Distribution of progesterone receptors and the membrane component of progesterone receptor in various organs and tissues of male and female rats
- Authors: Dmitrieva A.D.1, Morozov I.A.2, Karhov A.M.1, Rubtsov P.M.2, Smirnova O.V.1, Shchelkunova T.A.1
 - 
							Affiliations: 
							
- Lomonosov Moscow State University
 - Engelhardt Institute of Molecular Biology, Russian Academy of Sciences
 
 - Issue: Vol 41, No 4 (2024)
 - Pages: 333-350
 - Section: Articles
 - URL: https://medbiosci.ru/0233-4755/article/view/268420
 - DOI: https://doi.org/10.31857/S0233475524040052
 - EDN: https://elibrary.ru/awxmvc
 - ID: 268420
 
Cite item
Full Text
Abstract
Progesterone regulates reproductive processes and affects many functions of various non-reproductive organs. Its effects in mammals and humans are mediated by nuclear (nPRs) and membrane progesterone receptors (mPRs). The action of progesterone through different types of receptors may differ significantly and has tissue specific features. The expression of known types and subtypes of progesterone receptors in the tissues of male and female rats has been studied fragmentarily. The purpose of our work was to study the expression of five mPRs genes, as well as the nPRs gene and the membrane component of the progesterone receptor PGRMC I in the reproductive organs and in 17 non-reproductive tissues of male and female rats using reverse transcription followed by real-time PCR. In this study, it was shown that a high level of nPRs gene expression in rats is found not only in reproductive organs of females (uterus, ovary, mammary glands), but also in seminal vesicles of males, in the brain and trachea of both sexes, in blood vessels, and in the pancreas of females. The highest level of expression of mPRs genes of all subtypes was found in the testes, while expression of the gene encoding nPRs was practically undetectable in them. Expression of genes encoding mPRs was also detected in the liver and spleen of male and female rats, while expression of the gene encoding nPRs was at background levels. Virtually no expression of nPRs, mPRs, and membrane component of progesterone receptor (PGRMC I) genes was detected in muscle, and its level was very low in the heart in animals of both sexes. We found sex-specific differentiation of nuclear and membrane receptor mRNA levels in rats in non-reproductive tissues, characterized by a predominance of nPRs transcripts and three subtypes of mPRs (α, β, δ) in females and two subtypes of mPRs (γ, ε) in males. Data on the presence of progesterone receptors in tissues not involved in reproduction confirm the effect of progesterone on these organs. High levels of mRNA for various progesterone receptors in the tissues of male rats, such as the pancreas, lungs, kidney, and trachea, indicate an important physiological role of progestins not only in females, but also in males, which is still poorly understood. The work also discusses the known functions of progesterone receptors in the tissues studied.
Full Text
ВВЕДЕНИЕ
Прогестерон первоначально был известен как половой гормон, регулирующий функции женских репродуктивных органов и играющий ключевую роль в развитии и сохранении беременности. Позже выяснилось, что этот гормон влияет на нервные процессы, модулируя поведение, эмоции, регулируя нейрогенез, пластичность нейронов, миелинизацию, осуществляя нейропротекцию [1, 2]. У мужчин прогестерон контролирует сперматогенез, акросомную реакцию и уровень биосинтеза тестостерона [3, 4]. Он оказывает действие на иммунную систему, на эндокринные клетки, метаболизм жира, ремоделинг костной ткани и на широкий спектр других нерепродуктивных тканей, регулируя пролиферативные процессы и гибель клеток [5–7]. Действие этого гормона тканеспецифично, на одни и те же процессы в разных тканях этот гормон может действовать противоположным образом. Так, на пролиферацию клеток эндометрия матки прогестерон действует подавляюще, но стимулирует пролиферацию гормончувствительных клеток молочной железы и клеток нервной системы – олигодендроцитов, Шванновских клеток [8]. Главным местом синтеза прогестерона у самок млекопитающих является желтое тело яичника и плацента, а у самцов – семенники и кора надпочечников. Классическим способом действия этого гормона является активация ядерных рецепторов (nPRs) – факторов транскрипции, которые непосредственно регулируют экспрессию генов мишеней. Позже идентифицированы мембранные рецепторы прогестерона (mPRs), которые относятся к adipoQ семейству рецепторов (PAQR) и включают mPRα (PAQR7), mPRβ (PAQR8), mPRγ (PAQR5), mPRδ (PAQR6) и mPRε (PAQR9) [9, 10]. Белки mPRα, β и γ обычно оказывают действие через чувствительные к коклюшному токсину ингибиторные G-белки (Gi), которые подавляют активность аденилатциклазы, что приводит к снижению уровня cAMP. Напротив, mPRδ и ε связаны со стимуляторными G-белками (Gs), которые активируют аденилатциклазу и увеличивают уровни cAMP [10]. В действии прогестерона участвует также мембранный компонент прогестеронового рецептора – PGRMC I, который, по-видимому, является адаптерным белком для mPRα и других рецепторов стероидных гормонов, переносящим их на мембрану клетки [11]. Локализация и функции nPRs изучены сравнительно неплохо за более чем полувековую историю исследований. Роль mPRs в организме, их распределение в тканях, механизм действия исследуются интенсивно в последние годы, но эта работа пока далека от завершения.
После идентификации mPRs в 2003 году [9] было проведено много исследований по изучению функций этих белков. Было показано, что через этот тип рецепторов прогестерон осуществляет регуляцию секреции гонадотропин-рилизинг гормона в клетках гипоталамуса и пролактина в лактотрофах гипофиза [12, 13], а также глюкагоноподобного пептида 1 в энтероэндокринных клетках, индуцирует созревание ооцитов у рыб, стимулирует активность и подвижность сперматозоидов, регулирует сократительную активность миометрия [14–16], модулирует работу иммунных клеток, в эндотелии сосудов регулирует продукцию оксида азота, влияет на пролиферацию и метастазирование опухолевых клеток [17, 18]. Однако роль этих рецепторов в организме изучена мало. Изучение функции мембранных рецепторов прогестерона in vivo затруднено тем фактом, что их экспрессия часто осуществляется в тех же клетках, что и экспрессия ядерных рецепторов. В литературе есть примеры разнонаправленного действия прогестерона через эти разные типы рецепторов, например, на сократительную активность клеток миометрия [16]. Для выявления роли mPRs в живом организме одним из подходов является использование селективных лигандов этих рецепторов. Другим подходом к изучению функции этих белков может служить изучение эффектов прогестерона в тканях, клетки которых не содержат ядерных рецепторов. Действие прогестерона в них может быть обусловлено активацией мембранных рецепторов. Примером таких клеток являются Т-лимфоциты, в которых прогестерон через мембранные рецепторы регулирует продукцию цитокинов [5, 19]. Для исследования функций mPRs в организме полезно знать распределение рецепторов в разных тканях. Выявление тканей, клетки которых содержат максимальное количество mPRs, но не имеют nPRs, позволяет изучать эффекты прогестерона, осуществляемые через альтернативный неклассический сигналинг. Кроме того, изучение экспрессии генов mPRs в разных тканях позволяет прогнозировать эффективность действия селективных лигандов этих рецепторов в конкретных органах. Наоборот, эффекты прогестерона с малой степенью вероятности ожидаемы в клетках, где нет экспрессии генов его рецепторов. Экспрессия генов PAQR мало изучена в тканях крыс. Исследовалось наличие мРНК mPRα и β в селезенке, сердце, легких, почках, печени, кишечнике и различных отделах головного мозга без количественной оценки [20]. Проведена работа по изучению локализации этих рецепторов в разных отделах центральной нервной системы у самок крыс [20–23], в желтом теле [24] и в матке [25]. В связи с этим целью настоящей работы явилось изучение и количественное сравнение уровня экспрессии генов всех типов рецепторов прогестерона и мембранного компонента в 20 тканях самцов и самок крыс для последующего исследования тканеспецифического и полспецифического действия прогестерона.
