Прохождение гамма-всплеска через молекулярное облако: ионизационная структура облака
- Authors: Нестерёнок A.В.1
-
Affiliations:
- Физико-технический институт им. А.Ф. Иоффе
- Issue: Vol 50, No 2 (2024)
- Pages: 121-141
- Section: Articles
- URL: https://medbiosci.ru/0320-0108/article/view/266348
- DOI: https://doi.org/10.31857/S0320010824020011
- EDN: https://elibrary.ru/OJSCRQ
- ID: 266348
Cite item
Full Text
Abstract
Построена модель прохождения излучения гамма-всплеска через плотное молекулярное облако. В расчетах учитываются основные процессы взаимодействия излучения с веществом облака: ионизация атомов Н, Не, ионизация ионов металлов с учетом испускания Оже-электронов, ионизация и фотодиссоциация молекул Н₂, поглощение ультрафиолетового излучения в линиях Н₂ полос Лаймана и Вернера, испарение частиц пыли. Ионизация ионов металлов рентгеновским излучением определяет степень ионизации газа в области, где газ преимущественно нейтральный. Фотоионизация внутренних электронных оболочек ионов сопровождается испусканием Оже-электронов, что приводит к образованию ионов металлов в высоком ионизационном состоянии. В частности, лучевые концентрации ионов Mg, Si, Fe в состоянии ионизации I–IV много меньше, чем лучевые концентрации этих ионов в состоянии ионизации V и выше. Фотоионизация ионов металлов ультрафиолетовым излучением происходит только на расстояниях меньше радиуса испарения пыли и для нейтральных атомов с порогом ионизации меньше 13.6 эВ. Результаты наших расчетов подтвердили выдвинутое ранее предположение, что ионизация атомов не играет важную роль в поглощении излучения в рентгеновском диапазоне длин волн. Для низкой металличности, [M/H ] ≤ –1, роль атомов гелия является доминирующей.
Keywords
Full Text
ВВЕДЕНИЕ
Отличительной чертой гамма–всплесков является высвобождение в окружающее межзвездное пространство огромного количества ионизирующего излучения в течение нескольких десятков секунд. Гамма–всплески делят на два класса по длительности гамма–излучения: короткие (≲ 1–2 с) и длинные (≳ 1–2 с) (Позаненко и др., 2021). До недавнего времени общепринятой точкой зрения на происхождение длинных гамма–всплесков являлась модель коллапса массивных звезд. Однако в последнее время стали появляться наблюдательные данные, указывающие на то, что длинные гамма–всплески рождаются как в результате коллапса массивных звезд, так и в результате слияния компактных звезд (см., например, Растинежад и др., 2022; Петросян, Даинотти, 2024). Энергия взрыва, в результате которого образуется гамма–всплеск, может достигать 10⁵² эрг и выше (Голдштейн и др., 2016). Длинные гамма–всплески регистрируются как в галактиках в локальной Вселенной, так и в далеких галактиках на красных смещениях до z ≈ 9 (Куккьяра и др., 2011). Благодаря высокой интенсивности излучения, а также благодаря своему широкому частотному диапазону (излучение в активной фазе и послесвечение гамма–всплеска простираются от радио до гамма диапазонов длин волн), гамма–всплески являются зондами межзвездной среды родительских галактик и абсорбционных систем на луче зрения (Шади, 2017).
Общепринятой моделью гамма–всплесков является модель “файербола” (Кумар, Жанг, 2015). Согласно этой модели, компактная “центральная машина”, которая образовалась в результате коллапса массивной звезды или слияния двух компактных звезд, запускает релятивистский направленный поток плазмы. Выделяют две основные стадии формирования излучения гамма–всплеска. Первая стадия формирования излучения связана с процессами внутри релятивистского джета (фотосферное происхождение излучения, диссипация энергии в ударных волнах). На этой стадии рождается излучение активной фазы всплеска (“быстрое” излучение). Излучение относительно короткой активной фазы лежит в рентгеновском и гамма–диапазонах длин волн. Вторая стадия включает в себя взаимодействие джета с внешней средой и образование головной и обратной ударных волн (Сари, Пиран, 1999). На этой стадии в результате синхротронного механизма рождаются оптическая вспышка (излучение обратной ударной волны) и послесвечение (излучение головной ударной волны). Оптическая вспышка (или “быстрое” оптическое излучение) наблюдается для небольшого количества всплесков. Характерное время оптической вспышки составляет ∼10²–10³ с (Оганесян и др., 2023). Это излучение совпадает по времени или следует сразу за гамма–излучением активной фазы, в то время как послесвечение гамма–всплеска может наблюдаться в оптическом и рентгеновском диапазонах длин волн в течение нескольких недель, а в радио диапазоне — в течение нескольких месяцев и более. Для некоторых гамма–всплесков наблюдается излучение связанной со всплеском сверхновой типа Ic (Позаненко и др., 2021).
Изучение линий поглощения в послесвечении гамма–всплесков позволяет исследовать параметры среды в непосредственной близости от источника всплеска, газопылевые облака внутри родительской галактики и в галактическом гало (см., например, Прочаска, 2008; Фокс и др., 2008; Хейнтц и др., 2018). Наблюдения линии Lyα атомарного водорода оптическими наземными телескопами возможны для гамма–всплесков с красным смещением z ⩾ 1.6. Большая часть гамма–всплесков на таких красных смещениях имеют дампированные линии поглощения Lyα в спектрах послесвечения. Измеренные значения лучевой концентрации NHI достигают несколько единиц 10²² см⁻² для некоторых гамма–всплесков, а среднее значение NHI равно около 4×10²¹ см⁻² (Финбо и др., 2009; Шади, 2017; Танвир и др., 2019). Наблюдается большой разброс значений NHI для всех красных смещений z ⩾ 1.6, но при этом средние значения NHI для гамма–всплесков выше, чем наблюдаемые значения NHI для абсорбционных систем в спектрах квазаров. Это является следствием того, что гамма–всплески рождаются в плотных облаках внутри родительской галактики, где идут процессы звездообразования (Прочаска и др., 2007; Тон и др., 2013). В инфракрасном и оптическом диапазонах длин волн спектральная плотность потока послесвечения гамма–всплеска аппроксимируется с учетом межзвездного поглощения в Млечном Пути и родительской галактике. Это позволяет определить визуальную экстинкцию AV в родительской галактике и на основе этого сделать оценки лучевой концентрации водорода NH.
По поглощению послесвечения гамма–всплеска в рентгеновской части спектра можно оценить лучевую концентрацию водорода NHX. Причем в этих оценках обычно предполагается, что излучение поглощается ионами металлов. Было обнаружено, что лучевые концентрации NHX, как правило, на порядок и более превышают лучевые концентрации водорода NH, вычисленные по данным в оптическом диапазоне длин волн — по линиям атомарного водорода, линиям ионов металлов, или AV (Уотсон и др., 2007; Кампана и др., 2010, 2012). Одно из решений несоответствия наблюдаемых значений лучевых концентраций водорода заключается в том, что излучение в рентгеновском диапазоне длин волн поглощается в слое ионизованного газа вблизи источника гамма–всплеска (Шади и др., 2011; Кронгольд, Прочаска, 2013). Ионы металлов, которые имеют большой заряд, вносят вклад в величину поглощения послесвечения в рентгеновской части спектра, однако не видны в оптическом и ультрафиолетовом (УФ) диапазонах длин волн. Это объяснение подтверждается тем, что анализ переменности профилей абсорбционных линий ионов металлов с малым зарядом в послесвечении гамма–всплесков указывает на то, что облака нейтрального газа находятся на расстоянии ∼100–1000100–100 пк от источника всплеска (например, Вресвийк и др., 2007). Были предложены другие объяснения наблюдаемого поглощения излучения послесвечения в рентгеновском диапазоне — поглощение ионами He в HII области, где произошел гамма–всплеск (Уотсон и др., 2013). Диффузная межгалактическая среда и абсорбционные системы на луче зрения вносят существенный вклад в поглощение излучения для гамма–всплесков на красных смещениях z ⩾ 3 (Сталинг и др., 2013; Рахин, Бехар, 2019).
Массивные звезды имеют короткое время жизни, t ≲ 107 лет, и поэтому взрыв массивной звезды с большой долей вероятности происходит в области своего рождения (Краутер, 2012). Области звездообразования характеризуются относительно высокими плотностями межзвездного газа. Поэтому возможна ситуация, в которой излучение гамма–всплеска проходит через плотное молекулярное облако. Ряд исследований был посвящен взаимодействию интенсивного излучения гамма–всплеска с межзвездным газом вблизи источника всплеска (см., например, Дрейн, Хао, 2002; Перна, Лаззати, 2002; Перна и др., 2003; Лаззати, Перна, 2003; Барков, Бисноватый–Коган, 2005а,б; Бадьин и др., 2010). В каждой из этих работ рассматривался один из аспектов задачи. В частности, Барков, Бисноватый–Коган (2005а,б) рассматривали эффект излучения гамма–всплеска на молекулярный газ на расстоянии до 1.5 пк от источника всплеска. На таких расстояниях имеют место полная ионизация газа рентгеновским и гамма–излучением и нагрев до высоких температур, Tg ≳ 104. К. В нашей работе исследуется эффект излучения гамма–всплеска на молекулярный газ на бо́льших расстояниях от источника всплеска — несколько парсек и больше. Численный метод, который используется в нашей работе, аналогичен подходу Дрейна, Хао (2002). Дрейн, Хао (2002) в своей модели рассматривали УФ–излучение гамма–всплеска (“быстрое” оптическое излучение), при этом ионизация ионов металлов не рассматривалась в их модели. В нашей модели учитываются УФ– и рентгеновское излучения гамма–всплеска, и показано, что ионизация ионов металлов должна учитываться для определения ионизационной структуры облака. Цель данной работы — определить компоненты газа (H₂, Не, ионы металлов, пыль), которые вносят основной вклад в поглощение излучения послесвечения гамма–всплеска в оптическом и рентгеновском диапазонах длин волн.
ПРОЦЕССЫ ИОНИЗАЦИИ И ДИССОЦИАЦИИ
Процессы фотоионизации
Основным каналом фотоионизации H₂ является реакция
(1)
Аппроксимация зависимости сечения этой реакции от энергии фотона приводится в работе Яна и др. (1998, 2001). Отношение сечений фотоионизации H₂ и H в пределе высоких энергий равно 2.8. Другим каналом фотоионизации H₂ является ионизация, сопровождающаяся диссоциацией:
(2)
В работе Чанга и др. (1993) приводятся экспериментальные значения сечений реакции (2) для энергий фотонов 18–124 эВ. При этом измеренные значения сечений включают вклад двойной фотоионизации H₂, который составляет около 20% для энергий фотонов около 100 эВ. В расчетах пренебрегается вкладом двойной фотоионизации. Сечение диссоциативной фотоионизации составляет около 25–30% от сечения ионизации (1). Также в расчетах скорости ионизации молекулы H₂ пренебрегается зависимостью сечения ионизации от колебательно–вращательного состояния молекулы.
