Исследование углеродной звезды T Дракона
- Autores: Татарников А.М.1,2, Желтоухов С.Г.1,2, Шенаврин В.И.1, Сергеенкова И.В.2, Вахонин А.А.1,2
-
Afiliações:
- Государственный астрономический институт им. П. К. Штернберга Московского государственного университета им. М. В. Ломоносова
- Московский государственный университет им. М. В. Ломоносова
- Edição: Volume 50, Nº 1 (2024)
- Páginas: 73-81
- Seção: Articles
- URL: https://medbiosci.ru/0320-0108/article/view/266564
- DOI: https://doi.org/10.31857/S0320010824010051
- EDN: https://elibrary.ru/OQYHNU
- ID: 266564
Citar
Texto integral
Resumo
Представлены результаты фотометрических инфракрасных наблюдений в полосах JHKLM и спектральных инфракрасных наблюдений в диапазоне 1–2.5 мкм углеродной мириды T Dra, выполненных с 2019 по 2023 гг. Анализ фотометрических наблюдений показывает наличие в это время как пульсационных колебаний блеска с амплитудой падающей от 1.2m в полосе J до 0.84m в полосах L и M, так и наличие линейного тренда среднего уровня блеска величиной 0.0007m/d в полосе J. В ИК-спектре T Dra выделены полосы поглощения молекул С2H2, HCN, CN, CO и C2. Обнаружена зависимость глубины полосы поглощения 1.53 мкм от блеска звезды. Показано, что полосы CO 12.29 мкм имеют высокий контраст, что указывает на их формирование не в атмосфере звезды, а в околозвездной пылевой оболочке. Представлено распределение энергии в спектре T Dra в широком спектральном диапазоне, по которому получены оценки болометрических потоков в максимуме и минимуме блеска: 4.8×10–10 Вт/м2 и 2.5×10–10 Вт/м2 соответственно. Для расстояния T Dra 944 пк они соответствуют светимости звезды в максимуме блеска Lmax ≈ 13300 L⊙ и в минимуме блеска Lmin ≈ 6900 L⊙. Проведено моделирование переноса излучения в околозвездной оболочке T Dra и получены оценки параметров звезды и оболочки: Teff = 2400 K, R* = 670 R⊙, Rin = 5–6 а. е., Rout ~ 50000 а. е., τV = 3.5, Mdust = 4 – 8×10–10 M⊙, dM/dt ~ 1.5 × 10–6 M⊙/год.
Palavras-chave
Texto integral
ВВЕДЕНИЕ
Звезды малых и промежуточных масс в конце своей эволюции оказываются на стадии асимптотической ветви гигантов (AGB). При этом они имеют низкие эффективные температуры (Teff ≤ 3000 K) и большие светимости (L ≥ 1000 L⊙), т. е. относятся к сверхгигантам спектрального класса M. У звезд с начальными массами от 1.5 до 4 M⊙ (при солнечном химсоставе) на AGB стадии со временем происходит обогащение атмосферы углеродом (Хофнер, Олофссон, 2018). Если соотношение C/O в атмосфере такой звезды становится >1, то ее относят к углеродным звездам. Находясь в полосе нестабильности, AGB звезды пульсируют с большими периодами и амплитудами (Фадеев, 2017), имеют высокий темп потери массы (до 10–5 M⊙/год) и часто окружены массивными околозвездными пылевыми оболочками, являясь важными поставщиками вещества в межзвездную среду галактик.
Рассматриваемая в настоящей работе углеродная звезда T Dra входит в Общий каталог углеродных звезд Галактики (Алкснис и др., 2001) и имеет спектральный класс C6,2e-C8,3e. Она является известной яркой звездой типа Миры Кита и одним из наиболее ярких источников излучения в ближнем ИК-диапазоне на небе. Несмотря на это, фотометрическое поведение звезды изучено слабо. Она показывает колебания блеска с амплитудой в оптическом диапазоне >3m и периодом пульсаций 421.62 сут (Самусь и др., 2017). Согласно Перси и Багби (1999), на кривой блеска T Dra есть признаки наличия вторичного периода с амплитудой около 1m и периодом ≈8700d.
В 1995–1998 гг. на околоземной орбите работала инфракрасная обсерватория ISO 1 (Кесслер и др., 1996). Одними из основных объектов наблюдений обсерватории были звезды, находящиеся на поздних стадиях эволюции. В том числе, ISO было получено восемь спектров T Dra на разных пульсационных фазах в широком спектральном диапазоне – от 2.38 до 45 мкм (де Грааув и др., 1996). После работы Арингера и др. (2009) при моделировании пылевых вокруг углеродных звезд появилась возможность более реалистично задавать распределение энергии в спектрах центральных источников вместо использования излучения абсолютно черного тела. Это позволяет одновременно определять параметры и излучающей звезды, и ее околозвездной оболочки. В литературе отсутствуют ссылки на подобные модели для T Dra, построение которой является основной целью нашей работы.
НАБЛЮДЕНИЯ
Спектральные инфракрасные наблюдения T Dra в диапазоне длин волн 1–2.45 мкм проводились с камерой-спектрографом ASTRONIRCAM (Наджип и др., 2017), установленной на 2.5-м телескопе Кавказской горной обсерватории ГАИШ (КГО, Шатский и др., 2020). Наблюдения были получены в режиме кросс-дисперсии с входной щелью шириной 0.9ʺ и спектральной разрешающей силой R = 1030–1270 в зависимости от длины волны (Желтоухов и др., 2020). Вынос за атмосферу производился с помощью теллурических стандартов – звезд спектрального класса A0V, наблюдавшихся на близкой воздушной массе. Распределение энергии в спектре A0V звезды было взято из работы Пиклза (1998). Моменты наблюдений приведены в табл. 1, фазы вычислены по эфемеридам, представленным в конце следующего раздела.
