Investigation of the relationship between partial pressure of carbon dioxide and sea surface temperature in the cyclic seasonal variations in the Black Sea
- Authors: Sergeev D.A.1,2, Troitskaya Y.I.1, Ermakova O.S.1, Orekhova N.A.3
-
Affiliations:
- Federal Research Center A. V. Gaponov-Grekhov Institute of Applied Physics, Russian Academy of Sciences
- Lobachevsky State University of Nizhni Novgorod
- Marine Hydrophysical Institute, Russian Academy of Sciences
- Issue: Vol 40, No 6 (2024)
- Pages: 805-820
- Section: Analysis of observations and methods of calculating Hydrophysical fields in the ocean
- URL: https://medbiosci.ru/0233-7584/article/view/278308
- EDN: https://elibrary.ru/NODXEW
- ID: 278308
Cite item
Full Text
Abstract
Purpose. The purpose of the study consists in describing the parameterization based on the field data which take into account the relationship between the variability of pCO2 sw and the state of surface water layer depending on the sea surface temperature and allowing for geographical location and seasonality at the example of the Black Sea.
Methods and Results. The main seasonal trends of changes in pCO2 related to the variations in sea surface temperature are proposed based on special processing of direct measurement data on pCO2 of the surface layer obtained in the cruises of R/V “Professor Vodianitsky” in 2015–2023 and at the stationary observation point of the Black Sea hydrophysical subsatellite polygon (BSHSP), Katsiveli, in 2012–2022. The basic approach consists in describing the variations in pCO2 sw distribution over the sea surface using the linear approximations (trends) for three fixed seasons represented by four months (January – April, May – August and September – December) in each of the grid cells. It is shown that both in the coastal zone and in the open sea, the hysteresis dependences of pCO2 upon the sea surface temperature are manifested: the ratios of partial pressure and temperature during the periods of spring warming and autumn cooling are different. The reason for the observed hysteresis is related to a shift of the pCO2 sw fluctuation phase and a temperature change of about 1.5–2 months.
Conclusions. The dependence of pCO2 upon the sea surface temperature in an autumn-winter period turns out to be close to the dependences typical for the oceanic conditions in mid latitudes of the Northern Hemisphere (the Atlantic and Pacific oceans). This can indicate the universal mechanisms of influence of the sea surface temperature (SST) upon pCO2 sw both for the local conditions in the Black Sea and for the open ocean during a certain seasonal period. Besides, such a similarity of dependences can mean that, most likely, SST directly conditions a value of pCO2 sw, whereas biological activity is not a determining factor. The obtained results can be used for describing and studying the variations of the CO2 sea – air fluxes in the Black Sea.
Keywords
Full Text
Введение
Разработка методов и подходов к получению оценок глобального потока углекислого газа (CO2) между атмосферой и гидросферой нашей планеты и, в первую очередь, Мировым океаном, является важнейшей частью комплексных исследований углеродного цикла Земли.
При сопоставлении оценок предполагаемой годовой эмиссии CO2, связанной только с антропогенной деятельностью, c оценками чистого поглощения CO2 сушей и гидросферой нашей планеты и наблюдаемым темпом увеличения содержания CO2, в атмосфере наблюдается дисбаланс [1–3]. Величина этого дисбаланса, по оценкам разных авторов, также разнится и может составлять 10–50% [2, 3]. По данным авторов работы [3], дисбаланс, оцениваемый для каждого года начиная с 1960 г., колеблется от +3 до ‒2 ПгC/год (1 ПгC = 1015 г в пересчете на чистый углерод). Подобные значения сопоставимы с примерными средними оценками объемов годового поглощения CO2 океаном – порядка 2 ПгC/год (за период 1990–2020 гг. по данным 5-го и 6-го докладов межгосударственной комиссии по изменению климата 1, 2). Высокая погрешность около ± 0,5 ПгC/год (указан 90%-ный доверительный интервал) демонстрирует сложности с корректностью оценки этой весьма важной составляющей цикла углерода нашей планеты. При этом к 2023 г., согласно результатам исследований [2], рассчитанный для 2013–2022 гг. дисбаланс по СО2 снизился до ‒0,4 ПгС/год, что составляет 10% от общего бюджета углерода. Однако для получения оценок глобального потока CO2 между атмосферой и океаном применяют разные подходы, что и может приводить к таким различиям в величине дисбаланса:
- расчеты с использованием трехмерных (3D) моделей глобальной биогеохимической циркуляции океана, учитывающих взаимодействие с атмосферой (Global Circulation model – GCM) [4–9];
- 3D-модели атмосферной инверсии CO2, базирующиеся на косвенном анализе данных долговременных наблюдений на сетях наземных измерительных датчиков [10–13] и методах дистанционного зондирования [14];
- методы расчета потока СО2 [15, 16], основанные на данных о пространственно-временной динамике парциального давления CO2 в приповерхностном слое океана (pCO2 sw) и в приводном слое атмосферы (pCO2 air), используемых в модели скорости газообмена k через границу раздела вода – атмосфера. Этот подход учитывает зависимость от гидрометеорологических факторов и коэффициента растворимости α:
F = kαΔpCO2 = kα(pCO2 sw ‒ pCO2 air). (1)
Последний подход потенциально имеет наибольшую точность, однако результаты, полученные с его использованием, сильно зависят от качества натурных данных и модели скорости газообмена.