В расчетах сечений фотоионизации атомов Н и ионов HeII использовалось точное квантово–механическое выражение (Остерброк, Ферланд, 2006). Для расчета сечений фотоионизации нейтрального атома НеI и ионов металлов использовались аппроксимации сечений, опубликованные в работах Вернера, Яковлева (1995), Вернера и др. (1996). Ионизация внутренних оболочек ионов металлов сопровождается испусканием Оже–электронов. Вероятности испускания электронов в результате Оже–эффекта были взяты из работы Каастра, Меве (1993).
В модели учитывались фотодиссоциация и фотоионизация иона :
(3)
Для фотодиссоциации Н⁺₂ использовалась аппроксимация энергетической зависимости сечения из работы Дрейна, Хао (2002), которая получена на основе экспериментальных данных из работы вон Басча, Данна (1972). Сечение фотодиссоциации усреднено по распределению молекул по колебательно–вращательным энергетическим уровням. Сечение фотодиссоциации не имеет порога по энергии, и поэтому данный процесс вносит вклад в поглощение излучения в оптическом и УФ–диапазонах длин волн (Перна и др., 2003). Для фотоионизации использовались сечения реакции, рассчитанные в работе Архипова и др. (2018).
Заметим, что аппроксимация сечения фотоионизации HeI, приведенная в работе Дрейна, Хао (2002), превышает сечение из работы Вернера и др. (1996) более чем на порядок для E ≳ 1 кэВ.
Комптоновская ионизация
Сечения комптоновского рассеяния фотона на электронах, связанных в атомах H и He и молекуле H₂, были взяты из работы Хаббелла и др. (1975). Для энергий фотонов Eγ ˃ 3–5 кэВ эти сечения приближаются к сечению Клейна–Нишины–Тамма. Именно при таких энергиях фотонов комптоновская ионизация становится основным процессом ионизации H, He, Н₂. Сечение комптоновской ионизации ионов металлов вычислялось с помощью формулы для сечения комптоновского рассеяния на свободных электронах.
Фотодиссоциация Н₂ через поглощение в полосах Лаймана и Вернера
Излучение в УФ–диапазоне длин волн поглощается молекулами H₂ в линиях полос Лаймана и Вернера. Характерное время жизни молекулы H₂ в возбужденных электронных состояниях B1и C1составляет ~10–9с. Поэтому молекула H₂ быстро переходит из возбужденного в основное электронное состояние:
(4)
Возможен также процесс, когда возбужденная молекула H₂ переходит в колебательно–вращательный континуум основного электронного состояния, этот процесс диссоциации молекулы H₂ называется процессом Соломона:
(5)
Доля актов возбуждения молекул H₂, которые приводят к диссоциации, составляет в среднем около 15% (Дрейн, Бертольди, 1996).
Прямая фотодиссоциация молекулы H₂ осуществляется в результате перехода молекулы из основного электронного состояния в колебательно–вращательный континуум возбужденных электронных состояний:
(6)
В работе Гэя и др. (2012) рассчитаны сечения процесса (6) для переходов с уровней (ʋ", J") основного электронного состояния в континуум электронных состояний B1и .
ОПИСАНИЕ ЧИСЛЕННОЙ МОДЕЛИ
Интенсивность излучения гамма–всплеска
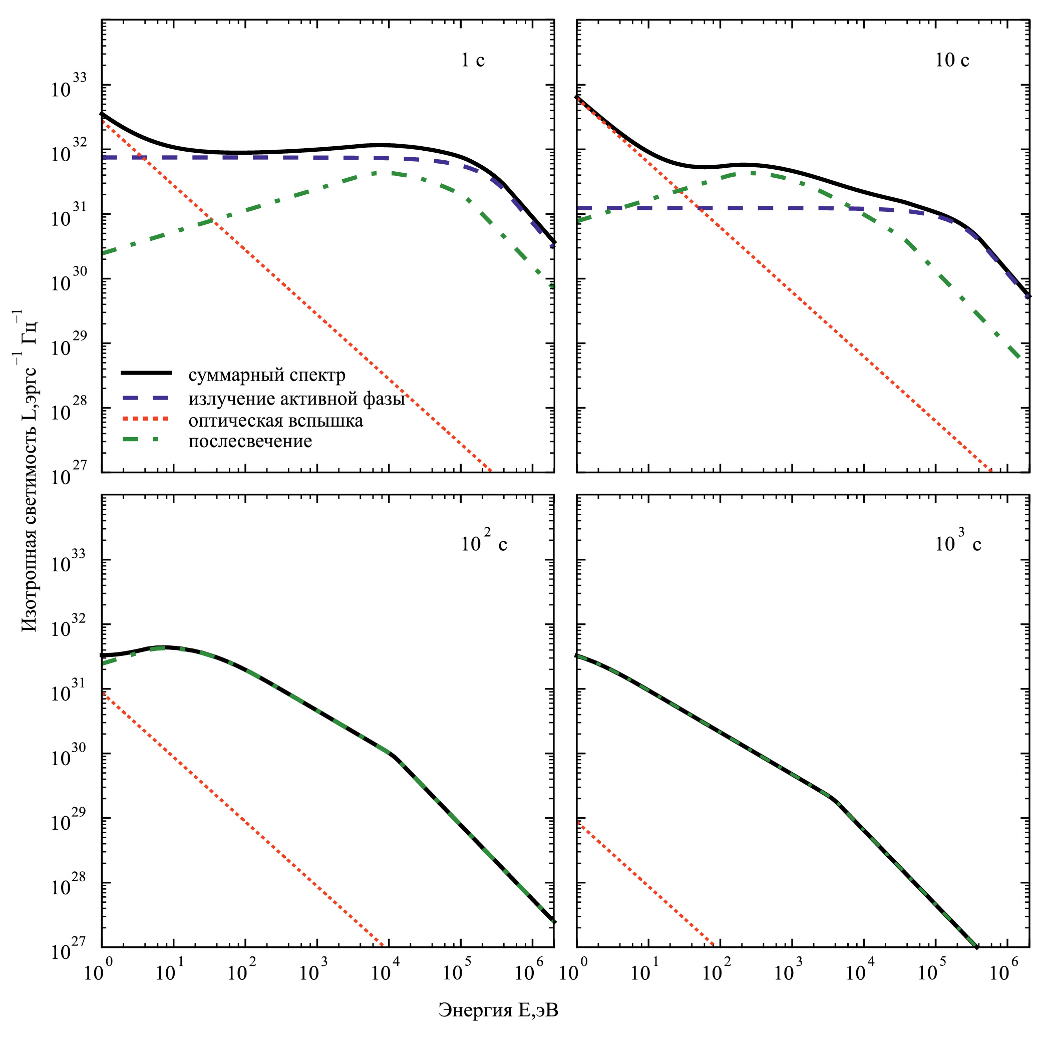
Излучение активной фазы гамма–всплеска характеризуется двумя основными параметрами: полная изотропная энергия излучения Eγ,iso и энергия максимума Epeak энергетического спектра vFv в собственной системе отсчета источника гамма–всплеска. Параметр Eγ,iso определяется как полная энергия излучения гамма–всплеска в диапазоне 1–104 кэВ в предположении изотропного распределения излучения. Корреляция между параметрами Eγ,iso и Epeak называется соотношением Амати (Амати, 2006). В нашей модели мы выбрали значения Eγ,iso = 5 × 10⁵² эрг, Epeak = 350 кэВ (Нава и др., 2012; Цветкова и др., 2021). Спектральная плотность потока излучения аппроксимировалась с помощью функции Бэнда (Бэнд и др., 1993). Были выбраны следующие значения индексов для степенного спектра при низких и высоких энергиях: α = –1 и β = –2.3 соответственно (Канеко и др., 2006; Нава и др., 2011). Зависимость интенсивности излучения от времени состоит из возрастающей линейной функции (0 ≤ t ≤ t0 = 1 с) и экспоненциального спада c характерным временем texp = 5 c.
Изотропная кинетическая энергия ударной волны EK для гамма–всплеска может быть оценена из наблюдаемой интенсивности и длительности послесвечения. Сумма Eγ,iso + EK характеризует полную начальную энергию взрыва. Эффективность излучения гамма–всплеска η определяется как отношение энергии излучения активной фазы Eγ,iso к полной энергии взрыва. Оценки параметра η из данных наблюдений гамма–всплесков лежат в широком диапазоне от η ≲ 0.1 до η ≈ 0.9 (Жанг и др., 2007; Беньямини и др., 2016). В наших расчетах полагалось EK = 2.5×10⁵³ эрг и η = 0.17. Спектральная плотность потока послесвечения и его зависимость от времени моделировались с помощью программы (Райан и др., 2020). Были выбраны следующие параметры, которые используются для моделирования излучения послесвечения гамма–всплеска: доля энергии головной ударной волны, заключенная в магнитном поле, εB= 10–4 (Сантана и др., 2014; Барниол Дуран, 2014), доля энергии, заключенная в электронах, εe = 0.1 (Нава и др., 2014; Беньямини, ван дер Хорст, 2017), показатель степени в распределении электронов по энергиям p = 2.3 (Курран и др., 2010; Райан и др., 2015), полуугол раствора джета ⍬j = 0.1 рад (Райан и др., 2015; Голдштейн и др., 2016). Плотность среды в непосредственной близости от гамма–всплеска считается постоянной и равна n0 =1 см–3 (Панаитеску, Кумар, 2002). Наблюдатель находится на оси джета. Наша модель излучения послесвечения в не включает инжекцию энергии в ударную волну.
Вспышка оптического излучения наблюдается одновременно или сразу по завершении гамма–излучения активной фазы всплеска (Оганесян и др., 2023). Одно из возможных объяснений — это синхротронное излучение обратной ударной волны, которое генерируется на начальной стадии распространения джета во внешней среде. В нашей модели поток излучения оптической вспышки аппроксимировался следующей функцией от времени (Накар, Пиран, 2004):
(7)
где параметры α1 = 0.5, α2 = –2, s = 2; t0 —время, когда поток излучения достигает максимума; F0,opt — поток излучения в оптическом диапазоне в момент времени t0. В нашей модели t0 = 10 с (в собственной системе отсчета). Для оценки изотропной светимости оптической вспышки мы использовали результаты работ Накара, Пирана (2004, 2005). Для параметров, представленных в табл. 1, имеем
эрг с–1 Гц–1 (8)
где DL — фотометрическое расстояние от источника гамма–всплеска до наблюдателя. Зависимость светимости от частоты полагается следующей:
(9)
где v0 = 5.4×1014 Гц, β = 1. Выбранное в нашей работе значение L0 в ≈ 500 раз меньше светимости оптической вспышки ярких гамма–всплесков GRB 990123 (Акерлоф и др., 1999) и GRB 210619B (Оганесян и др., 2023) и приблизительно в 15 раз меньше значения, используемого в расчетах Дрейна, Хао (2002).
