальнейшем эволюция системы может идти по разным траекториям, на которых системе необходимо преодолеть еще один или два энергетических барьера [6–8]. Классическая теория предполагает дальнейшее расширение сталка и образование так называемой диафрагмы полуслияния – структуры с протяженным бислоем, образованным дистальными монослоями мембран, расположенным в центре между радиально разошедшимися слившимися контактными монослоями [9]. Затем в диафрагме полуслияния образуется сквозная пора, и слияние завершается. Различные оценки дают для высот барьеров величины в несколько десятков kBT (kBT = 4 × 10–21 Дж) [10–12].
Как правило, в слиянии участвуют бислойные мембраны, однако в природе существует уникальный случай слияния монослойных мембран. Этот процесс реализуется при взаимодействии так называемых липидных капель, органелл, используемых для запасания нейтральных жиров. Липидные капли имеют монослойную оболочку из фосфолипидов, которая предотвращает их спонтанное слияние [13]. Считается, что процессы слияния липидных капель контролируются специализированными белковыми комплексами и определенным липидным составом поверхностного монослоя, влияющими на высоту энергетического барьера слияния. В большинстве случаев перетекание жира из одной капли в другую полностью контролируется белковыми комплексами CideA, которые, как предполагается, формируют белковые поры в монослойных оболочках липидных капель [14]. Данный механизм взаимодействия не предполагает объединения липидных оболочек и не является слиянием в смысле определения, данного выше. В слиянии могут участвовать комплексы SNARE (soluble NSF attachment protein receptor), которые, как предполагается, удерживают вместе сливающиеся оболочки липидных капель [15]. В большинстве работ, исследующих слияние липидных капель, уделяется мало внимания влиянию липидного состава на этот процесс. В некоторых работах констатируется увеличение эффективности слияния липидных капель при модулировании их состава, в частности, при увеличении концентрации фосфатидной кислоты [16]. Известно, что изменение липидного состава влияет на упругие характеристики сливающихся бислойных мембран, в частности на так называемую спонтанную кривизну – параметр, характеризующий равновесную форму свободного монослоя [17]. Повышенное содержание диолеоилфосфатидилхолина (DOPC), имеющего примерно нулевую спонтанную кривизну, ингибирует слияние. Увеличение доли липидов с отрицательной спонтанной кривизной, таких, как диолеоилфосфатидилэтаноламин (DOPE), способствует слиянию [3]. Известно, что фосфатидная кислота, увеличивающая эффективность слияния липидных капель, имеет отрицательную спонтанную кривизну, как и DOPE [18]. Кроме того, известно, что в составе оболочек липидных капель доминируют липиды DOPC и DOPE [19, 20], поэтому можно ожидать, что и в случае монослойного слияния состав монослойных оболочек также будет иметь значение. Исследования слияния бислойных мембран позволяют предположить, что эффективность монослойного слияния определяется совместным действием липидной мембраны и белков, аналогично классическому случаю. При описании бислойного слияния белки рассматриваются как объекты, приводящие к локальному изменению упругих свойств мембран или уменьшающие эффективное расстояние между ними за счет механической работы [10, 21, 22]. При этом на стадии образования сталка влияние липидной компоненты на эффективность слияния является ключевым, поскольку для успешного слияния область контакта липидных оболочек должна быть свободна от белков.
В данной работе разрабатывается теоретическая модель безбелкового слияния монослойных оболочек. В качестве основы используются теоретические модели бислойного и бислой-монослойного слияния [22, 23]. Для расчета деформаций применяется теория упругости липидных мембран, адаптированная для случая монослоев. Это позволяет рассчитать энергетический барьер на образование монослойного сталка. В работе исследуется зависимость высоты данного барьера от ключевых упругих характеристик монослоев и от их липидного состава. Полученные данные сопоставляются с результатами для бислойного и монослой-бислойного слияния. Определение высоты энергетического барьера позволяет также оценить возможность протекания безбелкового слияния для липидных капель с разным составом оболочки.
ПОСТАНОВКА И РЕШЕНИЕ ЗАДАЧИ
Мы рассматриваем образование монослойного сталка в процессе слияния идентичных липидных капель путем локального сближения двух монослоев. Считаем, что размеры липидных капель много больше характерных размеров области слияния. Это позволяет представлять начальное состояние системы как два плоских монослоя, разделенных водной средой и расположенных на равновесном расстоянии H0 друг от друга (рис. 1а). Равновесное расстояние по порядку величины составляет несколько нанометров и может уменьшаться до 1 нм при стягивающем воздействии белков слияния [10]. Глобальное уменьшение расстояния между монослоями не выгодно из-за действия сил гидратационного отталкивания, поэтому мы рассматриваем локальное выпячивание монослоев друг к другу при фиксированном расстоянии H0 на удалении от этого выпячивания (рис. 1б). Считаем, что выпячивания расположены на расстоянии d симметрично друг относительно друга; это позволяет рассматривать только один монослой. Энергия системы в этом случае равна сумме удвоенной упругой энергии монослоя и энергии межмонослойного взаимодействия. Образование монослойного сталка соответствует случаю d = 0 (рис. 1в).