Важную роль для корректной оценки потоков СО2 играет выбор модели скорости газообмена. Скорость газообмена k зависит от физико-химических свойств (растворимости и диффузионной способности D) газа и условий атмосферы и океана. Исследования показали, что скорость газообмена также определяется турбулентностью в пограничных микрослоях воздуха и воды, которая возникает под действием ветрового напряжения [17, 18]. В связи с этим параметр k обычно параметризуется через скорость ветра на высоте 10 м (U10), а также параметры волнения. Поскольку измерение волн в натурных условиях обычно затруднено, наиболее простые модели не включают параметры волнения и неявно учитывают их связь со скоростью ветра. К таким моделям относится, например, широко используемая эмпирическая формула для скорости газообмена, предложенная в [19]:
,
где Sc – число Шмидта, равное отношению кинематической вязкости воды к диффузионной способности газа; t – температура воды в °С. Этот подход для оценки потоков СО2 широко используется для Черного моря.
Особое значение для корректной оценки потоков газов имеет однородность распределения рСО2 в приповерхностном слое океана во времени и пространстве (по всему Мировому океану). Несмотря на существенное увеличение в последнее десятилетие количества проводимых судовых измерений, установку новых измерительных систем на крупных стационарных платформах и централизованное пополнение базы данных атласа распределения парциального давления в верхнем слое Мирового океана SOCAT, размещенной на сайте https://socat.info/, эти данные пока еще оцениваются как скудные 1, 2. Это связано, прежде всего, со значительной пространственно-временной неоднородностью заполнения.
Для заполнения без «пробелов» данных с заданным пространственным и временным разрешением на основе имеющихся результатов измерений применяются различные подходы, включающие как классические 2D транспортные модели в приповерхностном слое [1], так и новые методы, основанные на использовании нейронных сетей и методов машинного обучения [20–28]. Однако вследствие недостаточного количества исходных данных итоговое разрешение, в первую очередь пространственное, остается недостаточным для определения баланса источников и стоков углерода в земной системе.
Развитие спутниковых методов позволяет получить оценки потока СО2 для всего Мирового океана, однако они являются косвенными и для валидации спутниковых измерений все равно требуются прямые наблюдения, наличие которых ограничено [29, 30]. Так или иначе, для определения потока газа по спутниковым данным необходимо знать концентрации СО2 как на поверхности океана, так и в приводном слое атмосферы, также нужен коэффициент газопереноса [30]. К сожалению, ни один из этих параметров непосредственно из спутниковых данных не определяется. В этом случае параметризация связи рСО2 с температурой поверхности моря (ТПМ) может облегчить задачу доступности данных.
Особенно высока неопределенность потоков CO2 в прибрежной зоне и внутренних морях, являющихся более динамичными в масштабах Мирового океана системами. В таких экосистемах влияние динамики вод, температурных вариаций и интенсивности продукционно-деструкционных процессов на баланс углерода проявляется гораздо значительнее и быстрее, чем в открытом океане [31, 32].
Наиболее перспективными для корректной балансовой оценки являются подходы, направленные на построение моделей, в основе которых используются натурные данные, учитывающие связь изменчивости величины рСО2 sw с состоянием приповерхностного слоя воды в широком диапазоне изменения условий, в том числе ТПМ с учетом географического расположения, сезонности и т. д. Впервые такая модель была использована в работе [33], где на основе базы данных среднемесячных значений распределения рСО2 sw на равномерной сетке, покрывающей всю поверхность Мирового океана (свободную от льда) [15], были предложены алгоритмы построения эмпирических зависимостей pCO2 sw от Tsw – температуры поверхности океана. Основной подход указанной работы заключался в описании вариаций распределения pCO2 sw по поверхности с помощью линейных аппроксимаций (трендов) для трех фиксированных сезонов по четыре месяца (январь – апрель, май – август, сентябрь – декабрь) в каждой из ячеек сетки.
В работе [34] этот метод был существенно модифицирован: авторы отказались от фиксированного количества сезонов (оно может изменяться в диапазоне 1–4) и использовали минимальную длительность сезонов сроком три месяца, для которых снова подбираются линейные аппроксимации зависимости pCO2 sw от Tsw. При этом количество используемых линейных аппроксимаций и длительность сезонов выбирались исходя из критерия получения максимального коэффициента корреляции при аппроксимации данных (pCO2 sw и Tsw). Модифицированный таким образом метод применялся для обработки обновленной базы данных, содержащей сведения о рСО2 sw [16]. Как показали результаты [34], этот сравнительно простой подход позволил описать до 70% вариаций потока CO2 между атмосферой и океаном, полученных по результатам GCM-моделирования [7] и данным долговременных измерений на нескольких морских платформах.
Цель настоящей работы – использование аналогичного подхода для описания сезонных вариаций pCO2 sw в Черном море и параметризация на основе натурных данных, которые учитывают связь изменчивости величины рСО2 sw с состоянием приповерхностного слоя воды в зависимости от температуры поверхности вод с учетом географического расположения и сезонности.