Рис. 1. Спектральная плотность светимости для разных компонент излучения гамма–всплеска (излучение активной фазы, оптической вспышки и послесвечения). По оси абсцисс отложена энергия фотонов в эВ, по оси ординат приведены значения изотропной спектральной плотности светимости в эрг с⁻¹ Гц⁻¹ (т.е. в предположении, что излучение распространяется в полный телесный угол 4≠). На графиках показана спектральная плотность светимости для четырех различных моментов времени: 1, 10, 10², 10³c.
На рис. 1 показана изотропная светимость компонентов излучения гамма–всплеска (излучение активной фазы, оптическая вспышка и послесвечение) для моментов времени 1, 10, 10², 10³c после начала гамма–всплеска. Оптическая вспышка является наиболее интенсивной компонентой излучения в оптическом и УФ–диапазонах длин волн на временах t < 20 с. Светимости обратной и головной ударных волн зависят от микрофизических параметров джета. В частности, светимость L0 пропорциональна доле энергии, заключенной в магнитном поле εB (Накар, Пиран, 2005). А оценки параметра для головной ударной волны варьируются в широком диапазоне для различных гамма–всплесков, 10–8≲ εB ≲ 10–1 (Сантана и др., 2014).
Модель газопылевого облака
В численной модели излучение гамма–всплеска распространяется в однородном облаке, которое располагается на некотором малом расстоянии от источника гамма–всплеска. Источник излучения гамма–всплеска находится в начале координат и в расчетах полагается точечным — расстояние, которое проходит джет в модели файербола за рассматриваемый период времени (10⁵ с), много меньше радиуса ионизации облака (Лаззати и др., 2001). Плотность газа в единицах концентрации ядер водорода nH,tot была выбрана равной 10³ см–3. В начальный момент времени атомы водорода заключены в молекулы H₂. Параметры молекулярного облака приведены в табл. 2.
Таблица 1. Параметры излучения гамма–всплеска
Излучение активной фазы | Значение |
Изотропная энергия, Eγ.iso | 5 × 10⁵² эрг |
Энергия максимума, Epeak | 350 кэВ |
α | –1 |
β | –2.3 |
Послесвечение |
|
Кинетическая энергия джета, EK | 2.5 × 10⁵³ эрг |
Доля энергии, заключенная в магнитном поле, εB | 10–4 |
Доля энергии, заключенная в электронах, εe | 0.1 |
Показатель степени в распределении электронов, p | 2.3 |
Полуугол раствора джета, ⍬j | 0.1 рад |
Плотность среды, n0 | 1 см |
Оптическая вспышка |
|
Максимальная изотропная светимость | 3 × 10³² эрг с Гц |
Время, когда достигается максимум светимости, t0 | 10 с |
Таблица 2. Параметры молекулярного облака
Расстояние от источника гамма–всплеска | 1 пк |
Плотность газа в облаке, nH,tot | 10³ см–3 |
Начальное отношение концентраций орто– и пара–H₂ | 0.5 |
Скорость турбулентных движений, vturb | 5 км/с |
Металличность, [M/H] | 0, –1, –2 |
Доля металлов (Mg, Si, Fe), заключенных в пыли | 0.99 |
Отношение масс пыли и газа (для [M/H]= 0) | 0.004 |
В расчетах учитываются химические элементы H, He, C, N, O, Ne, Mg, Si, S, Fe. Распространенность гелия принята равной 0.09. Распространенность металлов соответствует распространенности в Солнечной системе, и делается поправка на принятое значение металличности [M/H] ≡ log10 (Z/Z⊙). Результаты расчетов, показанные на рисунках, соответствуют значению параметра [M/H] = 0; результаты расчетов для значений металличности [M/H] = – 1 и – 2 обсуждаются в тексте статьи. Распространенность химических элементов в случае [M/H] = 0 приведена в табл. 3 (Лоддерс, 2021). В начальный момент все атомы и молекулы H₂ находятся в нейтральном состоянии, концентрация атомов Н равна 0.
Таблица 3. Распространенность химических элементов относительно ядер водорода ([M/H] = 0)
He | 0.09 | Mg | 3.16 × 10–5.3 |
C | 2.95 × 10–4 | Si | 3.16 × 10–5 |
N | 7.08× 10–5 | S | 1.41 × 10–5 |
O | 5.37 × 10–4 | Fe | 3.16 × 10–5 |
Ne | 1.41 × 10–4 |
|
|
Характерное время ионизации газа излучением гамма–всплеска на расстоянии 1 пк и меньше составляет 1–3 с. Для сокращения времени счета программы численное моделирование ионизации газа производилось для расстояний R ˃ Rmin =1 пк. Облако разбивается на сферические слои одинаковой толщины ΔR. Каждый слой характеризуется внутренним радиусом Rj (расстояние от источника до внутренней границы слоя) и средним радиусом R̅j = (Rj + Rj+1)/2. Толщина слоя выбиралась равной ΔR = 5×1016 см. Для каждого радиуса R определим запаздывающее время tr = t – R/c, где t — время, прошедшее с момента испускания гамма–всплеска. Запаздывающее время tr = 0 соответствует моменту времени, когда фронт излучения гамма–всплеска доходит до слоя облака на расстоянии R.
Расчет оптических толщин и скоростей фотоионизации и фотодиссоциации
В расчетах рассматривается диапазон электромагнитного излучения от 1 эВ до 1 МэВ. Диапазон разбивается на интервалы, длины которых подчиняются геометрической прогрессии. Всего рассматривается 600 интервалов, по 100 интервалов на каждый порядок по частоте. Оптическая толщина для слоя облака j складывается из суммы оптических толщин за счет нескольких процессов:
(10)
где Δτdust,j — оптическая толщина слоя облака за счет поглощения на пыли, Δτα,j — оптическая толщина слоя за счет связанно–связанных переходов полос Лаймана и Вернера молекулы H₂, — оптическая толщина за счет фотоионизации и комптоновской ионизации ионов металла X в ионизационном состоянии +a в газовой фазе (где X — это один из C, N, O, Ne, Mg, Si, S, Fe), — комптоновское рассеяние на свободных электронах. Оптические толщины , , , и учитывают процессы фотоионизации и комптоновской ионизации для H, H₂, , He, а также процессы фотодиссоциации для H и . Оптическая толщина от источника гамма–всплеска до внутренней границы слоя облака j равна сумме вкладов в оптическую толщину всех слоев облака, предшествующих слою j:
(11)
где при суммировании по слоям оптическая толщина вычисляется в один и тот же момент запаздывающего времени tr.
Оптическая толщина слоя облака j для каждого из процессов фотоионизации, фотодиссоциации и комптоновской ионизации равна
(12)
где — концентрация ионов–мишеней (молекул) сорта X в слое облака j, σx(v) — сечение рассматриваемой реакции. Средняя скорость ионизации (или фотодиссоциации) с участием ионов (молекул) сорта X — число событий в единицу времени и на одну частицу сорта X — рассчитывалась по формуле (Дрейн, Хао, 2002):
(13)
Пусть — концентрация ионов химического элемента X в ионизационном состоянии +a в слое облака j. Изменение во времени концентрации ионов X+a определяется системой уравнений:
(14)
где — скорость фотоионизации (включая комптоновскую ионизацию) ионов X+a, PX,a,b — вероятность испускания a – b – 1 электронов в результате Оже–эффекта после фотоионизации иона X+b, — скорость высвобождения химических элементов в результате испарения частиц пыли (см. следующий раздел). Скорость фотоионизации иона X+b рассчитывалась для каждой из внутренних электронных оболочек, и на основе этих данных вычислялись вероятности PX,a,b. Ионизацией ионов в столкновениях с электронами можно пренебречь, так как в нашей работе мы исследуем области газа за ионизационным фронтом с относительно низкой степенью ионизации. В частности, сечение столкновительной ионизации CI составляет ∼10–16 см2 для энергий электронов E ∼ 15 – 10³ эВ (Брук и др., 1978). Характерное время ионизации составляет ∼107 c для концентрации электронов 1 см–3 и энергии E = 1 кэВ. Это время много больше интервала времени, который рассматривается в нашей работе. Скорости рекомбинации ионов также малы для рассматриваемых плотностей газа (Перна, Лоеб, 1998; Лаззати и др., 2001).
Модель пыли
В начальный момент времени частицы пыли имеют одинаковый радиус rd = 0.1 мкм. Плотность материала пыли равна ρd = 3.5 г/см3, а химический состав вещества пыли был выбран MgFeSiO4. Отношение масс, заключенных в пылевых частицах и в газе, определяется металличностью и деплецией металлов на пыли. Значение деплеции металлов на пыли было выбрано равным 0.99 (произвольное значение, близкое к 1). Для металличности [M/H] = 0, отношение масс пыли и газа составляет 0.004 в начальный момент (в нашей модели учитывалась только силикатная пыль, а атомы металлов, которые не входят в состав пылевых частиц, находятся в газовой фазе).
Оптическая толщина слоя облака за счет поглощения и рассеяния излучения на частицах пыли радиуса rd равна
(15)
где Qabc(rd, v) и Qsca(rd, v) — сечения поглощения и рассеяния, нормированные на геометрическое сечение частицы пыли, nd — концентрация частиц пыли в газопылевом облаке. Cечения поглощения и рассеяния света на частицах пыли для длин волн в оптическом и УФ–диапазонах были рассчитаны в работах Лаор, Дрейн (1993) и Вейнгартнер, Дрейн (2001). Сечения поглощения и рассеяния в рентгеновском диапазоне длин волн были рассчитаны в работе Дрейна (2003). Данные по сечениям для энергий фотонов hv ⩽ 1240 эВ были доступны на интернет–странице проф. Дрейна1. Для больших энергий фотонов использовалась экстраполяция сечений степенной функцией от энергии (Дрейн, Хао, 2002; Дрейн, 2003). Ионизация частиц пыли в результате поглощения излучения не учитывалась. В рентгеновском диапазоне длина волны фотона мала по сравнению с размерами пылинок, и рассеяние происходит преимущественно вперед. При рассеянии фотона на угол, меньше некоторого ⍬min, можно считать, что фотон не покинул основной импульс гамма–всплеска. Согласно оценкам, приведенным в работе Дрейна, Хао (2002). Слагаемое, соответствующее рассеянию, опускалось в выражении (15) для энергий фотонов hv > 5 кэВ (Дрейн, Хао, 2002; Дрейн, 2003).