Рис. 1. Схематичное изображение процесса монослойного слияния. а – Начальное состояние: два плоских монослоя находятся на расстоянии H0 друг от друга. б – Образование локальных симметричных выпуклостей на расстоянии d. в – Образование монослойного сталка, т. е. плотного контакта мембран друг с другом.
Рассмотрим сначала упругую энергию монослоя. Она определяется деформациями монослоя и латеральным натяжением . Для описания деформаций мы используем энергетический функционал Хамма–Козлова [24]. Состояние деформированного участка липидного монослоя определяется векторным полем единичных векторов n, называемых директорами, характеризующими среднюю ориентацию липидных молекул. Поле директоров задается на так называемой нейтральной поверхности, проходящей внутри монослоя параллельно его границе с водой в области сочленения полярных головок с гидрофобными цепями липидов. На этой поверхности деформации поперечного изгиба и латерального растяжения/сжатия энергетически независимы [24]. Форма нейтральной поверхности характеризуется векторным полем ее единичных нормалей N. Деформации будем считать малыми и будем вычислять энергию в квадратичном приближении. Деформация поперечного изгиба характеризуется дивергенцией директора вдоль нейтральной поверхности, div(n). Деформация наклона характеризуется вектором наклона, который для малых деформаций имеет вид t = n – N [24]. Энергия деформации W участка монослоя площади A при наличии ненулевого натяжения σ может быть записана в виде [17]:
(1)
где B и Kt – упругие модули изгиба и наклона соответственно, Js – спонтанная кривизна монослоя, dS – элемент площади поверхности, A0 – площадь монослоя в недеформированном состоянии. Для описания деформаций монослоя мы вводим систему координат {O, z, r} с осью z, направленной перпендикулярно монослою посередине его выпуклости, и осью r, направленной перпендикулярно оси z так, что она касается нейтральной поверхности монослоя на бесконечности. В предположении малости деформаций состояние монослоя описывается проекциями директора и вектора наклона на ось r a(r) и t(r) соответственно, а также расстоянием H(r) от нейтральной поверхности до плоскости z = 0. Дивергенция директора при этом заменяется на выражение da/dr + a/r. Также мы учитываем, что вектор наклона t ≈ n – N [24]; это позволяет связать проекцию вектора наклона с формой нейтральной поверхности H(r) согласно формуле . В результате поверхностная энергия монослоя может быть записана в виде [25]:
(2)
Варьируя функционал , мы получаем уравнения Эйлера–Лагранжа, описывающие функции a(r) и H(r). Решение данных уравнений позволяет найти в явном виде функции a(r) и H(r), зависящие от неопределенных коэффициентов. Эти коэффициенты определяются из граничных условий, задающих геометрию системы и имеющих следующий вид:
(3)
где d – расстояние между вершинами монослойных выпуклостей. Граничные условия (3) означают, что решения уравнений должны быть ограничены как в нуле, так и на бесконечности. Для удовлетворения этим условиям мы вводим дополнительный параметр – радиус R – и делим рассматриваемую систему на две области: от 0 до R и от R до бесконечности (рис. 2а).
Рис. 2. Модели промежуточных стадий монослойного слияния. а – Локальные выпуклости радиуса R, находящиеся на расстоянии d друг от друга. б – Монослои с гидрофобными дефектами. Расстояние между мембранами при r → ∞ равно H0 и не меняется в процессе слияния.