Материалы и методы исследований
В работе использовались данные натурных измерений двух разных типов. Во-первых, данные судовых измерений рСО2 поверхностного слоя вод, выполненных на НИС «Профессор Водяницкий» (рейсы № 81, 87, 89, 91, 94, 95, 98, 101, 102, 108, 114, 117, 119, 125, 126) в период с ноября 2015 г. по март 2023 г. и охватывающих все гидрологические сезоны, за исключением зимнего периода (январь, февраль). Во-вторых, данные измерений, полученные с мая 2012 г. по октябрь 2022 г. на стационарном пункте наблюдений за потоком углекислого газа, расположенном на океанографической платформе Черноморского гидрофизического подспутникового полигона (ЧГПП, пгт Кацивели). С учетом принципиально разных условий проведения измерений (их частоты в пространственно-временном масштабе, а также удаленности от берега) судовые данные и данные, полученные на платформе, обрабатывались отдельно. Район исследования и схема точек отбора проб показаны на рис. 1.
Рис. 1. Район работ и точки отбора проб для определения рСО2 sw и сопутствующих гидрометеорологических условий, полученные на НИС «Профессор Водяницкий» и стационарном пункте наблюдений ЧГПП
Fig. 1. Study area and sampling points for determining pCO2 sw and the associated hydrometeorological conditions obtained at the R/V “Professor Vodyanitsky” and BSHSP stationary observation point
Гидрологические характеристики (температура и соленость поверхностного слоя вод) на НИС «Профессор Водяницкий» определялись с помощью зондирующих комплексов Sea-Bird 911 plus CTD или IDRONAUT OCEAN SEVEN 320PlusM, а на станциях с глубиной менее 50 м использовался гидрологический CTD‑зонд ГАП‑АК-16. Те же самые характеристики на стационарном пункте наблюдений ЧГПП получены с помощью гидрологического зонда CTD48М (Sea & Sun Technology). Во всех случаях пробы поверхностного слоя вод (1,5–3,0 м) отбирали с помощью погружного насоса.
Объемную концентрацию и pCO2 определяли с помощью инфракрасного анализатора LI-7000. Диапазон измеряемых концентраций CO2 составляет 0–3000 мкмоль/моль с погрешностью 1% от измеряемого значения [35]. Ежедневно выполнялась калибровка прибора по двум точкам – чистому аргону (СО2 = 0 мкмоль/моль) и аттестованной поверочной смеси с объемной долей CO2, равной 440 мкмоль/моль. В качестве газа-носителя использовался аргон высшего сорта. Пересчет концентрации СО2 (мкмоль/моль) в парциальное давление углекислого газа (мкатм) проводится по следующей формуле:
pCO2 = x(CO2) pатм, (2)
где x(CO2) – концентрация углекислого газа; pатм – атмосферное давление. Полное описание расчета приведено в 3.
Параллельно с рСО2 sw в приводном слое атмосферы с помощью регистрирующей аппаратуры комплекса сбора гидрометеорологических данных [36] измерялись сопутствующие метеорологические параметры – скорость ветра, атмосферное давление, температура воздуха. Данные прошли контроль качества с отбраковкой ненадежных фрагментов и приведены к стандартной высоте наблюдения (10 м). Согласно рекомендациям Всемирной метеорологической организации, измеренные параметры осреднялись за 10 мин и дальнейший анализ проводился уже для осредненных величин [36].
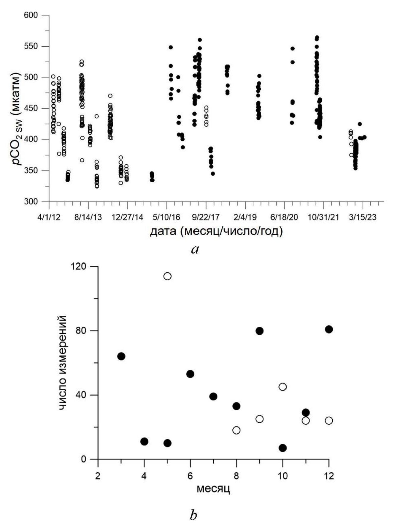
Получены данные о 395 измерениях с судна и 250 – со стационарного пункта наблюдений ЧГПП. На рис. 2 показаны все результаты измерения pCO2 sw. На этих зависимостях хорошо видно, что данные распределены очень неоднородно как по годам, так и по сезонам.
Рис. 2. Результаты измерений рСО2 sw: за весь период наблюдений (а) и количество измерений по месяцам (b). Темные кружочки – судовые измерения, светлые – измерения, выполненные на стационарном пункте наблюдений ЧГПП
Fig. 2. Results of pCO2 sw measurements: for the whole observation period (a) and a number of measurements by months (b). Dark circles denote the ship measurements, light ones – the measurements taken at the BSHSP stationary observation point
Отсутствуют данные за январь и февраль, что связано со сложностями проведения экспедиционных исследований. Кроме того, ограничено число данных в весенний период. Наибольшее количество данных получено летом и в начале осени, что связано с благоприятными условиями для проведения экспедиционных работ. Учитывая такую сильную неоднородность по времени в связи с малым количеством данных, было принято решение не проводить разделение по пространству для судовых измерений и объединить данные, полученные в разных точках акватории Черного моря. Кроме того, как показано в работе [37], данные рСО2 поверхностного слоя вод, шельфового и глубоководного районов Черного моря статистически не отличаются.
