Validation of a Two-Point Jet–Wing Interaction Noise Model for a Realistic Configuration
- Autores: Bychkov O.P.1, Faranosov G.A.1
-
Afiliações:
- Central Aerohydrodynamic Institute, TsAGI Moscow Complex, Moscow, 107005, Russia
- Edição: Volume 69, Nº 2 (2023)
- Páginas: 146-154
- Seção: АТМОСФЕРНАЯ И АЭРОАКУСТИКА
- URL: https://medbiosci.ru/0320-7919/article/view/134423
- DOI: https://doi.org/10.31857/S032079192260055X
- EDN: https://elibrary.ru/ITKVCH
- ID: 134423
Citar
Texto integral
Resumo
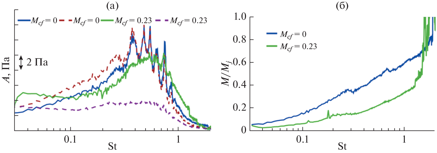
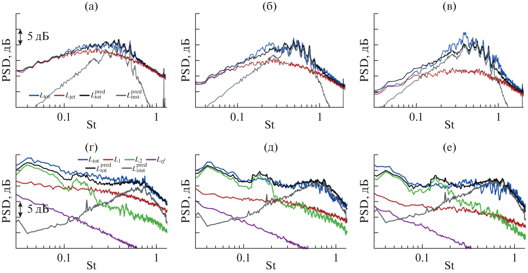
For the case of a realistic small-scale “double-stream nozzle–high-lift wing” configuration, a previously developed simplified semiempirical method for calculating the low-frequency noise of jet–wing interaction is tested. As input data for calculating the noise, we used the results of measuring the amplitude and convective velocity of perturbations in the near field of a turbulent jet near the trailing edge of an extended flap. The measurements were performed with a pair of pressure sensors flush-mounted on the lower surface of the wing model. It is demonstrated that the results of the calculated estimate for the spectral characteristics and directivity of the interaction noise agree well with direct noise measurements in the far field both under static conditions and in the presence of coflow simulating the effect of flight.
Palavras-chave
Sobre autores
O. Bychkov
Central Aerohydrodynamic Institute, TsAGI Moscow Complex, Moscow, 107005, Russia
Email: oleg.bychkov@tsagi.ru
Россия, Москва
G. Faranosov
Central Aerohydrodynamic Institute, TsAGI Moscow Complex, Moscow, 107005, Russia
Autor responsável pela correspondência
Email: oleg.bychkov@tsagi.ru
Россия, Москва
Bibliografia
- Приложение 16 к Конвенции о международной гражданской авиации. Охрана окружающей среды. Том I. Авиационный шум. Издание 8. ISBN 978-92-58-261-6. © ICAO 2017.
- Way D.J., Turner B.A. Model tests demonstrating under-wing installation effects on engine exhaust noise // AIAA Aeroacoustics Conference. 1980. AIAA-80-1048.
- Delfs J. Simulation of aircraft installation noise. A key to low noise aircraft design // 4th CEAA. Svetlogorsk, 2016.
- Zaytsev M.Y., Kopiev V.F., Velichko S.A., Belyaev I.V. Fly-over noise source localization during acoustic flight tests of advanced passenger aircraft // 25th AIAA/CEAS Aeroacoustics Conference. 2019. AIAA-2019-2426.
- Величко С.А., Зайцев М.Ю., Копьев В.Ф. Подготовка и проведение летных испытаний по локализации и ранжированию источников шума самолета RRJ-95 с двигателями SAM-146 108-микрофонной решеткой // Материалы XXXI научно-технической конференции по аэродинамике. Г. Жуковский, 2020. С. 61−62.
- Беляев И.В., Зайцев М.Ю., Копьев В.Ф., Остриков Н.Н., Фараносов Г.А. Исследование влияния угла отклонения закрылка на шум взаимодействия двухконтурной струи и стреловидного крыла в спутном потоке // Акуст. журн. 2017. Т. 63. № 1. С. 17−29.
- Бычков О.П., Фараносов Г.А. О возможном механизме усиления шума струи вблизи крыла // Акуст. журн. 2014. Т. 60. № 6. С. 596−609.
- Cavalieri A.V.G., Jordan P., Wolf W.R., Gervais Y. Scattering of wavepackets by a flat plate in the vicinity of a turbulent jet // J. Sound Vib. 2014. V. 333. P. 6516−6531.
- Vera J., Lawrence J., Self R.H., Kinganz M.J. The prediction of the radiated pressure spectrum produced by jet–wing interaction // 21st AIAA/CEAS Aeroacoustics Conference. 2015. AIAA-2015-2216.
- Lyu B., Dowling A.P., Naqavi I. Prediction of Installed Jet Noise // J. Fluid Mech. 2017. V. 811. P. 234–268.
- Бычков О.П., Фараносов Г.А. Экспериментальное исследование и теоретическое моделирование шума взаимодействия струи и крыла самолета // Акуст. журн. 2018. Т. 64. № 4. С. 437–453.
- Piantanida S., Jaunet V., Huber J., Wolf W., Jordan P., Cavalieri A.V.G. Scattering of turbulent-jet wavepackets by a swept trailing edge // AIAA J. 2016. V. 140. № 6. P. 4350–4359.
- Lyu B., Dowling A.P. Prediction of installed jet noise due to swept wings // 24th AIAA/CEAS Aeroacoustics Conference. 2018. AIAA-2018-2980.
- Nogueira P.A.S., Sirotto J.R.L.N., Miotto R.F., Cavalieri A.V.G., Cordioli J.A., Wolf W.R. Acoustic radiation of subsonic jets in the vicinity of an inclined flat plate // J. Acoust. Soc. Am. 2019. V. 146. № 1. P. 50–59.
- Bychkov O., Faranosov G., Kopiev V., Soares L.F.M., Cavalieri A.V.G. Jet installation noise modeling in static and flight conditions using centerline fluctuations // AIAA Journal. 2022. https://doi.org/10.2514/1.J060879
- Бычков О.П., Копьев В.Ф., Фараносов Г.А. Валидация двухточечной модели предсказания низкочастотного усиления шума струи вблизи крыла // Ученые записки физического факультета Московского университета. 2020. № 1. 2010801.
- Proenca A.R., Lawrence J.L.T., Self R.H. A survey of the turbulence statistics of a model-scale installed jet at low and moderate Mach numbers // 23rd AIAA/CEAS Aeroacoustics Conference. 2017. AIAA-2017-3705.
- Бычков О.П., Фараносов Г.А. Анализ взаимной связи модовой структуры пульсаций ближнего поля струи и шума взаимодействия струи и крыла // Акуст. журн. 2020. Т.66. № 1. С. 34−45.
- Noble B. Methods based on the Wiener‑Hopf technique. Pergamon Press, London. 1958.
- Фелсен Л., Маркувиц Н. Излучение и рассеяние волн. Т. I. М.: Мир, 1977. 552 с.
- Bychkov O., Faranosov G. Diffraction of an acoustic plane wave by two staggered half-planes in a mean flow with velocity discontinuity // ICSV 2016 – 23rd Int. Congress on Sound and Vibration: From Ancient to Modern Acoustics. 2016.
- Semiletov V.A., Yakovlev P.G., Karabasov S.A, Faranosov G.A., Kopiev V.F. Jet and jet–wing noise modelling based on the cabaret miles flow solver and the Ffowcs Williams–Hawkings method // Int. J. Aeroacoustics. 2016. V. 15. № 6–7. P. 631–645.
Arquivos suplementares