Таблица 1. Журнал спектральных ИК-наблюдений T Dra, выполненных на 2.5-м телескопе КГО
JD2400000+ | Дата | Фаза |
2458884.5 | 05-02-2020 | 0.21 |
2458930.6 | 22-03-2020 | 0.32 |
2458947.3 | 07-04-2020 | 0.36 |
2458990.4 | 20-05-2020 | 0.46 |
2459008.3 | 07-06-2020 | 0.50 |
2459029.4 | 28-06-2020 | 0.55 |
2459246.6 | 01-02-2021 | 0.07 |
2459561.7 | 13-12-2021 | 0.81 |
2460032.5 | 29-03-2023 | 0.93 |
2460152.6 | 26-07-2023 | 0.21 |
2460210.3 | 22-09-2023 | 0.35 |
Рабочий спектральный диапазон спектрографа делится на четыре отдельных диапазона по числу рабочих порядков основной гризмы прибора (Желтоухов и др., 2020). Во время наблюдений порядки регистрируются одновременно попарно: в коротковолновой части с большим перекрытием по длине волны диапазоны 1.04–1.24 мкм и 1.15–1.48 мкм, в длинноволновой части – диапазоны 1.51–1.88 мкм и 1.78–2.45 мкм, где на перекрывающийся диапазон попадает сильная полоса поглощения атмосферы. Попарная регистрация диапазонов позволяет быть уверенным в относительной взаимной калибровке спектров в этих диапазонах.
Фотометрические ИК-наблюдения T Dra в полосах JHKLM проводились с одноканальным InSb-фотометром, установленном на 1.25-м телескопе Крымской астрономической станции ГАИШ (Шенаврин и др., 2011). В качестве стандарта при наблюдениях использовалась звезда BS6688 (J = 1.80, H = 1.18, K = 1.03, L = 0.96, M = 1.12). Ошибки фотометрии не превышают 0.02m. Результаты приведены в табл. 2.
Таблица 2. Результаты фотометрических JHKLM-наблюдений T Dra в 2019–2023 гг.
JD2400000+ | J | H | K | L | M |
58652.4 | 5.57 | 3.99 | 2.45 | 0.59 | 0.10 |
58705.3 | 4.92 | 3.43 | 2.00 | 0.10 | –0.28 |
58895.6 | 5.19 | 3.62 | 2.17 | 0.31 | –0.11 |
58916.6 | 5.46 | 3.87 | 2.37 | 0.45 | –0.07 |
58921.6 | 5.54 | 3.93 | 2.43 | 0.53 | 0.04 |
58928.6 | 5.62 | 3.99 | 2.47 | 0.55 | 0.10 |
58934.5 | 5.73 | 4.09 | 2.53 | 0.58 | 0.16 |
58948.5 | 5.86 | 4.22 | 2.65 | 0.72 | 0.24 |
58964.5 | 5.99 | 4.35 | 2.74 | 0.78 | 0.28 |
58981.4 | 6.05 | 4.40 | 2.77 | 0.83 | 0.36 |
59002.4 | 6.09 | 4.44 | 2.77 | 0.87 | 0.34 |
59026.4 | 5.99 | 4.38 | 2.71 | 0.80 | 0.25 |
59037.4 | 5.95 | 4.34 | 2.69 | 0.79 | 0.32 |
59061.3 | 5.88 | 4.28 | 2.63 | 0.70 | 0.23 |
59069.3 | 5.88 | 4.31 | 2.64 | 0.72 | 0.22 |
59077.3 | 5.84 | 4.27 | 2.63 | 0.70 | 0.14 |
59091.2 | 5.80 | 4.22 | 2.57 | 0.63 | –0.04 |
59124.2 | 5.27 | 3.75 | 2.18 | 0.28 | –0.20 |
59147.2 | 5.06 | 3.55 | 2.01 | 0.14 | –0.33 |
59165.1 | 4.99 | 3.49 | 1.95 | 0.10 | –0.37 |
59174.1 | 4.99 | 3.45 | 1.95 | 0.11 | –0.37 |
59217.7 | 4.88 | 3.37 | 1.86 | 0.04 | –0.43 |
59288.6 | 5.08 | 3.52 | 2.04 | 0.22 | –0.26 |
59327.4 | 5.32 | 3.77 | 2.28 | 0.47 | 0.03 |
59374.4 | 5.65 | 4.08 | 2.54 | 0.74 | 0.27 |
59395.4 | 5.78 | 4.17 | 2.63 | 0.82 | 0.35 |
59414.3 | 5.78 | 4.22 | 2.67 | 0.89 | 0.40 |
59445.4 | 5.66 | 4.14 | 2.60 | 0.83 | 0.41 |
59452.3 | 5.64 | 4.10 | 2.58 | 0.81 | 0.35 |
59475.3 | 5.46 | 3.93 | 2.44 | 0.70 | 0.20 |
59510.2 | 5.26 | 3.78 | 2.36 | 0.63 | 0.13 |
59519.2 | 5.22 | 3.74 | 2.33 | 0.58 | 0.13 |
59543.2 | 4.84 | 3.46 | 2.08 | 0.32 | –0.20 |
59626.6 | 4.41 | 3.01 | 1.73 | 0.00 | –0.44 |
59652.6 | 4.32 | 2.93 | 1.68 | -0.02 | –0.49 |
59660.6 | 4.32 | 2.91 | 1.66 | -0.03 | –0.47 |
59685.5 | 4.33 | 2.92 | 1.69 | 0.00 | –0.41 |
59708.5 | 4.43 | 3.00 | 1.78 | 0.10 | –0.39 |
59731.4 | 4.67 | 3.17 | 1.93 | 0.21 | –0.18 |
59741.4 | 4.79 | 3.28 | 2.00 | 0.27 | –0.04 |
59772.4 | 5.19 | 3.62 | 2.24 | 0.48 | 0.07 |
59782.3 | 5.34 | 3.78 | 2.36 | 0.59 | 0.21 |
59799.3 | 5.51 | 3.91 | 2.48 | 0.70 | 0.31 |
59859.2 | 5.50 | 3.94 | 2.50 | 0.75 | 0.36 |
59872.2 | 5.40 | 3.89 | 2.45 | 0.74 | 0.24 |
59892.1 | 5.30 | 3.80 | 2.39 | 0.66 | 0.13 |
59986.6 | 4.52 | 3.14 | 1.86 | 0.17 | –0.29 |