Для оценки скорости испарения частиц пыли использовалась приближенная формула (Гухатхакурта, Дрейн, 1989; Ваксман, Дрейн, 2000):
(16)
где Td — температура пыли, ρd — плотность материала, из которого состоят пылинки, md — средняя атомная масса вещества пыли, К — энергия химической связи на один атом, v0 = 1015 с–1. Температура пыли Td определяется из уравнения баланса скоростей нагрева и охлаждения частиц пыли:
(17)
где GGRB — нагрев частиц пыли излучением гамма–всплеска, Grad — охлаждение частиц пыли за счет собственного излучения, Gvap — охлаждение частиц пыли за счет испарения, Cd — теплоемкость частицы пыли. Скорость нагрева частиц пыли излучением гамма–всплеска в центре слоя j равна (нормированная на одну частицу)
(18)
Скорость охлаждения частиц пыли за счет собственного излучения равна
(19)
где B(v,Td) — интенсивность излучения абсолютно черного тела. Скорость охлаждения частицы пыли за счет испарения равна
(20)
Теплоемкость частиц пыли Cd полагалась равной 3kBN, где N — число атомов в частице пыли. Погрешность этого приближения для силикатной пыли менее 10% для температуры пыли Td > 600 К (Дрейн, Ли, 2001). В расчетах не учитывалось разрушение пыли за счет отрыва ионов от сильно заряженной частицы пыли. Согласно оценкам Дрейна, Хао (2002), Перна, Лазатти (2002), этот механизм разрушения пыли важен на расстоянии R ≲ 1–5 пк от источника гамма–всплеска (оценка расстояния зависит от флюенса фотонов рентгеновского излучения). В то же время, нагрев частиц пыли за счет поглощения излучения в оптическом и УФ–диапазонах длин волн приводит к сублимации пылинок на расстояниях R ≲ 10 пк (для параметров гамма–всплеска и газопылевого облака, рассматриваемых в нашей модели).
Скорость высвобождения атомов в газовую фазу в результате испарения частиц пыли равна
(21)
где l = 1 для Mg, Fe, Si; 1 = 4 для O; 1 = 0 для остальных химических элементов и для ионизационных состояний a > 0 (предполагается, что с поверхности пыли испаряются нейтральные атомы).
Связанно–связанные переходы Н0 в полосах Лаймана и Вернера
Система уравнений для населенностей колебательно–вращательных уровней основного электронного состояния молекулы H₂ имеет вид
(22)
где nl — концентрация молекул H₂ на энергетическом уровне l, βlm — эффективная скорость перехода m ➝ 1 за счет фотовозбуждения электронных состояний H₂ и радиационного перехода обратно в основное электронное состояние, βdiss,l — скорость диссоциации молекул H₂ за счет распадов возбужденных состояний в колебательный континуум основного электронного состояния, kH₂,l — скорость разрушения молекулы H₂ в реакциях фотоионизации, прямой фотодиссоциации, комптоновской ионизации, Alm — коэффициенты Эйнштейна для спонтанного радиационного перехода с энергетического уровня m на уровень l (внутри основного электронного состояния молекулы). Зависимость параметра kH₂,l от энергетического уровня Н₂ учитывалась только для прямой фотодиссоциации (Гэй и др., 2012). Переходы за счет столкновений молекул друг с другом не важны для плотностей газа и периода времени, рассматриваемых в нашей работе (Боссион и др., 2018; Ван и др., 2018).
Эффективная скорость перехода с уровня m на уровень l за счет фото–возбуждения электронных состояний H₂ равна
(23)
где ξum — скорость фотовозбуждения c уровня m на уровень u возбужденного электронного состояния, Alu — вероятность перехода с уровня u на уровень l за счет спонтанного излучения, Atoo,u — полная вероятность распада уровня за счет спонтанного излучения, которая также включает вероятность перехода в колебательный континуум основного электронного состояния Avc,u:
(24)
Скорость фотодиссоциации H₂ в процессе Соломона равна
(25)
Ширина по частоте каждой линии из полос Лаймана и Вернера много у́же ширины интервалов, на которые разбивается шкала частот фотонов в вычислениях. Учет ослабления интенсивности излучения производится с помощью метода эквивалентной ширины линии. Пусть радиационный переход α связывает уровень l основного электронного состояния и уровень u возбужденного электронного состояния молекулы H₂. Безразмерная эквивалентная ширина линии α на расстоянии Rj от начала координат равна (Дрейн, 2011)
(26)
где σul(v) — сечение поглощения фотонов в линии α в зависимости от частоты, Nl(Rj) — лучевая концентрация молекул H₂, находящихся на энергетическом уровне l:
(27)
где — концентрация молекул H₂, находящихся на энергетическом уровне l, в слое облака i. Значения в слоях облака берутся в одно и тоже запаздывающее время tr. Скорость фотовозбуждения молекул H₂ за счет поглощения фотонов в линии α в слое облака j равна (Дрейн, Бертольди, 1996; Дрейн, Хао, 2002):
(28)
где приращения лучевой концентрации ΔNl и эквивалентной ширины ΔWul за счет поглощения в слое j равны
(29)
Вклад линии α в оптическую толщину для интервала частот [v0, v0 + Δv], которому принадлежит линия α, равен (Дрейн, Бертольди, 1996; Дрейн, Хао, 2002)
(30)
Для расчета эквивалентной ширины использовались аппроксимации, опубликованные в работе Роджерса, Вильямса (1974).
Расчет населенностей производился для 301 колебательно–вращательного уровня основного электронного состояния X1∑+ молекулы H₂. Энергии колебательно–вращательных уровней основного электронного состояния X1∑+ и возбужденных электронных состояний B1, C1, а также коэффициенты Эйнштейна для переходов X1∑+ ⟵ B1, X1∑+ ⟵ C1 были взяты из файлов с данными кода CLOUDY (Шоу и др., 2005; Ферланд и др., 2017). Коэффициенты Эйнштейна для переходов внутри основного электронного состояния молекулы были взяты из работы Волниевича и др. (1998). Поглощение в линиях других атомов и молекул, отличных от H₂, не учитывалось.
Численные расчеты
Для энергий меньше 13.6 эВ (порог ионизации Н), основной вклад в оптическую толщину вносят поглощение на пыли, фотоионизация атомов металлов с низким потенциалом ионизации (CI, MgI, SiI, SI, FeI), поглощение H₂ в полосах Лаймана и Вернера. Для энергий фотонов больше 13.6 эВ главный вклад в оптическую толщину вносят процессы фотоионизации H, H₂ и Не и фотодиссоциации H₂. Для энергий фотонов0.5 ≲ hv ≲ 10 кэВ, поглощение и рассеяние на пыли и фотоионизация ионов металлов в газовой фазе снова становятся существенными. Для этих энергий фотонов главный вклад в сечение фотоионизации ионов металлов вносит фотоионизация внутренних электронных оболочек ионов. При бо́льших энергиях основным процессом рассеяния фотонов является комптоновская ионизация H, H₂ и He. В процессе фотоионизации, фотодиссоциации H₂ и испарения частиц пыли, вклад различных составляющих среды в оптическую толщину меняется. В частности, при разрушении молекулы H₂ образуется атомарный водород, и фотоионизация атомов Н вносит главный вклад в оптическую толщину для фотонов с энергией 13.6 ≤ E 1.5 эВ.
Рис. 2. Зависимость степени ионизации xᵢ и отношения масс пыли и газа от расстояния до источника гамма–всплеска. Для каждого расстояния приведены значения величин в один и тот же момент запаздывающего времени tₘₐₓ = 10⁵ с.
Численные расчеты проводились по схеме, описанной в работах Перна и др. (2000); Дрейна, Хао (2002). Расчет временной зависимости концентрации ионов и химических соединений проводился последовательно для каждого слоя облака. Решалась система дифференциальных уравнений для населенностей энергетических уровней молекулы H₂, концентраций ионов и химических соединений, для радиуса и температуры частиц пыли. Решение системы дифференциальных уравнений осуществлялось с помощью численного кода SUNDIALS CVODE v5.7.0 (Хиндмарш и др., 2005; Гарднер и др., 2022). Максимальное время, до которого проводилось моделирование составляет tmax = 10⁵ с. Интегрирование системы уравнений останавливалось раньше этого времени, если была достигнута полная ионизация газа. Критерий полной ионизации газа был выбран следующий:
(31)
где в сумме по ионизационным состояниям металлов учитываются ионизационные состояния ниже максимального. В решении системы дифференциальных уравнений для слоя облака j использовались значения оптической толщины τj–1(v,tr) и лучевых концентраций молекулы H₂ N1(Rj,tr), полученные в результате расчетов для слоев облака i < j.
РЕЗУЛЬТАТЫ
Ионизационная структура облака
Определим степень ионизации газа как
(32)
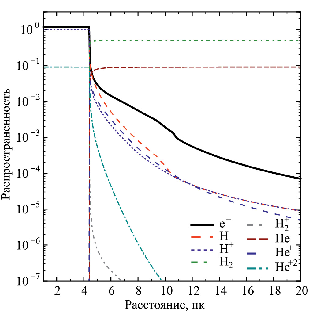
где ne — концентрация электронов в газе, ne,tot — полное число электронов в единице объема (как свободных электронов, так и связанных в ионах и молекулах). На рис. 2 показаны зависимости степени ионизации газа xi и отношения масс пыли и газа от расстояния до источника гамма–всплеска в момент времени tmax= 10⁵ c после начала гамма–всплеска (в один и тот же момент запаздывающего времени). На расстоянии Rion = 4.4 пк от источника всплеска проходит граница между полностью ионизованным газом и нейтральным газом. Степень ионизации газа на этой границе падает в ≈ 30 раз и далее медленно спадает с расстоянием. В области, где xi ≪ 1, основным источником электронов в газе является ионизация атомов металлов.
Для энергий фотонов выше 13.6 эВ молекулярный газ является непрозрачным для излучения. Поэтому испарение пыли происходит в результате ее нагрева излучением в оптическом и УФ–диапазонах длин волн (см. также Дрейн, Хао, 2002). Скорость испарения частиц пыли имеет сильную зависимость от температуры пыли, которая, в свою очередь, зависит от интенсивности излучения. На расстояниях R > Rd ≈ 9 – 10 пк интенсивность излучения недостаточно высока, и испарение частиц пыли не происходит. На меньших расстояниях имеет место полное испарение частиц пыли, при этом характерное время испарения составляет около 3–5 c от начала гамма–всплеска (нагрев и испарение частиц пыли происходит УФ–излучением оптической вспышки гамма–всплеска). Таким образом, ионизирующее излучение на расстояниях R < Rd не экранировано пылью, которая уже успела испариться в первые секунды от начала гамма–всплеска. В этом случае степень ионизации газа зависит от флюенса ионизирующего излучения, но не от функциональной зависимости потока излучения от времени (Лаззати, Перна, 2002, 2003). Падение степени ионизации на расстоянии ≈ 9 – 11 пк связано с уменьшением концентрации тяжелых металлов в газовой фазе (O, Mg, Si, Fe) для R > Rd, а также c переходом атомов углерода в нейтральное состояние (переход CII/CI). С увеличением расстояния от источника гамма–всплеска возрастает относительный вклад комптоновской ионизации в концентрацию электронов в газе, который составляет около 15% на расстоянии 25 пк.