МАТЕРИАЛЫ И МЕТОДЫ
В работе образцы тканей получали от 3–5 самок и самцов крыс Wistar. Животных наркотизировали смесью раствора золетила и ксилазина (Virbac, Франция, «Ксиланит», ООО «НИТА-ФАРМ», Россия) и подвергали декапитации. Образцы тканей поджелудочной железы, легких, почки, печени, селезенки, надпочечников, сердца, мочевого пузыря, скелетных мышц, кожи, желудка, тонкого и толстого кишечника, жировой ткани, сосудов, трахеи, мозга, семенника, семенных пузырьков, простаты, яичника, матки и молочных желез измельчали и гомогенизировали в реагенте TRIzol (Invitrogen, США) с использованием гомогенизатора тефлон/стекло. Выделение РНК проводили в соответствии с протоколом производителя (Invitrogen, США). Выделенную РНК обрабатывали RQ1 RNase-Free DNase (Promega, США). Чистоту РНК подтверждали путем определения оптической плотности (ОП) при поглощении 260, 280 и 230 нм, и только образцы с соотношением 260/280 и 260/230 между 1.8 и 2.1 использовали в качестве матрицы для синтеза комплементарной ДНК (кДНК). Синтез проводили с помощью набора ImProm-II™ Reverse Transcription System (Promega, США) согласно инструкции производителя. Для проверки отсутствия геномной ДНК в препаратах использовали «негативные контроли» без добавления обратной транскриптазы. На «негативных контролях» при проведении полимеразной цепной реакции (ПЦР) в реальном времени не образовывалось продукта реакции, либо он образовывался позже на 10 и более циклов ПЦР, чем на соответствующей пробе с синтезированной кДНК. ПЦР проводили с помощью набора с интеркалирующим красителем SYBR Green I (Синтол, Россия). В работе использовали праймеры, представленные в табл. 1. ПЦР проводилась в следующем режиме: 95°C – 3 мин (общая денатурация); 40 циклов: 95°C –10 с; 58°C – 20 с; 72°C – 40 с. После фазы амплификации были сняты кривые плавления с шагом 0.5°C от 72 до 95°C, что позволило нам подтвердить амплификацию одного продукта с каждой парой праймеров. Специфичность анализа RTqPCR была установлена путем секвенирования продукта реакции. ПЦР проводили на приборе Bio-Rad CFX Manager 3.1 (Bio-Rad Laboratories, Inc). Диапазон эффективности реакции амплификации составлял 95–110% для всех используемых пар праймеров. Относительные количества мРНК рассчитывали, используя метод 2–ΔΔCt [26] с нормировкой на средние геометрические уровни мРНК двух референсных генов – GAPDH и Sdha [27]. Для этих генов обнаружилась относительно высокая стабильность экспрессии во всех тканях, в то время как третий выбранный референсный ген Rsp29 оказался нестабилен и был исключен из расчетов. В качестве калибратора, на который пересчитывались результаты экспериментов, использовался образец, представляющий из себя смесь РНК всех рассматриваемых тканей самки в равных количествах, на которой синтезировалась кДНК. В калибраторе относительный уровень мРНК каждого целевого гена также рассчитывался по отношению к среднему геометрическому уровню транскриптов референсных генов. Эти значения использовались для нормирования результатов, полученных на образцах изучаемых тканей.
Таблица 1. Праймеры, использованные для ПЦР в реальном времени
Название праймеров и рецепторов  | Нуклеотидная последовательность праймеров  | Размер продукта, п.н.  | Номер последовательности мРНК в GenBank  | 
GADPH for GADPH rev  | 5'-GACATCAAGAAGGTGGTGAAG-3' 5'-CCTGTTGCTGTAGCCATATTC-3'  | 201  | NM_017008.4  | 
Sdha for Sdha rev  | 5'-TACACCGAATAAGAGCAAAGAAC-3' 5'-CAGCCAGCACCATAGATACC-3'  | 184  | NM_130428.1  | 
Rsp29 for Rsp29 rev  | 5'-CTGAAGGCAAGATGGGTCAC-3' 5'-GTCGCTTAGTCCAACTTAATGAAG-3'  | 187  | NM_012876.2  | 
PAQR5 for PAQR5 rev mPRγ  | 5'-ACTATGGTGCGGTCAATCTC-3' 5'-TGGAGTTCAAGAAACCTGGAG-3'  | 172  | NM_001014092.1  | 
PAQR6 for PAQR6 rev mPRδ  | 5'-GTCTCAAGCTGCCTCAACTC-3' 5'-CGTCTCGTTAGTCATCTGGAAG-3'  | 140  | NM_001191077.1  | 
PAQR7 for PAQR7 rev mPRα  | 5'-TTCTTGGACTATGTGGGTGTG-3' 5'-CTTCTGGCTGTACTTGTTGTAG-3'  | 174  | NM_001415929.1  | 
PAQR8 for PAQR8 rev mPRβ  | 5'-AGTGGCGTTACTACTTCTTCAG-3' 5'-TGAGGTAAGTGATTGACGACAG-3'  | 189  | NM_001014099.1  | 
PAQR9 for PAQR9 rev mPRε  | 5'-TTCTACCGCCGCTACTTCTG-3' 5'-CATAGATGCTGAGGAAGGTGAAG-3'  | 142  | NM_001271152.2  | 
Pgr for Pgr rev nPRs  | 5'-GGAGGTCGTAAGTTTAAGAAGTTC-3' 5'-ATGAGCAGGTTGATGAGTGG-3'  | 173  | NM_022847.2  | 
PGRMC I for PGRMC I rev  | 5'-CTAAGGCGATACGATGGAGTC-3' 5'-GCAGGAGTGAGGTCAGAAAG-3'  | 212  | NM_021766.2  | 
Статистическая обработка полученных результатов проводилась в программе GraphPad Prism 8.4.3 (GraphPad Software Inc.США). Данные были проанализированы с использованием однофакторного дисперсионного анализа (one-way ANOVA) тестом Краскела–Уоллиса с поправкой на множественные сравнения по Данну (Dunn's multiple comparisons test). Различия считались достоверными при р < 0.05. Значения относительных уровней экспрессии целевых генов в тканях самцов и самок сравнивались при помощи критерия Манна–Уитни.
РЕЗУЛЬТАТЫ
Самый высокий уровень экспрессии гена, кодирующего nPRs (рис. 1) наблюдался в матке. Высокий уровень (выше 100% относительно калибратора) был обнаружен у самок в репродуктивных органах – в яичниках, в молочных железах и у самцов – в семенных пузырьках. В нерепродуктивных тканях высокий уровень мРНК nPRs у обоих полов – в мозге и трахее, у самок – в сосудах и поджелудочной железе.
Рис. 1. Уровень экспрессии мРНК nPRs в органах самцов и самок крыс Wistar (нерепродуктивные ткани, n = 3, репродуктивные n = 5). Данные представлены в виде среднего ± стандартное отклонение.
Средний уровень транскриптов nPRs (от 10 до 100% относительно калибратора) обнаружен у обоих полов в легких, у самцов в поджелудочной железе, у самок в почках, мочевом пузыре, коже, жировой ткани.
Экспрессия гена PGR, кодирующего nPRs, на низком уровне (2–7% относительно калибратора) у обоих полов наблюдалась в надпочечниках и желудке. Кроме того, в таком диапазоне экспрессия nPRs у самцов выявлялась в ряде органов, в которых у самок она обнаруживалась в значительно более высоких количествах. Это почки, мочевой пузырь, кожа и сосуды. Также низкая экспрессия nPRs у самцов наблюдалась в простате.
Фоновые уровни мРНК nPRs в нерепродуктивных тканях крыс обоих полов были в печени, селезенке, в сердце, мышцах, в тонком и толстом кишечнике. Семенники и жировая ткань самцов также отличались фоновым уровнем мРНК nPRs.
Статистическая достоверность различий в уровне экспрессии мембранных рецепторов и PGRMC I в разных тканях приведена в табл. 2 и 3.
