Комплексная методика для исследования смазочной способности масел с твердыми микро/нанодобавками
- Authors: Тохметова А.Б.1
-
Affiliations:
- Институт машиноведения им. А.А. Благонравова РАН
- Issue: No 2 (2024)
- Pages: 44-51
- Section: НОВЫЕ ТЕХНОЛОГИИ В МАШИНОСТРОЕНИИ
- URL: https://medbiosci.ru/0235-7119/article/view/264628
- DOI: https://doi.org/10.31857/S0235711924020066
- EDN: https://elibrary.ru/QWFGIS
- ID: 264628
Cite item
Full Text
Abstract
В настоящей статье разработана комплексная методика исследования смазочной способности масел с твердыми микро/нанодобавками, включающая математические модели, позволяющие оценить температуру при сдвиге и переменной скорости в слое, рассчитан динамический градиент температуры по толщине, переменная толщина, момент трения и температура.
Full Text
В исследованиях авторов [1–15] установлено, что микро/наночастицы графита, молибденита, серпентинита, дисульфида вольфрама, наночастиц углерода обеспечивают повышение антифрикционных и противоизносных характеристик смазочных масел. В настоящее время отсутствуют методологии подбора таких композиций, поэтому создание смазочных композиций на основе масел с микро/нанодобавками проводится чисто эмпирически. Поэтому актуальной задачей становится разработка расчета толщины смазочного слоя, момента трения, температуры смазочного слоя, градиента температуры и вязкости. В качестве основы исследуемых смазочных композиций использовали полусинтетическое моторное масло Mobil Ultra SAE 10W-40. В качестве добавок использовали фуллерен С60.
На качество смазочного материала при трении оказывает влияние градиент температуры в слое смазки. При высоких скоростях скольжения снижается ресурс работы смазочного слоя, поэтому для определения средней температуры и градиента температуры по толщине смазочного слоя в настоящей статье разработаны математические модели.
Целью статьи является разработка комплексной методики исследования трибологических (антифрикционных, противоизносных), температурных и вязкостных характеристик жидких смазочных материалов, включающих твердые микро/нанодобавки, для увеличения ресурса функционирования смазочного материала, повышения его трибологических свойств и верификация с экспериментальными данными.
Методы исследования. Математическая модель для расчета средней температуры на основе энергетического баланса трения при переменной скорости сдвига в смазочном слое. Нагрев смазочного материала в парах трения скольжения влияет на качество смазочного материала. Тепловой поток, генерируемый в смазочном слое Q, находится по формуле
, (1)
где Q1, Q2 – тепловой поток, генерируемый в подвижной и неподвижной поверхности соответственно.
С использованием закона сохранения энергии мощность трения со смазкой приравняем к удельной теплоте, генерируемой в смазочном слое за один оборот t:
, (2)
где τ – напряжения сдвига; – скорость сдвига; z – координата; H – высота смазочного слоя; А – площадь контакта.
После преобразований получим математическую модель для расчета средней температуры на основе энергетического баланса пары трения при переменной скорости сдвига в смазочном слое:
. (3)
Математическая модель для расчета градиента температуры при переменной скорости сдвига в смазочном слое. Рассмотрим аналитическое и численное решение краевой задачи на основе одномерного уравнения теплопроводности. Дифференциальное уравнение теплопроводности Фурье примет вид
. (4)
Начальные и граничные условия запишутся следующим образом:
(5)
где α – коэффициент распределения теплоты между смазкой и вращающейся со скоростью поверхности. Для того чтобы дать полное математическое описание рассматриваемой задачи, необходимо еще задать физические условия однозначности. Теплофизические свойства смазочного материала:
.
Аналитическое решение краевой задачи (4), (5) получено методом преобразования Лапласа. Общее решение уравнения (4) будет иметь вид
. (6)
После подстановки граничных условий в (6) решение краевой задачи получаем в виде
. (7)
C помощью таблиц интегральных преобразований проведем обратный переход к оригиналу и получим решение краевой задачи:
(8)
Для численного решения задачи заменим дифференциальные операторы в (4) на их конечно-разностные аналоги и получим систему линейных алгебраических уравнений (СЛАУ):
(9)
Предположим, что существуют такие наборы чисел αi и βi (i = 1, N – 1), при которых
, (10)
т. е. система уравнений (9) преобразуется в двухточечное уравнение первого порядка (10):
. (11)
Таким образом,
(12)
На рис. 1 приведены результаты расчетов по поставленной задаче при α = 0.5; Н = 2 мкм через 15 мин процесса нагрева. Разница между аналитическим и численным решениями составляет 4%.