Распространенности атомов и молекул вычисляются по формуле
(33)
где nA — концентрация атомов (молекул) сорта A . На рис. 3 показана распространенность молекул H₂, , ионов Н, Н, Не, Не, Не+2 и электронов в зависимости от расстояния до источника гамма–всплеска. Отношение концентраций равно ~1 на границе ионизованный/нейтральный газ в узкой области облака размером ~0.01 пк. Реакциями разрушения молекулярного водорода являются (i) фотоионизация H₂; (ii) диссоциативная фотоионизация H₂; (iii) комптоновская ионизация; (iv) прямая фотодиссоциация H₂; (v) механизм Соломона. Прямая фотодиссоциация и механизм Соломона разрушения H₂ эффективны на расстояниях меньше радиуса испарения пыли (вносят 40–50% в общее количество разрушенного H₂ при Rion < R < Rd). На бо́льших расстояниях скорость диссоциации H₂ быстро падает с расстоянием (УФ излучение экранируется пылью), и разрушение H₂ в основном обусловлено ионизацией. Главным механизмом разрушения является фотодиссоциация с образованием H и H, поэтому при R > Rd концентрация Н равна концентрации H (рис. 3).
Рис. 3. Зависимость распространенности Н, Не, H₂ и их ионов от расстояния до источника гамма–всплеска (в момент запаздывающего времени tₘₐₓ = 10⁵с ).
На расстояниях R > 13 пк комптоновская ионизация становится основным процессом разрушения H₂.
Значение металличности газа не влияет на радиус ионизационного фронта. Радиус испарения пыли увеличивается с уменьшением металличности: Rd ≈ 12–13 пк для [M/H] = –1, –2.
Распространенность ионов металлов
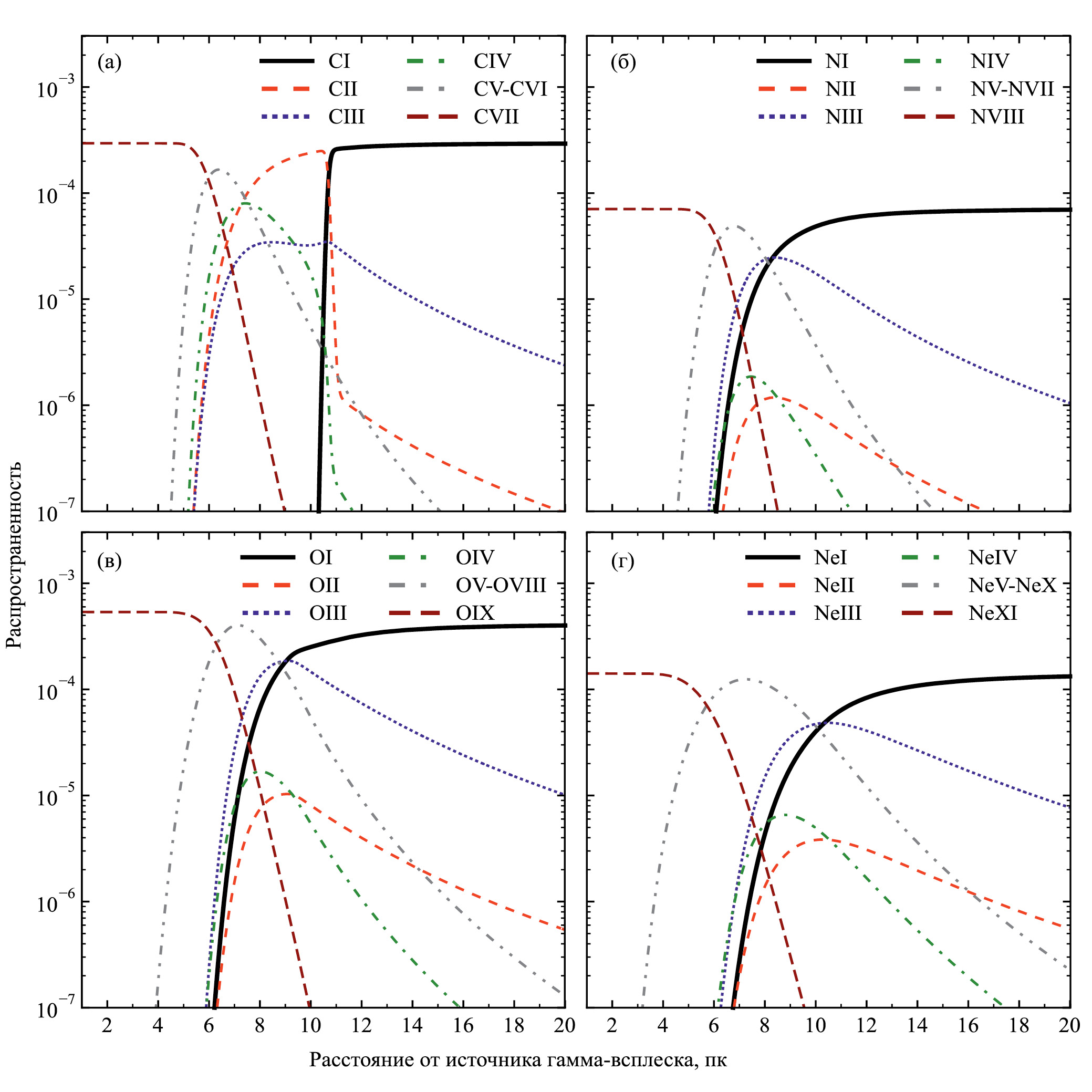
На рис. 4 показаны распространенности ионов металлов C, N, O, и Ne в зависимости от расстояния. Потенциал ионизации внешней электронной оболочки нейтрального атома CI составляет 11.2 эВ. Основной вклад в ионизацию атомов CI вносят фотоны УФ–диапазона c энергией, меньше потенциала ионизации атомарного водорода, E < 13.6 эВ. На определенном расстоянии от источника флюенс излучения в УФ диапазоне становится недостаточно высок для полной ионизации атомов CI, и углерод остается преимущественно нейтральным. Переход CII/CI является резким и происходит на расстоянии RC ≈ 10–11 пк, за фронтом испарения пыли (рис. 4).
Рис. 4. Распространенность ионов C, N, O и Ne в различных ионизационных состояниях в зависимости от расстояния (в момент запаздывающего времени tₘₐₓ = 10⁵с ). Запись NV–NVII означает суммарную распространенность ионов с NV по NVII, и аналогично для других ионов.
На расстояниях R > RC, фотоионизация атомов CI происходит за счет ионизации К–оболочки атома. Для нейтральных атомов NI, OI, NeI потенциал ионизации внешней электронной оболочки приблизительно равен или выше 13.6 эВ. Основной вклад в ионизацию этих атомов вносит фотоионизация электронных К–оболочек на всех расстояниях от источника гамма–всплеска. С вероятностью, близкой к 1, испускается один Оже–электрон при фотоионизации электронных К–оболочек CI, NI, OI, NeI (Каастра, Меве, 1993). В результате нейтральный атом NI переходит сразу в NIII, аналогично для атомов CI, OI, NeI (для атомов углерода CI это верно на расстояниях R > RC). Фотоионизация CII (СIII), NIII, OIII и NeIII также происходит через фотоионизацию К–оболочек ионов, что сопровождается испусканием одного Оже–электрона. Таким образом, концентрации ионов в ионизационном состоянии II много меньше концентрации ионов в ионизационном состоянии III, и концентрация ионов в ионизационном состоянии IV много меньше концентрации ионов в более высоких ионизационных состояниях (для углерода это верно на расстояниях R > RC) (рис. 4).
Рис. 5. То же, что на рис. 4, только для ионов Mg, Si, S и Fe.
На рис. 5а,б,г показаны распространенности ионов металлов Mg, Si и Fe в зависимости от расстояния. В области R ≲ Rd, атомы Mg, Si и Fe попадают в газовую фазу вследствие испарения частиц пыли. Потенциалы ионизации внешних электронных оболочек атомов MgI, SiI и FeI равны 7.65, 8.15 и 7.9 эВ соответственно. Фотоионизация этих атомов осуществляется через поглощение фотонов УФ–диапазона длин волн. Потенциал фотоионизации MgII, SiII и FeII составляет 15, 16.4 и 16.2 эВ, и ионизация этих ионов протекает за счет поглощения фотонов в рентгеновском диапазоне и фотоионизации внутренних электронных оболочек ионов. В этом случае фотоионизация сопровождается (с высокой долей вероятности) испусканием 1–2 Оже–электронов для MgII, 1–3 Оже–электронов для SiII, и 1–6 Оже–электронов для FeII. На расстояниях R ≥ 13–15 пк от источника всплеска атомы Mg, Si и Fe находятся преимущественно в нейтральном состоянии (рис. 5). На этих расстояниях, наиболее вероятным каналом ионизации MgI является фотоионизация электронной К–оболочки, которая сопровождается испусканием двух Оже–электронов. Поэтому для R > RMg ≈ 13 пк следующим по распространенности после MgI является ион MgIV, и концентрация ионов Mg в остальных ионизационных состояниях меньше концентрации MgIV (рис. 5). Аналогично SiV является вторым по распространенности ионом после SiI для R > RSi ≈ 15 пк, а для R > RFe ≈ 14 пк ионы железа FeIV, FeV, FeVI следуют по распространенности за нейтральным атомом FeI. Заметим, что результат расчетов для Mg, Si и Fe зависит от предположений, сделанных в модели: атомы в газовой фазе в начальный момент находятся в нейтральном состоянии, и при испарении пыли атомы высвобождаются в газовую фазу также в нейтральном состоянии.
На рис. 5в показаны распространенности ионов серы S в зависимости от расстояния. Потенциал ионизации атома SI составляет 10.4 эВ. Основным каналом ионизации нейтрального атома S является поглощение фотонов УФ–диапазона (в области, где УФ–излучение не экранировано). Граница SII/SI находится на расстоянии RS ≈ 13–14 пк (рис. 5). Основным каналом ионизации SII, а также ионизации SI для R > RS, является фотоионизация фотонами в рентгеновском диапазоне длин волн, которая сопровождается испусканием Оже–электронов. На расстояниях R > RS следующим по распространенности ионом серы после SI является ион SV. Концентрация ионов SIII и SIV мала на всех расстояниях. Концентрации SIII и SIV имеют близкие значения при R > RS, так как вероятности испускания 1 или 2 Оже–электронов при фотоионизации электронной К–оболочки SI имеют близкие значения — около 0.08 (Каастра, Меве, 1993).
Лучевые концентрации ионов металлов
Определим лучевую концентрацию ионов сорта A на расстоянии Rj (внутренний радиус слоя облака j):
(34)
где — концентрация ионов A в слое облака i в один и тот же момент запаздывающего времени tr . Лучевые концентрации ионов могут быть измерены с помощью наблюдений абсорбционных линий ионов металлов в послесвечении гамма–всплеска. В этом разделе представлены результаты расчетов лучевой концентрации ионов металлов как функций полной лучевой концентрации ядер водорода, NH,tot = nH,tot (R – Rmin), где R — расстояние от источника гамма всплеска. На рис. 6 и 7 представлены результаты расчетов в момент запаздывающего времени tₘₐₓ = 10⁵с. Приведены результаты расчетов для NH,tot ≤ 4×10²² см⁻², что соответствует расстояниям R ≤ 14 пк для рассматриваемой плотности газа.