Таблица 2. Достоверные различия относительной экспрессии мРНК мембранных рецепторов прогестерона в тканях самцов крысы
Ткань  | mPRα  | mPRβ  | mPRγ  | mPRδ  | mPRε  | PGRMC I  | 
1 – поджелудочная железа  | 18  | 18  | 4, 9, 12, 13  | |||
2 – легкие  | 7, 9, 11, 13  | 7, 9  | 18  | 4, 6, 7, 9, 11, 12, 13  | 7, 9, 13, 14, 15, 18  | |
3 – почка  | 18  | 18, 19  | 4, 6, 7, 9, 12, 15  | 4, 6, 7, 9, 11, 12, 13, 20  | 6, 9, 11, 12, 13  | 7, 9, 13, 15  | 
4 – печень  | 7, 9, 11, 13  | 11, 17, 18, 19  | 3, 8, 10, 18, 20  | 1, 2, 3, 8, 10, 18, 19  | 6, 9, 10, 11, 12, 13, 15  | 5, 7, 9, 10, 12, 13, 14, 15, 18  | 
5 – селезенка  | 7, 9, 11, 12, 13, 14, 15  | 9  | 18  | 9  | 4, 6, 20  | |
6 – надпочечники  | 9  | 8, 11, 17, 18, 19  | 3, 8, 10, 18, 20  | 2, 3, 8, 19  | 3, 4, 18  | 5, 7, 9, 10, 12, 13, 14, 15, 18  | 
7 – сердце  | 2, 4, 5, 8, 17, 18, 20  | 2, 8, 11, 17, 18, 19, 20  | 3, 8, 10, 18  | 2, 3, 8, 10, 18, 19  | 2, 3, 4, 6, 8, 16, 19, 20  | |
8 – мочевой пузырь  | 7, 9, 11, 13  | 6, 7, 9  | 4, 6, 9, 12  | 4, 6, 7, 9, 11, 12, 13  | 7, 9, 13, 14, 15, 18  | |
9 – мышцы  | 2, 4, 5, 6, 8, 16, 17, 18, 20  | 2, 5, 8, 11, 17, 18, 19, 20  | 3, 8, 10, 18  | 1, 2, 3, 5, 8, 10, 14, 16, 17, 18, 19  | 3, 4, 18  | 2, 3, 4, 6, 8, 16, 19, 20  | 
10 – кожа  | 18  | 18, 19  | 4, 6, 7, 9, 12, 15  | 4, 7, 9, 12, 13  | 4, 18  | 4, 6, 20  | 
11 – желудок  | 2, 4, 5, 8, 17, 18, 20  | 4, 6, 7, 9, 14  | 2, 3, 8, 19  | 3, 4, 18  | ||
12 – тонкий кишечник  | 5, 18  | 3, 8, 10, 18  | 1, 2, 3, 8, 10, 18, 19  | 3, 4, 18  | 4, 6, 20  | |
13 – толстый кишечник  | 2, 4, 5, 8, 17, 18, 20  | 17, 18, 19  | 18  | 1, 2, 3, 8, 10, 18, 19  | 3, 4, 18  | 2, 3, 4, 6, 8, 16, 19, 20  | 
14 – жировая ткань  | 5, 18  | 11, 17, 18, 19  | 18  | 9  | 2, 4, 6, 8, 16, 20  | |
15 – сосуды  | 5, 18  | 17, 18, 19  | 3, 10, 18  | 4, 18  | 2, 3, 4, 6, 8, 16, 20  | |
16 – трахея  | 9  | 18  | 9  | 7, 9, 13, 14, 15  | ||
17 – мозг  | 7, 9, 11, 13  | 4, 6, 7, 9, 13, 14, 15  | 18  | 9  | ||
18 – семенники  | 1, 3, 7, 9, 10, 11, 12, 13, 14, 15, 19  | 3, 4, 6, 7, 9, 10, 13, 14, 15  | 1, 2, 4, 5, 6, 7, 9, 12, 13, 14, 15, 16, 17  | 4, 7, 9, 12, 13  | 6, 9, 10, 11, 12, 13, 15, 19  | 2, 4, 6, 8, 20  | 
19 – семенные пузырьки  | 18  | 3, 4, 6, 7, 9, 10, 13, 14, 15  | 4, 6, 7, 9, 11, 12, 13  | 18  | 7, 9, 13  | |
20 – простата  | 7, 9, 11, 13  | 7, 9  | 4, 6  | 3  | 5, 7, 9, 10, 12, 13, 14, 15, 18  | 
Примечание. Использован однофакторный дисперсионный анализ (one-way ANOVA) с тестом Краскела–Уоллиса с поправкой на множественные сравнения по Данну. Числа в ячейке указывают номера тканей, в которых уровень мРНК данного рецептора достоверно отличается (p < 0.05) от уровня мРНК в ткани, приведенной в первом столбце вместе с ее номером.
Таблица 3. Достоверные различия относительной экспрессии мРНК мембранных рецепторов прогестерона в тканях самок крысы
Ткань  | mPRα  | mPRβ  | mPRγ  | mPRδ  | mPRε  | PGRMC I  | 
1 – поджелудочная железа  | 2, 5  | 7, 9  | 3, 8, 10, 11, 20  | 4, 6, 7, 9, 12, 13  | 3, 4  | 6  | 
2 – легкие  | 1, 7, 9, 11, 12, 13, 15, 18, 19, 20  | 3, 4, 6, 7, 9  | 8  | 4, 6, 7, 9, 12, 13, 18  | 7, 9, 13  | |
3 – почка  | 7, 9, 13, 19  | 2, 5, 8, 17  | 1, 4, 5, 6, 7, 9,12, 15, 17, 18, 19  | 14  | 1, 6, 8, 10, 11, 12, 13, 16, 19, 20  | 7, 9, 12, 13, 15  | 
4 – печень  | 7, 9, 11, 12, 13, 19  | 2, 5, 8, 17  | 3, 8, 10, 11, 20  | 1, 2, 8, 10 14, 15, 16, 17, 19, 20  | 1, 6, 8, 10,11, 12, 13, 14, 15, 16, 19, 20  | 5, 7, 9, 10, 12, 13, 15, 17, 19  | 
5 – селезенка  | 1, 7, 9, 11, 12, 13, 15, 18, 19, 20  | 3, 4, 6, 7, 9  | 3, 8, 10, 20  | 9  | 4, 6  | |
6 – надпочечники  | 7, 9, 13, 19  | 2, 5, 8, 10, 17, 18, 20  | 3, 8, 10, 11, 20  | 1, 2, 8, 10, 14  | 3, 4  | 1, 5, 7, 9, 10, 12, 13, 14, 15, 17, 19, 20  | 
7 – сердце  | 2, 3, 4, 5, 6, 8 14, 16, 17  | 1, 2, 5, 8, 10, 16, 17, 18, 19, 20  | 3, 8, 10, 11, 20  | 1, 2, 8, 10, 14, 15, 16, 17, 19, 20  | 2, 3, 4, 6, 8, 11, 14, 16, 18, 20  | |
8 – мочевой пузырь  | 7, 9, 11, 12, 13, 15, 19  | 3, 4, 6, 7, 9  | 1, 2, 4, 5, 6, 7, 9, 12, 15, 16, 17, 18, 19  | 4, 6, 7, 9, 12, 13  | 3, 4, 17  | 7, 9  | 
9 – мышцы  | 2, 3, 4, 5, 6, 8, 10, 14, 16, 17, 18  | 1, 2, 5, 8, 10, 15, 16, 17, 18, 19, 20  | 3, 8, 10, 11, 20  | 1, 2, 5, 8, 10, 14, 15, 16, 17, 19, 20  | 2, 3, 4, 6, 8, 10, 14, 16, 18, 20  | |
10 – кожа  | 9  | 6, 7, 9  | 1, 4, 5, 6, 7, 9, 12, 15, 17, 18, 19  | 4, 6, 7, 9, 12, 13  | 3, 4  | 4, 6  | 
11 – желудок  | 2, 4, 5, 8  | 1, 4, 6, 7, 9  | 14  | 3, 4  | 7, 9  | |
12 – тонкий кишечник  | 2, 4, 5, 8, 16  | 3, 8, 10, 20  | 1, 2, 6, 10, 14, 15, 16, 20  | 3, 4  | 3, 4, 6, 16, 18  | |
13 – толстый кишечник  | 2, 3, 4, 5, 6, 8, 16, 17  | 17  | 1, 2, 8, 10, 14  | 3, 4  | 2, 3, 4, 6, 16, 18  | |
14 – жировая ткань  | 7, 9  | 17  | 3, 4, 6, 7, 9, 11, 12, 13, 18, 19  | 4  | 6, 7, 9  | |
15 – сосуды  | 2, 5, 8  | 9, 17  | 3, 8, 10, 20  | 4, 7, 9, 12  | 4  | 3, 4, 6, 16, 18  | 
16 – трахея  | 7, 9, 12, 13, 19  | 7, 9  | 8  | 4, 7, 9, 12  | 3, 4  | 7, 9, 12, 13, 15  | 
17 – мозг  | 7, 9, 13, 19  | 3, 4, 6, 7, 9, 13, 14, 15, 19  | 3, 8, 10, 20  | 4, 7, 9  | 8, 19  | 4, 6  | 
18 – яичник  | 2, 5, 9  | 6, 7, 9  | 3, 8, 10, 20  | 2, 14  | 7, 9, 12, 13, 15  | |
19 – матка  | 2, 3, 4, 5, 6, 8, 16, 17  | 7, 9, 17  | 3, 8, 10, 20  | 4, 7, 9, 14  | 3, 4, 17  | 4, 6  | 
20 – молочные железы  | 2, 5  | 6, 7, 9  | 1, 4, 5, 6, 7, 9, 12, 15, 17, 18, 19  | 4, 7, 9, 2  | 3, 4  | 6, 7, 9  | 
Примечание. Использован однофакторный дисперсионный анализ (one-way ANOVA) с тестом Краскела–Уоллиса с поправкой на множественные сравнения по Данну. Числа в ячейке указывают номера тканей, в которых уровень мРНК данного рецептора достоверно отличается (p < 0.05) от уровня мРНК в ткани, приведенной в первом столбце вместе с ее номером.
