Wave Nature and Modulation of Annual Fluctuations in the Level of the Baltic Sea
- Authors: Zakharchuk E.A.1, Sukhachev V.N.1,2, Tikhonova N.A.1,2
-
Affiliations:
- Saint-Petersburg State University
- N. N. Zubov State Oceanographic Institute
- Issue: Vol 40, No 2 (2024)
- Pages: 231-254
- Section: Analysis of observations and methods of calculating Hydrophysical fields in the ocean
- URL: https://medbiosci.ru/0233-7584/article/view/255618
- EDN: https://elibrary.ru/QAOJOJ
- ID: 255618
Cite item
Full Text
Abstract
Purpose. The study is purposed at assessing the features of spatial-temporal variability of the characteristics of annual fluctuations of the Baltic Sea level based on satellite and contact measurements, their comparing with theoretical dispersion relations of the low-frequency waves of different types, as well as at investigating possible mechanisms of the amplitude modulation of annual fluctuations of the Baltic Sea level.
Methods and Results. The hypothesis on a wave nature of annual fluctuations of the Baltic Sea level is tested and the reasons for their amplitude modulation are investigated based on the harmonic analysis of satellite altimetry data and the 132-year series of tide gauge sea level measurements in Stockholm. It is shown that the wave-like annual perturbations in the sea level field propagate from the southwest to the northeast at the velocity from 0.06 to 0.36 m/s. Having been compared, the estimated characteristics of annual waves and the theoretical dispersion ratios of the low-frequency waves of different types has shown that they are identified as the internal Kelvin waves over the most of the sea area, and only in rare cases in the southwest of the sea, their characteristics agree with the theoretical dispersion relations of the baroclinic topographic Rossby waves. The perceptible interdecadal changes in the annual wave parameters in the sea level field were noted. As compared to the 1993–2021period, the decade 1993–2002 is characterized by a decrease of the Sa harmonic amplitude by 1.5–3 times, by later onset of the maximum of the sea level annual variation (about 1 month later), and also by a noticeable slowdown of the annual wave phase velocity in the sea southwest.
Conclusions. The reasons for the amplitude modulation of annual waves in the sea level field are related to the impact of the oscillations with periods 352, 374, and 379 days, which are identified in a form of small but significant amplitude maxima in the Fourier series spectra of sea level, wind speed and atmospheric pressure. One more mechanism of the amplitude modulation of annual waves is assumed to be related to the changes in frequency of the natural baroclinic oscillations of the Baltic Sea due to the interannual variations of its stratification.
Full Text
Введение
Годовые колебания – основная составляющая сезонных изменений уровня моря. Они обладают выраженной ритмикой и имеют наибольшие амплитудные максимумы в спектрах среднемесячных значений уровня моря 1 [1, 2]. Согласно теоретическим представлениям, сезонные колебания уровня моря вызываются сезонными изменениями скорости ветра, атмосферного давления, течений, плотности морской воды и составляющих водного баланса (атмосферных осадков, испарения, материкового стока и водообмена с прилегающими морскими бассейнами) [3, 4].
В Балтийском море характерными особенностями среднего годового хода уровня моря являются его весенний минимум, осенне-зимний максимум и выраженная асимметричность изменений уровня, проявляющаяся в сравнительно быстром (4–5 месяцев) понижении уровня моря зимой – весной до минимального значения в апреле – мае и более продолжительном (7–8 месяцев) подъеме уровня летом и осенью до максимума в ноябре – январе [5–10].
Сезонное понижение уровня Балтийского моря зимой и весной происходит вследствие наблюдающихся в этот период роста атмосферного давления, уменьшения количества осадков, низкого материкового стока, увеличения плотности морских вод, снижения скорости юго-западных ветров и смены их направления на северо-восточные румбы, что способствует усилению оттока вод из Балтики в Северное море [8]. Среднее сезонное повышение уровня Балтики от весны к зиме происходит в результате весеннего увеличения речного стока, летнего роста количества осадков, осенне-зимнего понижения атмосферного давления и плотности морских вод, а также осеннего усиления юго-западных ветров, способствующих притоку вод из Северного моря в Балтийское [5, 8].
Наблюдающаяся асимметрия годового хода уровня Балтики обусловливается тем, что гидрометеорологические процессы, вызывающие понижение уровня моря, имеют весенние экстремумы, в то время как у процессов, которые приводят к росту уровня моря, экстремальные значения разнесены во времени: максимумы речного стока наблюдаются весной, а максимальное количество атмосферных осадков – летом, минимальные значения атмосферного давления и максимальные – скорости юго-западных ветров и притока североморских вод отмечаются осенью и зимой [5, 8].
Сравнительные вклады всех перечисленных гидрометеорологических процессов в годовой ход уровня Балтийского моря различны. Большинство ученых считают, что основное влияние на средний годовой ход уровня Балтики оказывают сезонные изменения скорости ветра и – в меньшей степени – атмосферного давления и водообмена с Северным морем, в то время как вклады других гидрометеорологических процессов незначительны [8, 9, 11–15].
Годовые колебания уровня играют важную роль в гидрологическом режиме Балтийского моря, оказывая заметное воздействие на берега и прибрежную инфраструктуру Балтики [16, 17]. Они являются индикаторами изменений метеорологических процессов, наблюдающегося потепления климата [7, 18], а также водообмена с Северным морем [19–21]. В отдельные годы отмечается также заметный вклад сезонных колебаний Балтийского моря в опасные подъемы уровня на востоке Финского залива [22]. Численное гидродинамическое моделирование свободных колебаний Балтийского моря показало, что в стратифицированном море генерируются быстро затухающие бароклинные моды собственных колебаний с периодами около одного года, величина которых сравнима со средними многолетними оценками годовых колебаний уровня, полученными на основе анализа мареографных и спутниковых альтиметрических данных [2, 23].
Значительное увеличение к концу ХХ в. количества станций мареографных измерений уровня способствовало появлению работ, в которых исследовались региональные различия в изменении характеристик годовых колебаний уровня в прибрежных районах Балтийского моря. В работах М. Экмана [24] и И. Медведева [2] с помощью гармонического анализа многолетних рядов среднемесячных значений мареографных измерений уровня моря изучалась пространственная изменчивость амплитуд годовых колебаний в береговой зоне Балтийского моря. Результаты свидетельствовали об увеличении амплитуды годовой гармоники от 4–6 см в Датских проливах до 12–13 см в вершинах Финского и Ботнического заливов [2, 24]. Кроме оценок амплитуд, в статье И. Медведева были представлены также значения фазы годовых колебаний уровня моря у различных побережий Балтийского моря, свидетельствовавшие об ее увеличении на 50° при движении от Датских проливов через открытую часть Балтики к вершине Ботнического залива [2].
Большая продолжительность рядов среднемесячных значений уровня моря (153–200 лет) на некоторых мареографных станциях Балтики позволила оценить межгодовую изменчивость годовых колебаний в XIX–XX вв. [1, 11, 12]. Наблюдаемый значимый положительный тренд в изменениях годовой компоненты уровня моря связывается с вековыми изменениями океанографических условий в северо-восточной части Северной Атлантики вследствие движения океанического полярного фронта [1], с Североатлантическим колебанием в десятилетних масштабах времени и общей тенденцией к потеплению климата [11], а также с вековыми изменениями атмосферных осадков в регионе Балтийского моря [12]. Однако исследование межгодовой изменчивости гармоники Sa (период 365,2 дня) в Стокгольме за более поздний период 1889–2020 гг. показало уже наличие незначимого положительного линейного тренда, на фоне которого наблюдались разнонаправленные тенденции изменения амплитуды гармоники Sa. При этом самое значительное уменьшение амплитуд годовых колебаний уровня моря в различных районах Балтики отмечалось с начала 1980-х гг. по настоящее время и было связано с уменьшением амплитуды годовых колебаний скорости ветра и – в меньшей степени – атмосферного давления [9].
