Experimental Testing of Acoustic Thermometry at the Scale of the Sea of Japan with a Receiver System Placed on the Axis of an Underwater Sound Channel
- Authors: Morgunov Y.N.1, Golov A.A.1, Voitenko E.A.1, Lebedev M.S.1, Razzhivin V.V.1, Kaplunenko D.D.1, Shkramada S.S.1
-
Affiliations:
- Ilyichev Pacific Oceanological Institute, Far Eastern Branch, Russian Academy of Sciences, 690041, Vladivostok, Russia
- Issue: Vol 69, No 5 (2023)
- Pages: 559-568
- Section: АКУСТИКА ОКЕАНА. ГИДРОАКУСТИКА
- URL: https://medbiosci.ru/0320-7919/article/view/134469
- DOI: https://doi.org/10.31857/S0320791923600348
- EDN: https://elibrary.ru/NFWAMB
- ID: 134469
Cite item
Full Text
Abstract
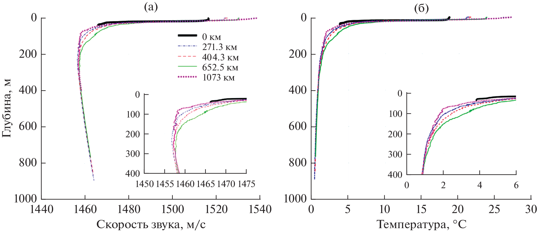
We discuss the results obtained when performing a test acoustic-hydrological experiment in August 2022 at a marine test site from the coast of Sakhalin Island to Kita-Yamato Bank in the Sea of Japan. The methodology of preliminary studies in the water area intended for studying climatic variability of temperature regimes of the aquatic environment based on numerical modeling using the RAY computational program and the NEMO ocean hydrodynamic circulation model is presented. One of the main results is the average temperature of the marine environment calculated with high accuracy on the axis of the underwater sound channel in the Sea of Japan on the 1000-kilometer acoustic trace at the crossing of the vortex system. The shape of the measuring system and the technical and computational means and methods described in the article can be used as a basis for the organization of high-precision operational monitoring of thermodynamic processes in extended sea areas.
About the authors
Yu. N. Morgunov
Ilyichev Pacific Oceanological Institute, Far Eastern Branch, Russian Academy of Sciences, 690041, Vladivostok, Russia
Email: golov_alexander@inbox.ru
Russian Federation, Vladivostok
A. A. Golov
Ilyichev Pacific Oceanological Institute, Far Eastern Branch, Russian Academy of Sciences, 690041, Vladivostok, Russia
Email: golov_alexander@inbox.ru
Russian Federation, Vladivostok
E. A. Voitenko
Ilyichev Pacific Oceanological Institute, Far Eastern Branch, Russian Academy of Sciences, 690041, Vladivostok, Russia
Email: golov_alexander@inbox.ru
Russian Federation, Vladivostok
M. S. Lebedev
Ilyichev Pacific Oceanological Institute, Far Eastern Branch, Russian Academy of Sciences, 690041, Vladivostok, Russia
Email: shkramada.ss@poi.dvo.ru
Россия, 690041, Владивосток, ул. Балтийская, 43
V. V. Razzhivin
Ilyichev Pacific Oceanological Institute, Far Eastern Branch, Russian Academy of Sciences, 690041, Vladivostok, Russia
Email: golov_alexander@inbox.ru
Russian Federation, Vladivostok
D. D. Kaplunenko
Ilyichev Pacific Oceanological Institute, Far Eastern Branch, Russian Academy of Sciences, 690041, Vladivostok, Russia
Email: golov_alexander@inbox.ru
Россия, 690041, Владивосток, ул. Балтийская, 43
S. S. Shkramada
Ilyichev Pacific Oceanological Institute, Far Eastern Branch, Russian Academy of Sciences, 690041, Vladivostok, Russia
Author for correspondence.
Email: shkramada.ss@poi.dvo.ru
Россия, 690041, Владивосток, ул. Балтийская, 43
References
- Worcester P.F., Cornuelle B.D., Dzieciuch M.A., Munk W.H., Howe B.M., Mercer J.A., Spindel R.C., Metzger K., Birdsall T.G. A test of basin-scale acoustic thermometry using a large- aperture vertical array at 3250-km range in the eastern North Pacific Ocean // J. Acoust. Soc. Am. 1999. V. 105. № 6. P. 3185–3201.