Экспрессия гена рецептора mPRα в нерепродуктивных тканях самцов имеет профиль, близкий к профилю самок (рис. 2). Максимальный уровень этой экспрессии наблюдался у самцов в семенниках, минимальные уровни – у обоих полов в сердце, в толстом кишечнике, фоновый уровень – в мышцах.
Рис. 2. Уровень экспрессии мРНК mPRα в органах самцов и самок крыс Wistar (нерепродуктивные ткани, n = 3, репродуктивные n = 5). Данные представлены в виде среднего ± стандартное отклонение.
Уровень мРНК mPRβ во многих нерепродуктивных тканях преобладал у самок (рис. 3, табл. 4). В репродуктивных тканях самцов наблюдались очень высокие уровни мРНК этого рецептора в семенниках и в семенных пузырьках. Самые низкие уровни экспрессии гена рецептора mPRβ обнаружены у обоих полов в сердце, надпочечниках, а у самцов также в печени и жировой ткани. В мышцах и у самцов, и у самок экспрессия гена этого рецептора не выявлялась.
Рис. 3. Уровень экспрессии мРНК mPRβ в органах самцов и самок крыс Wistar (нерепродуктивные ткани, n = 3, репродуктивные n = 5). Данные представлены в виде среднего ± стандартное отклонение.
Таблица 4. Различия в экспрессии рецепторов в тканях у самцов и самок крыс
Ткань  | nPRs  | mPRα  | mPRβ  | mPRγ  | mPRδ  | mPRε  | 
Поджелудочная железа  | Самки***  | Самки***  | ||||
Легкие  | Самки***  | Самки**  | Самцы**  | |||
Почка  | Самцы**  | Самцы**  | Самцы*  | |||
Печень  | Самки*  | Самки***  | ||||
Селезенка  | Самки**  | |||||
Надпочечники  | Самки***  | Самки**  | ||||
Мочевой пузырь  | Самки***  | Самцы**  | ||||
Мышцы  | Самки***  | |||||
Кожа  | Самки**  | Самки*  | Самки*  | |||
Желудок  | Самки***  | Самки*  | ||||
Тонкий кишечник  | Самки***  | Самки*  | ||||
Толстый кишечник  | Самки***  | Самки***  | ||||
Жировая ткань  | Самки***  | Самки**  | Самки***  | |||
Сосуды  | Самки***  | Самки**  | ||||
Трахея  | Самцы**  | |||||
Мозг  | Самцы*  | 
* p < 0.05; ** p < 0.01; ***p < 0.001 – достоверность различий в уровнях мРНК рецептора, преобладающего у данного пола.
Экспрессия гена рецептора mPRγ в нерепродуктивных органах, наоборот, преобладала в ряде тканей самцов, хотя достоверные различия обнаружены только в двух органах (рис. 4, табл. 4). Как и в случае мРНК mPRβ, максимальные уровни мРНК рецептора γ выявлены в семенниках самцов. Фоновые уровни мРНК mPRγ в мышцах, в сердце, в надпочечниках и в печени обоих полов.
Рис. 4. Уровень экспрессии мРНК mPRγ в органах самцов и самок крыс Wistar (нерепродуктивные ткани, n = 3, репродуктивные n = 5). Данные представлены в виде среднего ± стандартное отклонение.
Ген рецептора mPRδ экспрессируется во многих тканях самок крыс более интенсивно, чем у самцов (рис. 5, табл. 4). Исключением являются почки, где уровень мРНК этого рецептора достоверно выше у самцов. Экспрессия в семенниках гена рецептора δ довольно умеренная, на максимальном уровне она обнаружена у самок в жировой ткани, в сосудах, в молочных железах и в трахее. Самые низкие, почти фоновые уровни мРНК данного субтипа mPRs наблюдались в мышцах и в печени обоих полов.
Рис. 5. Уровень экспрессии мРНК mPRδ в органах самцов и самок крыс Wistar (нерепродуктивные ткани, n = 3, репродуктивные n = 5). Данные представлены в виде среднего ± стандартное отклонение.
Распределение транскриптов гена mPRε в тканях значительно отличается от распределения транскриптов других мембранных рецепторов, мРНК рецептора ε отсутствует в целом ряде тканей (рис. 6). Среди нерепродуктивных это поджелудочная железа, надпочечник, желудок, тонкий и толстый кишечник, а у самок еще мочевой пузырь и жировая ткань. В репродуктивных тканях фоновые уровни этой мРНК были в простате, в матке и молочных железах. Максимальный уровень экспрессии гена mPRε обнаруживался в семенниках, большие количества – в печени и почках и у самцов, и у самок. В четырех тканях среди изученных экспрессия гена рецептора ε достоверно преобладает у самцов (табл. 4).
Рис. 6. Уровень экспрессии мРНК mPRε в органах самцов и самок крыс Wistar (нерепродуктивные ткани, n = 3, репродуктивные n = 5). Данные представлены в виде среднего ± стандартное отклонение.
Экспрессия гена PGRMC I наблюдалась практически во всех тканях у самцов и самок крыс на среднем уровне со сходным профилем распределения транскриптов (рис. 7). Фоновые уровни мРНК PGRMC I были в мышцах и сердце обоих полов. Половая дифференцировка выявлена в жировой ткани, где уровень мРНК у самок выше, и для мышц, где уровень мРНК PGRMC I преобладает у самцов.
Рис. 7. Уровень экспрессии мРНК PGRMC I в органах самцов и самок крыс Wistar (нерепродуктивные ткани, n = 3, репродуктивные n = 5). Данные представлены в виде среднего ± стандартное отклонение.