В работе [15] С. М. Барбоса и Р. В. Доннер исследовали годовые изменения уровня Балтийского моря за период 1900–2012 гг. по его среднемесячным значениям на девяти береговых станциях с помощью дискретного вейвлет-анализа. Они не оценивали линейный тренд изменения амплитуды годовой компоненты сезонных колебаний уровня, выделяемый другими авторами [1, 9, 11, 12], но обнаружили чередующиеся периоды высоких и низких амплитуд в изменениях годового цикла сезонных колебаний уровня [15]. В работе [9] Е. А. Захарчука с соавторами эти особенности межгодовых изменений годовых колебаний связывались с их амплитудной модуляцией, однако причины этой модуляции не исследовались.
С началом непрерывных спутниковых альтиметрических измерений уровня моря открылись новые, более широкие возможности для изучения изменчивости сезонных колебаний уровня в открытых районах океанов и морей. В работе [6] Й. Ченг с соавторами использовали метод циклостационарных эмпирических ортогональных функций для исследования закономерностей пространственной структуры и временных изменений годового цикла уровня в Балтийском море на основе среднемесячных данных спутниковой альтиметрии за период 1993–2014 гг. Для исследования причин межгодовых изменений оценок годового хода уровня Балтики проводился корреляционный анализ главных компонентов годового хода уровня моря, рассчитанных по спутниковым альтиметрическим данным, и главных компонентов различных метеорологических параметров (скорости зонального ветра, значений индекса Североатлантического колебания, атмосферного давления и температуры воздуха). Результаты показали во всех случаях высокие коэффициенты корреляции, достигающие 0,60–0,80 [6].
В работах [8, 9] для более репрезентативной оценки корреляционных связей между межгодовыми изменениями сезонных колебаний уровня моря и различных гидрометеорологических процессов было предложено перед проведением взаимного корреляционного анализа исключать из всех рядов стационарную компоненту сезонных колебаний у всех гидрометеорологических процессов. Результаты показали, что высокая корреляция отмечается только между годовыми аномалиями уровня моря и годовыми аномалиями колебаний скорости ветра, атмосферного давления и температуры воздуха [8]. Однако взаимный корреляционный анализ годовых аномалий уровня моря в центральной части открытой Балтики и годовых аномалий стерических изменений уровня моря не выявил связи между этими процессами [9].
Несмотря на то, что спутниковая альтиметрическая информация дает возможность достаточно подробно оценить изменения в пространстве амплитуд и фаз сезонных колебаний уровня моря, до настоящего времени не исследовалась гипотеза о волновой природе годовых колебаний уровня в Балтийском море, хотя для других регионов Мирового океана волновая трактовка годовых возмущений в поле уровня моря использовалась неоднократно (например, в работах [25–29]). В этих работах годовые возмущения уровня океана идентифицировались как бароклинные волны Кельвина и Россби.
Цель работы – оценить на основе спутниковых альтиметрических и длительных мареографных измерений уровня моря особенности пространственно-временной изменчивости характеристик годовых колебаний уровня Балтийского моря, сравнить их с теоретическими дисперсионными соотношениями различных видов низкочастотных волн, а также исследовать возможные механизмы амплитудной модуляции годовых колебаний уровня Балтики.
Данные и методы
Для исследования годовых колебаний уровня Балтийского моря использовался массив комбинированных альтиметрических данных нескольких спутников: Jason-3, Sentinel-3A, HY-2A, Saral/AltiKa, Cryosat-2, Jason-2, Jason-1, T/P, ENVISAT, GFO, ERS1/2, включающий поля аномалий уровня моря (SLA) с пространственным разрешением 0,25° × 0,25° и дискретностью 1 сут (E.U. Copernicus Marine Service Information 2), полученные методом оптимальной интерполяции за период 1993–2021 гг. [30, 31]. При создании массива в исходные альтиметрические данные были введены: поправка на орбитальную ошибку, коррекции на инструментальные ошибки, поправка на влияние тропосферы и ионосферы на запаздывание зондирующего и отраженного импульса альтиметра [32]. Кроме этого, из альтиметрических данных были исключены колебания, связанные со статическим эффектом атмосферного давления, с ветровыми волнами, океанскими и земными приливами.
В большинстве работ, посвященных исследованиям годового хода уровня Балтийского моря, использовались данные среднемесячных значений уровня [1, 2, 11, 12, 24]. Однако в работе [9] было показано, что для более точной оценки характеристик годовых колебаний уровня моря следует использовать ряды не среднемесячных, а среднесуточных значений уровня моря. Поэтому в данной работе используются данные среднесуточных значений мареографных и спутниковых альтиметрических наблюдений за уровнем Балтийского моря.
Альтиметрические данные проверялись на наличие пропусков. Наибольшее количество пропусков, варьирующее от 2 до 25 %, связано с наличием припайного и дрейфующего льда в зимний период и приходится на северную часть Ботнического залива, а также на центральную и восточную части Финского залива (рис. 1, b).
Р и с. 1. Батиметрическая карта Балтийского моря и местоположение мареографной станции Стокгольм (а), количество пропусков (в процентах от общего количества членов ряда) в узлах сеточной области альтиметрических данных (b)
F i g. 1. Bathymetry map of the Baltic Sea and location of the Stockholm tide gauge station (a), number of gaps (as a percentage of the total number of series terms) in the nodes of altimetry data grid area (b)
Для исследования причин амплитудной модуляции годовых колебаний уровня Балтийского моря использовался наиболее длинный ряд непрерывных среднесуточных значений уровня моря на мареографной станции Стокгольм (рис. 1, а) за 1889–2021 гг., полученный с ресурса E.U. Copernicus Marine Service 2.
Амплитуда (A) и фаза (G) годовых колебаний уровня в стационарном приближении рассчитывались с помощью гармонического анализа, выполненного по методу наименьших квадратов, с учетом рекомендаций, представленных в работе Г. Н. Войнова [33]
где ASa – амплитуда; wSa – частота; GSa – фаза годовой гармоники от начала ряда; t – время.
В районах, где альтиметрические данные имели пропуски из-за наличия в зимний период льда, оценки характеристик годовых колебаний уровня производились следующим образом. Сначала пропуски в рядах альтиметрических данных заполнялись средним значением уровня. Затем с помощью описанной выше процедуры гармонического анализа оценивались амплитуды и фазы гармоники Sa. Далее по оцененным амплитудам и фазам предвычислялись ряды годовых колебаний уровня моря. Из предвычисленных таким образом рядов годовых колебаний уровня моря выбирались значения уровня, которыми заполнялись пропуски в рядах исходных альтиметрических данных. Затем процедура гармонического анализа проводилась повторно, и полученные таким образом оценки амплитуды и фазы гармоники Sa принимались в качестве окончательного результата.
Точность амплитуд и фаз, рассчитанных в стационарном приближении годовых колебаний уровня моря, оценивалась по методике, предложенной в работе 3. Согласно этой методике, для оценки значимости гармоники Sa используется коэффициент корреляции r между гармоникой и исходным рядом среднесуточных значений уровня в Стокгольме. Значимость гармоники определяется по критерию Стьюдента
где r – коэффициент корреляции между исходным рядом и гармоникой Sa; n – длина ряда. Гармоника считается значимой, если St > Stкр, где Stкр – табличное значение критерия Стьюдента из работы 4, зависящее от уровня значимости и числа степеней свободы.
Затем из амплитудного спектра ряда Фурье исключались все значимые гармоники. Максимальное значение амплитуды остаточного ряда принималось за среднеквадратическую ошибку амплитуды ()гармоники Sa. Среднеквадратическая ошибка расчета фазы считалась по следующей формуле:
где – среднеквадратическая ошибка расчета фазы гармоники Sa; – среднеквадратическая ошибка расчета амплитуды гармоники Sa; ; – амплитуда гармоники Sa.
По значениям разности фаз между узлами сеточной области альтиметрических данных были оценены скорости перемещения годовых колебаний уровня:
(1)
где – составляющие проекции вектора скорости на параллель и меридиан; ∆x, ∆y – расстояние между соседними узлами сеточной области вдоль параллели и меридиана; – модуль вектора скорости; T – период колебаний (1 год); ∆Fx, ∆Fy – разность фаз между узлами сеточной области вдоль параллели и меридиана.