В первой области вводим функции ai(r) и Hi(r), ограниченные в нуле, во второй области – функции ae(r) и He(r), ограниченные на бесконечности. Каждый из этих наборов функций удовлетворяет уравнениям Эйлера–Лагранжа, но имеет меньше неопределенных коэффициентов в своем составе. В явном виде эти функции имеют следующий вид:
(4)
Здесь – безразмерное латеральное натяжение, l = B/Kt,, , Ij(r) и Kj(r) – модифицированные функции Бесселя j-го порядка первого и второго типа соответственно, с i, i = 1…4 – неопределенные коэффициенты. Определенные формулой (4) функции непрерывно сшиваются на границе двух областей:
(5)
Совокупность граничных условий (3) и (5) позволяет определить все неопределенные коэффициенты ci. После этого мы интегрируем поверхностную плотность энергии (2) в двух областях и в итоге получаем полную упругую энергию монослоя Wel1 как функцию R и H0 – d. В явном виде данная энергия имеет вид:
(6)
Здесь .Заметим, что энергия Wel1 не зависит от спонтанной кривизны Js и от равновесной толщины монослоя. Также мы рассматриваем гидратационное отталкивание между мембранами, возникающее из-за взаимодействия примембранных слоев воды при субнанометровых расстояниях между монослоями. Поверхностная энергия гидратационного отталкивания wh вычисляется на основе эмпирического соотношения
(7)
где z(r) – расстояние между мембранами как функция координаты r, ξh – характерная длина порядка 0.3 нм, P0 – давление при нулевом расстоянии, варьирующее в пределах 100–1000 kBT/нм3 [8, 10]. В связи с экспоненциальным убыванием силы отталкивания при увеличении расстояния между мембранами обычно интегрирование ведется по областям мембран, соответствующим увеличению расстояния между ними на величину ξh. В рассматриваемом нами случае эта область определяется радиусом Rh, который находится из условия Hi(0) – Hi(Rh) = ξh/2. Проведенные нами вычисления показывают, что этот радиус мало отличается от радиуса R при достаточно больших значениях H0. Это позволяет нам еще больше упростить вычисления и проводить интегрирование по плоскостям, касающимся нейтральных поверхностей в точке r = 0 и отстоящим друг от друга на расстояние d. Таким образом, мы получаем приближенное значение энергии гидратационного отталкивания Wh:
(8)
Полная энергия системы Wtot1 равна сумме удвоенной упругой энергии и энергии гидратационного отталкивания: Wtot1 = 2Wel1 + Wh. При небольших расстояниях d становится энергетически выгодно образование локальных гидрофобных дефектов на вершинах взаимодействующих выпуклостей (рис. 2б). Энергия взаимодействия гидрофобных дефектов определяется следующим соотношением:
(9)
где σp – натяжение на границе вода/масло, ξp – характерная длина гидрофобного взаимодействия. Поскольку выпуклости заменяются дефектами, меняется геометрия системы, что приводит к изменению граничных условий. При наличии дефектов монослои остаются деформированными только в области r > R, при этом граничные условия имеют вид:
(10)
Решение уравнений (10) относительно коэффициентов c3 и c4 позволяет найти изменившуюся энергию деформаций Wel2:
(11)
Образование дефектов также приводит к разрыву непрерывности директора; теперь директор не определен в области r < R. Это приводит к появлению ненулевого вклада в энергию от Гауссовой кривизны. Энергия Гаусса монослоя равна WGauss = –πKG.ae(R)2, где KG – модуль Гауссовой кривизны, KG < 0, ae(R) – значение граничного директора в точке r = R [21]. Граничный директор задается коэффициентами c3 и c4 согласно уравнениям (4). В рассматриваемом случае эти коэффициенты находятся из граничных условий (10); в соответствии с этим, энергия Гаусса для одного монослоя оказывается равна
(12)
Полная энергия системы из двух монослоев с взаимодействующими гидрофобными дефектами будет равна Wtot2 = 2Wel2 +2WGauss + Wh. Как видно из формулы (9), гидрофобное взаимодействие уменьшается при малых значениях d, что приводит к эффективному притяжению монослоев.
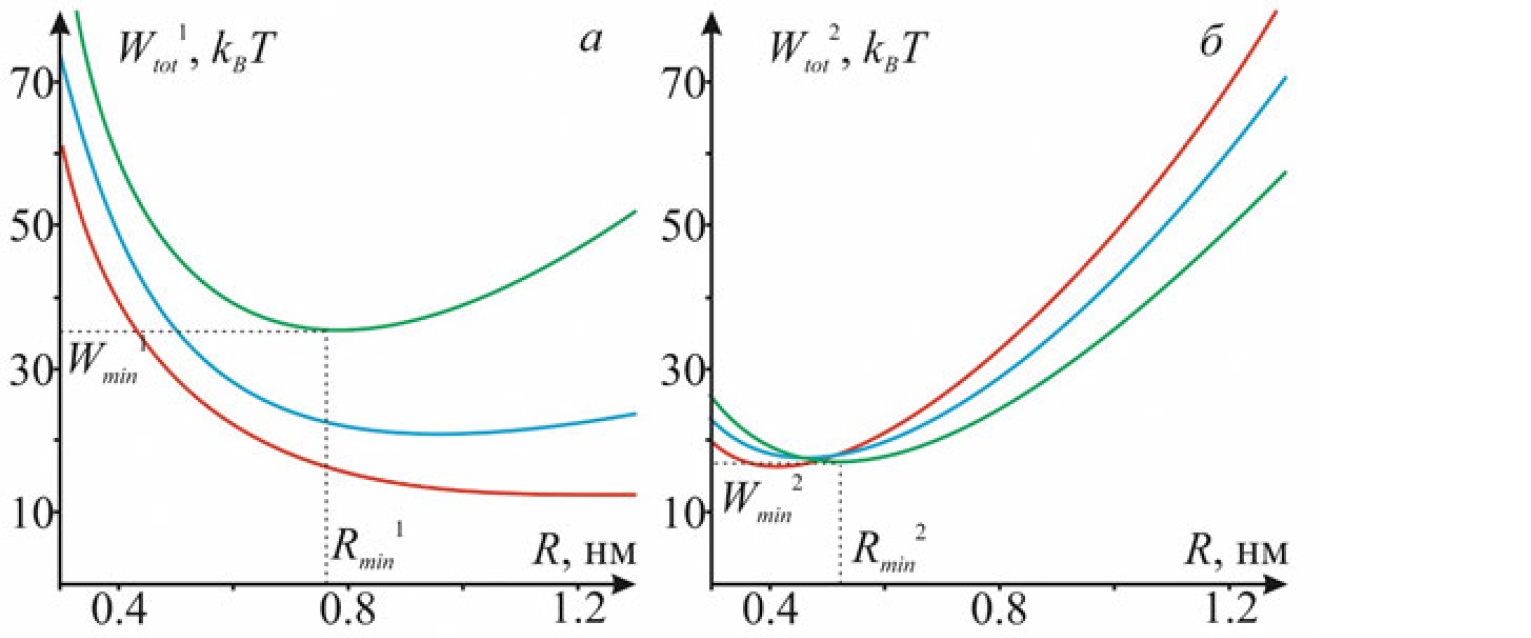