Результаты и обсуждение
По причине недостаточного количества данных выявить корреляции между сезонными изменениями pCO2 sw и Tsw по результатам исследований в какой-либо отдельный год за указанные выше периоды не представляется возможным. В связи с этим, по аналогии с работой [16], все данные пересчитываются на один из выбранных (центральных) годов. При обработке данных для обоих типов измерений в качестве центрального был взят 2019 г. Данные за этот год использовались без корректировки, а данные, полученные в другие годы, корректировались с учетом межгодового тренда концентрации СО2 в атмосфере. Корректная оценка межгодового тренда рСО2 sw является важным моментом. Малое количество данных и их неравномерное распределение по сезонам не позволяет получить корректную оценку. В работе [16], где были проанализированы данные почти за 50 лет наблюдений, отмечено, что при осреднении данных по площади всего океана в пределах доверительных интервалов (~ 30%) глобальные тренды увеличения рСО2 в океане и атмосфере совпадают. На основе этого в работе [34] выдвигалось предположение, что наблюдаемые изменения pCO2 могут быть описаны как суперпозиция глобального атмосферного тренда и вариаций, связанных с изменением температуры воды Tsw. С учетом этого был использован тренд 2,4 мкатм/год для рСО2 в атмосфере по данным измерений за десятилетие 2012–2022 гг. в обсерватории Mauna Loa (Гавайи). Эта оценка также близка к оценке, определенной по данным реанализа NCEP за 2015–2022 гг. для Черного моря.
После приведения таким образом всех данных к 2019 г. рассчитывались средние значения и стандартное отклонение для измеряемых параметров – рСО2 и температуры поверхностного слоя вод для каждого месяца.
Предварительный анализ позволил выделить три характерных сезонных тренда зависимости рСО2 sw от температуры, которые образуют цикл сезонного изменения парциального давления (рис. 3, а).
Рис. 3. Зависимости среднемесячного pCO2 sw от ТПМ (все данные сведены к 2019 г.) (а) и периодически продолженные зависимости pCO2 sw (черная линия) и ТПМ (красная линия) от времени (b)
Fig. 3. Dependences of the monthly average pCO2 sw on SST (all the data are reduced to 2019) (a), and periodically continued dependences of pCO2 sw (black line) and SST (red line) upon time (b)
На рис. 3, а используются следующие обозначения: черные кружочки – по данным измерений с судна, красные – со стационарного пункта наблюдений ЧГПП; линии – результаты линейной аппроксимации по выделенным сезонным периодам: зеленая – для конца зимы – конца весны, красная – для конца весны – конца лета, синяя – для конца лета – осени – начала зимы; сплошные линии – для данных судовых измерений, штриховые – для данных с платформы; светлые кружочки – данные для Атлантического океана, треугольники – для Тихого (данные для океанов взяты из работы [34]) с соответствующими линейными аппроксимациями.
Первый тренд – резкий рост рСО2 sw с ростом температуры в середине/конце весны (конец марта – апрель – середина мая). К сожалению, данных, полученных в это время года, мало, однако восходящий тренд очевиден. Далее в летний период (июнь – август) происходит очень медленный рост рСО2 sw при значимом росте температуры. И, наконец, с сентября по декабрь наблюдается плавное (по сравнению с весной) уменьшение концентрации СО2 при снижении температуры. Таким образом, зависимость рСО2 sw от температуры воды носит гистерезисный характер: одному и тому же значению температуры воды соответствуют различные значения рСО2 sw в весенний и осенний периоды. Если построить зависимости pCO2 и Tsw от времени и продолжить полученную периодическую зависимость с периодом 12 мес (рис. 3, b), то становится понятна причина наблюдаемого гистерезиса. Она связана со сдвигом фазы колебаний рСО2 sw и изменением температуры примерно на 1,5 – 2 месяца.
Кроме того, стоит отметить крайне неоднородное распределение данных по сезонам. Так, например, в апреле получено мало данных и они соответствуют либо началу, либо концу месяца, т. е., скорее, относятся к марту или маю соответственно. Аналогичная ситуация с данными за октябрь, которые можно объединить с полученными в сентябре. Для августа средняя ТПМ при измерениях оказалась почти на два градуса выше средней ТМП за 2019 г. Причина этого также заключается в небольшом количестве измерений, которые выполнялись в начале месяца и только в дневное время.
По результатам обработки для всех трех сезонных участков были определены линейные аппроксимации. Следует отметить, что для весеннего (зеленая прямая) и зимнего (синяя) периодов они пересекаются в точке, температура для которой соответствует 7,6°С, что всего на 0,2°С меньше, чем средняя ТПМ для февраля 2019 г. Это свидетельствует в пользу корректности построенных аппроксимаций. То есть точки углов на рис. 3 соответствуют «треугольному» циклу сезонных изменений, и их можно отнести к февралю, концу мая – началу июня и августу.
Аналогичная обработка была выполнена и для данных, полученных со стационарного пункта наблюдений ЧГПП. Здесь следует отметить небольшое количество данных в летний (только в августе) и весенний (только в мае) периоды. При этом имелось значительное количество данных в осенний период и в начале зимнего. Для сравнения с данными судовых измерений данные с пункта наблюдений ЧГПП были скорректированы по 2019 г. с тем же коэффициентом изменения рСО2 в атмосфере и осреднены для каждого месяца. Наибольшее отличие по месяцам между измерениями в экспедициях на НИС «Профессор Водяницкий» и на стационарном пункте наблюдений в пгт Кацивели наблюдалось в данных за май, при этом следует отметить и очень большой разброс данных.
Основываясь на вышеизложенном, можно предположить, что наиболее значимые изменения характера зависимости происходят в течение мая – июня. Так как данные за январь – апрель для стационарного пункта наблюдений отсутствуют, то аппроксимация весеннего периода (зеленая штриховая прямая) была взята как прямая линия, соединяющая точку, соответствующую маю, и точку на синей штриховой прямой, где температура воды примерно соответствует средней температуре за февраль 2019 г. для района расположения стационарного пункта наблюдений (7,6°С). Сопоставление продемонстрировало, что, несмотря на недостаток данных в весенне-летний период и сильный разброс в мае, общий характер циклической сезонной зависимости рСО2 sw от ТПМ сохранился (рис. 3, а).