Рис. 1. Распределение температуры смазочного слоя при напряжениях сдвига с использованием неявной разностной схемы: 1 – 1 – τ = 51.72 · 104 Па; 2 – 1 – τ = 103.44 · 104 Па; 3 – 1 – τ = 155.17 · 104 Па
Математическая модель для расчета толщины смазочного слоя, момента трения и температуры смазочного слоя при переменной вязкости смазочного материала. Рассмотрим нестационарную задачу о скольжении поверхности по неподвижной поверхности, на которую нанесена вязкая жидкость. Математическая постановка задачи включает в себя систему уравнений: нестационарное уравнение Рейнольдса; уравнение давления, развиваемое в смазочном слое; уравнение Баруса и уравнение энергии. В безразмерных переменных система уравнений принимает вид
; (13)
; (14)
; (15)
; (16)
. (17)
Ниже представлены результаты расчетов параметров смазочного слоя при R = 1.4; G = 0.00015; δ = 1.8 · 10–6; Ω = 0.9 · 10–7.
Численное решение системы интегро-дифференциальных уравнений получено методом прогонки. Был разработан программный комплекс на языке программирования Delphi [16].
На рис. 2 показаны результаты расчета толщины смазочного слоя от времени.
Рис. 2. Зависимость толщины смазочного слоя от времени
В табл. 1, 2 представлены величины момента трения и температуры, полученные для смазочного материала, состоящего из масла SAE 10W-40 и фуллеренов С60. Концентрация фуллеренов в масле изменялась в пределах 0.2–2.0%.
Таблица 1. Расчетный момент трения смазочных слоев масла SAE 10W-40 при различной концентрации фуллеренов С60 и нагрузки
Концентрация фуллеренов, % | M, H·м (N = 80 H) | M, H·м (N = 200 H) |
0 | 0.28 | 0.090 |
0.2 | 0.19 | 0.070 |
0.8 | 0.18 | 0.060 |
1.0 | 0.17 | 0.050 |
1.5 | 0.15 | 0.047 |
2.0 | 0.13 | 0.040 |
Таблица 2. Расчетная температура смазочных слоев масла SAE 10W-40 при различной концентрации фуллеренов С60 и нагрузки
Концентрация фуллеренов, % | θ, °C (N = 80 H) | θ, °C (N = 200 H) |
0 | 82.6 | 73.0 |
0.2 | 66.7 | 68.0 |
0.8 | 63.8 | 64.0 |
1.0 | 58.0 | 55.8 |
1.5 | 53.0 | 51.0 |
2.0 | 50.0 | 50.0 |
Проведенные расчеты показывают, что увеличение концентрации фуллерена в масле снижало момент трения в среднем в 2.2 раза при нагрузках 80 и 200 Н. При этом значения момента сил с нагрузкой 200 Н в 3 раза ниже значений с нагрузкой 80 Н.
С ростом концентрации фуллерена в смазочном масле снижалась температура смазочного слоя в 1.4 раза при нагрузках 80 и 200 Н. Максимальное снижение момента трения и температуры смазочного слоя наблюдали при смазке с 2% фуллеренов С60.
Верификация теоретических и экспериментальных данных. Графические зависимости опытных и теоретических данных момента трения от концентрации фуллеренов в моторном масле при различной нагрузке показаны на рис. 3. Отличие этих данных показало хорошую корреляцию. Значения экспериментальных данных отличаются от теоретических не более чем на 16%.