60028.5 | 4.34 | 2.95 | 1.69 | 0.02 | –0.38 |
60049.5 | 4.29 | 2.87 | 1.63 | –0.03 | –0.42 |
60068.4 | 4.26 | 2.83 | 1.60 | –0.04 | –0.50 |
60098.5 | 4.35 | 2.88 | 1.64 | –0.02 | –0.40 |
60127.4 | 4.50 | 3.03 | 1.76 | 0.10 | –0.22 |
60152.3 | 4.69 | 3.24 | 1.92 | 0.22 | –0.16 |
60183.3 | 4.90 | 3.39 | 2.10 | 0.44 | 0.12 |
60187.2 | 4.94 | 3.46 | 2.12 | 0.50 | 0.14 |
60210.2 | 5.06 | 3.61 | 2.28 | 0.63 | 0.19 |
60247.1 | 5.18 | 3.70 | 2.37 | 0.76 | 0.37 |
АНАЛИЗ ФОТОМЕТРИЧЕСКИХ НАБЛЮДЕНИЙ
Объект T Dra является популярным среди любителей астрономии, и на сайте AAVSO (Клоппенборг, 2023) собрано более 10 тысяч визуальных оценок ее блеска. Анализ этих данных на более широком временном интервале, чем был рассмотрен Перси и Багби (1999), показывает, что хотя у T Dra и наблюдаются изменения среднего уровня блеска на временных масштабах в несколько тысяч дней, периодической составляющей в этих изменениях не наблюдается. Данные, полученные в промежуток времени от наблюдений T Dra обсерваторией ISO до настоящего момента (т. е. с 1995 г. по 2023 г.), мы использовали для получения представления о том, насколько мог поменяться средний уровень яркости звезды для возможности сопоставления этих спектров. Для этого мы усреднили наблюдения внутри 20-суточных временных отрезков. На рис. 1 показан соответствующий фрагмент кривой блеска. На нем отмечены диапазоны дат, в которые проводились ИК спектральные наблюдения звезды. Хорошо видно, что во время наблюдений в КГО средний блеск звезды в оптическом диапазоне был примерно на 0.7m слабее, чем при наблюдениях ISO. Средний блеск менялся и в период наблюдений в КГО со скоростью ~0.7m/1000d. Кроме того, заметно изменение амплитуды колебаний, которая уменьшилась с почти 4m до 2m.
Рис. 1. Кривая блеска T Cyg в видимом диапазоне, построенная по усредненным данным AAVSO. Прямая линия отражает тренд среднего уровня блеска в период ИК-наблюдений T Dra в КГО. Полосы над кривой блеска отмечают диапазоны дат, в которые были получены спектры ISO (светло-серая полоса) и спектры КГО (темно-серая полоса).
Периодограммный анализ усредненных данных AAVSO, выполненный с помощью разложения в ряд Фурье отклонений наблюдательных данных от полинома 3-й степени, который аппроксимирует временной ряд для учета наличия тренда постоянной составляющей сигнала, дает значение периода 421.9d и момент начального максимума 2449901.9. При этом момент минимума блеска на свертке приходится на фазу φ = 0.56.
На рис. 2 приведены кривые изменения показателей цвета и блеска T Dra в 2019–2023 гг. в ИК-диапазоне. Обращают на себя внимание периодические колебания блеска с амплитудой ~1m и наличие тренда среднего уровня блеска величиной 0.75m/1000d, близкой к наблюдаемой в видимом диапазоне. Заметно также отсутствие фазовой и временной зависимостей показателя цвета L–M, говорящие о синхронном изменении яркости звезды в этих полосах. Существенные изменения показателя цвета J–K (Δ(J–K) ~ 0.5m) связаны с большей амплитудой колебаний в полосе J, они не показывают фазового сдвига относительно J кривой. На восходящей ветви кривой блеска после минимума JD = 2459000 заметна “ступенька” – временное падение скорости роста яркости звезды, характерная особенность кривых блеска мирид (см. Федотьева и др., 2020, и ссылки там). При этом на следующем периоде колебаний такой выраженной особенности не заметно. Кроме того, как видно на рис. 2, положение среднего максимума сдвинуто, и между первой парой максимумов прошло ≈445d, а между второй ≈400d. При этом расстояние между минимумами не поменялось и соответствует периоду ОКПЗ (Самусь и др., 2017).
Рис. 2. Кривые изменения блеска T Dra в полосе J и показателей цвета J–K и L–M. Прямая линия отражает тренд среднего уровня блеска.