Алгоритм расчета. Описанные выше предположения позволяют найти энергетическую траекторию образования монослойного сталка в процессе слияния двух монослоев. Под энергетической траекторией понимается некоторая траектория вдоль энергетической гиперповерхности в координатах {R, d}, переводящая систему из начального состояния в состояние сталка. Мы фиксируем расстояние H0 между монослоями и рассматриваем зависимость энергии системы от наименьшего расстояния d между мембранами. В данном случае параметр d является координатой реакции. Монослой может находиться в двух состояниях – монослой с выпуклостью или монослой с гидрофобным дефектом. При каждом фиксированном значении расстояния d находим зависимость энергии Wtot1 выпуклостей от R. Эта энергия имеет минимум, соответствующий Rmin ~0.5–1 нм (см. рис. 3а). Минимальная энергия Wmin1 составляет несколько десятков kBT и быстро растет с уменьшением d. Мы находим минимальное значение энергии Wmin1 и соответствующее ему значение радиуса выпуклости Rmin1.
Рис. 3. Зависимость полной энергии выпуклостей Wtot1 (панель а) и энергии дефектов Wtot2 (панель б) от радиуса R при фиксированных значениях расстояния d между монослоями. Красные кривые соответствуют d = 1 нм, синие кривые соответствуют d = 0.8 нм, зеленые – d = 0.6 нм. Остальные параметры системы имеют следующие значения: H0 = 3 нм, P0 = 800 kBT/нм3, ξh = 0.2 нм, ξp = 1 нм, Js = –0.1 нм-1, KG = –5 kBT, Kt = 10 kBT/нм2, l = 1 нм, σp = 12.5 kBT /нм2, σ = 0.05 kBT /нм2.
Аналогичным образом рассматриваем зависимость энергии монослоев с дефектами Wtot2 от R при этом же фиксированном значении d (рис. 3б). Эта энергия также имеет минимум, соответствующий другому значению радиуса Rmin2; минимальное значение энергии обозначаем как Wmin2. Таким образом, имеем зависимости энергий Wmin1 и Wmin2 от d. Эти две зависимости пересекаются при определенном значении dopt. При d > dopt энергия системы определяется зависимостью Wmin1, а при d < dopt – зависимостью Wmin2. В результате получаем энергетическую траекторию системы в зависимости от координаты реакции d; пример такой траектории показан на рис. 4. Высота барьера определяется как разность максимальной энергии на траектории и энергии начального состояния. В точке траектории, соответствующей d = 0, образуется монослойный сталк. При этом мы пренебрегаем изменением энергии, связанным со скачкообразным изменением радиуса системы. При малых значениях d энергия системы с гидрофобным дефектом достаточно слабо зависит от R (см. рис. 3, панель б). Поэтому искомое изменение энергии можно оценить в несколько единиц kBT.
Рис. 4. Энергетическая траектория монослойного слияния в координатах (H0 – d, W). Начало слияния находится слева и соответствует отсутствию выпуклостей, конец траектории находится справа и соответствует образованию монослойного сталка (d = 0). Красным показана равновесная энергия выпуклостей Wtot1; синим показана равновесная энергия монослоев с гидрофобными дефектами Wtot2. Параметры системы те же, что и на рис. 3.
РЕЗУЛЬТАТЫ
Мы находим зависимость высоты энергетического барьера EBarr от состава сливающихся монослойных оболочек. Описанный выше алгоритм позволяет определить энергетический барьер монослойного слияния, если известны упругие параметры монослоев, параметры гидратационного отталкивания и равновесное расстояние H0 между монослоями. Изменение состава моделируется как добавление DOPE в мембрану, состоящую из DOPC. Параметры P0 и ξh экспериментально определены для ограниченного набора составов мембраны, а именно – для мембран с соотношением DOPC : DOPE=1:0, 3:1 и 1:1 [26]. Следует отметить, что данные параметры получены при анализе расстояний между плоскими мембранами вплоть до величины 0.9 нм. В нашей работе формирование контакта между мембранами происходит при d = 0.5–1 нм, т. е. при несколько меньших расстояниях. В этом смысле применение данных значений параметров является экстраполяцией. В нашем анализе мы рассматриваем именно эти составы. Зависимость спонтанной кривизны от состава определяется в соответствии с формулой
(13)
где cDOPE – поверхностная доля DOPE в составе мембраны; jDOPC и jDOPE – спонтанные кривизны DOPC и DOPE соответственно. Также мы учитываем зависимость модуля изгиба Beff от состава [27]:
(14)
где a – средняя площадь липидной молекулы, которую мы в дальнейшем принимаем равной примерно 0.7 нм2, B – модуль изгиба DOPC, равный 10 kBT [28]. Зависимости величин от липидного состава сведены в табл. 1.