Для исследования волновой природы годовых возмущений в поле уровня моря оцененные с помощью спутниковой альтиметрической информации характеристики сезонных колебаний уровня с периодом 1 год сравнивались с известными теоретическими дисперсионными соотношениями различных видов низкочастотных волн: баротропных и бароклинных топографических волн Россби, которые относятся к классу градиентно-вихревых волн 5 [34], и волн Кельвина, относящихся к классу гравитационных волн [35, 36].
Теоретические дисперсионные кривые топографических волн Россби рассчитывались по дисперсионному соотношению, выведенному В. Р. Фуксом в линейном приближении для условий замкнутого бассейна [37, 38]:
(2)
где: – частота волны; – приближение β-плоскости, f – параметр Кориолиса; – составляющие волновых чисел; – длины волн вдоль осей х и y соответственно; Н – глубина моря; R – радиус деформации Россби.
Для оценки дисперсионных кривых баротропных топографических волн Россби использовался баротропный (внешний) радиус деформации , значения которого принимались равными 150, 175 и 200 км [40], g – ускорение свободного падения. Дисперсионные кривые бароклинных топографических волн Россби рассчитывались путем введения в уравнение (2) оценок бароклинного (внутреннего) радиуса деформации Россби , где – частота Вяйсяля – Брента; ρ – плотность воды. Согласно работам [40–42], значения первой бароклинной моды принимались равными 2, 5 и 9 км. Характерные уклоны дна Балтийского моря вдоль осей х и у принимались равными 4,2×10−5; 4,6×10−5; 5,0×10−6; lx, ly – размеры бассейна вдоль осей х и y – принимались равными соответственно 400 и 1500 км; m, p – номер моды стоячей волны.
Первое слагаемое в числителе уравнения (2) описывает волнообразующий механизм для волн Россби, связанный с совместным эффектом сферичности и вращения Земли, а второе и третье – для топографических волн, которые генерируются под влиянием совместного эффекта изменчивости донной топографии и вращения Земли. В знаменателе первые два слагаемых описывают пространственные масштабы бассейна и горизонтальные моды стоячей волны, третье и четвертое слагаемые – вклад поступательного волнового движения, а последнее слагаемое в знаменателе – условия среды (глубина морского бассейна и его стратификация).
Теоретические фазовые скорости длинных баротропных гравитационных волн (волн Кельвина) оценивались по известной формуле
(3)
где H – глубина моря; g – ускорение силы тяжести.
Теоретические фазовые скорости длинных бароклинных гравитационных волн (внутренних волн Кельвина) оценивались по формуле
(4)
где – редуцированное ускорение свободного падения, g – ускорение свободного падения, p – средняя плотность морской воды; – разность плотностей верхнего и нижнего слоев; h' – толщина верхнего квазиоднородного слоя моря [43, 44].
Для решения этой задачи с помощью данных о вертикальных распределениях плотности морской воды, полученных из проекта Copernicus Marine Service 2, нами были оценены средние за период 1993–2018 гг. условия стратификации для разных районов Балтики. Они позволили получить следующие значения параметров, входящих в формулу (4): h' = 5,…, 60 м; /p = 0,2,…, 75×10−4, g' = 0,2,…, 73×10−3 м/с2.
Для оценки особенностей и механизмов амплитудной модуляции годовых колебаний уровня Балтийского моря 132-летний ряд среднесуточных значений уровня моря в Стокгольме подвергался скользящему гармоническому анализу [11] без перекрытия с периодом квазистационарности (окном скольжения), равным одному году. По оцененным амплитудам и фазам для каждого периода квазистационарности предвычислялись ряды годовых колебаний, которые затем соединялись в ряд Sa(t1), описывающий межгодовые изменения гармоники Sa. В местах соединений предвычисленных рядов иногда отмечались резкие скачки уровня по высоте, которые сглаживались методом кубического сплайна [45] с окном сглаживания 60 суток (последние 30 суток предыдущего периода квазистационарности и первые 30 суток следующего периода квазистационарности).
Для выявления колебаний с частотами, близкими к частоте Sa, которые могут быть причиной ее амплитудной модуляции, гармонический анализ 132-летнего ряда среднесуточных значений уровня моря в Стокгольме проводился в стационарном приближении. Оценивались амплитуды и фазы колебаний с периодами 441, 434, 419, Sa, 379, 373, 352 дня. По амплитудам и фазам предвычислялись гармоники с этими периодами, а также ряд уровня моря, представляющий собой суперпозицию этих гармоник. Этот ряд вычитался из исходного ряда среднесуточных значений уровня моря в Стокгольме. На основе результатов гармонического анализа остаточного ряда формировался ряд амплитуд в диапазоне периодов от 90 до 490 сут. Оценка 3 (где – среднее квадратическое отклонение остаточного ряда амплитуд в диапазоне периодов от 90 до 490 сут) принималась за 99%-ный доверительный интервал [46]. Выделялись частоты значимых амплитудных максимумов колебаний уровня. Амплитудные максимумы затем использовались для описания амплитудной модуляции гармоники Sa.
Для разделения сигнала полюсного прилива (период около 14 месяцев) и сигнала на частоте гармоники Sa использовался критерий Рэлея
(5)
где – разность частот гармоники Sa и полюсного прилива. Данный критерий позволяет определить длину ряда, необходимую для разделения сигналов этих процессов при гармоническом анализе.
Для исследования причин амплитудной модуляции годовых колебаний уровня моря проводился гармонический анализ рядов среднесуточных значений атмосферного давления за 1939–2021 гг. и скорости ветра за 1950–2021 гг. в Стокгольме, полученных с портала Шведского метеорологического и гидрологического института (SMHI 6).
Результаты и их интерпретация
На рис. 2 представлены оценки амплитуд и фаз годовой гармоники Sa, полученные в узлах сеточной области спутниковых альтиметрических данных с помощью гармонического анализа рядов среднесуточных значений уровня моря за различные периоды, среднеквадратические ошибки их расчета, а также скорости перемещения годовых колебаний в поле уровня моря, рассчитанные по формуле (1). Оценки среднеквадратических ошибок показывают, что для всех районов Балтийского моря амплитуды годовой гармоники выделяются достоверно. Минимальная амплитуда колебаний уровня с периодом один год отмечается на юго-западе Балтики, где она в 1993–2021 гг. составляет 4,5–5 см (рис. 2, а). При движении к проливу Каттегат и в сторону открытой Балтики амплитуда годовых колебаний уровня возрастает до 7–8,5 см. Максимальные амплитуды колебаний уровня с периодом один год отмечаются на севере Ботнического и на востоке Финского залива, где они достигают 9–10 см (рис. 2, а). Эти оценки согласуются с результатами анализа годовых колебаний уровня, полученными ранее в работах М. Экмана [24] и И. Медведева [2] по результатам гармонического анализа длительных мареографных наблюдений за уровнем моря в береговых пунктах Балтики, а также по результатам анализа спутниковых альтиметрических данных за более короткий период [8].