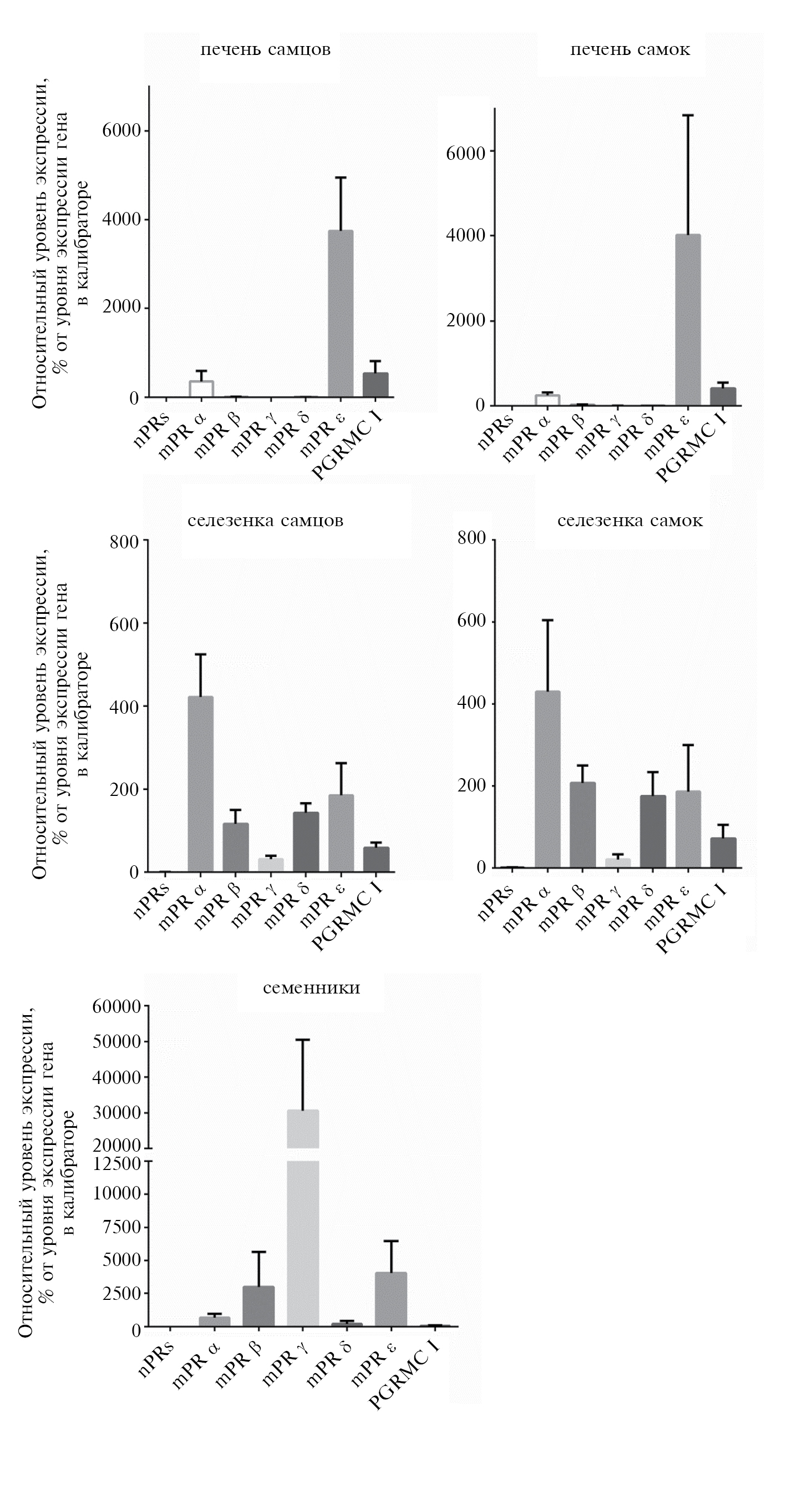
На рис. 8 суммированы данные по экспрессии всех рецепторов прогестерона и PGRMC I в тканях, где экспрессия гена, кодирующего nPRs, близка к нулю, а уровень мРНК мембранных рецепторов высок или значителен. Вероятно, действие прогестерона в этих тканях опосредуется mPRs.
Рис. 8. Уровень экспрессии мРНК mPRs и PGRMC I в печени и селезенке самок и самцов (n = 3) и в семенниках крыс Wistar (n = 5). Данные представлены в виде среднее ± стандартное отклонение.
ОБСУЖДЕНИЕ
Изучение экспрессии генов рецепторов прогестерона, а также PGRMC I показало ряд интересных фактов. Во всех тканях, где достоверно обнаруживается мРНК nPRs (на уровне выше 1.3% относительно калибратора), обнаруживается экспрессия гена PAQR7 (mPRα), гена PAQR6 (mPRδ) и PGRMC I. Экспрессия гена PAQR8 (mPRβ) выявляется также во всех тканях с мРНК nPRs, кроме надпочечника самцов, а экспрессия гена PAQR5 (mPRγ) – кроме надпочечников обоих полов. Распределение экспрессии PAQR9 (mPRε) среди изученных тканей значительно отличается от распределения других прогестероновых рецепторов. Экспрессия PAQR9 определяется только в 7–9 тканях в зависимости от пола. Рекордный уровень мРНК nPRs, как и ожидалось, был выявлен в матке. Высокий уровень экспрессии ядерных рецепторов обнаружен в других репродуктивных органах самок (яичники, молочные железы) и в мозге животных обоих полов. Это – классические органы – мишени прогестерона. Такой же высокий уровень мРНК nPRs обнаружился неожиданно в трахее самцов и самок. Экспрессия mPRs всех субтипов, кроме mPRε, здесь также выявляется. Прогестерон ингибирует отложение коллагена и пролиферацию фибробластов при заживлении ран после операций на трахее, предотвращая стеноз. [28]. Однако функции разных типов рецепторов прогестерона в этом процессе не изучались. Другие эффекты прогестерона в трахее на настоящий момент не изучены и являются предметом дальнейших исследований. Высокий уровень мРНК nPRs в сосудах самок наряду с экспрессией всех без исключения mPRs и PGRMC I предполагает важную роль прогестерона в регуляции их функций. Прогестерон оказывает благотворное влияние на сердечно-сосудистую систему. Он снижает артериальное давление, оказывает сосудорасширяющее и натрийуретическое действие [17]. В быстром действии прогестерона на сердечно-сосудистую систему показано участие mPRα. Прогестерон повышает продукцию оксида азота в эндотелиальных клетках сосудов животных и человека, регулируя синтез эндотелиальной NO-синтазы. Оксид азота вызывает расслабление гладкомышечных клеток. Также посредством активации mPRα прогестерон снижает внутриклеточную концентрацию ионов кальция, ингибируя сокращение гладкомышечных клеток сосудов [29–31]. В поджелудочной железе также обнаружен высокий уровень мРНК nPRs, особенно у самок. При этом там экспрессируются и гены мембранных рецепторов, за исключением mPRε. В островках Лангерганса поджелудочной железы у самцов и самок крыс прогестерон вызывал быстрое ингибирование стимулируемого глюкозой высвобождения инсулина. Это действие осуществлялось с внешней поверхности плазматической мембраны, но при этом оно не блокировалось обработкой коклюшным токсином (Pertussis Toxin), что исключает, по мнению авторов, посредничество Gi/Go белков. Внутриклеточная концентрацию cAMP при этом не менялась, но снижалась внутриклеточная концентрация ионов Ca2+. Блокада входа Ca2+, по-видимому, является главным механизмом, с помощью которого прогестерон ингибирует высвобождение инсулина под действием глюкозы [32]. Нам представляется возможным участие mPRs в этом действии прогестерона, поскольку известны случаи активации этих рецепторов без изменения концентрации cAMP через βγ субъединицы G-белков [33]. В другой работе показано, что прогестерон стимулировал пролиферацию альфа- и бета-клеток островков Лангерганса, а также протоковых и непротоковых клеток поджелудочной железы у самцов и самок крыс [34].
Практически не была обнаружена мРНК nPRs в тканях крыс обоих полов в мышцах, сердце, в тонком и толстом кишечнике, в печени и селезенке. Семенники и жировая ткань самцов также отличались крайне низким содержанием мРНК nPRs. Мышцы практически не содержат мРНК ни рецепторов прогестерона, ни PGRMC I. В сердце также довольно низкая экспрессия мРНК рецепторов и у самок, и у самцов (рис. 1–7). В тонком и толстом кишечнике у обоих полов выявляется экспрессия всех субтипов mPRs и PGRMC I, кроме mPRε на среднем уровне. Высокий уровень экспрессии генов mPRs и близкий к нулю уровень экспрессии гена nPRs наблюдался в печени и селезенке самцов и самок крыс, а также – в семенниках самцов (рис. 8). По-видимому, прогестерон оказывает свое действие в этих тканях через mPRs.
Было показано, что прогестерон изменяет экспрессию 472 генов в печени коров. При этом обнаружилось высокое сходство действия физиологических концентраций эстрадиола и прогестерона в регуляции экспрессии генов в печени, на основании чего был сделан вывод о непрямом либо о неклассическом пути действия этих стероидов [35]. Наши исследования показали, что в печени крыс отсутствуют классические nPRs, но обнаруживаются на среднем уровне мРНК mPRα и мРНК его адаптерного белка PGRMC I, на высоком уровне мРНК mPRε. Интересно, что PGRMC I является также адапторным белком и для ядерного рецептора эстрогенов β, экспрессия которого значительно повышается в мембранах клеток в его присутствии [11]. Исследования, проведенные in vitro и in vivo у животных и у женщин в постменопаузе, указывают на то, что прогестины ингибируют синтез и секрецию апоВ-100 в печени. В результате увеличивается содержание триглицеридов в секретируемых печенью липопротеинах очень низкой плотности (ЛПОНП). Это в свою очередь может влиять на внутрисосудистый липолиз триглицеридов ЛПОНП и их плазменный клиренс, поскольку более крупные частицы, богатые триглицеридами, более восприимчивы к липолизу липопротеинлипазой, чем мелкие частицы [36]. Тип рецепторов, опосредующих действие прогестинов в описанном эффекте, не исследовался.