С учетом полученных данных «треугольник» сезонных изменений для данных со стационарного пункта наблюдений несколько сместился вниз и в бок (практически параллельный перенос), что связано помимо прочего с более высокой средней температурой воды в прибрежной зоне.
Выявленное сходство поведения зависимости рСО2 sw от температуры для измерений со стационарного пункта наблюдений и многочисленных судовых измерений, выполненных более чем за 10 последних лет, свидетельствует об универсальном характере зависимости для всего Черного моря.
Также построенные зависимости среднемесячного рСО2 sw от температуры поверхностного слоя вод были сопоставлены с аналогичными зависимостями, полученными ранее для открытого океана по данным из работы [34]. Сопоставление продемонстрировало, что если для периода конца зимы – весны – середины лета не удалось найти сходства, то для периода конца лета – осени – начала зимы в субтропических и умеренных зонах Атлантического и Тихого океанов Северного полушария тренды изменения весьма близки друг к другу (рис. 3, а). Так, в Черном море тренд составил ~ 8,8 мкатм/градус, в Атлантическом океане 10,1 мкатм/градус, в Тихом океане 7,9 мкатм/градус. Это может говорить об универсальных механизмах влияния ТПМ на рСО2 sw как для локальных условий Черного моря, так и для открытого океана в этот сезонный период.
Тренды зависимости рСО2 sw от температуры, определенные по среднемесячным данным, приведенным к 2019 г.
Trends in the dependence of pCO2 sw on temperature determined based on monthly average data regarding to 2019
Месяц / Month | По данным экспедиционных исследований НИС «Профессор Водяницкий» / Based on expedition data obtained at “Professor Vodyanitsky” | По данным, полученным на стационарном пункте наблюдений ЧГПП / Based on data obtained at BSHSP stationary point |
Январь / January | рСО2 sw = 8,85·T + 253,30 (данных за январь нет, это предположение) / (no data for January, it is an assumption) | рСО2 sw = 8,75·T + 237,76 (данных за январь нет, это предположение) / (no data for January, it is an assumption) |
Февраль / February | рСО2 sw = 8,85·T + 253,30 (данных за февраль нет, это предположение) / (no data for February, it is an assumption) | ?? (зависимость не определена) / (dependence is not defined) |
Март / March | рСО2 sw = 27,16·T + 142,73 | ?? (зависимость не определена) / (dependence is not defined) |
Апрель / April | рСО2 sw = 27,16·T + 142,73 | ?? (зависимость не определена) / (dependence is not defined) |
Май / May | рСО2 sw = 27,16·T + 142,73 рСО2 sw = 0,44·T + 487,47 | ?? (зависимость не определена) / (dependence is not defined) рСО2 sw = 2,29·T + 427,42 |
Июнь / June | рСО2 sw = 0,44·T + 487,47 | рСО2 sw = 2,29·T + 427,42 |
Июль / July | рСО2 sw = 0,44·T + 487,47 | рСО2 sw = 2,29·T + 427,42 |
Август / August | рСО2 sw = 0,44·T + 487,47 рСО2 sw = 8,85·T + 253,30 | рСО2 sw = 2,29·T + 427,42 рСО2 sw = 8,75·T + 237,76 |
Сентябрь / September | рСО2 sw = 8,85·T + 253,30 | рСО2 sw = 8,75·T + 237,76 |
Октябрь / October | рСО2 sw = 8,85·T + 253,30 | рСО2 sw = 8,75·T + 237,76 |
Ноябрь / November | рСО2 sw = 8,85·T + 253,30 | рСО2 sw = 8,75·T + 237,76 |
Декабрь / December | рСО2 sw = 8,85·T + 253,30 | рСО2 sw = 8,75·T + 237,76 |
Примечание. Обозначенный цвет соответствует линиям на рис. 3, а. Ячейки таблицы, соответствующие маю и августу, выделены серым, так как в них сходятся две аппроксимации.
Note: The color corresponds to the lines in Fig. 3, a. The table cells corresponding to May and August are highlighted in gray since two approximations converge in them.
Формулы всех линейных аппроксимаций, полученных при обработке данных, представлены в таблице. В основе лежит формула линейной аппроксимации зависимости парциального давления от температуры воды с учетом глобального тренда концентрации СО2 в атмосфере. С использованием полученных зависимостей можно оценить среднемесячную разность рСО2 на границе раздела поверхностный слой вод – атмосфера для произвольного месяца произвольного года следующим образом:
, (3)
при этом данные по рСО2 для атмосферы могут быть взяты на основе реанализа (по аналогии с [38]) либо получены непосредственно прямым измерением.
Для вычисления среднего за месяц потока CO2 через морскую поверхность, найденного таким образом, градиент рСО2 между поверхностным слоем вод и приводным слоем атмосферы нужно умножить на скорость газообмена и растворимость согласно уравнению (1).