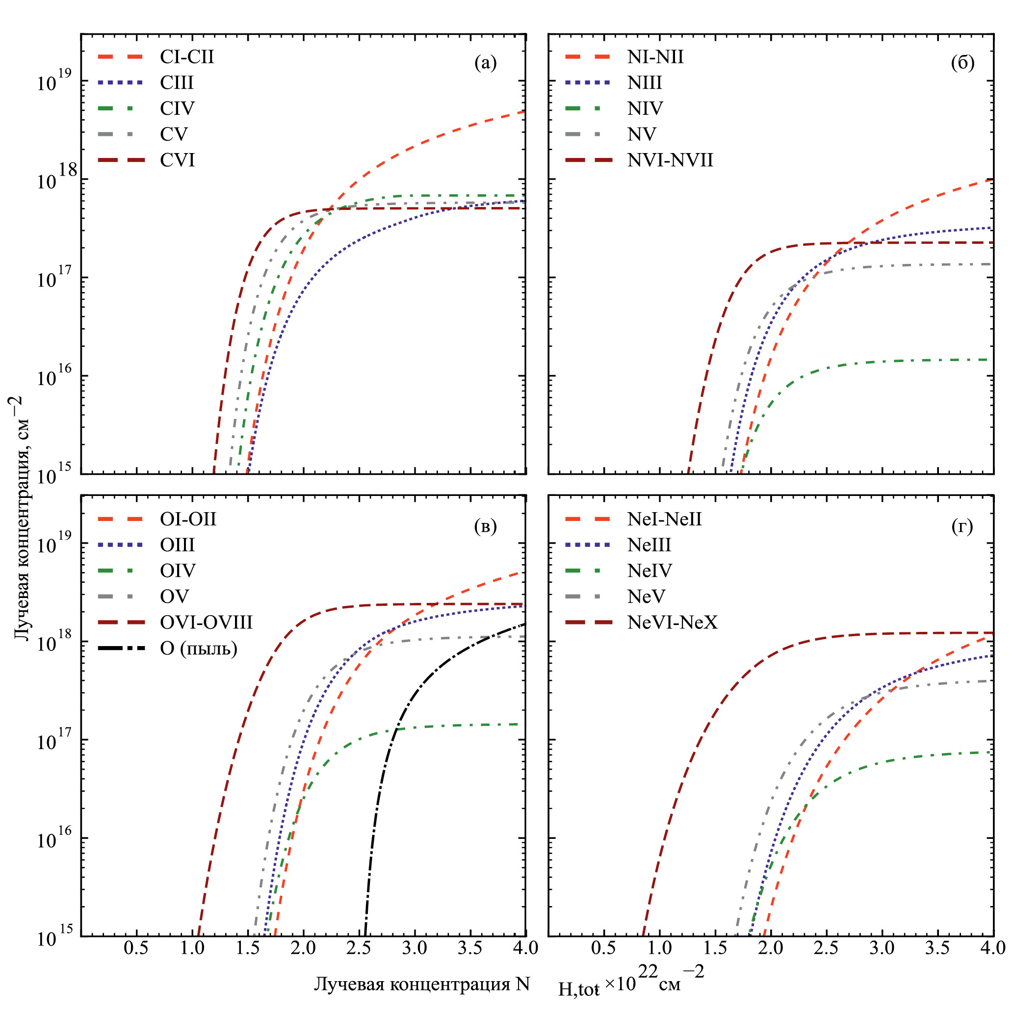
Рис. 6. Лучевая концентрация ионов C, N, O и Ne в различных ионизационных состояниях в зависимости от лучевой концентрации водорода NH,tot. На графиках не показаны лучевые концентрации полностью ободранных ионов (CVII, NVIII, OIX, NeXI). Результаты расчетов соответствуют моменту времени tₘₐₓ = 10⁵с после начала гамма–всплеска.
Для лучевых концентраций водорода, NH,tot < 2 × 10²² см⁻², ионы углерода преимущественно находятся в состоянии высокой степени ионизации CVI и CVII (рис. 6a). Для бо́льших лучевых концентраций водорода NH,tot углерод преимущественно находится в виде ионов CI и CII (интегрально по лучу зрения). Верхняя граница лучевых концентраций водорода NH,tot, при которых лучевая концентрация ионов в состоянии ионизации III и выше превышает суммарную лучевую концентрацию ионов в состояниях I и II, возрастает с увеличением атомного числа иона (рис. 6). Для углерода это значение NH,tot составляет около 2 × 10²² см⁻². А для неона лучевая концентрация NeI–NeII становится больше лучевой концентрации ионов NeIII–NeX только при NH,tot ≥ 4 × 10²² см⁻².
Рис. 7. То же, что на рис. 6, только для ионов Mg, Si, S и Fe.
Лучевая концентрация ионов металлов Mg, Si, и Fe в состоянии ионизации I–IV много меньше лучевой концентрации ионов в состоянии ионизации V и выше для всех лучевых концентраций водорода NH,tot (рис. 7а,б,г). Таким образом, ионы Mg, Si, и Fe в газовой фазе находятся преимущественно в виде ионов с большим зарядом (интегрально по лучу зрения). При лучевых концентрациях NH,tot ≳ 3 × 10²² см⁻², доля атомов металлов Mg, Si, и Fe, которые заключены в частицах пыли, перестает быть пренебрежимо малой. Доля ионов серы S в низком зарядовом состоянии (I–II) растет с увеличением лучевой концентрации водорода NH,tot (рис. 7в). При NH,tot ≳ 6 × 10²² см⁻² лучевая концентрация ионов серы SI–SII становится выше лучевой концентрации ионов с бо́льшим зарядом. При этом лучевые концентрации ионов S в зарядовом состоянии III и IV малы для всех NH,tot, что обусловлено фотоионизацией ионов серы рентгеновским излучением и испусканием Оже–электронов.
Поглощение излучения послесвечения гамма–всплеска в газопылевом облаке
На рис. 8 показаны результаты расчетов энергетического спектра излучения послесвечения в момент времени tmax = 10⁵ с после прохождения слоя облака различной толщины. Лучевая концентрация полностью ионизованного слоя газа N0 составляет около 10²² см⁻². Этот газ не оказывает почти никаких эффектов на наблюдаемый спектр послесвечения (эффект от комптоновского рассеяния на электронах и поглощения излучения ионами металлов в ультравысоком ионизованном состоянии мал). В УФ–диапазоне длин волн излучение с энергией фотонов выше 13.6 эВ полностью поглощается H, H₂, Не в частично ионизованном слое облака для всех NH,tot < N0. Радиус испарения пыли Rd ≈ 9–10 пк соответствует лучевой концентрации Nd ≈ 2.7× 10²² см⁻². При лучевых концентрациях водорода NH,tot < Nd, излучение в оптическом и УФ–диапазонах длин волн (hv<13.6 эВ) испытывает слабое поглощение. В рентгеновском диапазоне длин волн поглощение излучения происходит для всех значений NH,tot > N0. При NH,tot < Nd и 1 ≲ hv ≲ 5 кэВ основной вклад в поглощение излучения вносят ионы металлов (для солнечной металличности). Для бо́льших энергий фотонов основной вклад вносят комптоновское рассеяние на свободных электронах и комптоновская ионизация (однако оптическая толщина облака мала). Верхний порог полного поглощения излучения в рентгеновской части спектра плавно перемещается в сторону более высоких энергий при увеличении лучевой концентрации водорода NH,tot. Ионы металлов находятся в различных ионизационных состояниях, поэтому края полос поглощения, связанные с ионизацией электронных K– и L–оболочек ионов, слабые и практически не заметны на спектре (рис. 8).
Рис. 8. Энергетический спектр излучения послесвечения гамма–всплеска после прохождения слоя облака, которое имеет лучевую концентрацию ядер водорода NH,tot. Спектр нормирован на значение спектра для энергии фотонов E₀ = 1 эВ. Показаны результаты расчетов для разных значений NH,tot. Результаты расчетов соответствуют моменту времени tₘₐₓ = 10⁵с .
ОБСУЖДЕНИЕ
Ионизационная структура облака
Основной вклад в полный флюенс излучения как в УФ, так и в рентгеновском диапазоне длин волн вносит послесвечение гамма–всплеска. Вклад излучения активной фазы гамма–всплеска в полный флюенс излучения в рентгеновском диапазоне длин волн (0.3–10 кэВ) составляет около 20% в нашей модели (это приблизительно соответствует эффективности излучения гамма–всплеска η).
УФ–излучение (hv > 13.6 эВ) и мягкое рентгеновское излучение эффективно экранируются газопылевым облаком (рис. 8), поэтому излучение в рентгеновском диапазоне длин волн вносит основной вклад в ионизацию молекул H₂ и ионов металлов на расстояниях R > Rion. Стандартная модель синхротронного излучения головной ударной волны, которая распространяется во внешней среде с постоянной плотностью, предсказывает следующую зависимость от времени интенсивности послесвечения в рентгеновском диапазоне:
(35)
где α = – 3(1–p)/4 в режиме медленного охлаждения (v < vc), и α = – (2–3p)/4 в режиме быстрого охлаждения (v > vc), p — показатель степени в распределении электронов, vc — характерная частота синхротронного излучения электрона, для которого время потерь на излучение сравнимо с динамическим временем (Гранот, Сари, 2002). В нашей модели p = 2.3, и α ≈ 1 и α ≈ 1.2 для режимов медленного и быстрого охлаждения. Для времени t = 10³ с частота охлаждения равна hvc ≈ 4 кэВ (рис. 1). Скорость ионизации газа рентгеновским излучением относительно медленно спадает со временем, что указывает на необходимость производить расчеты для больших времен (tmax ≳ 104c). Согласно нашим расчетам, степень ионизации газа на расстоянии 15 пк от источника возрастает с 1.5 × 10–4 до 1.7 × 10–4 за время с 104 до 10⁵ c (для солнечной металличности). Расстояние от источника гамма–всплеска до ионизационного фронта также увеличивается — увеличение радиуса фронта ионизации равно 0.4 пк (что равно 10%) за время с 104 до 10⁵ c.
Рост степени ионизации газа прекращается, когда скорость ионизации газа становится сравнима со скоростью рекомбинации ионов. Скорость ионизации газа на расстоянии 15 пк в момент времени 10⁵ c составляет порядка 10–10 c–1. Характерная скорость рекомбинации ионов металлов равна αne, где α ∼ 10–12 – 10–10 см3 c–1 для Te ≈ 10³ K (Пекино и др., 1991), а концентрация электронов равна ne = 0.2 см–3 на расстоянии 15 пк. Таким образом, для времен и расстояний, рассматриваемых в этой работе, скорости реакций рекомбинации малы.