Еще одной тканью, где действие прогестерона осуществляется, по-видимому, через mPRs, является селезенка. В ряде исследований показано действие прогестерона на различные типы иммунных клеток селезенки. В дендритных клетках селезенки мышей прогестерон снижал продукцию IL-12 и ингибировал рост экспрессии CD86, MHCII и CCR7 после инфицирования вирусом везикулярного стоматита [37]. В другой работе в CD11c-положительных дендритных клетках селезенки мышей прогестерон увеличивал экспрессию MHC–II и CD40, уровни IL-6 и IL-10, одновременно снижая экспрессию CD54 и IL-12, ядерную локализацию NF-kappaB P65. Эти данные позволили предположить, что прогестерон может способствовать созреванию дендридных клеток селезенки и повышать их способность взаимодействовать с Т-клетками [38]. При изучении действия прогестерона на изолированных спленоцитах мышей было показано, что прогестерон повышал экспрессию CD83 как в B-лимфоцитах, так и в Т-лимфоцитах [39]. В макрофагах селезенки длительный дефицит прогестерона, связанный с концом репродуктивного периода жизни, влиял на выработку цитокинов, нарушая секреторный баланс провоспалительных и противовоспалительных факторов. В макрофагах снижалась продукция IL-1β и повышалась продукция IL-10. После стимуляции ЛПС селезеночные макрофаги крыс с удаленными яичниками продуцировали меньше TNF-α и больше IL-10 [40]. В разных типах иммунных клеток человека ядерные рецепторы прогестерона практически не выявляются, действие прогестинов в этих клетках опосредуется мембранными рецепторами [5, 19]. Экспрессия нескольких субтипов mPRs (α, β, δ, ε) и PGRMC I в селезенке дает основание предполагать их вклад в регуляцию функций иммунных клеток прогестероном у крыс.
Максимальный уровень экспрессии генов mPRs наблюдался в семенниках (рис. 8). Прогестерон обладает стимулирующим эффектом на активность и подвижность сперматозоидов, индуцируя увеличение концентрации внутриклеточных ионов кальция, вызывающих процесс их капаситации в женских половых путях, состоящий из акросомальной реакции и гиперактивации. У ряда млекопитающих и человека показано, что прогестерон регулирует кальциевые каналы CatSper в этих клетках, вызывая приток ионов кальция в течение 30 с, что в свою очередь активирует аденилатциклазу, вызывая подъем уровня cAMP и активацию тирозинкиназ [41, 42]. В сперматозоидах бесчелюстных и костистых рыб, амфибий и птиц CatSper не обнаружен. [43]. У этих позвоночных обнаружен механизм активации сперматозоидов прогестинами через mPRα, сопряженными с Golf белками, α-субъединицы которых активируют аденилатциклазу, повышающую уровень cAMP и Ca2+. Через βγ субъединицы Golf белков активируются каскады Egfr/p-Erk и Pi3k/Akt/Pde, также необходимые для увеличения концентрации Ca2+. Все эти процессы приводят к гиперподвижности сперматозоидов [15]. Показано, что белок mPRα локализуется на плазматической мембране срединной части сперматозоидов человека и, вероятно, участвует в регуляции их подвижности прогестероном. Содержание белка mPRα на мембранах сперматозоидов с низкой подвижностью было значительно меньше, чем на нормальных подвижных сперматозоидах людей-доноров. Обработка оболочек сперматозоидов прогестином вызывала активацию G-белков. Эти результаты позволяют предположить, что у людей, как и у рыб, mPRα является посредником в стимуляции подвижности сперматозоидов прогестинами посредством механизма, включающего активацию G-белка [44]. У крыс мы обнаружили экспрессию всех пяти субтипов mPRs в семенниках на очень высоком уровне, что свидетельствует об их важной роли в регуляции функций клеток этого органа у данного вида животных.
Были проанализированы половые различия в экспрессии рецепторов прогестерона в нерепродуктивных тканях самцов и самок крыс. В табл. 4 отмечены ткани, где экспрессия того или иного рецептора достоверно выше либо у самок, либо у самцов на уровне значимости p < 0.05 (критерий Манна–Уитни). Экспрессия ядерных рецепторов преобладает во многих тканях у самок. В то же время экспрессия генов mPRs у крыс делится на две группы. Гены mPRα (PAQR7), mPRβ (PAQR8) и mPRδ (PAQR6) экспрессируются на более высоком уровне у самок в поджелудочной железе (mPRβ, mPRδ), легких (mPRα, mPRδ), печени (mPRβ), надпочечниках (mPRβ, mPRδ), коже (mPRβ, mPRδ), желудке (mPRα, mPRδ), тонком (mPRδ) и толстом кишечнике (mPRδ), жировой ткани (mPRα, mPRβ, mPRδ) и сосудах (mPRβ). Для гена mPRδ есть исключение, в почках его экспрессия выше у самцов. Гены mPRγ (PAQR5) и mPRε (PAQR9) экспрессируются на более высоком уровне у самцов в легких (mPRε), почках (mPRγ, mPRδ), мочевом пузыре (mPRε), трахее (mPRγ), мозге (mPRε).
Половые различия функций многих нерепродуктивных органов, изучаемых в нашей работе, описаны в литературе [45]. Часть их может быть связана с действием прогестерона через разные типы рецепторов в этих тканях. Так, например, в мозге показано действие прогестерона через mPRs [46]. В литературе есть данные о различии эффектов прогестерона в жировой ткани самцов и самок крыс. У самцов введение этого гормона не влияло на липолиз в адипоцитах, а у самок под действием прогестерона снижалась экспрессия гена гормон-чувствительной липазы, что приводило к подавлению липолиза [6]. Показаны половые различия в функционировании мочевого пузыря у животных и человека [47]. Часть из них связана с действием прогестерона [48, 49]. В почках крыс экспрессия гена NCC (NaCl–котранспортера) и его фосфорилирование зависят от пола, а прогестерон способствует фосфорилированию этого белка [50]. Также прогестерон в почках снижает выведение калия с мочой [51]. Однако пока разнообразие эффектов прогестерона в клетках тканей самцов и самок крыс очень мало изучено. Преобладание трех субтипов mPRs (α, β, δ) у самок и двух mPRs (γ, ε) у самцов позволяет предположить, что экспрессия генов каждой группы регулируется половыми гормонами сходным образом в ряде тканей. Выявление гендерных различий в распределении рецепторов прогестерона может служить основой для изучения механизмов этой регуляции.
ЗАКЛЮЧЕНИЕ
В данной работе изучена экспрессия генов различных типов рецепторов прогестерона и PGRMC I в 17 нерепродуктивных и в 3 репродуктивных тканях самцов и самок крыс. Показано, что мРНК ядерных рецепторов на максимальном уровне наблюдается в репродуктивных органах самок, у самцов в семенных пузырьках, в нерепродуктивных тканях – в мозге, трахее, поджелудочной железе и сосудах. Экспрессия мембранных рецепторов представлена во всех изученных тканях на высоком или среднем уровне, за исключением мышц, сердца, надпочечников (кроме mPRα) и печени (кроме mPRα и mPRε). Наконец, выявлены ткани с почти полным отсутствием ядерных рецепторов и высоким уровнем экспрессии mPRs – печень, селезенка и семенники. Эти результаты могут быть использованы для разработки стратегии изучения функций мембранных рецепторов у крыс in vivo. Очевидно, mPRs могут функционировать в качестве ключевых модуляторов действия прогестерона при регуляции физиологических функций во многих органах у нормальных крыс обоего пола.
Обнаруженные различия в экспрессии разных типов рецепторов демонстрируют одну из причин разнообразия тканеспецифического действия прогестерона и механизм поддержания зависимых от пола эффектов этого гормона в нерепродуктивных органах млекопитающих.
Конфликт интересов. Авторы заявляют об отсутствии конфликта интересов.
Источники финансирования. Исследование выполнено при финансовой поддержке Российского научного фонда (грант № 23–25–00071, https://rscf.ru/project/23–25–00071/).
Соответствие принципам этики. Все действия с животными в данном исследовании были одобрены Комиссией по биоэтике МГУ (заявление № 134-а-2, утверждено на заседании Комиссии по биоэтике № 151-д, состоявшемся 20.04.2023).