Точек на ИК-кривых блеска не достаточно для определения периода колебаний блеска. Однако можно сделать оценку момента начальной фазы. Для всех полос получились близкие эфемериды максимумов блеска: JDmax = 2459221 + 421.62E, где период взят из работы Самуся и др. (2017). Таким образом, наблюдается сдвиг примерно на 0.1P между моментами максимумов блеска в оптическом и ИК-диапазонах. На рис. 3 приведены свертки данных рис. 2 с указанными эфемеридами. Видно, что минимум ИК-блеска попадает на фазу φ = 0.5.
Рис. 3. Фазовые кривые T Dra в полосе J и показателей цвета J–K и L–M, свернутые с периодом 422d.
Амплитуды фазовых кривых после учета тренда среднего уровня блеска составили ∆J = 1.2m, ∆H = 1.1m, ∆K = 0.9m, ∆M = ∆L = 0.84m. Подобное падение амплитуды с ростом длины волны характерно для мирид. Оно наблюдалось, например, у углеродной мириды V CrB (Федотьева и др., 2020) и у классической мириды R Cas Вейгельт и Юдин (2001).
АНАЛИЗ СПЕКТРА И МОДЕЛИРОВАНИЕ РАСПРЕДЕЛЕНИЯ ЭНЕРГИИ
С камерой-спектрографом ASTRONIRCAM наблюдениям доступен диапазон длин волн 1.04–2.45 мкм. Как было сказано выше, после экстракции спектров получаются два независимых спектральных диапазона (коротковолновый и длинноволновый), взаимная относительная калибровка которых возможна лишь при наличии одновременных фотометрических наблюдений. Из-за высокой яркости T Dra фотометрические наблюдения с ASTRONIRCAM невозможны. Поэтому для калибровки мы использовали интерполированные на моменты наблюдений спектров данные из табл. 2: спектры сворачивались с кривыми реакции соответствующих полос Крымского InSb-фотометра, и определялись нормировочные коэффициенты относительно потоков Веги в этих полосах (Курнниф, 1983). Калиброванные таким образом спектры приведены на рис. 4.
Рис. 4. Спектры T Dra в ближнем ИК-диапазоне. Сверху вниз (по левому краю) 29-03-2023, 26-07-2023, 13-12-2021, 05-02-2020, 01-02-2021, 22-09-2023, 22-03-2020, 07-04-2020, 20-05-2020, 28-06-2020, 07-06-2020.
В спектрах, получаемых с поверхности Земли в ближнем ИК-диапазоне, обычно обращают на себя внимание области с резко увеличенным шумом, связанные с наличием теллурических полос поглощения. Наиболее сильные полосы приходятся на диапазоны 1.34–1.48 мкм и 1.78–1.97 мкм, в которых корректное восстановление сигнала после калибровки практически невозможно. Кроме того, присутствуют полосы поглощения, коррекция сигнала в которых возможна при стабильных атмосферных условиях (это 1.13, 2.01 и 2.06 мкм), и множество отдельных слабых линий и полос поглощения. Мы отметили положение основных теллурических полос на рис. 4.
Эмиссионный спектр T Dra в ближнем ИК-диапазоне беден и состоит из двух слабых водородных линий Pβ λ = 1.282 мкм и BrΥ λ = 2.166 мкм.
Спектр T Dra, полученный на любой пульсационной фазе, имеет характерные для углеродных звезд (см., например, Джойс, 1998; Танака и др., 2007; Гонно и др., 2016) молекулярные полосы и линии поглощения. Это прежде всего полоса C2 λ = 1.768 мкм, считающаяся одним из однозначных признаков углеродных звезд в ближнем ИК-диапазоне (Гонно и др., 2016). Она находится на границе теллурической полосы поглощения, но хорошо заметна у T Dra. Так же видна широкая полоса поглощения λ = 1.53 мкм, которую ассоциируют с поглощением молекул C2H2 и HCN. Эта особенность наблюдается не у всех углеродных звезд, но, по-видимому, все углеродные звезды с этой полосой в спектре являются пульсирующими переменными (Гонно и др., 2016). Как видно на рис. 4, глубина этой особенности спектра у T Dra меняется с изменением уровня континуума и зависит от фазы пульсаций (на рис. 4 три спектра с наиболее глубокой полосой 1.53 мкм получены при фазах, близких к минимуму 2020 г.). Для подтверждения зависимости от фазы вне минимума требуется больше спектров, полученных на одной фазе при близком уровне блеска звезды.
Помимо указанных выше двух полос, в спектре хорошо видны серии молекулярных полос CO в области λ = 1.6 и 2.3 мкм и CN в области 1.1 мкм. Их контраст велик и соответствует контрасту обычных углеродных звезд без ИК-избытков излучения.
В работе Гонно и др. (2016) для сравнения разных объектов были введены спектральные индексы, вычисляемые как –2.5lg(Fcont/Fband). Индексы для перечисленных ранее молекулярных полос, измеренные по нашим спектрам, соответствуют спектральным индексам углеродных звезд с большим показателем цвета J–K, имеющим в спектре абсорбционную особенность на 1.53 мкм.
Для углеродных звезд без околозвездных пылевых оболочек показатель J–K < 2. На это указывают и наблюдения, и синтетическая фотометрия, например, по моделям Арингера и др. (2009). Большая величина показателя цвета J–K ~ 3 у T Dra может говорить или о большом межзвездном поглощении, или о наличии околозвездной пылевой оболочки. Взяв расстояние до звезды из GAIA EDR3 (Байлер-Джонс и др., 2021) и используя карту межзвездного поглощения из работы Грин и др. (2019), можно получить, что при расстоянии до T Dra 944 пк величина избытка цвета E(g–r) = 0.04m.