Заключение
В работе на основе специальной обработки данных прямых измерений рСО2 sw, проведенных в экспедиционных условиях на НИС «Профессор Водяницкий» (2015–2023) и на стационарном пункте наблюдений ЧГПП (2012–2022), предложены зависимости, связывающие сезонные вариации рСО2 sw с сезонными изменениями ТПМ. В результате получен цикл с быстрым ростом pCO2 sw весной, незначительным ростом летом и плавным уменьшением осенью – зимой. Зависимость рСО2 sw от температуры воды носит гистерезисный характер: одному и тому же значению температуры воды соответствуют различные значения рСО2 sw в весенний и осенний периоды. Эта зависимость связана со сдвигом фазы колебаний рСО2 sw и изменением температуры примерно на 1,5–2 месяца.
Подобный тип этого цикла был независимо продемонстрирован по результатам обработки измерений, выполненных как с судна, так и с платформы. Интересно, что тренд спада в осенне-зимний и зимний периоды оказался близким по значению тренду, который наблюдался в условиях открытого океана умеренных и субтропических широт Северного полушария. В этом случае, скорее всего, ТПМ напрямую определяет величину рСО2 sw, а биологическая активность не является определяющим фактором.
В свою очередь резкий рост рСО2 sw весной требует дальнейшего исследования для интерпретации, что обусловлено, прежде всего, ограниченным количеством натурных данных. Однако также можно утверждать, что по крайней мере биологические процессы, связанные с фотосинтезом, в данном случае не играют определяющей роли, иначе мы имели бы не положительный, а отрицательный тренд. Отрицательных трендов, когда наблюдается уменьшение рСО2 sw с ростом температуры или наоборот, выявить пока не удалось (по крайней мере на имеющемся массиве данных). В дальнейшем необходимо продолжить исследования с привлечением сопутствующих данных о происходящих биогеохимических процессах.
Полученный результат позволяет оценивать межгодовые вариации глобального потока CO2, связанные с соответствующими изменениями температуры. При этом следует еще раз подчеркнуть, что результат удалось получить, основываясь на предположении, что межгодовой тренд изменения рСО2 sw эквивалентен тренду в атмосфере нашей планеты. Это предположение также требует дальнейшего исследования (в первую очередь необходимо больше данных) с учетом того, что региональные отличия в межгодовых трендах pCO2 sw все-таки могут наблюдаться, особенно в прибрежной зоне.
Измерения рСО2 sw проведены в Центре коллективного пользования НИС «Профессор Водяницкий» Федерального государственного бюджетного учреждения науки Федерального исследовательского центра «Институт биологии южных морей имени А. О. Ковалевского РАН».
1 Global Carbon and Other Biogeochemical Cycles and Feedbacks /J. G. Canadell [et al.] // Climate Change 2021: The Physical Science Basis. Working Group I Contribution to the Sixth Assessment Report of the Intergovernmental Panel on Climate Change / Eds. V. P. Masson-Delmotte [et al.]. New York, NY, USA, Cambridge, United Kingdom : Cambridge University Press, 2023. P. 673–816. https://doi.org/10.1017/9781009157896.007
2 Carbon and Other Biogeochemical Cycles / P. Ciais [et al] // Climate Change 2013: The Physical Science Basis. Contribution of Working Group I to the Fifth Assessment Report of the Intergovernmental Panel on Climate Change / Eds. T. F. Stoker [et al.]. New York, NY, USA, Cambridge, United Kingdom : Cambridge University Press, 2013. P.465–570. https://doi.org/10.1017/CBO9781107415324.015
3 Dickson A.G., Goyet C. Handbook of methods for the analysis of the various parameters of the carbon dioxide system in sea water. Version 2. Oak Ridge, TN : Oak Ridge National Laboratory (ORNL), 1994. 198 p. https://doi.org/10.2172/10107773
About the authors
D. A. Sergeev
Federal Research Center A. V. Gaponov-Grekhov Institute of Applied Physics, Russian Academy of Sciences; Lobachevsky State University of Nizhni Novgorod
Author for correspondence.
Email: daniil@ipfran.ru
ORCID iD: 0000-0003-4910-3935
SPIN-code: 7786-0850
Scopus Author ID: 6603887343
ResearcherId: L-4569-2016
зав. лабораторией экспериментальных методов в геофизической и технической гидродинамике, кандидат. физико-математических наук
Russian Federation, Nizhny Novgorod; Nizhny NovgorodYu. I. Troitskaya
Federal Research Center A. V. Gaponov-Grekhov Institute of Applied Physics, Russian Academy of Sciences
Email: yuliya@ipfran.ru
ORCID iD: 0000-0002-3818-9211
SPIN-code: 8005-7722
Scopus Author ID: 35610090100
ResearcherId: F-1352-2015
зав. отделом нелинейных геофизических процессов, доктор физико-математических наук
Russian Federation, Nizhny NovgorodO. S. Ermakova
Federal Research Center A. V. Gaponov-Grekhov Institute of Applied Physics, Russian Academy of Sciences
Email: o.s.ermakova@mail.ru
ORCID iD: 0000-0003-0687-4000