Р и с. 2. Амплитудно-фазовые характеристики годовой гармоники Sa в Балтийском море, оцененные по данным спутниковой альтиметрии (изолиниями обозначены фазы в градусах) (а, d, g, j), среднеквадратические ошибки оценок амплитуды и фазы (изолинии) годовой гармоники (b, e, h, k) и оценки скорости перемещения годовых колебаний уровня моря, рассчитанные по формуле (1) (c, f, i, l), за 1993–2021 (а – c), 1993–2002 (d – f), 2003–2012 (g – i) и 2012–2021 гг. (j – l)
F i g. 2. Amplitude-phase characteristics of annual harmonic Sa in the Baltic Sea assessed by satellite altimetry data (isolines indicate phases in degrees) (a, d, g, j), root-mean-square errors in the estimates of amplitude and phase (isolines) of the annual harmonic (b, e, h , k), and estimates of motion velocity of annual fluctuations of sea level calculated by formula (1) (c, f, i, l) for 1993–2021 (a – c), 1993–2002 (d – f), 2003–2012 (g – i) and 2012–2021 (j – l)
По оценкам фазы (рис. 2, а) отмечается ее квазимонотонное увеличение при движении с юго-запада моря на север и северо-восток, что свидетельствует о волновой природе годовых возмущений в поле уровня Балтийского моря. Эти пространственные изменения фазы достоверны, так как они значительно превосходят среднеквадратическую ошибку их расчета (рис. 2, b). Значения фазы свидетельствуют, что в проливе Каттегат максимум годовых колебаний уровня моря наблюдается в начале и середине октября (275–285°), а на севере Ботнического и востоке Финского заливов – в самом конце ноября (330°) (рис. 2, а). Скорость распространения годовых волн в поле уровня моря составляет 6–36 см/с (рис. 2, с).
Сравнение характеристик годовых колебаний по отдельным десятилетиям показывает, что на качественном уровне отмечаются те же особенности их пространственного распределения: наименьшие амплитуды гармоники Sa – на юго-западе моря, а максимальные – на севере и северо-востоке, квазимонотонное увеличение фазы с юга-запада на север. Однако количественные различия характеристик годовых колебаний в разные десятилетия очень заметные. По сравнению с периодом 1993–2021 гг., в десятилетие 1993–2002 гг. на юго-западе моря отмечается понижение в несколько раз амплитуды гармоники Sa (до 1–2 см) и ее уменьшение почти в 1,5 раза на севере Ботнического и востоке Финского заливов (до 7–8 см), более поздний максимум годового хода уровня (приблизительно на 1 месяц), а также заметное замедление фазовой скорости годовой волны на юго-западе моря (рис. 2, f).
В десятилетие 2003–2012 гг., наоборот, на всей акватории моря амплитуда гармоники Sa существенно увеличилась, достигнув своих максимальных значений в 5–6 см на юго-западе моря и 11–12 см на севере Ботнического залива, востоке Финского залива и в Рижском заливе (рис. 2, h); возросла фазовая скорость волны (рис. 2, j), максимум годового хода уровня наблюдался приблизительно на 10–15 сут раньше (см. рис. 2, h), по сравнению со средним многолетним значением, оцененным за 1993–2021 гг.
В 2012–2021 гг. амплитуда годовой гармоники понизилась, достигнув в южной и центральной частях открытой Балтики своих средних многолетних значений, рассчитанных за 1993–2021 гг., в то время как в других районах моря амплитуда превышала средние значения (см. рис. 2, j). В это десятилетие на юго-западе моря снова заметно понизилась фазовая скорость годовой волны (рис. 2, l) и ее амплитудный максимум здесь отмечался существенно ранее по сравнению со средним многолетним значением, хотя в других районах он в основном соответствовал среднему значению.
Оценки вероятности распределения фазовых скоростей по градациям свидетельствуют, что чаще всего годовые волны в поле уровня Балтийского моря распространялись со скоростями 17–36 см/с (рис. 3). На диапазон фазовых скоростей 6–16 см/с приходится всего 12 % случаев (рис. 3).
Р и с. 3. Вероятность распределения оцененных по спутниковым альтиметрическим данным фазовых скоростей годовых волн в поле уровня Балтийского моря
F i g. 3. Probability of the distribution of annual wave phase velocities (assessed by satellite altimetry data) in the Baltic Sea level field
Теоретическая оценка фазовой скорости баротропных гравитационных волн, рассчитанная по формуле (3) для средней глубины Балтийского моря 54 м [3], равна 23 м/с, что на два порядка превосходит значения фазовых скоростей годовых волн, оцененных по спутниковым альтиметрическим данным (см. рис. 2 и 3). Это сравнение свидетельствует, что годовые волны в поле уровня Балтийского моря не могут быть баротропными гравитационными волнами.
Оценки теоретических фазовых скоростей бароклинных волн Кельвина, выполненные по формуле (4) для характерных условий стратификации Балтийского моря, показывают, что значения скорости меняются от 0,03 до 2,09 м/с. Результаты, представленные на рис. 3, свидетельствуют, что рассчитанные по спутниковым альтиметрическим данным скорости распространения годовых возмущений уровня моря входят в диапазон полученных по формуле (4) теоретических фазовых скоростей внутренних гравитационных волн, что позволяет эти волны идентифицировать как бароклинные волны Кельвина.
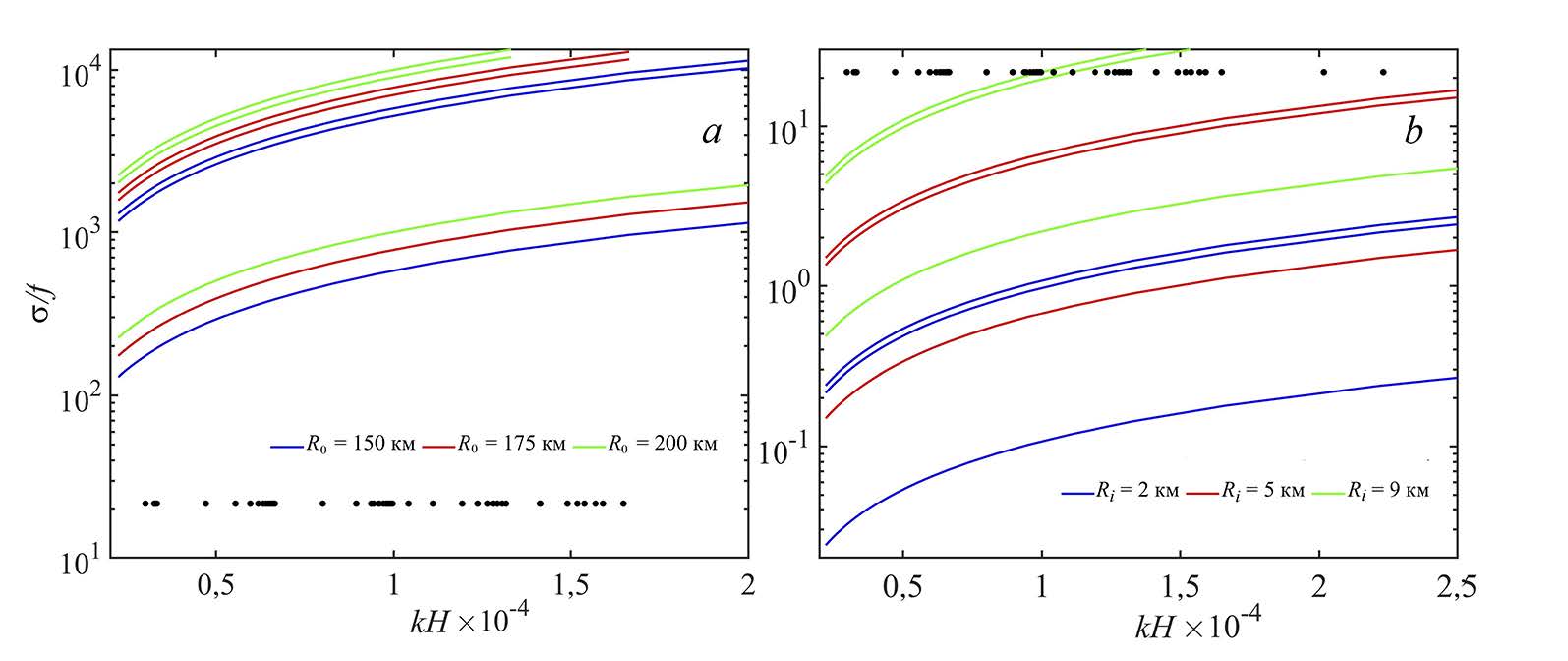
На рис. 4 сравниваются эмпирические характеристики годовых волнообразных возмущений уровня моря, оцененные по спутниковым альтиметрическим данным, с теоретическими дисперсионными кривыми баротропных и бароклинных топографических волн Россби, рассчитанных по соотношению (2). Хорошо видно, что теоретические дисперсионные кривые баротропных топографических волн Россби лежат значительно выше эмпирических характеристик годовых колебаний уровня моря (рис. 4, а). Не пересекаются эмпирические значения годовых колебаний уровня моря с большинством теоретических дисперсионных кривых бароклинных топографических волн Россби (рис. 4, b). Исключение составляют теоретические кривые, описывающие распространение бароклинных топографических волн Россби в условиях резкой стратификации ()и сравнительно небольших уклонов дна (4,2×10−5). Таким условиям наиболее подходит юго-западная часть открытой Балтики [41, 42]. Однако эмпирические фазовые скорости годовых волн, которые пересекаются с теоретическими кривыми бароклинных топографических волн Россби, соответствуют диапазону 6–12 см/с. Это диапазон наиболее медленных годовых волн, которые встречаются всего лишь в 9 % случаев (см. рис. 3).