Моделирование излучения звезды, окруженной пылевой оболочкой, лучше проводить в максимально широком спектральном диапазоне. Для построения распределения энергии в спектре T Dra (далее SED) мы использовали следующие данные: спектры космической обсерватории ISO (Слоан и др., 2003) в диапазоне 2.38–45 мкм, фотометрические оценки потока в полосах 12, 25, 60 и 100 мкм из каталога спутников IRAS (Нейгебауэр и др., 1984), AKARI (Ишихара и др., 2010), WISE (Врайт и др., 2010), MSX (Еган и др., 2003) и базы данных наблюдений переменных звезд AAVSO (Клоппенборг, 2023). Кроме того, мы использовали собственные наблюдения T Dra, полученные в КГО и КАС. Все собранные данные были скорректированны за межзвездное поглощение в соответствии с законом из работы Карделли и др. (1989) для величины E(g – r) = 0.04m.
К сожалению, все эти данные были получены на разных пульсационных фазах звезды, которые нельзя просто объединить, так как выше было показано, что в изменении блеска T Dra присутствует не только пульсационная составляющая, но и тренд среднего уровня.
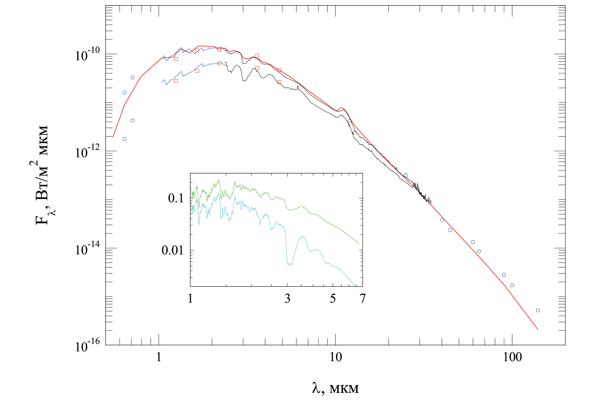
Из собранных нами данных наиболее широкий спектральный диапазон покрывают спектры ISO. Поэтому мы выбрали их в качестве основы для нормировки других данных на соответствующие фазы. Из восьми спектров ISO, полученных на разных фазах, мы выбрали два спектра: от 28 октября 1996 г. (TDT 34601702), полученный на фазе, наиболее близкой к максимуму (φ = 0.07), и от 15 мая 1997 г (TDT 54600104), полученный на фазе φ = 0.54. Как было показано выше, у спектров КГО в длинноволновом диапазоне нет зависимости формы от фазы или блеска объекта. Это позволяет напрямую объединить их со спектром ISO, используя нормировку, вычисленную по диапазону их пересечения. Аналогично можно провести перенормировку средних потоков в максимуме и минимуме блеска в полосах JHKLM через совмещение данных в полосе K с ИК-спектром. Эта нормировка примерно совпадает с изменением среднего уровня блеска звезды в 0.6m между датами наблюдений ISO и в КГО, найденным выше по данным AAVSO. Хорошее совпадение перенормированных потоков в полосах L и M со спектром ISO говорит в пользу корректности предложенной нормировки. Так как амплитуда пульсаций падает с увеличением длины волны, то спутниковые данные, полученные в среднем и дальнем ИК-диапазонах, мы наложили на SED без изменений. Результирующие спектры показаны на рис. 5. Видно, что и в максимуме и в минимуме блеска Fλ в спектре звезды не заметны отдельные максимумы излучения, связанные со звездой и оболочкой, т. е. виден один широкий максимум на длине волны ~2 мкм.
Рис. 5. Наблюдаемое SED T Dra в максимуме и минимуме блеска. Черные линии – спектры ISO, синие линии – спектры КГО, красные символы – JHKLM фотометрия КАС, синие символы – литературные данные и данные AAVSO, красная линия – модельный SED. На врезке голубой линией показан фрагмент синтетического спектра углеродной звезды с Teff = 2400 K и C/O = 1.4 из работы Арингера и др. (2009) и модельный спектр излучения звезды с пылевой оболочкой – зеленая линия.
Наличие SED в столь широком спектральном интервале позволяет получить надежную оценку болометрического потока Fbol = 4.8×10–10 Вт/м2 в максимуме блеска и Fbol = 2.5×10–10 Вт/м2 в минимуме. В предположении сферической симметрии оболочки для расстояния T Dra 944 пк такие потоки соответствуют светимости звезды в максимуме Lmax ≈ 13300 L⊙ и в минимуме Lmin ≈ 6900 L⊙.
Эффективная температура звезды внутри пылевой оболочки оценивалась по видимости абсорбционных полос молекул C2H2 и HCN на длинах волн 2.5, 3 и 3.8 мкм. Согласно Арингеру и др. (2009), они видны в спектрах углеродных звезд при температурах Teff ≤ 3000 K, увеличивая глубину с уменьшением температуры. Излучение пыли уменьшает контраст этих полос (см. врезку на рис. 5), поэтому окончательное значение температуры также подбирается в ходе модельных расчетов.
