Оценка пульсаций давления в ближнем поле струи при наличии спутного потока на основе результатов термоанемометрических измерений
- Authors: Бычков О.П.1, Фараносов Г.А.1
-
Affiliations:
- ФАУ ЦАГИ, Научно-исследовательский Московский комплекс ЦАГИ
- Issue: Vol 70, No 1 (2024)
- Pages: 77-91
- Section: АТМОСФЕРНАЯ И АЭРОАКУСТИКА
- URL: https://medbiosci.ru/0320-7919/article/view/259704
- DOI: https://doi.org/10.31857/S0320791924010102
- EDN: https://elibrary.ru/ZNZRKN
- ID: 259704
Cite item
Full Text
Abstract
Показано, что спектры пульсаций скорости, измеренные с помощью термоанемометра в области потенциальной части ближнего поля турбулентной струи при наличии спутного потока, могут быть пересчитаны в спектры пульсаций давления. Предложенный метод пересчета основан на том факте, что волны неустойчивости, которые вносят определяющий вклад в пульсации ближнего поля, близки по структуре к однородным продольным волнам, что позволяет локально связать пульсации давления и продольной компоненты скорости, измеряемой термоанемометром.
Full Text
ВВЕДЕНИЕ
Реактивная струя, истекающая из круглого сопла при больших числах Рейнольдса, является значимым источником авиационного шума на местности [1, 2], а также источником значительных пульсационных нагрузок для близкорасположенных элементов конструкции летательного аппарата [3, 4]. Успех решения прикладных задач, таких как снижение шума струи или связанных с ней нагрузок на конструкцию, тесно связан с прогрессом в теоретическом описании имеющих в ней место нестационарных процессов, отражающим глубину нашего понимания их физической природы и позволяющим предлагать более эффективные способы решения инженерных проблем.
К настоящему времени пока не разработана полная динамическая модель турбулентной струи как объекта механики жидкости, в частности, отсутствует единая точка зрения на природу генерации шума таким течением [5–10]. В отношении пульсаций ближнего поля струи ситуация более понятна. Считается, что для области максимума спектра они главным образом связаны с развитием в слое смешения струи когерентных структур, возникающих за счет неустойчивости Кельвина–Гельмгольца и имеющих вид волновых пакетов с различными азимутальными числами [10–13]. Именно возмущения такого типа определяют максимальные уровни пульсаций в ближнем гидродинамическом поле струи (вне слоя смешения) и ответственны за мощный дополнительный источник шума, связанный с их рассеянием на задней кромке крыла в случае его близкого расположения к соплу, как это часто имеет место для современных самолетов [3, 14–17]. В работах [13, 18, 19] изучалась возможность активного управления волнами неустойчивости с целью снижения их интенсивности в ближнем поле и соответствующего ослабления шума взаимодействия струи и крыла в случае его расположении вблизи струи [20, 21]. Кроме того, в высокоскоростных струях волны неустойчивости могут сами стать заметными источниками звука даже в отсутствие близкорасположенных рассеивающих поверхностей [7, 9, 10].
Для построения моделей ближнего поля, позволяющих, например, проводить оценку спектрального состава и уровней пульсаций, и развития эффективных систем подавления волн неустойчивости требуется достаточно подробная информация об их характеристиках (азимутальный состав, пространственная структура, фазовые скорости и т. д.). В большинстве работ такая информация о пульсациях получается из измерений с помощью микрофонов, расположенных вблизи внешней границы слоя смешения [4, 11, 13, 17, 19, 22, 23], реже – с помощью измерений поля скорости с бесконтактным методом трассерной визуализации (particle image velocimetry – PIV) [12]. Причем измерения такого рода, как правило [4, 11–13, 17, 19, 22], проводятся в статических условиях, когда струя истекает из сопла в покоящуюся среду, в то время как с практической точки зрения значительный интерес представляет случай истечения струи в спутный поток – именно такая ситуация реализуется в условиях полета самолета. Измерения ближнего поля пульсаций давления для свободной струи при наличии спутного потока затруднены, т. к. требуют помещения в поток всего микрофонного массива, что неизбежно приведет к возникновению паразитных возмущений. Кроме того, микрофоны для подобных измерений должны оснащаться специальными насадками и быть определенным образом ориентированными по отношению к набегающему потоку [23]. Естественным, доступным и сравнительно малоинвазивным средством измерения пульсаций в потоке является термоанемометр. Однако задача пересчета пульсаций скорости в пульсации давления в общем случае не может быть решена в рамках локальных измерений в точке. Для ее решения требуется знание поля пульсаций скорости в некоторой области с тем, чтобы затем рассчитать поле давления на основе решения уравнений Эйлера или Навье–Стокса. В целом, современные системы PIV бесконтактного измерения поля скорости позволяют решить эту задачу, по крайней мере, в несжимаемом приближении, когда задача нахождения поля давления сводится к решению уравнения типа Пуассона [24], однако такие измерения довольно сложны и требуют достаточно трудоемкой постобработки [25–27]. Кроме того, в части спектрального разрешения системы PIV уступают термоанемометрическим измерениям. В некоторых частных случаях для оценки пульсаций давления может быть достаточно одноточечных измерений скорости, легко реализуемых с помощью термоанемометра. Рассмотрим подробнее, в каких зонах поля пульсаций, создаваемых турбулентной струей, такие случаи реализуются.