Р и с. 4. Сравнение рассчитанных по альтиметрии характеристик годовых колебаний уровня Балтийского моря (черные точки) с теоретическими дисперсионными кривыми баротропных (а) и бароклинных (b) топографических волн Россби (линии)
F i g. 4. Comparison of the characteristics of annual fluctuations in the Baltic Sea level calculated using altimetry (black dots) with the theoretical dispersion curves of barotropic (a) and baroclinic (b) topographic Rossby waves (lines)
Таким образом, наиболее часто на большей акватории Балтики годовые возмущения в поле уровня моря идентифицируются как бароклинные волны Кельвина и только на юго-западе моря в редких случаях их эмпирические характеристики соответствуют теоретическим дисперсионным соотношениям бароклинных топографических волн Россби.
Предлагаемая нами волновая трактовка годовых колебаний уровня для Балтийского моря является новой. Ранее высказывались и исследовались другие гипотезы, связанные с экмановским механизмом сезонных повышений и понижений уровня моря, сезонными изменениями плотности воды и составляющих водного баланса [5, 10, 12, 13].
Отличие волн от неволновых колебаний обычно объясняется орбитальными движениями частиц воды в волне, распространением в пространстве формы волны без переноса массы, что несвойственно другим видам колебательных движений, а также дисперсионным соотношением, которое связывает частоту волны с волновым числом [27, 35, 36]. Волновые процессы проявляются в спектрах в виде узкополосных значимых пиков (яркий пример – приливные колебания). Наблюдающееся в нашем случае квазимонотонное распространение в пространстве фазы годовых колебаний в поле уровня моря (см. рис. 2) и хорошее согласие их эмпирических характеристик с теоретическими дисперсионными соотношениями бароклинных низкочастотных волн (см. рис. 4) свидетельствуют о волновой природе годовых колебаний уровня моря.
Если бы квазимонотонное распространение фазы гармоники Sa было связано, например, с наблюдающимся разным временем наступления половодья на реках, впадающих в Балтику, то максимумы годовых колебаний уровня наблюдались бы весной, когда фиксируются максимумы речного стока, и отмечалась бы высокая связь между изменениями годовых колебаний уровня и речного стока. Однако максимумы годовых колебаний уровня отмечаются в осенне-зимний период, и корреляция между изменениями годовых колебаний уровня и речного стока отсутствует [8, 13]. Отсутствие корреляции наблюдается также и с изменениями годовых колебаний других составляющих водного баланса [8, 9, 12], а также со стерическими колебаниями [9], в то время как с изменениями скорости ветра и атмосферного давления связь высокая [8, 9].
В то же время экмановский механизм не может рассматриваться в качестве основного при генерации годовых колебаний уровня Балтийского моря. Если бы это было так – наши результаты анализа Фурье показали бы не один, а два амплитудных максимума (на северо-востоке и на юго-западе моря), так как осенью и зимой сезонные ветры дуют с юго-запада, а весной и летом – с севера и северо-востока [8]. То есть в этом случае на частоте гармоники Sa пространственное распределение амплитудно-фазовых характеристик было бы такое же, как и у одноузловой сейши, – с двумя амплитудными максимумами на противоположных концах моря и нулевыми значениями амплитуды на узловой линии, которая пересекала бы открытую Балтику приблизительно с запада на восток. В нашем случае (см. рис. 2) таких особенностей не отмечается: на юго-западе моря наблюдается не максимум, а минимум годовых колебаний, а фаза и значения уровня квазимонотонно растут при движении с юго-запада на северо-восток.
Перечисленные результаты свидетельствуют, что годовые колебания в поле уровня моря представляют собой низкочастотные волны, которые идентифицируются в основном как бароклинные волны Кельвина. Эти волны генерируются главным образом под воздействием изменений касательного трения ветра и атмосферного давления. По оценкам [15], вклад годовых вариаций зональной компоненты скорости ветра и атмосферного давления в генерацию годовых колебаний уровня моря на разных береговых станциях за 1979–2012 гг. составляет 31–62 и 30–47 % соответственно.
Таким образом, на частоте гармоники Sa отклик уровенной поверхности Балтийского моря на воздействие касательного трения ветра и атмосферного давления является не локальным, а волновым, и по величине этот отклик значительно больше, чем реакция уровенной поверхности на изменения плотности воды и составляющих водного баланса.
Бароклинная природа низкочастотных волн с периодом один год свидетельствует о зависимости их характеристик от стратификации, которая в существенно ограниченном и мелководном Балтийском море имеет значительные межгодовые вариации, вызванные изменениями водообмена с Северным морем, количества атмосферных осадков, материкового стока и испарения [5, 47–49]. Эти изменения стратификации и приводят к заметным вариациям фазовой скорости (рис. 2) бароклинных годовых волн в поле уровня моря от десятилетия к десятилетию.
На рис. 5 показан ряд межгодовых изменений годовых колебаний уровня моря в Стокгольме, полученный с помощью скользящего гармонического анализа, выполненного для периода квазистационарности один год. Наблюдается значительная межгодовая изменчивость амплитуд годовых колебаний. В отдельные годы они достигают значений более 20 см, а в другие годы уменьшаются до нескольких сантиметров. Во временном ходе гармоники Sa прослеживается амплитудная модуляция с периодом от 7–15 до 30–35 лет.
Р и с. 5. Предвычисленный ряд годовых колебаний уровня моря в Стокгольме для периода квазистационарности один год
F i g. 5. Pre-calculated series of annual sea level fluctuations in Stockholm for the quasistationary period equal to one year
Подобную особенность в изменениях годовых колебаний уровня Балтийского моря отмечали С. Барбоса и Р. Доннер [15] по результатам дискретного вейвлет-анализа рядов среднемесячных значений мареографных измерений уровня моря.
Для изучения причин амплитудной модуляции годовых колебаний уровня моря рассмотрим амплитудный спектр ряда Фурье в Стокгольме (рис. 6). Второй по величине значимый амплитудный максимум после пика на частоте гармоники Sa отмечается на периоде 434 дня. Рядом с ним наблюдаются меньшие по величине, но также значимые амплитудные максимумы на периодах 419 и 441 день. Колебания уровня с такими периодами связаны с полюсным приливом, который вызывается свободной нутацией оси вращения Земли [1, 50, 51].
Р и с. 6. Участок амплитудного спектра ряда Фурье среднесуточных значений уровня моря в Стокгольме (цифры над амплитудными максимумами – периоды в сутках) за 1889–2021 гг., представляющий диапазон сезонной и межгодовой изменчивости. Красная линия – 99%-ный доверительный интервал
F i g. 6. A part of amplitude spectrum of the Fourier series of the average daily sea level values in Stockholm (numbers above the amplitude maxima are the periods (days)) for 1889–2021, which describes the range of seasonal and interannual variability. Red line shows the 99 % confidence interval
Для того чтобы отделить сигнал полюсного прилива (Р = 419 сут) от сигнала гармоники Sa, воспользуемся критерием Рэлея (5). Расчеты показали, что длина ряда для разделения сигналов должна быть равна восьми годам.