Для моделирования излучения пылевой оболочки нами использовался пакет RADMC-3D (Дуллемонд и др., 2012). Вычисления проводились с учетом многократного изотропного рассеяния света на пыли. Были зафиксированы такие параметры модели, как сферически симметричная форма оболочки, закон изменения плотности вещества в оболочке n(r) ~ 1/r2 и светимость звезды. Так как в ИК-спектре T Dra присутствует эмиссионная особенность на λ = 11.3 мкм, связанная с наличием в оболочке пылинок из SiC (Трефферс, Коен, 1974), то был зафиксирован и состав пыли в оболочке – смесь графитовых пылинок с оптическими свойствами из работы Су (2000) и пылинок из карбида кремния (Пегури, 1988), относительное содержание которых подбиралось при моделировании SED. Поиск наиболее оптимальной модели проводился перебором параметров с вычислением суммы квадратов, нормированных на величину потока отклонений модельной кривой от наблюдаемой.
Перебор в широких пределах позволил получить следующие параметры модели для максимума блеска: температура звезды Teff = 2400 К, полная оптическая толща в полосе V τV = 3.5 (τ по поглощению 1.9 и t по рассеянию 1.6), внутренний радиус оболочки Rin = 5–6 а. е., внешний радиус оболочки Rout ~ 50 000 а. е., пыль состоит из смеси 20–25% SiC-пылинок и 75–80% C-пылинок с размерами от 0.005 до 1.8–2.2 мкм, с распределением по размерам из Матис и др. (1977). Спектр излучения такой модели приведен на рис. 5.
Как следует из рис. 5, в спектрах T Dra, полученных ISO в максимуме и минимуме блеска, существенно отличаются глубины полос поглощения 2.5, 3 и 3.8 мкм. Расчеты показывают, что такие глубины полос с учетом вклада пыли, уменьшающего их контраст, нельзя описать с использованием синтетических спектров из работы Арингера и др. (2009), т. е. требуется дальнейшее уменьшение температуры звезды. Этого же требует резкое падение потоков излучения в минимуме в оптическом диапазоне. Поэтому моделирование SED в минимуме блеска нами не проводилось.
ЗАКЛЮЧЕНИЕ
В работе представлены результаты инфракрасных фотометрических наблюдений углеродной звезды T Dra, выполненных в полосах JHKLM (спектральный диапазон 1–5 мкм) на протяжении трех полных периодов пульсаций звезды с 2019 по 2023 гг. Кривая блеска (см. рис. 2) показывает изменчивость промежутков времени между соседними максимумами блеска (примерно на 5% относительно среднего). При этом положения минимумов блеска соответствуют эфемеридам. Амплитуда колебаний блеска показывает зависимость от длины волны ΔJ = 1.2m, ΔH = 1.1m, ΔK = 0.9m, ΔM = ΔL = 0.84m, наблюдающуюся и у других мирид, например, у углеродной мириды V CrB (Федотьева и др., 2020) и у классической мириды R Cas (Вейгельт, Юдин, 2001).
В период проведения фотометрических наблюдений были получены спектры T Dra в ближнем ИК-диапазоне (1–2.5 мкм). Это позволило выполнить абсолютную калибровку спектров. На спектрах присутствуют эмиссионные линии водорода и хорошо заметны абсорбционные полосы молекул С2H2, HCN, CN, CO и C2. Сравнение спектров, полученных при разном блеске, показывает, что они слабо зависят от фазы и общего уровня яркости звезды. Наиболее заметные изменения происходят с полосой λ = 1.53 мкм, которую Гонно и др. (2016) связывают с поглощением молекул C2H2 и HCN. В работе Джойс (1998) показано, что полоса 1.5 мкм у мирид сильно зависит от фазы пульсаций. Например, у V Cyg она заметна в максимуме блеска, затем почти исчезает и появляется заново, достигая максимальной глубины на фазах после минимума (φ = 0.7). У T Dra лишь на фазах близких к минимуму наблюдается рост глубины этой полосы и зависимость ее от фазы (а не от блеска звезды, что при наличии значительных изменений среднего уровня не эквивалентно) требует проверки и дополнительных наблюдений.
Анализ спектров T Dra подтверждает зависимость относительных глубин молекулярных полос от среднего показателя цвета J–K, рассмотренную Гонно и др. (2016). Эта зависимость отражает тот факт, что звезды с большими показателями цвета окружены пылевыми оболочками. Близкая к центральной звезде пыль имеют высокую температуру, внося значительный вклад в излучение в ближнем ИК-диапазоне. Это дополнительное излучение замывает полосы, снижая их контраст в спектре. Влияние этого эффекта продемонстрировано на врезке на рис. 5. Не следуют этой зависимости у T Dra полосы поглощения молекулы CO, наблюдающиеся в области λ = 1.6 мкм и λ = 2.3 мкм. Их контраст не отличается от характерного для углеродных звезд. Это можно объяснить, предположив, что за поглощение в полосах CO ответственны молекулы, находящиеся в пылевой оболочке выше ее высокотемпературных внутренних слоев.
Высокий контраст полос CO наблюдается нами и у другой известной углеродной звезды CW Leo, имеющей показатель цвета (J–K) ~ 5 и очень плотную околозвездную пылевую оболочку. Она демонстрирует в своем спектре лишь абсорбционные полосы на λ = 1.53 мкм и CO полосы в области λ = 2.3 мкм. В ее спектре отсутствует даже C2 полоса λ1.77 мкм, замытая излучением пыли. Мы планируем подробнее исследовать ее спектры, полученные в КГО в ближнем ИК-диапазоне в отдельной работе.
На основе спектров космической обсерватории ISO с привлечением собственных и архивных данных нами были собраны SED для моментов максимума 28.10.1996 (φ = 0.07) и минимума блеска 15.05.1997 (φ = 0.54). Широкий спектральный диапазон (от 0.6 до 140 мкм) позволил получить надежные оценки болометрических потоков в эти моменты: 4.8 × 10–10 Вт/м2 и 2.5 × 10–10 Вт/м2 соответственно. При расстоянии T Dra 944 пк они соответствуют светимости звезды Lmax ≈ 13 300 L⊙ и Lmin ≈ 6900 L⊙ соответственно.