Таблица 1. Значения параметров, зависящих от липидного состава
Липидный состав  | DOPC : DOPE=1:0  | DOPC : DOPE=3:1  | DOPC : DOPE=1:1  | 
Beff, kBT  | 10  | 8.3  | 7.8  | 
Js, нм-1  | –0.09  | –0.17  | –0.25  | 
P0, kBT/нм3  | 817  | 151  | 59  | 
ξh, нм  | 0.235  | 0.321  | 0.368  | 
Примечание. Параметры P0 и ξh взяты из работы [26]; модуль изгиба и спонтанная кривизна определяются в соответствии с формулами (13) и (14). При расчетах спонтанная кривизна DOPC принимается равной jDOPC = –0.09 нм-1; спонтанная кривизна DOPE jDOPE = –0.4 нм-1 [29].
Модуль наклона Kt считаем не зависящим от липидного состава и равным Kt = 10 kBT/нм2 [30]; поверхностное натяжение мембраны задаем равным σ = 0.05 kBT/нм2. Также от состава не зависит длина гидрофобного взаимодействия ξp ≈ 1 нм [21]. Модуль Гауссовой кривизны KG определен в нескольких работах и варьирует от –3.3 kBT до –10 kBT [31–33]. Мы используем две величины: –5 kBT и –8 kBT и приводим результаты для этих значений. Также мы варьируем начальное расстояние между монослоями H0 и приводим зависимость высоты барьера от H0 для различных составов. Результаты расчетов показаны на рис. 5.
Рис. 5. Зависимость высоты барьера на образование монослойного сталка EBarr (kBT) от H0 для монослоев разного состава и при разном значении модуля Гауссовой кривизны KG. Красным показаны зависимости для монослоев из чистого DOPC, синим – для монослоев состава DOPC : DOPE = 3:1, зеленым – для монослоев состава DOPC : DOPE = 1:1. Сплошными линиями показаны зависимости для случая KG = –8 kBT, пунктирными линиями – для случая KG = –5 kBT. Значения упругих модулей и спонтанной кривизны для монослоев разного состава указаны в табл. 1.
ОБСУЖДЕНИЕ РЕЗУЛЬТАТОВ
Полученные нами результаты позволяют оценить высоту EBarr энергетического барьера на образование монослойного сталка и провести сравнение со случаем классического бислойного слияния. Одним из важных вопросов теории слияния является получение зависимости высоты такого барьера от состава сливающихся мембран. Известно, что увеличение доли DOPE в составе мембран приводит к облегчению слияния и увеличению стабильности сталка [34]. Имеющиеся экспериментальные данные по слиянию липидных капель также говорят о том, что увеличение доли DOPE или фосфатидной кислоты в составе их оболочки приводит к увеличению эффективности слияния [16]. Наши результаты согласуются с этими предположениями. Как видно из рис. 5, увеличение доли DOPE на 50% приводит к уменьшению высоты барьера примерно на 5kBT, которое становится тем больше, чем больше расстояние между монослоями H0. При этом увеличение H0 с 2 до 4 нм приводит к росту высоты барьера в несколько раз, с 10 до 30–40 kBT, в зависимости от остальных параметров системы. Таким образом, наши расчеты показывают, что изменение состава монослоев влияет на эффективность образования сталка значительно слабее, чем изменение начального расстояния между ними. Этот результат качественно соответствует полученным ранее результатам для бислойного и бислой-монослойного слияния [23]. Он также согласуется с результатами работы [12], согласно которым барьер для бислойного слияния уменьшается примерно на 3 kBT при увеличении доли фосфатидилэтаноламина в составе мембран на 50%. В этой же работе показано, что барьер на слияние чрезвычайно сильно зависит от расстояния между мембранами и увеличивается в 2 раза при двукратном увеличении расстояния. При этом следует отметить, что уменьшение барьера даже на несколько единиц kBT ощутимо влияет на экспериментально регистрируемое время ожидания слияния. Так, например, в работе [35] демонстрируется, что уменьшение времени ожидания слияния в 35 раз соответствует уменьшению барьера на 3.5 kBT. Полученные зависимости позволяют объяснить эффективность белок-опосредованного слияния липидных капель как результат контроля межмонослойного расстояния: эктодомены белков слияния, таких как SNARE, удерживают монослои на фиксированном небольшом расстоянии, что резко понижает барьер на слияние и делает слияние реализуемым за физически адекватное время. Варьирование липидного состава позволяет более тонко влиять на высоту барьера, дополняя влияние белков и ускоряя или замедляя слияние в несколько раз.