SPIN-code: 9182-5505
Scopus Author ID: 16051997000
ResearcherId: D-3643-2015
старший научный сотрудник, лаборатория нелинейной физики природных процессов, кандидат. физико-математических наук
Russian Federation, Nizhny NovgorodN. A. Orekhova
Marine Hydrophysical Institute, Russian Academy of Sciences
Email: natalia.orekhova@mhi-ras.ru
ORCID iD: 0000-0002-1387-970X
SPIN-code: 9050-4772
Scopus Author ID: 35784884700
ResearcherId: I-1755-2017
зав. лабораторией мониторинга и исследования парниковых газов и кислорода в морской среде, отдел биогеохимии моря, кандидат географических наук
Russian Federation, SevastopolReferences
- Sarmiento J. L., Gruber N. Sinks for Anthropogenic Carbon // Physics Today. 2002. Vol. 55, iss. 8. P 30–36. https://doi.org/10.1063/1.1510279
- Global Carbon Budget 2023 / P. Friedlingstein [et al.] // Earth System Science Data. 2023. Vol. 15, iss. 12. P. 5301–5369. https://doi.org/10.5194/essd-15-5301-2023
- Trends in the sources and sinks of carbon dioxide / C. Le Quéré [et al.] // Nature Geoscience. 2009. Vol. 2, iss. 12. P. 831–836. https://doi.org/10.1038/ngeo689
- Two decades of ocean CO2 sink and variability / C. Le Qu´er´e [et al.] // Tellus B: Chemical and Physical Meteorology. 2003. Vol. 55B, iss. 2. P. 649–656. https://doi.org/10.3402/tellusb.v55i2.16719
- Obata A., Kitamura Y. Interannual variability of the sea-air exchange of CO2 from 1961 to 1998 simulated with a global ocean circulation-biogeochemistry model // Journal of Geophysical Research: Oceans. 2003. Vol. 108, iss. C11. 3337. https://doi.org/10.1029/2001JC001088
- Pacific dominance to global air-sea CO2 flux variability: A novel atmospheric inversion agrees with ocean models / G. A. McKinley [et al.] // Geophysical Research Letters. 2004. Vol. 31, iss. 22. L22308. https://doi.org/10.1029/2004GL021069
- Mechanisms governing interannual variability in upper-ocean inorganic carbon system and air-sea CO2 fluxes: Physical climate and atmospheric dust / S. C. Doney [et al.] // Deep Sea Research Part II: Topical Studies in Oceanography. 2009. Vol. 56, iss. 8–10. P. 640–655. https://doi.org/10.1016/j.dsr2.2008.12.006
- The carbon cycle in the Australian Community Climate and Earth System Simulator (ACCESS-ESM1) – Part 1: Model description and pre-industrial simulation / R. M. Law [et al.] // Geoscientific Model Development. 2017. Vol. 10, iss. 7. P. 2567–2590. https://doi.org/10.5194/gmd-10-2567-2017
- Iron fertilisation and century-scale effects of open ocean dissolution of olivine in a simulated CO2 removal experiment / J. Hauck [et al.] // Environmental Research Letters. 2016. Vol. 11, iss. 2. 024007. https://doi.org/10.1088/1748-9326/11/2/024007
- Regional changes in carbon dioxide fluxes of land and oceans since 1980 / P. Bousquet [et al.] // Science. 2000. Vol. 290, iss. 5495. P. 1342–1346. https://doi.org/10.1126/science.290.5495.1342
- CO2 flux history 1982–2001 inferred from atmospheric data using a global inversion of atmospheric transport / C. Rödenbeck [et al.] // Atmospheric Chemistry and Physics. 2003. Vol. 3, iss. 6. P. 1919–1964. https://doi.org/10.5194/acp-3-1919-2003
- Saeki T., Patra P. K. Implications of overestimated anthropogenic CO2 emissions on East Asian and global land CO2 flux inversion // Geoscience Letters. 2017. Vol. 4. 9. https://doi.org/10.1186/s40562-017-0074-7
- The Carbon Tracker Data Assimilation Shell (CTDAS) v1.0: implementation and global carbon balance 2001–2015 / I. T. van der Laan-Luijkx [et al.] // Geoscientific Model Development. 2017. Vol. 10, iss. 7. P. 2785–2800. https://doi.org/10.5194/gmd-10-2785-2017
- Inferring CO2 sources and sinks from satellite observations: Method and application to TOVS data / F. Chevallier [et al.] // Journal of Geophysical Research: Atmospheres. 2005. Vol. 110, iss. D24. D24309. https://doi.org/10.1029/2005jd006390
- Global air-sea flux of CO2: An estimate based on measurements of sea-air pCO2 difference / T. Takahashi [et al.] // Proceedings of the National Academy of Sciences of the USA. 1997. Vol. 94, iss. 16. P. 8292–8299. https://doi.org/10.1073/pnas.94.16.8292
- Climatological mean and decadal change in surface ocean pCO2, and net sea-air CO2 flux over the global oceans / T. Takahashi [et al.] // Deep Sea Research Part II: Topical Study in Oceanography. 2009. Vol. 56, iss. 8–10. P. 554–577. https://doi.org/10.1016/j.dsr2.2008.12.009
- On the parameters influencing air-water gas exchange / B. Jähne [et al.] // Journal of Geophysical Research: Oceans. 1987. Vol. 92, iss. C2. Р. 1937–1949. https://doi.org/10.1029/JC092iC02p01937
- Komori S., Nagaosa R., Murakami Y. Turbulence structure and mass transfer across a sheared air-water interface in wind-driven turbulence // Journal of Fluid Mechanics. 1993. Vol. 249. Р. 161–183. https://doi.org/10.1017/S0022112093001120