- Baggeroer A.B., Birdsall T.G., Clark C., Colosi J.A., Cornuelle B.D., Costa D., Dushaw B.D., Dzieciuch M., Forbes A.M.G., Hill C., Howe B.M., Marshall J., Menemenlis D., Mercer J.A., Metzger K., Munk W., Spindel R.C., Stammer D., Worcester P.F., Wunsch C. Ocean climate change: Comparison of acoustic tomography, satellite altimetry, and modeling // ATOC Consortium. 1998. Science. 281. P. 1327–1332.
- Howe B.M., Anderson S.G., Baggeroer A.B., Colosi J.A., Hardy K.R., Horwitt D., Karig F.W., Leach S., Mercer J.A., Metzger K., Jr., Olson L.O., Peckham D.A., Reddaway D.A., Ryan R.R., Stein R.P., Watson J.D., Weslander S.L., Worcester P.F. Instrumentation for the Acoustic Thermometry of Ocean Climate (ATOC) prototype Pacific Ocean network // OCEANS’95 Conference Proceedings, San Diego, CA, 9–12 October 1995. P. 1483–1500.
- Моргунов Ю.Н., Безответных В.В., Буренин А.В., Войтенко Е.А. Исследование влияния гидрологических условий на распространение псевдослучайных сигналов из шельфа в глубокое море // Акуст. журн. 2016. Т. 62. № 3. С. 341–347.
- Акуличев В.А., Каменев С.И., Моргунов Ю.Н. Применение сложных акустических сигналов в системах связи и управления подводными объектами // Докл. Акад. наук. 2009. Т. 426. № 6. С. 821–823.
- Акуличев В.А., Безответных В.В., Буренин А.В., Войтенко Е.А., Моргунов Ю.Н. Эксперимент по оценке влияния вертикального профиля скорости звука в точке излучения на шельфе на формирование импульсной характеристики в глубоком море // Акуст. журн. 2010. Т. 56. № 1. С. 51–52.
- Моргунов Ю.Н., Голов А.А., Буренин А.В., Петров П.С. Исследования пространственно-временной структуры акустического поля, формируемого в глубоком море источником широкополосных импульсных сигналов, расположенным на шельфе Японского моря // Акуст. журн. 2019. Т. 65. № 5. С. 641–649.
- Петров П.С., Голов А.А., Безответных В.В., Буренин А.В., Козицкий С.Б., Сорокин М.А., Моргунов Ю.Н. Экспериментальное и теоретическое исследование времен прихода и эффективных скоростей при дальнем распространении импульсных акустических сигналов вдоль кромки шельфа в мелком море // Акуст. журн. 2020. Т. 66. № 1. С. 20–33.
- Dolgikh G., Morgunov Y., Burenin A., Bezotvetnykh V., Luchin V., Golov A., Tagiltsev A. Methodology for the Practical Implementation of Monitoring Temperature Conditions over Vast Sea Areas Using Acoustic Thermometry // J. Mar. Sci. Eng. 2023. V. 11. P. 137.
- Gurvan M., Bourdallé-Badie R., Jérôme Chanut J. et al. NEMO ocean engine // Scientific Notes of IPSL Climate Modelling Center. 2017. V. 27. https://doi.org/10.5281/zenodo.146481610.528
- Chen C.-T., Millero F.J. Speed of sound in seawater at high pressures // J. Acoust. Soc. Am. 1977. V. 62. № 5. P. 1129–1135.
- Karney Ch.F.F. Algorithms for geodesics // J. Geod. 2013. V. 87. P. 43–55. https://doi.org/10.1007/s00190-012-0578-z
- Kaneko A., Zhu X.H., Lin J. Coastal acoustic tomography // Coast. Acoust. Tomogr. 2020. P. 1–362. https://doi.org/10.1016/C2018-0-04180-8
- Bowlin J.B., Spiesberger J.L., Duda T.F., Freitag L.E. Ocean Acoustical Ray-tracing Software RAY // Woods Hole Oceanographic Technical Report, WHOI-93-10, 1993.
- Сорокин М.А., Петров П.С., Каплуненко Д.Д., Голов А.А., Моргунов Ю.Н. К вопросу о теоретических и экспериментальных оценках групповых скоростей модальных компонент импульсных акустических сигналов на протяженных трассах с использованием моделей циркуляции океана // Подводные исследования и робототехника. 2022. № 2(40). С. 54–64.
Supplementary files