На рис. 7, а показан предвычисленный ряд годовых колебаний уровня моря в Стокгольме, полученный с помощью скользящего гармонического анализа для периода квазистационарности восемь лет и периода скольжения один год. Сравнение этого рисунка с рис. 5 показывает, что, хотя и исчезли резкие изменения амплитуды гармоники Sa с периодами от одного до нескольких лет, вызванные увеличением периода квазистационарности, в целом временная структура модуляции годовых колебаний сохранилась. Так же, как и на рис. 5, наблюдается уменьшение годовых колебаний в 1900, 1940, 1990-х гг. и их рост в 1920, 1950, 1970–1980-х и 2000-х гг. Этот результат свидетельствует, что не полюсный прилив влияет на амплитудную модуляцию годовых колебаний уровня моря в Стокгольме.
Р и с. 7. Предвычисленный ряд годовых колебаний уровня моря в Стокгольме для периода квазистационарности восемь лет и периода скольжения один год (а), а также ряд колебаний уровня, полученный на основе стационарного гармонического анализа по уравнению (6) (b)
F i g. 7. Pre-calculated series of annual sea level fluctuations in Stockholm for the quasistationary period equal to eight years, and a one year period of sliding (a), as well as a series of level fluctuations obtained by stationary harmonic analysis using equation (6) (b)
Согласно критерию Рэлея, для разделения сигналов гармоники Sa от ближайшего к ней сателлита с периодом 373 дня (см. рис. 6) требуется длина ряда 44 года, которая превосходит периоды модуляции годовых колебаний. В связи с этим амплитуды и фазы гармоник, имеющих значимые амплитудные максимумы около годового цикла, были оценены с помощью стационарного гармонического анализа:
(6)
где цифровые индексы обозначают периоды ближайших к гармонике Sa значимых амплитудных максимумов.
По оцененным амплитудам и фазам предвычислялись ряды четырех гармоник. На рис. 7, b представлен ряд суперпозиции этих четырех гармоник. Можно видеть, что в изменениях годовых колебаний уровня моря, предвычисленных по уравнению (5), присутствуют те же особенности модуляционного процесса, что и в природных условиях: близкие изменения амплитуд колебаний уровня – от 5 до 14 см, совпадение во времени основных максимумов и минимумов, присутствие в процессе периодов амплитудной модуляции от 25 до 30 лет, чередование наибольших и наименьших максимумов. Этот результат свидетельствует, что небольшие по амплитуде колебания с периодами 352, 373 и 379 дней все же оказывают заметное влияние на амплитудную модуляцию годовых колебаний уровня Балтийского моря. Однако физические механизмы происхождения этих колебаний неизвестны. Отсутствуют научные публикации, в которых они исследовались, что, по-видимому, связано с их небольшими амплитудами.
В ряде работ было показано, что межгодовые изменения годовых колебаний уровня Балтийского моря более всего связаны с межгодовой изменчивостью сезонных колебаний атмосферного давления и скорости ветра [6, 8, 9, 11–15], в то время как со стерическими колебаниями уровня и составляющими водного баланса отмечаются низкие значения корреляции [8, 9]. Можно предположить поэтому, что колебания с периодами 352, 373 и 379 суток также присутствуют в спектрах колебаний атмосферного давления и скорости ветра, оказывая влияние на амплитудную модуляцию этих метеорологических процессов.
Рассмотрим в связи с этим амплитудные спектры рядов среднесуточных значений атмосферного давления за 1939–2021 гг. и скорости ветра за 1950–2021 гг. в Стокгольме (рис. 8). Хотя длина рядов этих метеорологических процессов значительно меньше длины ряда уровня моря в Стокгольме, она позволяет, согласно критерию Рэлея, достаточно хорошо разделить сигналы гармоники Sa и ближайшего к ней сателлита с периодом 373 дня, выделяющегося в спектре уровня моря в виде значимого амплитудного максимума (см. рис. 6). Результаты, представленные на рис. 8, свидетельствуют, что, как и в спектре уровня моря, в спектрах атмосферного давления и зональной составляющей скорости ветра присутствуют небольшие амплитудные максимумы для колебаний с периодом 379 суток, хотя в спектре меридиональной компоненты скорости ветра этот максимум отсутствует (рис 8, b). В отличие от уровня моря, в амплитудных спектрах метеорологических процессов не отмечается максимумов для периода 373 дня, но наблюдаются пики с периодами 348, 353 сут (рис. 8), которые близки к амплитудному максимуму колебаний уровня моря 352 дня (см. рис. 6).
Р и с. 8. Участок амплитудного спектра ряда Фурье среднесуточных значений атмосферного давления (а), зональной (b) и меридиональной (c) компонент скорости ветра за 1939–2021 гг. в Стокгольме (цифры над амплитудными максимумами – периоды в сутках), представляющий диапазон сезонной и межгодовой изменчивости. Красная линия – 99%-ный доверительный интервал
F i g. 8. A part of amplitude spectrum of the Fourier series of the average daily values of atmospheric pressure (a), zonal (b) and meridional (c) wind speed components in Stockholm (numbers above the amplitude maxima are the periods (days)) for 1939–2021, which describes the range of seasonal and interannual variability. Red line shows the 99 % confidence interval
Таким образом, в спектрах колебаний атмосферного давления и скорости ветра на частотах, расположенных около частоты гармоники Sa, отмечаются амплитудные максимумы на тех же или близких частотах, как и у колебаний уровня моря, что может приводить к похожей модуляции рассматриваемых метеорологических процессов.
Еще одной причиной модуляции гармоники Sa может быть влияние собственных бароклинных колебаний Балтийского моря. Численные эксперименты с трехмерной бароклинной гидродинамической моделью Балтийского моря показали, что, в отличие от баротропного случая, в стратифицированном море генерируются бароклинные моды собственных колебаний с периодами около одного года, максимальные значения которых наблюдаются в центральной части открытой Балтики, где они достигают 4–5,5 см [23]. Значительные межгодовые изменения стратификации Балтийского моря, которые наблюдаются в последние десятилетия [47], должны приводить к смещению частоты его собственных бароклинных колебаний относительно частоты вынужденных колебаний уровня, генерирующихся на частоте гармоники Sa. Если частота собственных бароклинных колебаний совпадает с частотой гармоники Sa, происходит резонанс и амплитуда годовых колебаний значительно возрастает. Когда частота собственных бароклинных колебаний отклоняется от частоты гармоники Sa, амплитуда годовых колебаний уменьшается и далее, в процессе годового хода уровня моря появляется амплитудная модуляция. Многолетние колебания стратификации Балтики связаны в основном с изменениями составляющих ее пресного баланса и водообмена с Северным морем [47]. Наши оценки показали, что периоды модуляции гармоники Sa варьируют от 7–15 до 30–35 лет (см. рис. 5 и 7). Инструментальные измерения показывают, что в межгодовых изменениях речного стока, осадков и водообмена через Датские проливы также наблюдаются близкие цикличности [5, 47–49]. Однако эта гипотеза требует дополнительных исследований с помощью численных экспериментов с трехмерной бароклинной моделью.
Заключение
- Результаты гармонического анализа спутниковых альтиметрических данных за 1993–2021 гг. свидетельствуют о том, что средняя амплитуда гармоники Sa меняется от 4,5–5 см на юго-западе Балтики до 9–10 см на севере Ботнического залива и на востоке Финского залива. Отмечается квазимонотонное увеличение фазы гармоники Sa с юго-запада на север и север-восток моря, свидетельствующее о волновой природе годовых колебаний. Скорости распространения годовых колебаний в Балтийском море меняются от 0,06 до 0,36 м/с.
- Сравнение характеристик годовых колебаний в поле уровня Балтийского моря с теоретическими дисперсионными соотношениями различных классов низкочастотных волн показало, что в большинстве случаев на большей части акватории Балтийского моря годовые возмущения в поле уровня моря идентифицируются как бароклинные волны Кельвина и только на юго-западе моря в редких случаях их эмпирические характеристики соответствуют теоретическим дисперсионным соотношениям бароклинных топографических волн Россби.