About the authors
A. D. Dmitrieva
Lomonosov Moscow State University
														Email: schelkunova-t@mail.ru
				                					                																			                								
Biological Department
Russian Federation, Moscow, 119991I. A. Morozov
Engelhardt Institute of Molecular Biology, Russian Academy of Sciences
														Email: schelkunova-t@mail.ru
				                					                																			                												                	Russian Federation, 							Moscow, 119991						
A. M. Karhov
Lomonosov Moscow State University
														Email: schelkunova-t@mail.ru
				                					                																			                								
Biological Department
Russian Federation, Moscow, 119991P. M. Rubtsov
Engelhardt Institute of Molecular Biology, Russian Academy of Sciences
														Email: schelkunova-t@mail.ru
				                					                																			                												                	Russian Federation, 							Moscow, 119991						
O. V. Smirnova
Lomonosov Moscow State University
														Email: schelkunova-t@mail.ru
				                					                																			                								
Biological Department
Russian Federation, Moscow, 119991T. A. Shchelkunova
Lomonosov Moscow State University
							Author for correspondence.
							Email: schelkunova-t@mail.ru
				                					                																			                								
Biological Department
Russian Federation, Moscow, 119991References
- Guennoun R., Labombarda F., Gonzalez Deniselle M.C., Liere P., De Nicola A.F., Schumacher M. 2015. Progesterone and allopregnanolone in the central nervous system: Response to injury and implication for neuroprotection. J. Steroid Biochem. Mol. Biol. 146, 48–61. https://doi.org/10.1016/j.jsbmb.2014.09.001
 - González-Orozco J.C., Camacho-arroyo I. 2019. Progesterone actions during central nervous system development. Front. Neurosci. 13, 503. https://doi.org/10.3389/fnins.2019.00503.
 - Schuffner A.A., Bastiaan H.S., Duran H.E., Lin Z.Y., Morshedi M., Franken D.R., Oehninger S. 2002. Zona pellucida-induced acrosome reaction in human sperm: Dependency on activation of pertussis toxin-sensitive G(i) protein and extracellular calcium, and priming effect of progesterone and follicular fluid. Mol. Hum. Reprod. 8, 722–727. https://doi.org/10.1093/molehr/8.8.722.
 - Oettel M., Mukhopadhyay A.K. 2004. Progesterone: The forgotten hormone in men? Aging Male 7, 236–257. https://doi.org/10.1080/13685530400004199.
 - Polikarpova A.V., Levina I.S., Sigai N.V., Zavarzin I.V., Morozov I.A., Rubtsov P.M., Guseva A.A., Smirnova O.V., Shchelkunova T.A. 2019. Immunomodulatory effects of progesterone and selective ligands of membrane progesterone receptors. Steroids. 145, 5–18. https://doi.org/10.1016/j.steroids.2019.02.009.
 - Stelmanska E., Szrok S., Swierczynski J. 2015. Progesterone-induced down-regulation of hormone sensitive lipase (Lipe) and up-regulation of G0/G1 switch 2 (G0s2) genes expression in inguinal adipose tissue of female rats is reflected by diminished rate of lipolysis. J. Steroid Biochem. Mol. Biol. 147, 31–39. https://doi.org/10.1016/j.jsbmb.2014.11.017.
 - Seifert-Klauss V., Prior J.C. 2010 Progesterone and bone: Actions promoting bone health in women. J. Osteoporos. 2010, 845180. https://doi.org/10.4061/2010/845180.
 - Щелкунова Т.А., Морозов И.А. 2015. Молекулярные основы и тканевая специфичность действия прогестинов. Мол. биол. 49, 728–748. http://doi.org/10.7868/S0026898415050158.
 - Zhu Y., Bond J., Thomas P. 2003. Identification, classification, and partial characterization of genes in humans and other vertebrates homologous to a fish membrane progestin receptor. Proc. Natl. Acad. Sci. USA. 100, 2237–2242. https://doi.org/10.1073/pnas.0436133100.
 - Pang Y., Dong J., Thomas P. 2013. Characterization, neurosteroid binding and brain distribution of human membrane progesterone receptors δ and ε (mPRδ and mPRε) and mPRδ involvement in neurosteroid inhibition of apoptosis. Endocrinology. 154, 283–295. https://doi.org/10.1210/en.2012–1772.
 - Thomas P., Pang Y., Dong J. 2014. Enhancement of cell surface expression and receptor functions of membrane progestin receptor α (mPRα) by progesterone receptor membrane component 1 (PGRMC I): Evidence for a role of PGRMC I as an adaptor protein for steroid receptors. Endocrinology. 155, 1107–1119. https://doi.org/10.1210/en.2013–1991.
 - Sleiter N., Pang Y., Park C., Horton T.H., Dong J., Tomas P., Levine J.E. 2009. Progesterone receptor A (PRA) and PRB independent effects of progesterone on gonadotropin releasing hormone release. Endocrinology. 150, 3833–3844. https://doi.org/10.1210/en.2008–0774.
 - Camilletti M.A., Abeledo-Machado A., Perez P.A., Faraoni E.Y., De Fino F., Rulli S.B., Ferraris J., Pisera D., Gutierrez S., Thomas P., Díaz-Torga G. 2019. mPRs represent a novel target for PRL inhibition in experimental prolactinomas. Endocr. Relat. Cancer. 26, 1–14. https://doi.org/10.1530/ERC-18–0409.
 - Flock G.B., Cao X., Maziarz M., Drucker D.J. 2013. Activation of enteroendocrine membrane progesterone receptors promotes incretin secretion and improves glucose tolerance in mice. Diabetes. 62, 283–290. https://doi.org/10.2337/db12–0601.
 - Tan W., Pang Y., Tubbs C., Thomas P. 2019. Induction of sperm hypermotility through membrane progestin receptor alpha (mPRα): A teleost model of rapid, multifaceted, nongenomic progestin signaling. Gen. Comp. Endocrinol. 279, 60–66. https://doi.org/10.1016/j.ygcen.2018.12.002.
 - Karteris E., Zervou S., Pang Y., Dong J., Hillhouse E.W., Randeva H.S., Thomas P. 2006. Progesterone signaling in human myometrium through two novel membrane G protein coupled receptors: Potential role in functional progesterone withdrawal at term. Mol. Endocrinol. 20, 1519–1534. https://doi.org/10.1210/me.2005–0243.
 - Pang Y., Dong J., Thomas P. 2015. Progesterone increases nitric oxide synthesis in human vascular endothelial cells through activation of membrane progesterone receptor-α. Am. J. Physiol. Endocrinol. Metab. 308, E899–E911. https://doi.org/10.1152/ajpendo.00527.2014.
 - Щелкунова Т.А., Морозов И.А. 2016. Прогестины и канцерогенез. Мол. биол. 2016. 50, 10–26. http://doi.org/ 10.7868/S0026898416010171.
 - Dosiou C., Hamilton A.E., Pang Y., Overgaard M.T., Tulac S., Dong J., Thomas P., Giudice L.C. 2008. Expression of membrane progesterone receptors on human T lymphocytes and Jurkat cells and activation of G-proteins by progesterone. J. Endocrinol. 196, 67–77. https://doi.org/10.1677/JOE-07–0317.
 - Frye C.A., Walf A.A., Kohtz A.S., Zhu Y. 2013. Membrane progestin receptors in the midbrain ventral tegmental area are required for progesterone-facilitated lordosis of rats. Horm. Behav. 64, 539–545. https://doi.org/10.1016/j.yhbeh.2013.05.012.
 - Zuloaga D.G., Yahn S.L., Pang Y., Quihuis A.M., Oyola M.G., Reyna A., Thomas P., Handa R.J., Mani S.K. 2012. Distribution and estrogen regulation of membrane progesterone receptor-β in the female rat brain. Endocrinology. 153, 4432–4443. https://doi.org/10.1210/en.2012–1469.
 - Intlekofer K.A., Petersen S.L. 2011. Distribution of mRNAs encoding classical progestin receptor, progesterone membrane components 1 and 2, serpine mRNA binding protein 1, and progestin and ADIPOQ receptor family members 7 and 8 in rat forebrain. Neuroscience. 172, 55–65. https://doi.org/10.1016/j.neuroscience.2010.10.051.
 - Petersen S.L., Intlekofer K.A., Moura-Conlon P.J., Brewer D.N., Del Pino Sans J., Lopez J.A. 2013. Novel progesterone receptors: Neural localization and possible functions. Front. Neurosci. 7, 164. https://doi.org/10.3389/fnins.2013.00164.