Наши результаты показывают, что Гауссова кривизна также оказывает значительное влияние на высоту барьера; количественно это влияние определяется величиной модуля Гауссовой кривизны KG. Экспериментально оценить эту величину достаточно сложно; наиболее достоверные результаты были получены путем молекулярно-динамических расчетов [33]. Согласно этим данным, отношение KG/B колеблется от –0.86 до –1.05 в зависимости от параметров симуляции, таких как площадь на головку липида. Данные [32] говорят о значении –0.83 для того же соотношения. В то же время в некоторых работах используется значение –0.5 и даже – 0.3 [31]. Кроме того, в работе [36] показано, что для мембраны из DOPE модуль KG составляет –8.3 kBT, а для мембраны из DOPC –7.6 kBT. В силу большой неопределенности в литературных данных мы взяли два характерных значения для модуля KG, чтобы показать степень влияния на высоту барьера; при этом зависимость KG от состава не рассматривалась. Из приведенных на рис. 5 данных следует, что изменение модуля Гауссовой кривизны KG с –8 до –5 kBT приводит к падению высоты барьера в 1.5 раза. Это говорит о большой чувствительности энергии интермедиатов слияния к величине KG, что является следствием топологической перестройки в процессе слияния [32].
Результаты нашей работы позволяют оценить влияние суммарного числа монослоев в составе сливающихся мембран на энергетический профиль системы. Ранее нами было показано, что стабильность сталка повышается при уменьшении этого числа с четырех до трех [23]. Проведенные в этой работе вычисления методом молекулярной динамики показывают, что в случае мембран из чистого DOPC бислойный сталк является нестабильной структурой, в то время как монослойно-бислойный сталк является метастабильной структурой. В случае монослойно-бислойного слияния барьер на обратный переход из состояния сталка в состояние невзаимодействующих мембран составляет несколько единиц kBT. В настоящей работе демонстрируется, что дальнейшее уменьшение числа монослоев приводит к возрастанию величины обратного барьера. Вне зависимости от состава мембраны, в области d < dopt энергия понижается на несколько десятков единиц kBT, как показано на рис. 4. Высота прямого барьера также понижается на 15 kBT относительно бислойного слияния и при H0 ≈ 2–3 нм варьирует в интервале 10–25 kBT. Дальнейшая эволюция системы после образования монослойного сталка должна быть связана с его расширением. В отличие от бислойного слияния, расширение монослойного сталка приводит сразу к образованию поры слияния. В работе [25] нами были проведены расчеты, описывающие расширение сталка в случае монослойно-бислоного слияния. Нами была произведена оценка высоты барьера на расширение сталка в зависимости от доли DOPE в составе мембран; максимальное значение этого барьера EMB составляет 10 kBT в случае мембран без DOPE. Простые соображения позволяют связать с уже рассмотренной моделью случай расширения монослойного сталка и получить оценку для его барьера. В случае бислойно-монослойного слияния бислойная мембрана практически не деформировалась, и образование сталка было связано только с деформацией монослоя [25]. Согласно формулам (6) и (11), энергия деформаций монослоя квадратично зависит от высоты его подъема относительно начального положения. Можно оценить энергию на расширение монослойно-бислойного сталка как EMB ≈ F(R)∙H0F(R) – функция радиуса сталка. В случае монослойного слияния в силу симметрии системы мы будем иметь два монослоя, каждый из которых поднят на высоту H0/2, поэтому для энергии на расширение монослойного сталка EM можно будет записать
,
т.е. энергия будет уменьшаться в 2 раза. Таким образом, для расширения монослойного сталка будет необходима энергия менее 5 kBT, т. е. можно считать, что расширение сталка происходит практически безбарьерно. В этом состоит принципиальное отличие слияния монослоев от слияния бислойных мембран; в последнем случае процесс сложнее и требует преодоления нескольких энергетических барьеров. Различным стадиям слияния способствуют липиды с разными характеристиками. Так, для облегчения расширения бислойного сталка до диаграммы полуслияния предпочтительны липиды с отрицательной спонтанной кривизной, а для облегчения образования поры слияния – липиды с положительной спонтанной кривизной [2]. В силу этого для повышения эффективности бислойного слияния в живых системах бывает необходимо использовать белки слияния. В то же время монослойное слияние в силу пониженности энергетического барьера и одностадийности может регулироваться только липидным составом без непосредственного участия белков.