- Между десятилетиями отмечаются заметные изменения характеристик годовых волн в поле уровня моря. По сравнению с периодом 1993–2021гг., в десятилетие 1993–2002 гг. наблюдается понижение в 1,5–3 раза амплитуды гармоники Sa, более поздний максимум годового хода уровня (приблизительно на 1 месяц), а также заметное замедление фазовой скорости годовой волны на юго-западе моря.
В десятилетие 2003–2012 гг., наоборот, на всей акватории моря амплитуда гармоники Sa существенно увеличилась, достигнув своих максимальных значений 5–6 см на юго-западе моря и 11–12 см на севере Ботнического залива, востоке Финского залива и в Рижском заливе; возросла фазовая скорость волны, и максимум годового хода уровня отмечался приблизительно на 10–15 сут раньше, по сравнению со средним многолетним значением, оцененным за период 1993–2021 гг.
В 2012–2021 гг. амплитуда годовой гармоники понизилась, достигнув в южной и центральной частях открытой Балтики своих средних многолетних значений, рассчитанных за 1993–2021 гг., в то время как в других районах моря амплитуда превышала средние значения. В это десятилетие на юго-западе моря снова заметно понизилась фазовая скорость годовой волны и ее амплитудный максимум здесь отмечался существенно ранее по сравнению со средним многолетним значением, хотя в других районах он в основном соответствовал среднему значению.
- Результаты скользящего гармонического анализа 132-летнего ряда среднесуточных значений уровня моря в Стокгольме демонстрируют во временном ходе амплитуды гармоники Sa выраженную амплитудную модуляцию с периодом приблизительно от 7–15 до 30–35 лет. Показано, что причина модуляции связана с влиянием колебаний уровня с периодами 352, 374 и 379 сут, выделяющихся в виде небольших, но значимых амплитудных максимумов в спектре ряда Фурье уровня моря в Стокгольме. Эти колебания могут вызываться изменениями атмосферного давления и скорости ветра, в спектрах которых были выявлены амплитудные максимумы на тех же или близких частотах, что и у колебаний уровня моря. Предполагается, что еще один механизм амплитудной модуляции годовых волн может быть связан с изменениями частоты собственных бароклинных колебаний Балтийского моря из-за межгодовых вариаций его стратификации.
1 Герман В. Х., Левиков С. П. Вероятностный анализ и моделирование колебаний уровня моря. Л. : Гидрометеоиздат, 1988. 229 с.
2 URL: http://marine.copernicus.eu (дата обращения: 05.04.2024).
3 Малинин В. Н. Статистические методы анализа гидрометеорологической информации : в 2 т. Т. 2. Анализ временных рядов и случайных полей. СПб. : РГГМУ, 2020. 196 с.
4 Корн Г., Корн Т. Справочник по математике для научных работников и инженеров : Определения. Теоремы. Формулы. М. : Наука, 1973. 832 c.
5 Тареев Б. А. Динамика бароклиных возмущений в океане. М. : МГУ, 1974. 189 c.
6 URL: https://www.smhi.se/data (дата обращения: 05.05.2024).
About the authors
E. A. Zakharchuk
Saint-Petersburg State University
Email: zakharchuk@yandex.ru
ORCID iD: 0000-0001-6079-5739
SPIN-code: 7724-4240
зав. кафедрой океанологии, доктор географических наук
Russian Federation, Saint PetersburgV. N. Sukhachev
Saint-Petersburg State University; N. N. Zubov State Oceanographic Institute
Author for correspondence.
Email: Syhachev@mail.ru
ORCID iD: 0000-0003-4821-4342
научный сотрудник
Russian Federation, Saint Petersburg; MoscowN. A. Tikhonova
Saint-Petersburg State University; N. N. Zubov State Oceanographic Institute
Email: i@ntikhonova.ru
ORCID iD: 0000-0002-4546-4920
SPIN-code: 9870-7279
доцент кафедры океанологии, и. о. завлабораторией, доктор географических наук
Russian Federation, Saint Petersburg; MoscowReferences
- Ekman M., Stigebrandt A. Secular change of the seasonal variation in sea level and of the pole tide in the Baltic Sea // Journal of Geophysical Research: Oceans. 1990. Vol. 95, iss. C4. P. 5379–5383. https://doi.org/10.1029/jc095ic04p05379
- Медведев И. П. Сезонные колебания уровня Балтийского моря // Метеорология и гидроло-гия. 2014. № 12. С. 42–54. EDN TACMRT.
- Gill A. E., Niller P. P. The theory of the seasonal variability in the ocean // Deep-Sea Research and Oceanographic Abstracts. 1973. Vol. 20, iss. 2. P. 141–177. https://doi.org/10.1016/0011-7471(73)90049-1
- Leppäranta M., Myrberg K. Physical oceanography of the Baltic Sea. Berlin ; Heidelberg : Sprin-ger, 2009. 378 p. https://doi.org/10.1007/978-3-540-79703-6
- Гидрометеорология и гидрохимия морей СССР. Том 3. Балтийское море. Вып. I. Гидроме-теорологические условия / под ред. Ф. С. Терзиева, В. А. Рожкова, А. И. Смирновой. СПб. : Гидрометеоиздат, 1992. 449 с. (Проект «Моря СССР»).
- Cheng Y., Xu Q., Li X. Spatio-temporal variability of annual sea level cycle in the Baltic Sea // Re-mote Sensing. 2018. Vol. 10, iss. 4. 528. https://doi.org/10.3390/rs10040528
- Männikus R., Soomere T., Viška M. Variations in the mean, seasonal and extreme water level on the Latvian coast, the eastern Baltic Sea, during 1961–2018 // Estuarine, Coastal and Shelf Science. 2020. Vol. 245. 106827. https://doi.org/10.1016/j.ecss.2020.106827
- Seasonal fluctuations in Baltic sea level determined from satellite altimetry / E. A. Zakharchuk [et al.] // Continental Shelf Research. 2022. Vol. 249 104863. https://doi.org/10.1016/j.csr.2022.104863
- Стационарное и нестационарное описание сезонной изменчивости уровня Балтийского моря по данным мареографических измерений / Е. А. Захарчук [и др.] // Морской гидрофизиче-ский журнал. 2022. Т. 38, № 6. С. 655–678. EDN XXKFYV. https://doi.org/10.22449/0233-7584-2022-6-655-678
- Lisitzin E. Sea-Level Changes. Amsterdam : Elsevier Scientific Publishing Company, 1974. 286 p.
- Plag H.-P., Tsimplis M. N. Temporal variability of the seasonal sea-level cycle in the North Sea and Baltic Sea in relation to climate variability // Global and Planetary Change. 1999. Vol. 20, iss. 2–3. P. 173–203. https://doi.org/10.1016/S0921-8181(98)00069-1
- Hünicke B., Zorita E. Trends in the amplitude of Baltic Sea level annual cycle // Tellus A: Dynamic Meteorology and Oceanography. 2008. Vol. 60, iss. 1. P. 154–164. https://doi.org/10.1111/j.1600-0870.2007.00277.x
- Stramska M., Kowalewska-Kalkowska H., Świrgoń M. Seasonal variability in the Baltic Sea level // Oceanologia. 2013. Vol. 55, iss. 4. P. 787–807. https://doi.org/10.5697/oc.55-4.787
- Johansson M. M., Kahma K. K. On the statistical relationship between the geostrophic wind and sea level variations in the Baltic Sea // Boreal Environment Research. 2016. Vol. 21. P. 25–43.