С помощью программы моделирования переноса излучения RADMC-3D мы построили модель системы звезда плюс пылевая оболочка, описывающую наблюдаемое в максимуме SED (см. рис. 5). Основные параметры системы в предположении сферической симметрии оболочки и постоянной скорости потери вещества (т. е. степени –2 в законе распределения плотности вещества) такие: температура звезды Teff = 2400 K, радиус звезды R* = 670R⊙, радиус внутренней Rin = 5–6 а. е. и внешней Rout ~ 50000 а. е. границ пылевой оболочки, масса пыли в оболочке Mdust ~ 7 × 10–5 M⊙.
Величина Rout при превышении 25 000 а. е. практически не влияет на форму SED на длинах волн <50 мкм. Угловой размер размер такой оболочки примерно соответствует размеру поля зрения ISO. Тем не менее, мы увеличили радиус оболочки до 50 000 а.е. для лучшего описания длинноволновых измерений, выполненных, например, IRAS с полем зрения более 1ʹ. Дальнейший рост Rout перестает влиять на результат. Оценка массы пыли примерно линейно зависит от величины Rout в указанных диапазонах. Таким образом, масса пыли в оболочке заключена в пределах ~ 4–8 × 10–5 M⊙.
Для оценки темпа потери вещества, необходимого для образования оболочки, используем оценку скорости расширения оболочки T Dra из работы Шоер и Олофссон (2001) Vexp = 13.5 км/с и близкое к межзвездному соотношение Mgas/Mdust = 150 из работы Зубко и др. (2004). Полученное значение dM/dt ~ 6 × 10–7 M⊙/год не будет зависеть от величины Rout. Однако есть указания на то, что в оболочках углеродных звезд соотношение Mgas/Mdust достигает 400 (см. Кнапп, 1985, или Гроеневеген и др., 1998). Для такого соотношения dM/dt ~ 1.5 × 10–6 M⊙/год, что близко к оценкам, полученным в работах Нери и др. (1998), Шоер и Олофссон (2001) и Гроеневеген и др. (2002).
Работа выполнена с использованием оборудования, приобретенного за счет средств Программы развития Московского государственного университета имени М. В. Ломоносова (научно-образовательная школа “Фундаментальные и прикладные исследования космоса”). Авторы благодарят коллектив наблюдателей КГО. Авторы благодарят команду проекта Gaia за возможность использования данных проекта. Авторы благодарят базу данных AAVSO за использованные в этом исследовании результаты наблюдений, предоставленные наблюдателями со всего мира. Работа основывается на наблюдениях ISO – проекте ESA с инструментами стран-участниц (особенно Франции, Германии, Нидерландов и Великобритании) и с участием ISAS и NASA.
ФИНАНСИРОВАНИЕ
Работа поддержана Российским Научным Фондом (грант 23-22-00182).
КОНФЛИКТ ИНТЕРЕСОВ
Авторы заявляют об отсутствии конфликта интересов.
1 Based on observations with ISO, an ESA project with instruments funded by ESA Member States (especially the PI countries: France, Germany, the Netherlands and the United Kingdom) and with the participation of ISAS and NASA.
Sobre autores
А. Татарников
Государственный астрономический институт им. П. К. Штернберга Московского государственного университета им. М. В. Ломоносова; Московский государственный университет им. М. В. Ломоносова
Autor responsável pela correspondência
Email: andrew@sai.msu.ru
Физический факультет
Rússia, Москва, 119234; Москва, 119991С. Желтоухов
Государственный астрономический институт им. П. К. Штернберга Московского государственного университета им. М. В. Ломоносова; Московский государственный университет им. М. В. Ломоносова
Email: andrew@sai.msu.ru
Физический факультет
Rússia, Москва, 119234; Москва, 119991В. Шенаврин
Государственный астрономический институт им. П. К. Штернберга Московского государственного университета им. М. В. Ломоносова
Email: andrew@sai.msu.ru
Rússia, Москва, 119234
И. Сергеенкова
Московский государственный университет им. М. В. Ломоносова
Email: andrew@sai.msu.ru
Физический факультет
Rússia, Москва, 119991А. Вахонин
Государственный астрономический институт им. П. К. Штернберга Московского государственного университета им. М. В. Ломоносова; Московский государственный университет им. М. В. Ломоносова
Email: andrew@sai.msu.ru
Физический факультет
Rússia, Москва, 119234; Москва, 119991Bibliografia
- Алкснис и др. (A. Alksnis, A. Balklavs, U. Dzervitis, I. Eglitis, O. Paupers, and I. Pundure), Balt. Astron. 10, 1 (2001).
- Арингер и др. (B. Aringer, L. Girardi, W. Nowotny, P. Marigo, and M.T. Lederer), Astron. Astrophys. 503, 913 (2009).
- Байлер-Джонс и др. (C.A.L. Bailer-Jones, J. Rybizki, M. Fouesneau, M. Demleitner, and R. Andrae), Astron. J. 161, 147 (2021).
- Вейгельт, Юдин (G. Weigelt and B.F. Yudin), Astron. Rep. 45, 510 (2001).
- Врайт и др. (E.L. Wright, P.R.M. Eisenhardt, A.K. Mainzer, M.E. Ressler, R.M. Cutri, Th. Jarrett, J.D. Kirkpatrick, D. Padgett, et al.), Astron. J. 140, 1868 (2010).