Рис. 3. Зависимость момента трения от концентрации фуллеренов: 1 – теоретические данные при нагрузке 80 Н; 2 – экспериментальные данные при нагрузке 80 Н; 3 – экспериментальные данные при нагрузке 200 Н; 4 – теоретические данные при нагрузке 200 Н
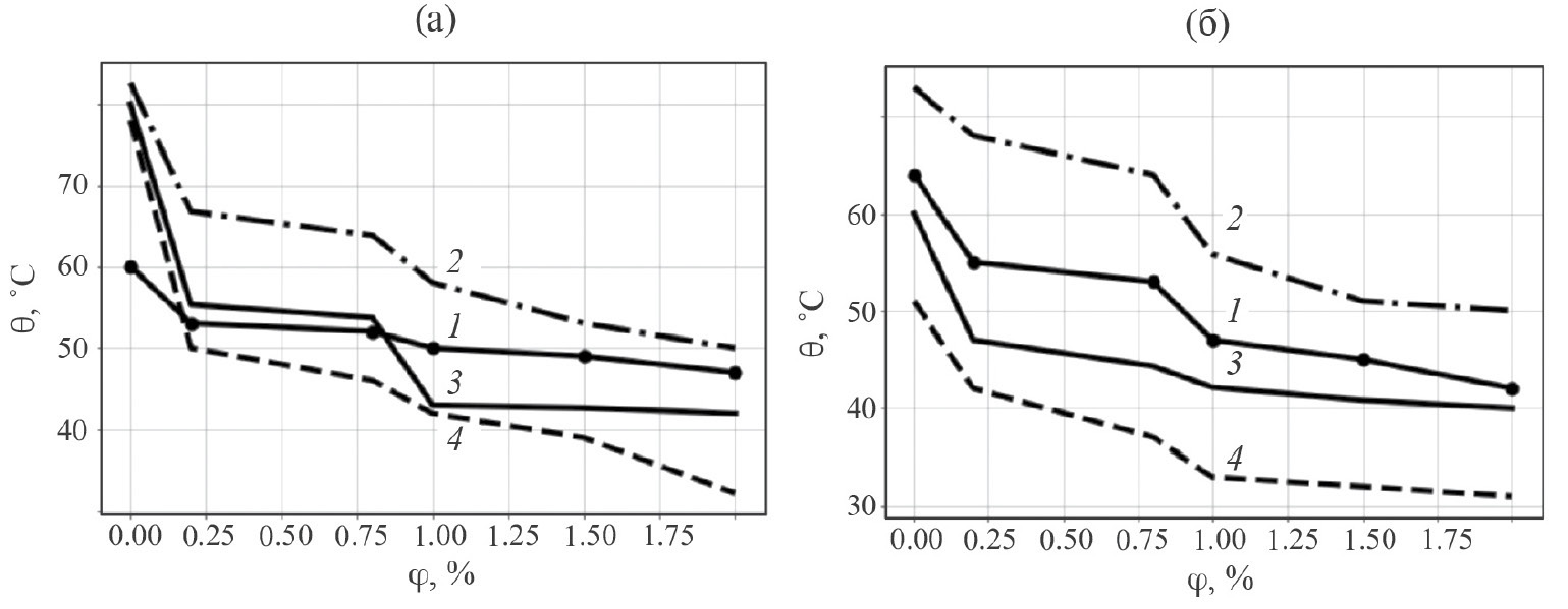
Зависимости опытных и теоретических данных температуры смазочного слоя от концентрации фуллеренов в моторном масле при нагрузках 80 и 200 Н приведены на рис. 4. Значения данных отличаются друг от друга не более чем на 20%.
Рис. 4. Зависимость температуры смазочного слоя от концентрации фуллеренов: (а) – нагрузка 80 Н; (б) – нагрузка 200 Н; 1 – экспериментальные данные; 2 – температуры, рассчитанные математической моделью, построенной на основе модифицированного уравнения Рейнольдса с переменной вязкостью; 3 – температуры, рассчитанные моделью, построенной на основе уравнения Фурье; 4 – теоретические данные, рассчитанные моделью, построенной на основе энергетического баланса трения
Выводы. Разработана комплексная методика повышения трибологических свойств моторного масла с твердыми добавками, состоящая из моделей: 1) расчета температуры смазочного слоя при переменной скорости сдвига; 2) расчета градиент температуры смазочного слоя с микро/нанодобавками при переменной скорости сдвига смазочных слоев; 3) программного комплекса для расчета момента трения, толщины и температуры легированного смазочного слоя на основе решения модифицированного дифференциального уравнения Рейнольдса с переменной вязкостью [16]. Верификация разработанных моделей подтверждена результатами экспериментальных исследований.