Поглощение излучения в рентгеновском диапазоне длин волн
Наблюдаемые значения лучевой концентрации NHX, которая обуславливает поглощение излучения послесвечения гамма–всплеска в рентгеновском диапазоне длин волн, лежат в диапазоне от малых значений до ≈ 10²3 см⁻², а среднее значение равно около 10²² см⁻² (Кампана и др., 2010, 2012). В модели Уотсона и др. (2013) поглощение излучения послесвечения гамма–всплеска происходит в HII области, где произошел гамма–всплеск. В их модели вклад ионов металлов в поглощение мал вследствие ионизации ионов металлов до высокой степени излучением гамма–всплеска, а поглощение излучения происходит ионами гелия. Уотсон и др. (2013) рассматривают наблюдаемое увеличение среднего отношения NHX/Av с красным смещением z как указание на то, что поглощение излучения осуществляется ионами гелия, а не ионами металлов.
В нашей модели поглощение излучения происходит в частично ионизованном молекулярном газе на расстоянии больше радиуса ионизации, R > Rion. Для NH,tot – N0 = 10²² см⁻² и энергии фотонов 1 кэВ, вклад ионов металлов, HeI и H₂ в оптическую толщину в нашей модели составляет приблизительно 35%, 35% и 25% соответственно (для солнечной металличности). С увеличением энергии фотонов вклад ионов металлов в поглощение увеличивается, так как включаются процессы фотоионизации внутренних электронных оболочек ионов металлов Si, S, Fe. Для энергий фотонов hv > 5–10 кэВ главный вклад в поглощение излучения вносит комптоновская ионизация H₂ и Не. Вклад HeII в поглощение излучения мал. Оптическая толщина за счет фотоионизации электронных К–оболочек ионов железа мала и составляет ~0.01 (энергии ионизации К–оболочек ионов железа лежат в диапазоне 7–9 кэВ).
В работе Куккьяра и др. (2015) исследовали спектры послесвечений гамма–всплесков, в которых наблюдается демпфированная линия Lyα. Согласно их результатам, металличность газа в родительских галактиках гамма–всплесков составляет в среднем около 10% от солнечного значения металличности для гамма–всплесков на красном смещении z = 3.5–6. Можно ожидать, что с уменьшением металличности вклад HeI и H₂ в поглощение излучения послесвечения в рентгеновской части спектра будет увеличиваться. Согласно нашим расчетам для , вклад атомов Не и молекул H₂ в поглощение излучения является доминирующим: вклад HeI и H₂ в оптическую толщину для энергий фотонов 1 кэВ составляет около 55% и 40% соответственно. Результаты наших расчетов подтвердили предположение Уотсона и др. (2013), что фотоионизация атомов Не играет важную роль в поглощении излучения в рентгеновском диапазоне длин волн. В нашей модели поглощение излучения происходит в плотном молекулярном облаке, расположенном в окрестности гамма–всплеска. В работе Сталинга и др. (2013) также показано, что в случае холодного нейтрального газа вклад Н/H₂ и НеI в поглощение излучения в рентгеновском диапазоне длин волн существенен даже для солнечной металличности.
Лучевая концентрация атомарного водорода NHI пропорциональна концентрации атомарного водорода в облаке в начальный момент времени, т.е. является модельно–зависимым параметром. В нашей модели nH = 0 при t = 0, поэтому NHI мало и не зависит от NH,tot. После прохождения излучения гамма–всплеска через облако атомарный водород находится преимущественно вблизи ионизационного фронта, и NHI 1.5 × 10²0 см⁻² (рис. 3). Согласно нашим расчетам, лучевая концентрация ионов Mg, Si, Fe в состояниях ионизации I–IV много меньше лучевой концентрации ионов с большим зарядом для всех рассматриваемых значений NH,tot (рис. 7). Эти результаты соответствуют наблюдательным данным — анализ переменности профилей абсорбционных линий ионов металлов с малым зарядом указывает на то, что поглощение в линиях этих ионов происходит на больших расстояниях от источника гамма–всплеска (см., например, Вресвийк и др., 2007). Кроме того, согласно расчетам, поглощение оптического излучения на пыли отсутствует в нашей модели для NH,tot < Nd ≈ 2.7 × 10²² см⁻², где Nd — лучевая концентрация водорода, которая соответствует радиусу испарения пыли. Модель предсказывает наличие абсорбционных линий молекулы H₂ в спектре послесвечения гамма–всплеска. Линии молекулы H₂ действительно наблюдаются в спектрах некоторых гамма–всплесков (Болмер и др., 2019).
ЗАКЛЮЧЕНИЕ
Построена модель прохождения гамма–всплеска через плотное молекулярное облако, которое расположено вблизи источника всплеска. Плотность облака была выбрана в модели равной nH,tot = 10³ см–3. Интенсивность и длительность излучения гамма–всплеска в УФ–диапазоне длин волн определяет радиус ионизационного фронта и радиус испарения пыли. Размер границы между полностью ионизованным газом и нейтральным газом составляет около 0.05 пк, на этом расстоянии степень ионизации газа падает в ≈10 раз.
Ионизация ионов металлов рентгеновским излучением определяет степень ионизации газа в области, где газ преимущественно нейтральный. Ионизация ионов металлов осуществляется через фотоионизацию внутренних электронных оболочек ионов, что сопровождается испусканием Оже–электронов. Это приводит к образованию ионов в высоком ионизационном состоянии. Лучевые концентрации ионов Mg, Si, Fe в состоянии ионизации I–IV много меньше, чем лучевые концентрации ионов в состоянии ионизации V и выше. Лучевая концентрация ионов серы SI–SII становится больше лучевой концентрации ионов серы в более высоких состояниях ионизации только для больших лучевых концентраций водорода в облаке, NH,tot > 6 ×10²² см⁻², а лучевая концентрация ионов серы SIII и SIV мала для всех NH,tot . Фотоионизация ионов металлов УФ–излучением происходит только на расстояниях меньше радиуса испарения пыли и для ионов с порогом ионизации меньше 13.6 эВ.
Результаты наших расчетов подтвердили предположение Уотсона и др. (2013), что фотоионизация атомов Не играет важную роль в поглощении излучения в рентгеновском диапазоне длин волн. Для низкой металличности, [M/H], роль атомов гелия является доминирующей. Численная модель, построенная в этой работе, будет использована в дальнейшем для аппроксимации спектров послесвечения гамма–всплесков в рентгеновском диапазоне длин волн и интерпретации данных наблюдений абсорбционных линий ионов металлов.
ФИНАНСИРОВАНИЕ
Работа выполнена при поддержке гранта РНФ 2112–00250.
1 https://www.astro.princeton.edu/~draine/dust/dust.html
About the authors
A. В. Нестерёнок
Физико-технический институт им. А.Ф. Иоффе
Author for correspondence.
Email: alex-n10@yandex.ru
Russian Federation, Санкт-Петербург
References
- Акерлоф и др. (C. Akerlof, R. Balsano, S. Barthelmy, J. Bloch, P. Butterworth, D. Casperson, T. Cline, S. Fletcher, et al.), Nature 398, 400 (1999).
- Амати (L. Amati), MNRAS 372, 233 (2006).
- Архипов и др. (D.N. Arkhipov, S.A. Astashkevich, A.A. Mityureva, and V.V. Smirnov), Phys. Lett. A Phys. Lett. A 382, 1881 (2018).
- Бадьин Д.А., Блинников С.И., Постнов К.А., Письма в Астрон. журн. 36, 723 (2010) [D.A. Bad’in, S.I. Blinnikov, K.A. Postnov, Astron. Lett. 36, 687 (2010)].
- Барков М.В., Бисноватый-Коган Г.С., Астрон. журн. 82, 29 (2005а) [M.V. Barkov, G.S. Bisnovaty-Kogan, Astron. Rep. 49, 24 (2005a)].
- Барков М.В., Бисноватый-Коган Г.С., Астрон. журн. 82, 685 (2005б) [M.V. Barkov, G.S. Bisnovaty-Kogan, Astron. Rep. 49, 611 (2005b)].
- Барниол Дуран (R. Barniol Duran), MNRAS 442, 3147 (2014).
- вон Басч, Данн (F. von Busch and G.H. Dunn), Phys. Rev. A 5, 1726 (1972).
- Беньямини и др. (P. Beniamini, L. Nava, and T. Piran), MNRAS 461, 51 (2016).
- Беньямини, ван дер Хорст (P. Beniamini, and A.J. van der Horst), MNRAS 472, 3161 (2017).
- Болмер и др. (J. Bolmer, C. Ledoux, P. Wiseman, A. De Cia, J. Selsing, P. Schady, J. Greiner, S. Savaglio, et al.), Astron. Astrophys. 623, A43 (2019).
- Боссион и др. (D. Bossion, Y. Scribano, F. Lique, and G. Parlant), MNRAS 480, 3718 (2018).
- Брук и др. (E. Brook, M.F.A. Harrison, and A.C.H. Smith), J. Phys. B: Atom. Molec. Phys. 11, 3115 (1978).
- Бэнд и др. (D. Band, J. Matteson, L. Ford, B. Schaefer, D. Palmer, B. Teegarden, T. Cline, M. Briggs, et al.), Astrophys. J. 413, 281 (1993).
- Ваксман, Дрейн (E. Waxman and B.T. Draine), Astrophys. J. 537, 796 (2000).
- Ван и др. (Y. Wan, B.H. Yang, P.C. Stancil, N. Balakrishnan, N.J. Parekh, and R.C. Forrey), Astrophys. J. 862, 132 (2018).
- Вейнгартнер, Дрейн (J.C. Weingartner and B.T. Draine), Astrophys. J. 548, 296 (2001).
- Вернер, Яковлев (D.A. Verner and D.G. Yakovlev), Astron. Astrophys. Suppl. Ser. 109, 125 (1995).
- Вернер и др. (D.A. Verner, G.J. Ferland, K.T. Korista, and D.G. Yakovlev), Astrophys. J. 465, 487 (1996).
- Волниевич и др. (L. Wolniewicz, I. Simbotin, and A. Dalgarno), Astrophys. J. Suppl. Ser. 115, 293 (1998).
- Вресвийк и др. (P.M. Vreeswijk, C. Ledoux, A. Smette, S.L. Ellison, A.O. Jaunsen, M.I. Andersen, A.S. Fruchter, J.P.U. Fynbo, et al.), Astron. Astrophys. 468, 83 (2007).
- Гарднер и др. (D.J. Gardner, D.R. Reynolds, C.S. Woodward, and C.J. Balos), ACM Transactions on Mathematical Software 48, 31 (2022).
- Голдштейн и др. (A. Goldstein, V. Connaughton, M.S. Briggs, and E. Burns), Astrophys. J. 818, 18 (2016).
- Гранот, Сари (J. Granot and R. Sari), Astrophys. J. 568, 820 (2002).
- Гухатхакурта, Дрейн (P. Guhathakurta and B.T. Draine), Astrophys. J. 345, 230 (1989).