- Гонно и др. (A. Gonneau, A. Lançon, S.C. Trager, B. Aringer, M. Lyubenova, W. Nowotny, R.F. Peletier, P. Prugniel, et al.), Astron. Astrophys. 589, A36 (2016).
- де Грааув и др. (T. de Graauw, L.N. Haser, D.A. Beintema, P.R. Roelfsema, H. van Agthoven, L. Barl, O.H. Bauer, H.E.G. Bekenkamp, et al.), Astron. Astrophys. 315, L49 (1996).
- Грин и др. (G.M. Green, E. Schlafly, C. Zucker, J.S. Speagle, and D. Finkbeiner), Astrophys. J. 887, 93 (2019).
- Гроеневеген и др. (M.A.T. Groenewegen, P.A. Whitelock, C.H. Smith, and F. Kerschbaum), MNRAS293, 18 (1998).
- Гроеневеген и др. (M.A.T. Groenewegen, M. Sevenster, H.W.W. Spoon, and I. Pérez), Astron. Astrophys. 390, 511 (2002).
- Джойс (R.R. Joyce), Astron. J. 115, 2059 (1998).
- Дуллемонд и др. (C.P. Dullemond, A. Juhasz, A. Pohl, et al.), ascl:1202.015 (2012).
- Еган и др. (M.P. Egan, S.D. Price, K.E. Kraemer, et al.), VizieR Online Data Catalog, V/114 (2003).
- Желтоухов С.Г., Татарников А.М., Шатский Н.И., Письма в Астрон. журн. 46, 201 (2020) [S.G. Zheltoukhov, A.M. Tatarnikov, and N.I. Shatsky, Astron. Lett. 46, 193 (2020)].
- Зубко и др. (V. Zubko, E. Dwek, and R.G. Arendt), Astrophys. J. Suppl. Ser. 152, 211 (2004).
- Ишихара и др. (D. Ishihara, T. Onaka, H. Kataza, A. Salama, C. Alfageme, A. Cassatella, N. Cox, P. Garcia-Lario, et al.), Astron. Astrophys. 514, A1 (2010).
- Карделли и др. (J.A. Cardelli, G.C. Clayton, and J.S. Mathis), Astrophys. J. 345, 245 (1989).
- Кесслер и др. (M.F. Kessler, J.A. Steinz, M.E. Anderegg, et al.), Astron. Astrophys. 315, L27 (1996).
- Клоппенборг (B.K. Kloppenborg), Observations from the AAVSO International Database (2023).
- Кнапп (G.R. Knapp), Astrophys. J. 293, 273 (1985).
- Курнниф (J. Koornneef), Astron. Astrophys. 128, 84 (1983).
- Матис и др. (J.S. Mathis, W. Rumpl, and K.H. Nordsieck), Astrophys. J. 217, 425 (1977).
- Наджип и др. (A.E. Nadjip, A.M. Tatarnikov, D.W. Toomey, N.I. Shatsky, A.M. Cherepashchuk, S.A. Lamzin, and A.A. Belinski), Astrophys. Bull. 72, 349 (2017).
- Нейгебауэр и др. (G. Neugebauer, H.J. Habing, R. van Duinen, H.H. Aumann, B. Baud, C.A. Beichman, D.A. Beintema, N. Boggess, et al.), Astrophys. J. 278, L1 (1984).
- Нери и др. (R. Neri, C. Kahane, R. Lucas, V. Bujarrabal, and C. Loup), Astron. Astrophys. Suppl. Ser. 130, 1 (1998).
- Пегури (B. Pegourie), Astron. Astrophys. 194, 335 (1988).
- Перси, Багби (J.R. Percy and D.H. Bagby), Publ. Astron. Soc. Pacific 111, 203 (1999).
- Пиклз (A.J. Pickles), Publ. Astron. Soc. Pacific 110, 863 (1998).
- Самусь Н.Н., Казаровец Е.В., Дурлевич О.В. и др., Астрон. журн. 94, 87 (2017).
- Слоан и др. (G.C. Sloan, K.E. Kraemer, S.D. Price, and R.F. Shipman), Astrophys. J. Suppl. Ser. 147, 379 (2003).
- Су (K.-W. Suh), MNRAS315, 740 (2000).
- Танака и др. (M. Tanaka, A. Letip, Y. Nishimaki, et al.), Publ. Astron. Soc. Japan 59, 939 (2007).
- Трефферс, Коен (R. Treffers and M. Cohen), Astrophys. J. 188, 545 (1974).
- Фадеев Ю.А., Письма в Астрон. журн. 43, 663 (2017) [Y.A. Fadeyev, Astron. Lett. 43, 602 (2017)].
- Федотьева А.А., Татарников А.М., Сафонов Б.С. и др., Письма в Астрон. журн. 46, 41 (2020) [A.A. Fedoteva, A.M. Tatarnikov, B.S. Safonov, et al., Astron. Lett. 46, 38 (2020)].
- Хофнер, Олофссон (S. Höfner and H. Olofsson), Astron. Astrophys. Rev. 26(1), 1 (2018).
- Шатский и др. (N. Shatsky, A. Belinski, A. Dodin, et al.), Ground-Based Astronomy in Russia. 21st Century, Ed. I.I. Romanyuk, I.A. Yakunin, A.F. Valeev, and D.O. Kudryavtsev, 127 (2020).
- Шенаврин В.И., Таранова О.Г., Наджип А.Э., Астрон. журн. 88, 34 (2011).
- Шоер, Олофссон (F.L. Schöier and H. Olofsson), Astron. Astrophys. 368, 969 (2001).
Arquivos suplementares