- Barbosa S. M., Donner R. V. Long-term changes in the seasonality of Baltic sea level // Tellus A: Dynamic Meteorology and Oceanography. 2016. Vol. 68. 30540. https://doi.org/10.3402/tellusa.v68.30540
- Łabuz T. A., Kowalewska-Kalkowska H. Coastal erosion caused by the heavy storm surge of No-vember 2004 in the southern Baltic sea // Climate Research. 2011. Vol. 48, no. 1. P. 93–101. https://doi.org/10.3354/cr00927
- Sea level dynamics and coastal erosion in the Baltic Sea region / R. Weisse [et al.] // Earth System Dynamics. 2021. Vol. 12, iss. 3. P. 871–898. https://doi.org/10.5194/esd-12-871-2021
- Гордеева C. М., Малинин В. Н. Изменчивость морского уровня Финского залива. СПб. : РГГМУ, 2014. 178 с. EDN VWABFU.
- Samuelsson M., Stigebrandt A. Main characteristics of the long-term sea level variability in the Baltic sea // Tellus A: Dynamic Meteorology and Oceanography. 1996. Vol. 48, iss. 5. P. 672–683. https://doi.org/10.3402/tellusa.v48i5.12165
- Gustafsson B. G., Andersson H. C. Modeling the exchange of the Baltic Sea from the meridional atmospheric pressure difference across the North Sea // Journal of Geophysical Research: Oceans. 2001. Vol. 106, iss. C9. P. 19731–19744. https://doi.org/10.1029/2000jc000593
- Ekman M. The changing level of the Baltic sea during 300 years: A clue to understanding the Earth. Summer Inst. for Historical Geophysics, 2009. 155 p.
- Захарчук Е. А., Тихонова Н. А. О пространственно-временной структуре и механизмах фор-мирования невских наводнений // Метеорология и гидрология. 2011. № 8. С. 54–64. EDN NXUMIN.
- Spatiotemporal structure of Baltic free sea level oscillations in barotropic and baroclinic conditions from hydrodynamic modelling / E. A. Zakharchuk [et al.] // Ocean Science. 2021. Vol. 17, iss. 2. P. 543–559. https://doi.org/10.5194/os-17-543-2021
- Ekman M. A common pattern for interannual and periodical sea level variations in the Baltic Sea and adjacent waters // Geophysica. 1996. Vol. 32, iss. 3. P. 261–272.
- Chelton D. B., Schlax M. G. Global observations of oceanic Rossby waves // Science. 1996. Vol. 272, iss. 5259. P. 234–238. https://doi.org/10.1126/science.272.5259.234
- Döös K. Influence of the Rossby waves on the seasonal cycle in the tropical Atlantic // Journal of Geophysical Research: Oceans. 1999. Vol. 104, iss. C12. P. 29591–29598. https://doi.org/10.1029/1999jc900126
- Белоненко Т. В., Захарчук Е. А., Фукс В. Р. Градиентно-вихревые волны в океане. СПб. : Издательство Санкт-Петербургского государственного университета, 2004. 212 с. EDN QKFERR.
- Yuan D., Han W. Roles of equatorial waves and western boundary reflection in the seasonal circu-lation of the equatorial Indian Ocean // Journal of Physical Oceanography. 2006. Vol. 36, iss. 5. P. 930–944. https://doi.org/10.1175/JPO2905.1
- Coherent modulation of the sea-level annual cycle in the United States by Atlantic Rossby waves / F. M. Calafat [et al.] // Nature Communications. 2018. Vol. 9. 2571. https://doi.org/10.1038/s41467-018-04898-y
- Bretherton F. P., Davis R. E., Fandry C. B. A technique for objective analysis and design of oceanographic experiments applied to MODE-73 // Deep-Sea Research and Oceanographic Ab-stracts. 1976. Vol. 23, iss. 7. P. 559–582. https://doi.org/10.1016/0011-7471(76)90001-2
- DUACS DT2014: the new multi-mission altimeter data set reprocessed over 20 years / M.-I. Pujol [et al.] // Ocean Science. 2016. Vol. 12, iss. 5. P. 1067–1090. https://doi.org/10.5194/os-12-1067-2016
- Le Traon P. Y., Nadal F., Ducet N. An improved mapping method of multisatellite altimeter data // Journal of Atmospheric and Oceanic Technology. 1998. Vol. 15, iss. 2. P. 522–534. https://doi.org/10.1175/1520-0426(1998)015<0522:AIMMOM>2.0.CO;2
- Voinov G. N. Non-tidal sea level oscillation // Polar seas oceanography : an integrated case study of the Kara Sea / V. A. Volkov [et al.]. Berlin : Springer, 2002. P. 61–77. (Springer-Praxis books in geophysical sciences).
- Тареев Б. А. Градиентно-вихревые волны на материковом склоне океана // Известия Акаде-мии наук СССР. Физика атмосферы и океана. 1971. № 4. С. 431–436.
- Ле Блон П., Майсек Л. Волны в океане : в 2-х ч. М. : Мир, 1981.
- Педлоски Д. Геофизическая гидродинамика : в 2-х т. М. : Мир, 1984.
- Динамика вод Балтийского моря в синоптическом диапазоне пространственно-временных масштабов / А. К. Гусев, Е. А. Захарчук [и др.] ; под ред. Е. А. Захарчука. СПб. : Гидроме-теоиздат, 2007. 354 с.
- Фукс В. Р. Градиентно-вихревые волны в Балтийском море // Метеорология и гидрология. 2005. № 9. С. 63–68. EDN KUITZR.
- Гилл А. Динамика атмосферы и океана : в 2 т. М. : Мир, 1986.
- Fennel W., Seifert T., Kayser B. Rossby radii and phase speeds in the Baltic Sea // Continental Shelf Research. 1991. Vol. 11, iss. 1. P. 23–36. https://doi.org/10.1016/0278-4343(91)90032-2
- Baroclinic Rossby radius of deformation in the southern Baltic Sea / R. Osiński [et al.] // Oceano-logia. 2010. Vol. 52, no. 3. P. 417–429. https://doi.org/10.5697/oc.52-3.417
- Comparative analysis of the first baroclinic Rossby radius in the Baltic, Black, Okhotsk, and Medi-terranean seas / A. Kurkin [et al.] // Russian Journal of Earth Sciences. 2020. Vol. 20. ES4008. https://doi.org/10.2205/2020ES000737
- Коняев К. В., Сабинин К. Д. Волны внутри океана. СПб. : Гидрометеоиздат, 1992. 271 с.
- Carmack E. C., Kulikov E. A. Wind-forced upwelling and internal Kelvin wave generation in Mac-kenzie Canyon, Beaufort Sea // Journal of Geophysical Research: Oceans. 1998. Vol. 103, iss. C9. P. 18447-18458. https://doi.org/10.1029/98JC00113
- De Boor C. A Practical Guide to Splines. Revised edition. New York : Springer, 1978. 348 p. (Applied Mathematical Sciences ; vol. 27).
- Войнов Г. Н. Способ расчета сезонной изменчивости основных волн приливов при их малой величине (на примере Балтийского моря) // Проблемы Арктики и Антарктики. 2012. № 3. С. 101–109. EDN PMIUVD.
- Liblik T., Lips U. Stratification has strengthened in the Baltic sea – an analysis of 35 years of ob-servational data // Frontiers in Earth Science. 2019. Vol. 7. 174. https://doi.org/10.3389/feart.2019.00174
- Литина Е. Н., Захарчук Е. А., Тихонова Н. А. Динамика гипоксийных зон в Балтийском мо-ре на рубеже XX и XXI веков // Водные ресурсы. 2020. Т. 47, № 3. С. 322–329. EDN LLGKAS. https://doi.org/10.31857/s0321059620030098
- Salinity dynamics of the Baltic Sea / A. Lehmann [et al.] // Earth System Dynamics. 2022. Vol. 13, iss. 1. P. 373–392. https://doi.org/10.5194/esd-13-373-2022
- Максимов И. В., Карклин В. П. Полюсный прилив в Балтийском море // Доклады Академии наук СССР. 1965. Т. 161, № 3. С. 580–582.
- Медведев И. П., Рабинович А. Б., Куликов Е. А. Полюсный прилив в Балтийском море // Океанология. 2014. Т. 54, № 2. С. 137–148. 137–148. EDN RYWABF. https://doi.org/10.7868/S0030157414020178
Supplementary files