 - Cai Z., Stocco C. 2005. Expression and regulation of progestin membrane receptors in the rat corpus luteum. Endocrinology. 146, 5522–5532. https://doi.org/10.1210/en.2005–0759.
 - Yoshida A., Yasuda K., Okada H. 2024. Changes in the conflicting nongenomic effects of progesterone in rat myometrium during pregnancy. Life Sci. 340, 122454. https://doi.org/10.1016/j.lfs.2024.122454.
 - Livak K.J., Schmittgen T.D. 2001. Analysis of relative gene expression data using real-time quantitative PCR and the 2–ΔΔCT method. Methods. 25, 402–408. https://doi.org/10.1006/meth.2001.1262.
 - Svingen T., Letting H., Hadrup N., Hass U., Vinggaard A.M. 2015. Selection of reference genes for quantitative RT-PCR (RT-qPCR) analysis of rat tissues under physiological and toxicological conditions. PeerJ. 24, e855. https://doi.org/10.7717/peerj.855.
 - Liman S.V., Kara C.O., Bir F., Yildirim B., Topcu S., Sahin B. 2005. The effects of estradiol and progesterone on the synthesis of collagen in tracheal surgery. Int. J. Pediatr. Otorhinolaryngol. 69, 1327–1331. https://doi.org/10.1016/j.ijporl.2005.03.028.
 - Pang Y., Thomas P. 2018. Progesterone induces relaxation of human umbilical cord vascular smooth muscle cells through mPRα (PAQR7). Mol. Cell. Endocrinol. 474, 20–34. https://doi.org/10.1016/j.mce.2018.02.003.
 - Pang Y., Thomas P. 2019. Role of mPRα (PAQR7) in progesterone-induced Ca2+ decrease in human vascular smooth muscle cells. J. Mol. Endocrinol. 63, 199–213. https://doi.org/10.1530/JME-19–0019.
 - Pang Y., Thomas P. 2021. Involvement of sarco/endoplasmic reticulum Ca2+-ATPase (SERCA) in mPRα (PAQR7)-mediated progesterone induction of vascular smooth muscle relaxation. Am. J. Physiol. Endocrinol. Metabol. 320, E453–E466. https://doi.org/10.1152/ajpendo.00359.2020.
 - Straub S.G., Sharp G.W., Meglasson M.D., De Souza C.J. 2002. Progesterone inhibits insulin secretion by a membrane delimited, non-genomic action. Biosci. Rep. 21, 653–666. https://doi.org/10.1023/A:1014773010350.
 - Charles N.J., Thomas P., Lange C.A. 2010. Expression of membrane progesterone receptors (mPR/PAQR) in ovarian cancer cells: implications for progesterone induced signaling events. Horm. Cancer. 1, 167–176. https://doi.org/10.1007/s12672–010–0023–9.
 - Nieuwenhuizen A.G., Schuiling G.A., Liem S.M.S., Moes H., Koiter T.R., Uilenbroek J.T. 1999. Progesterone stimulates pancreatic cell proliferation in vivo. Eur. J. Endocrinol. 140, 256–263. https://doi.org/10.1530/eje.0.1400256.
 - Piccinato C.A., Rosa G.J.M., N'jai A.U., Jefcoate C.R., Wiltbank M.C. 2013. Estradiol and progesterone exhibit similar patterns of hepatic gene expression regulation in the bovine model. PLoS One. 17, e73552. https://doi.org/10.1371/journal.pone.0073552.
 - Magkos F., Mittendorfer B. 2009. Gender differences in lipid metabolism and the effect of obesity. Obstet Gynecol. Clin. North Am. 36, 245–265. https://doi.org/10.1016/j.ogc.2009.03.001.
 - Mackern-Oberti J.P., Jara, E.L., Riedel C.A., Kalergis A.M. 2017. Hormonal modulation of dendritic cells differentiation, maturation and function: Implications for the initiation and progress of systemic autoimmunity. Arch. Immunol. Ther. Exp. (Warsz). 65, 123–136. https://doi.org/10.1007/s00005–016–0418–6.
 - Yang L., Li X., Zhao J., Hou Y. 2006. Progesterone is involved in the maturation of murine spleen CD11c-positive dendritic cells. Steroids. 71, 922–929. https://doi.org/10.1016/j.steroids.2006.07.001.
 - Packhäuser K.R.H., Roman-Sosa G., Ehrhardt J., Krüger D., Zygmunt M., Muzzio D.O. 2017. A kinetic study of CD83 reveals an upregulation and higher production of sCD83 in lymphocytes from pregnant mice. Front. Immunol. 8, 486. https://doi.org/10.3389/fimmu.2017.00486.
 - Stanojević S., Kovačević-Jovanović V., Dimitrijević M., Vujić V., Ćuruvija I., Blagojević V., Leposavić G. 2015. Unopposed estrogen supplementation/progesterone deficiency in post-reproductive age affects the secretory profile of resident macrophages in a tissue-specific manner in the rat. Am. J. Reprod. Immunol. 74, 445–456. https://doi.org/10.1111/aji.12424.
 - Sharif M., Kerns K., Sutovsky P., Bovin N., Miller D.J. 2021. Progesterone induces porcine sperm release from oviduct glycans in a proteasome-dependent manner. Reproduction. 161, 449–457. https://doi.org/10.1530/REP-20–0474.
 - Mirihagalle S., Hughes J.R., Miller D.J. 2022. Progesterone-induced sperm release from the oviduct sperm reservoir. Cells. 11, 1622. https://doi.org/10.3390/cells11101622.
 - Cai X., Clapham D.E. 2008. Evolutionary genomics reveals lineage-specific gene loss and rapid evolution of a sperm-specific ion channel complex: CatSpers and CatSperβ. PLoS One. 3, e3569. https://doi.org/10.1371/journal.pone.0003569.
 - Thomas P., Tubbs C., Garry V. F. 2009. Progestin functions in vertebrate gametes mediated by membrane progestin receptors (mPRs): Identification of mPRα on human sperm and its association with sperm motility. Steroids. 74, 614–621. https://doi.org/10.1016/j.steroids.2008.10.020.
 - de Vries G.J., Forger N.G. 2015. Sex differences in the brain: a whole body perspective. Biol. Sex Differ. 6, 15. https://doi.org/10.1186/s13293–015–0032-z.
 - Thomas P., Pang Y., Camilletti, M.A., Castelnovo L.F 2022. Functions of membrane progesterone receptors (mPRs, PAQRs) in nonreproductive tissues. Endocrinology. 163, bqac147. https://doi.org/10.1210/endocr/bqac147.
 - Patra P.B, Patra S. 2013. Sex differences in the physiology and pharmacology of the lower urinary tract. Curr. Urol. 6, 179–188. https://doi.org/10.1159/000343536.
 - Patra P.B., Thorneloe K.S., Laping N.J. 2009. Effect of estrogen and progesterone on urodynamics in conscious rat. Urology. 74, 463–466. https://doi.org/10.1016/j.urology.2008.12.046.
 - Chen J., Zhou Y.X., Yu Y.L., Shen Z.J. 2008. Effects of sex hormones on bladder function and structure: Experiment with ovariectomized female rats. Zhonghua Yi Xue Za Zhi. 88, 1851–1854, Chinese. https://doi.org/10.3321/j.issn:0376–2491.2008.26.014.
 - Rojas-Vega L., Reyes-Castro L.A., Ramírez V., Bautista-Pérez R., Rafael C., Castañeda-Bueno M., Meade P., de Los Heros P., Arroyo-Garza I., Bernard V., Binart N., Bobadilla N.A., Hadchouel J., Zambrano E., Gamba G. 2015. Ovarian hormones and prolactin increase renal NaCl cotransporter phosphorylation. Am. J. Physiol. Renal. Physiol. 308, F799–F808. https://doi.org/10.1152/ajprenal.00447.2014.
 - Elabida B., Edwards A., Salhi A., Azroyan A., Fodstad H., Meneton P., Doucet A., Bloch-Faure M., Crambert G. 2011. Chronic potassium depletion increases adrenal progesterone production that is necessary for efficient renal retention of potassium. Kidney Int. 80, 256–262. https://doi.org/10.1038/ki.2011.15.
 
Supplementary files
				
			
					
						
						
						
						
				