В рамках проведенных расчетов были сделаны некоторые упрощающие предположения. Мы считаем, что гидратационное отталкивание ограничивается областью выпуклости, т. е. r < R. Такое предположение оправдано, если в этой области высота мембраны H(r) меняется на большую величину, чем ξh/2. Поскольку значение ξh мало и составляет несколько ангстрем, это условие выполняется для большей части рассматриваемых систем, однако перестает работать при небольших межмонослойных расстояниях H0 < 1.5–2 нм. Таким образом, используемая модель становится неприменимой в области малых значений H0. Гидратационным отталкиванием при рассмотрении гидрофобных дефектов мы полностью пренебрегаем, поскольку предполагаем, что их наличие приводит к локальному разупорядочиванию слоев воды при r > R. Это предположение нуждается в дополнительной проверке и может приводить к занижению энергии гидрофобных дефектов, особенно в области больших расстояний H0. Таким образом, сформулированная модель наиболее корректно описывает поведение системы в узком диапазоне значений H0 примерно от 2 до 3 нм. Кроме того, предполагается, что переход из состояния выпуклости в состояние гидрофобного дефекта совершается безбарьерно. В то же время, несмотря на равенство энергий этих состояний, они могут отличаться величиной равновесного радиуса, т. е. . В дальнейшем мы планируем учесть этот недостаток и разработать непрерывную траекторию слияния монослойных оболочек.
Автор выражает глубокую признательность П.И. Кузьмину за доброжелательные и конструктивные замечания при выполнении расчетов и подготовке рукописи.
Конфликт интересов. Автор декларирует отсутствие явных и потенциальных конфликтов интересов, связанных с публикацией настоящей статьи.
Источники финансирования. Работа выполнена при поддержке Российского научного фонда (грант № 22–23–00551).
Соответствие принципам этики. Настоящая статья не содержит описания каких-либо исследований с участием людей или животных в качестве объектов.
About the authors
R. J. Molotkovsky
Frumkin Institute of Physical Chemistry and Electrochemistry, Russian Academy of Sciences
							Author for correspondence.
							Email: rodion.molotkovsky@gmail.com
				                					                																			                												                	Russian Federation, 							Moscow, 119071						
References
- Martens S., McMahon H.T. 2008. Mechanisms of membrane fusion: Disparate players and common principles. Nat. Rev. Mol. Cell Biol. 9, 543–556.
 - Akimov S.A., Molotkovsky R.J., Kuzmin P.I., Galimzanov T.R., Batishchev O.V. 2020. Continuum models of membrane fusion: Evolution of the theory. Int. J. Mol. Sci. 21, 3875.
 - Chernomordik L.V., Kozlov M.M. 2008. Mechanics of membrane fusion. Nat. Struct. Mol. Biol. 15, 675–683.
 - Markin V., Kozlov M., Borovjagin V. 1984. On the theory of membrane fusion. The stalk mechanism. Gen. Physiol. Biophys. 5, 361–377.
 - Yang L., Huang H.W. 2002. Observation of a membrane fusion intermediate structure. Science 297, 1877–1879.
 - Akimov S.A., Molotkovsky R.J., Galimzyanov T.R., Radaev A.V., Shilova L.A., Kuzmin P.I., Batishchev O.V., Voronina G.F., Chizmadzhev Yu.A. 2014. Model of membrane fusion: Continuous transition to fusion pore with regard of hydrophobic and hydration interactions. Biochem. (Mosc.) Suppl. A: Membr. Cell Biol. 8, 153–161.
 - Fuhrmans M., Marelli G., Smirnova Y.G., Müller M. 2015. Mechanics of membrane fusion/pore formation. Chem. Phys. Lipids. 185, 109–128.
 - Ryham R.J., Klotz T.S., Yao L., Cohen F.S. 2016. Calculating transition energy barriers and characterizing activation states for steps of fusion. Biophys. J. 110, 1110–1124.
 - Cohen F.S., Melikyan G.B. 2004. The energetics of membrane fusion from binding, through hemifusion, pore formation, and pore enlargement. J. Membr. Biol. 199, 1–14.
 - Kuzmin P.I., Zimmerberg J., Chizmadzhev Yu.A., Cohen F.S. 2001. A quantitative model for membrane fusion based on low-energy intermediates. Proc. Natl. Acad. Sci. 98, 7235–7240.
 - Kawamoto S., Klein M.L., Shinoda W. 2015. Coarse-grained molecular dynamics study of membrane fusion: Curvature effects on free energy barriers along the stalk mechanism. J. Chem. Phys. 143, 243112.
 - Poojari C.S., Scherer K.C., Hub J.S. 2021. Free energies of membrane stalk formation from a lipidomics perspective. Nat. Commun. 12, 6594.
 - Tauchi-Sato K., Ozeki S., Houjou T., Taguchi R., Fujimoto T. 2002. The surface of lipid droplets is a phospholipid monolayer with a unique fatty acid composition. J. Biol. Chem. 277, 44507–44512.
 - Gao G., Chen F.J., Zhou L., Su L., Xu D., Xu L., Li P. 2017. Control of lipid droplet fusion and growth by CIDE family proteins. BBA – Mol. Cell Biol. L. 1862, 1197–1204.
 - Boström P., Andersson L., Rutberg M., Perman J., Lidberg U., Johansson B.R., Fernandez-Rodriguez J., Ericson J., Nilsson T., Borén J., Olofsson S.O. 2007. SNARE proteins mediate fusion between cytosolic lipid droplets and are implicated in insulin sensitivity. Nat. Cell Biol. 9, 1286–1293.