- Wanninkhof R. Relationship between wind speed and gas exchange over the ocean // Journal of Geophysical Research: Oceans. 1992. Vol. 97, iss. C5. P. 7373–7382. https://doi.org/10.1029/92JC00188
- A Global Surface Ocean fCO2 Climatology Based on a Feed-Forward Neural Network / J. Zeng [et al.] // Journal of Atmospheric and Oceanic Technology. 2014. Vol. 31, iss. 8. P. 1838–1849. https://doi.org/10.1175/jtech-d-13-00137.1
- Data-based estimates of the ocean carbon sink variability – first results of the Surface Ocean pCO2 Mapping intercomparison (SOCOM) / C. Rödenbeck [et al.] // Biogeosciences. 2015. Vol. 12, iss. 23. P. 7251–7278. https://doi.org/10.5194/bg-12-7251-2015
- A multi-decade record of high-quality fCO2 data in version 3 of the Surface Ocean CO2 Atlas (SOCAT) / D. C. E. Bakker [et al.] // Earth System Science Data. 2016. Vol. 8, iss. 2. P. 383–413. https://doi.org/10.5194/essd-8-383-2016
- Landschützer P., Gruber N., Bakker D. C. E. Decadal variations and trends of the global ocean carbon sink // Global Biogeochemical Cycles. 2016. Vol. 30, iss. 10. P. 1396–1417. https://doi.org/10.1002/2015gb005359
- Natural Variability and Anthropogenic Trends in the Ocean Carbon Sink / G. A. McKinley [et al.] // Annual Review of Marine Science. 2017. Vol. 9, iss. 1. P. 125–150. https://doi.org/10.1146/annurevmarine-010816-060529
- A comparative assessment of the uncertainties of global surface ocean CO2 estimates using a machine-learning ensemble (CSIR-ML6 version 2019a) – have we hit the wall? / L. Gregor [et al.] // Geoscientific Model Development. 2019. Vol. 12, iss. 12. P. 5113–5136. https://doi.org/10.5194/gmd-12-5113-2019
- The oceanic sink for anthropogenic CO2 from 1994 to 2007 / N. Gruber [et al.] // Science. 2019. Vol. 363, iss. 6432. P. 1193–1199. https://doi.org/10.1126/science.aau5153
- LSCE-FFNN-v1: a two-step neural network model for the reconstruction of surface ocean pCO2 over the global ocean / A. Denvil-Sommer [et al.] // Geoscientific Model Development. 2019. Vol. 12, iss. 5. P. 2091–2105. https://doi.org/10.5194/gmd-12-2091-2019
- Global trends of ocean CO2 sink and ocean acidification: an observation-based reconstruction of surface ocean inorganic carbon variables / Y. Iida [et al.] // Journal of Oceanography. 2021. Vol. 77, iss. 1. P. 323–358. https://doi.org/10.1007/s10872-020-00571-5
- Гулев С. К. Глобальные изменения климата и Мировой океан // Проблемы прогнозирования. 2023. № 6. С. 25–36. EDN NCESMX. https://doi.org/10.47711/0868-6351-201-25-36
- Распределение и потоки углекислого газа на шельфе Чукотского моря / И. И. Пипко [и др.] // Исследование Земли из космоса. 2015. № 3. С. 43–59. EDN TXUNYZ. https://doi.org/10.7868/S0205961415030094
- Bates N. R. Seawater Carbonate Chemistry Distributions Across the Eastern South Pacific Ocean Sampled as Part of the GEOTRACES Project and Changes in Marine Carbonate Chemistry Over the Past 20 Years // Frontiers in Marine Science. 2018. Vol. 5. 398. https://doi.org/10.3389/fmars.2018.00398
- The changing carbon cycle of the coastal ocean / J. E. Bauer [et al.] // Nature. 2013. Vol. 504, iss. 7478. P. 61–70. https://doi.org/10.1038/nature12857
- Low interannual variability in recent oceanic uptake of atmospheric carbon dioxide / K. Lee [et al.] // Nature. 1998. Vol. 396, iss. 6707. P. 155–159. https://doi.org/10.1038/24139
- Variability of global net sea-air CO2 fluxes over the last three decades using empirical relationships / G.-H. Park [et al.] // Tellus B: Chemical and Physical Meteorology. 2010. Vol. 62, iss. 5. Р. 352–368. https://doi.org/10.1111/j.1600-0889.2010.00498.x
- Хоружий Д. С. Использование приборного комплекса AS-C3 для определения парциального давления углекислого газа и концентрации неорганического углерода в морской воде // Экологическая безопасность прибрежной и шельфовой зон и комплексное использование ресурсов шельфа. 2010. № 23. С. 260–272. EDN WLBMPX.
- Garmashov A. Hydrometeorological Monitoring on the Stationary Oceanographic Platform in the Black Sea // Proceedings of the 20th International Multidisciplinary Scientific GeoConference SGEM 2020 (Water Resources. Forest, Marine and Ocean Ecosystems) (Albena, Bulgaria, August 18–24, 2020). Sofia, Bulgaria : SGEM World Science, 2020. Vol. 3.1. P. 171–176. https://doi.org/10.5593/sgem2020/3.1/s12.023
- Konovalov S .K., Orekhova N. A. New View of the CO2 Content in Surface Waters of the Black Sea Based on Direct Measurements // Doklady Earth Sciences. 2024. Vol. 518. P.1737–1742. https://doi.org/10.1134/S1028334X24602943
- Tracking the Variable North Atlantic Sink for Atmospheric CO2 / A. J. Watson [et al.] // Science. 2009. Vol. 326, iss. 5958. P. 1391–1393. https://doi.org/10.1126/science.1177394
Supplementary files