- Гэй и др. (C.D. Gay, N.P. Abel, R.L. Porter, P.C. Stancil, G.J. Ferland, G. Shaw, P.A.M. van Hoof, and R.J.R. Williams), Astrophys. J. 746, 78 (2012).
- Дрейн, Бертольди (B.T. Draine, and F. Bertoldi), Astrophys. J. 468, 269 (1996).
- Дрейн, Ли (B.T. Draine and A. Li), Astrophys. J. 551, 807 (2001).
- Дрейн, Хао (B.T. Draine and L. Hao), Аstrophys. J. 69, 780 (2002).
- Дрейн (B.T. Draine), Astrophys. J. 598, 1026 (2003).
- Дрейн (B.T. Draine), Physics of the Interstellar and Intergalactic Medium (Princeton: Princeton Univer. Press, 2011).
- Жанг и др. (B. Zhang, E. Liang, K.L. Page, D. Grupe, B.-B. Zhang, S.D. Barthelmy, D.N. Burrows, S. Campana, et al.), Astrophys. J. 655, 989 (2007).
- Каастра, Меве (J.S. Kaastra and R. Mewe), Astron. Astrophys. Suppl. Ser. 97, 443 (1993).
- Кампана и др. (S. Campana, C.C. Thöne, A. de Ugarte Postigo, G. Tagliaferri, A. Moretti, and S. Covino), MNRAS 402, 2429 (2010).
- Кампана и др. (S. Campana, R. Salvaterra, A. Melandri, S.D. Vergani, S. Covino, P. D’Avanzo, D. Fugazza, G. Ghisellini, et al.), MNRAS 421, 1697 (2012).
- Канеко и др. (Y. Kaneko, R.D. Preece, M.S. Briggs, W.S. Paciesas, C.A. Meegan, and D.L. Band), Astrophys. J. Suppl. Ser. 166, 298 (2006).
- Краутер (P. Crowther), Astron. Geophys. 53, 4.30 (2012).
- Кронгольд, Прочаска (Y. Krongold and J.X. Prochaska), Astrophys. J. 774, 115 (2013).
- Куккьяра и др. (A. Cucchiara, A.J. Levan, D.B. Fox, N.R. Tanvir, T.N. Ukwatta, E. Berger, T. Krühler, A.K. Yoldas, et al.), Astrophys. J. 736, 7 (2011).
- Куккьяра и др. (A. Cucchiara, M. Fumagalli, M. Rafelski, D. Kocevski, J.X. Prochaska, R.J. Cooke, and G.D. Becker), Astrophys. J. 804, 51 (2015).
- Кумар, Жанг (P. Kumar and B. Zhang), Phys. Rep. 561 1 (2015).
- Курран и др. (P.A. Curran, P.A. Evans, M. de Pasquale, M.J. Page, and A.J. van der Horst), Astrophys. J. 716, L135 (2010).
- Лаззати и др. (D. Lazzati, R. Perna, and G. Ghisellini), MNRAS 325, L19 (2001).
- Лаззати, Перна (D. Lazzati and R. Perna), MNRAS 330, 383 (2002).
- Лаззати, Перна (D. Lazzati and R. Perna), MNRAS 340, 694 (2003).
- Лаор, Дрейн (A. Laor and B.T. Draine), Astrophys. J. 402, 441 (1993).
- Лоддерс (K. Lodders), Space Sci. Rev. 217, 44 (2021).
- Нава и др. (L. Nava, G. Ghirlanda, G. Ghisellini, and A. Celotti), Astron. Astrophys. 530, A21 (2011).
- Нава и др. (L. Nava, R. Salvaterra, G. Ghirlanda, G. Ghisellini, S. Campana, S. Covino, G. Cusumano, P. D’Avanzo, et al.), MNRAS 421, 1256 (2012).
- Нава и др. (L. Nava, G. Vianello, N. Omodei, G. Ghisellini, G. Ghirlanda, A. Celotti, F. Longo, R. Desiante, et al.), MNRAS 443, 3578 (2014).
- Накар, Пиран (E. Nakar and T. Piran), MNRAS 353, 647 (2004).
- Накар, Пиран (E. Nakar and T. Piran), Astrophys. J. 619, L147 (2005).
- Оганесян и др. (G. Oganesyan, S. Karpov, O.S. Salafia, M. Jelínek, G. Beskin, S. Ronchini, B. Banerjee, M. Branchesi, et al.), Nature Astron. 7, 843 (2023).
- Остерброк, Ферланд (D.E. Osterbrock and G.J. Ferland), Astrophysics of gaseous Nebulae and Active Galactic Nuclei (Sausalito: Univer. Sci. Books, 2006).
- Панаитеску, Кумар (A. Panaitescu and P. Kumar), Astrophys. J. 571, 779 (2002).
- Пекино и др. (D. Péquignot, P. Petitjean, and C. Boisson), Astron. Astrophys. 251, 680 (1991).
- Перна, Лоеб (R. Perna and A. Loeb), Astrophys. J. 501, 467 (1998).
- Перна и др. (R. Perna, J. Raymond, and A. Loeb), Astrophys. J. 533, 658 (2000).
- Перна, Лаззати (R. Perna and D. Lazzati), Astrophys. J. 580, 261 (2002).
- Перна и др. (R. Perna, D. Lazzati, and F. Fiore), Astrophys. J. 585, 775 (2003).
- Петросян, Даинотти (V. Petrosian and M.G. Dainotti), Astrophys. J. 963, L12 (2024).
- Позаненко А.С., Барков М.В., Минаев П.Ю., Вольнова А.А., 47, 823 (2021) [A.S. Pozanenko, M.V. Barkov, P.Yu. Minaev, A.A. Volnova, Astron. Lett. 47, 791 (2021)].
- Прочаска и др. (J.X. Prochaska, H.-W. Chen, M. Dessauges-Zavadsky, and J.S. Bloom), Astrophys. J. 666, 267 (2007).
- Прочаска и др. (J.X. Prochaska, M. Dessauges-Zavadsky, E. Ramirez-Ruiz, and H.-W. Chen), Astrophys. J. 685, 344 (2008).
- Райан и др. (G. Ryan, H. van Eerten, A. MacFadyen, and B.-B. Zhang) Astrophys. J. 799, 3 (2015).
- Райан и др. (G. Ryan, H. van Eerten, L. Piro, and E. Troja), Astrophys. J. 896, 166 (2020).
- Растинежад и др. (J.C. Rastinejad, B.P. Gompertz, A.J. Levan, W. Fong, M. Nicholl, G.P. Lamb, D.B. Malesani, A.E. Nugent, et al.), Nature 612, 223 (2022).
- Рахин, Бехар (R. Rahin and E. Behar), Astrophys. J. 885, 47 (2019).
- Роджерс, Вильямс (C.D. Rodgers and A.P. Williams), J. of Quantitative Spectroscopy and Radiative Transfer 14, 319 (1974).
- Сантана и др. (R. Santana, R. Barniol Duran, and P. Kumar), Astrophys. J. 785, 29 (2014).
- Сари, Пиран (R. Sari and T. Piran), Astrophys. J. 520, 641 (1999).
- Сталинг и др. (R.L.C. Starling, R. Willingale, N.R. Tanvir, A.E. Scott, K. Wiersema, P.T. O’Brien, A.J. Levan, and G.C. Stewart), MNRAS 431, 3159 (2013).
- Танвир и др. (N.R. Tanvir, J.P.U. Fynbo, A. de Ugarte Postigo, J. Japelj, K. Wiersema, D. Malesani, D.A. Perley, A.J. Levan, et al.), MNRAS 483, 5380 (2019).
- Тон и др. (C.C. Thöne, J.P.U. Fynbo, P. Goldoni, A. de Ugarte Postigo, S. Campana, S.D. Vergani, S. Covino, T. Krühler, et al.), MNRAS 428, 3590 (2013).
- Уотсон и др. (D. Watson, J. Hjorth, J.P.U. Fynbo, P. Jakobsson, S. Foley, J. Sollerman, and R.A.M.J. Wijers), Astrophys. J. 660, L101 (2007).
- Уотсон и др. (D. Watson, T. Zafar, A.C. Andersen, J.P.U. Fynbo, J. Gorosabel, J. Hjorth, P. Jakobsson, T. Krühler, et al.), Astrophys. J. 768, 23 (2013).
- Ферланд и др. (G.J. Ferland, M. Chatzikos, F. Guzmán, M.L. Lykins, P.A.M. van Hoof, R.J.R. Williams, N.P. Abel, N.R. Badnell, et al.), Revista Mexicana de Astronomia y Astrofisica 53, 385 (2017).
- Финбо и др. (J.P.U. Fynbo, P. Jakobsson, J.X. Prochaska, D. Malesani, C. Ledoux, A. de Ugarte Postigo, M. Nardini, P.M. Vreeswijk, et al.), Astrophys. J. Suppl. Ser. 185, 526 (2009).
- Фокс и др. (A.J. Fox, C. Ledoux, P.M. Vreeswijk, A. Smette, and A.O. Jaunsen), Astron. Astrophys. 491, 189 (2008).
- Хаббелл и др. (J.H. Hubbell, Wm.J. Veigele, E.A. Briggs, R.T. Brown, D.T. Cromer, and R.J. Howerton), J. of Physical and Chemical Reference Data 4, 471 (1975).
- Хейнтц и др. (K.E. Heintz, D. Watson, P. Jakobsson, J.P.U. Fynbo, J. Bolmer, M. Arabsalmani, Z. Cano, S. Covino, et al.), MNRAS 479, 3456 (2018).
- Хиндмарш и др. (A.C. Hindmarsh, P.N. Brown, K.E. Grant, S.L. Lee, R. Serban, D.E. Shumaker, and C.S. Woodward), ACM Transactions on Mathematical Software 31, 363 (2005).
- Цветкова и др. (A. Tsvetkova, D. Frederiks, D. Svinkin, R. Aptekar, T.L. Cline, S. Golenetskii, K. Hurley, A. Lysenko, et al.), Astrophys. J. 908 83 (2021).
- Чанг и др. (Y.M. Chung, E.-M. Lee, T. Masuoka, and J.A.R. Samson), J. of Chemical Phys. 99, 885 (1993).
- Шади и др. (P. Schady, S. Savaglio, T. Krühler, J. Greiner, and A. Rau), Astron. Astrophys. 525, A113 (2011).
- Шади (P. Schady), Royal Soc. Open Sci. 4, 170304 (2017).
- Шоу и др. (G. Shaw, G.J. Ferland, N.P. Abel, P.C. Stancil, and P.A.M. van Hoof), Astrophys. J. 624, 794 (2005).
- Ян и др. (M. Yan, H.R. Sadeghpour, and A. Dalgarno), Astrophys. J. 496, 1044 (1998).
- Ян и др. (M. Yan, H.R. Sadeghpour, and A. Dalgarno), Astrophys. J. 559, 1194 (2001).
Supplementary files