Финансирование. Данная работа финансировалась за счет средств бюджета Института машиноведения им. А.А. Благонравова РАН. Никаких дополнительных грантов на проведение или руководство данным конкретным исследованием получено не было.
Конфликт интересов. Автор заявляет, что она не имеет конфликта интересов.
About the authors
А. Б. Тохметова
Институт машиноведения им. А.А. Благонравова РАН
Author for correspondence.
Email: aygerim.tokhmetova@mail.ru
Russian Federation, Москва
References
- Zheng Z., Guo Z., Liu W. et al. Low friction of superslippery and superlubricity: A review // Friction. 2023. V. 11. P. 1121.
- Albagachiev A. Y., Buyanovskii I. A., Tokhmetova A. Durability Criterion for Lubricant Oils Alloyed with Micro/Nanoparticles of Insoluble Friction Modifiers // J. Mach. Manuf. Reliab. 2023. V. 52. P. 386.
- Sharma A. K., Katiyar J. K., Bhaumik S. et al. Influence of alumina/MWCNT hybrid nanoparticle additives on tribological properties of lubricants in turning operations // Friction. 2019. V. 7. P. 153.
- Wang J., Zhuang W., Liang W. et al. Inorganic nanomaterial lubricant additives for base fluids, to improve tribological performance: Recent developments // Friction. 2022. V. 10. P. 645.
- Meng Y., Xu J., Ma L. et al. A review of advances in tribology in 2020–2021 // Friction. 2022. V. 10. P. 1443.
- Parfenov A. S., Shilov M. A., Smirnova A. I. et al. Influence of Various Carbon Allotropes on Tribological and Rheological Characteristics of Model Lubricating Systems // J. Frict. Wear. 2021. V. 42. Р. 217.
- Parfenov A. S., Berezina E. V., Smirnova A. I., Gvozdev A. A., Shilov M. A., Dyachkova T. P., Rozhkova N. N., Savilov S. V., Usoltseva N. V. Tribological properties of plastic lubricants in composites with various carbon nanostructures // J. Frict. Wear. 2019. V. 40. № 5. P. 453.
- Kim B. K., Hyun J. S., Kim Y. H. et al. Effect of Boundary Layer Modification and Enhanced Thermal Characteristics on Tribological Performance of Alumina Nanofluids Dispersed in Lubricant Oil // Exp Tech, 2022.
- Duan L., Li J., Duan H. Nanomaterials for lubricating oil application: A review // Friction. 2023. V. 11. P. 647.
- Тохметова А. Б., Михеев А. В., Тананов М. А. Исследования трибологических свойств моторного масла с содержанием фуллеренов // Проблемы машиностроения и надежности машин. 2022. № 4. С. 108.
- Tuktarov A. R., Khuzin A. A., Dzhemilev U. M. Fullerene-Containing Lubricants: Achievements and Prospects // Pet. Chem. 2020. V. 60. P. 113.
- Strohmaier A., Waters A. Analytic properties of heat equation solutions and reachable sets // Math. Z. 2022. V. 302. P. 259.
- Stahl L., Müller M., Ostermeyer G. P. On the experimental characterization of the fluid volume influence on the friction between rough surfaces // Friction. 2023. V. 11. P. 1334.
- Усов П. П. Численный анализ переходных процессов в вязкоупругогидродинамическом контакте при реверсивном движении // Проблемы машиностроения и автоматизации. 2021. № 2. С. 81.
- Meng Y.G, Xu J., Jin Z.M, Prakash B., Hu Y. Z. A review of recent advances in tribology // Friction. 2020. V. 8. P. 221.
- Албагачиев А. Ю., Тохметова А. Б., Усов П. П. Свидетельство о государственной регистрации программы для ЭВМ № 2022662966, Российская Федерация. Программный комплекс для расчета нестационарной задачи смазки двух сближающихся поверхностей: № 2022662429, 2022.
Supplementary files