 - Fei W., Shui G., Zhang Y., Krahmer N., Ferguson C., Kapterian T.S., Lin R.C., Dawes I.W., Brown A.J., Li P., Huang X., Parton R.G., Wenk M.R., Yang H. 2011. A role for phosphatidic acid in the formation of “supersized” lipid droplets. PLoS Genet. 7, e1002201.
 - Chernomordik L.V., Kozlov M.M., Melikyan G.B., Abidor I.G., Markin V.S., Chizmadzhev Y.A. 1985. The shape of lipid molecules and monolayer membrane fusion. Biochim. Biophys. Acta – Biomembr. 812, 643–655.
 - Kooijman E.E., Chupin V., Fuller N.L., Kozlov M.M., de Kruijff B., Burger K.N., Rand P.R. 2005. Spontaneous curvature of phosphatidic acid and lysophosphatidic acid. Biochemistry. 44, 2097–2102.
 - Penno A., Hackenbroich G., Thiele C. 2013. Phospholipids and lipid droplets. Biochim. Biophys. Acta. 1831, 589–594.
 - Mather I.H., Masedunskas A., Chen Y., Weigert R. 2019. Symposium review: Intravital imaging of the lactating mammary gland in live mice reveals novel aspects of milk-lipid secretion. J. Dairy Sci. 102, 2760–2782.
 - Molotkovsky R.J., Kuzmin P.I., Akimov S.A. 2015. Membrane fusion. Two possible mechanisms underlying a decrease in the fusion energy barrier in the presence of fusion proteins. Biochem. (Mosc.) Suppl. A: Membr. Cell Biol. 9, 65–76.
 - Molotkovsky R.J., Galimzyanov T.R., Jiménez-Munguía I., Pavlov K.V., Batishchev O.V., Akimov S.A. 2017. Switching between successful and dead-end intermediates in membrane fusion. Int. J. Mol. Sci. 18, 2598.
 - Kalutsky M.A., Galimzyanov T.R., Molotkovsky R.J. 2022. A model of lipid monolayer–bilayer fusion of lipid droplets and peroxisomes. Membranes, 12, 992.
 - Hamm M., Kozlov M.M. 2000. Elastic energy of tilt and bending of fluid membranes. Eur. Phys. J. E. 3, 323–335.
 - Молотковский Р.Ю., Кузьмин П.И. 2022. Слияние мембран пероксисомы и липдной капли: расширение π-образной структуры. Биол. мембраны. 39 (5), 404–416.
 - Aeffner S., Reusch T., Weinhausen B., Salditt T. 2012. Energetics of stalk intermediates in membrane fusion are controlled by lipid composition. Proc. Natl. Acad. Sci. 109, E1609-E1618.
 - Bashkirov P.V., Kuzmin P.I., Vera Lillo J., Frolov V.A. 2022. Molecular shape solution for mesoscopic remodeling of cellular membranes. Annu. Rev. Biophys. 51, 473–497.
 - Rawicz W., Olbrich K.C., McIntosh T., Needham D., Evans E. 2000. Effect of chain length and unsaturation on elasticity of lipid bilayers. Biophys. J. 79, 328–339.
 - Kollmitzer B., Heftberger P., Rappolt M., Pabst G. 2013. Monolayer spontaneous curvature of raft-forming membrane lipids. Soft Matter. 9, 10877–10884.
 - Hamm M., Kozlov M.M. 1998. Tilt model of inverted amphiphilic mesophases. Eur. Phys. J. B6, 519–528.
 - Shnyrova A.V., Bashkirov P.V., Akimov S.A., Pucadyil T.J., Zimmerberg J., Schmid S.L., Frolov V.A. 2013. Geometric catalysis of membrane fission driven by flexible dynamin rings. Science. 339, 1433–1436.
 - Siegel D.P., Kozlov M.M. 2004. The Gaussian curvature elastic modulus of N-monomethylated dioleoylphosphatidylethanolamine: Relevance to membrane fusion and lipid phase behavior. Biophys. J. 87, 366–374.
 - Hu M., Briguglio J.J., Deserno M. 2012. Determining the Gaussian curvature modulus of lipid membranes in simulations. Biophys. J. 102, 1403–1410.
 - Chernomordik L.V., Kozlov M.M. 2003. Protein-lipid interplay in fusion and fission of biological membranes. Annu. Rev. Biochem. 72, 175–207.
 - Akimov S.A., Polynkin M.A., Jiménez-Munguía I., Pavlov K.V., Batishchev O.V. 2018. Phosphatidylcholine membrane fusion is pH-dependent. Int. J. Mol. Sci. 19, 1358.
 - Siegel D.P. 2008. The Gaussian curvature elastic energy of intermediates in membrane fusion. Biophys. J. 95, 5200–5215.
 
Supplementary files
				
			
					
						
						
						
						
				