Основным объектом изучения в данной работе является турбулентная струя, истекающая из круглого сопла со скоростью Uj в спутный поток. Спутный поток будем считать однородным и безграничным, его скорость обозначим за Ucf. Введем также параметр спутности l = Ucf /Uj и в дальнейшем будем считать l > 1, что типично для струй авиационных двигателей.
На рис. 1 приведена иллюстрация типичной структуры поля среднего течения скорости и поля пульсаций в продольном сечении струи [28]. Радиус потенциального ядра обозначен как r < rc, толщина слоя смешения – d, длина начального участка – Lc. На начальном участке поперечный профиль средней скорости постоянен в потенциальном ядре r < rc (здесь скорость потока равна скорости истечения струи из сопла) и вне струи r > rc + d. Наиболее интенсивные пульсации, связанные с турбулентным (завихренным) движением газа, наблюдаются в слое смешения (зона А на рис. 1б). Эти пульсации являются нелинейными и описываются полной системой уравнений Навье–Стокса. При этом осредненный слой смешения является неустойчивым по механизму Кельвина–Гельмгольца и служит причиной развития линейных крупномасштабных возмущений – волн неустойчивости, развивающихся от кромки сопла вниз по потоку в виде волновых пакетов [7, 9–11]. В слое смешения эти возмущения малы по сравнению с мелкомасштабными вихревыми возмущениями и могут быть выделены только специальной обработкой данных [12, 29, 30]. Однако вне слоя смешения (в зоне потенциального среднего потока) интенсивность мелкомасштабных возмущений спадает с расстоянием существенно быстрее, чем интенсивность пульсаций, связанных с волнами неустойчивости (рис. 1б, зона В), и в потенциальной части ближнего поля струи вблизи границ слоя смешения именно пульсации от волн неустойчивости становятся доминирующими [9, 11, 17, 31]. При дальнейшем удалении от струи (зона С, рис. 1б) на первый план выходят линейные акустические возмущения, которые хотя и являются слабыми, но обладают самым медленным по сравнению с вихревыми пульсациями и волнами неустойчивости спаданием интенсивности с расстоянием (~1/r2).
Рис. 1. Схематичное изображение (а) – среднего течения и (б) – структуры пульсаций, создаваемых турбулентной струей, истекающей из круглого сопла при наличии спутного потока.
Настоящее исследование посвящено разработке метода, позволяющего с помощью измерений одиночным термоанемометром оценить спектры пульсаций давления в точках ближнего поля в зоне В при наличии спутного потока, что представляет значительный практический интерес. Дальнейшая часть статьи организована следующим образом. В разделе 1 приведен вывод упрощенных соотношений, связывающих пульсации давления и скорости в зоне В. Раздел 2 посвящен анализу данных измерений в ближнем поле струи и разработке процедуры оценки конвективной скорости возмущений при наличии спутного потока. В разделе 3 приводятся результаты валидации предложенного метода. В заключении сформулированы основные результаты работы.
- СВЯЗЬ ПУЛЬСАЦИЙ ДАВЛЕНИЯ И СКОРОСТИ В ПОТЕНЦИАЛЬНОЙ ЗОНЕ БЛИЖНЕГО ПОЛЯ СТРУИ
Рассмотрим подробнее структуру пульсаций в области В в зоне начального участка струи (0 ≤ x ≤ Lc). Именно в эту зону реактивной струи часто попадают элементы планера самолета, что приводит к излучению дополнительного шума [15–17]. Важно, что струя при этом не замывает элементы планера, т. е. имеет место именно аэроакустическое, а не аэродинамическое взаимодействие. В данной области возмущения, например, давления (которые обычно измеряются в экспериментах), связанные с пакетами волн неустойчивости, могут быть в цилиндрической системе (x, r, j) на каждой круговой частоте w приближенно представлены в виде суперпозиции азимутальных гармоник p̂n(x, r, w)e–iw(t–x/Un)+inj, где n – порядок азимутальной моды, p̂n – достаточно медленно меняющаяся гладкая функция х, являющаяся огибающей для продольной волны eiwx/Un, Un – фазовая скорость возмущений в волне [17].
Предположим также, что струя является изобарической и изотермической, т. е. средние значения давления и плотности (а значит, температуры и скорости звука) одинаковы во всем пространстве, что вполне справедливо для дозвуковых ненагретых струй, реализуемых в лабораторных экспериментах. Скорость Un и форма p̂n волнового пакета, могут быть найдены из решения задачи на собственные значения для медленно меняющегося слоя смешения [9, 11, 31, 32] или (в статических условиях) измерены напрямую в эксперименте с помощью микрофонных решеток ближнего поля [11, 13, 17].
Благодаря тому, что среднее течение в струе характеризуется сравнительно медленным изменением параметров в продольном направлении, в главном приближении можно считать функцию p̂n не зависящей от x, и тогда возмущения примут вид плоских (в продольном направлении) волн вида
(1)
где an = –w/Un – волновое число для данной азимутальной моды.
В потенциальной области (зоны В, С на рис. 1) однородные по х возмущения давления удовлетворяют уравнениям [13, 17]
(2)
(3)
где k = w/c, Mj = Uj/c, Mcf = Ucf/c, c – скорость звука в среде. Многозначные функции bj и bcf определяются в соответствии, например, с [33] так, что для дозвуковых потоков (Un < Uj < c) bj > 0 и bcf > 0. Решения уравнений (2) и (3), удовлетворяющие условию ограниченности при r → 0 и излучения при r → ∞, имеют вид
(4)
(5)
где In и Kn – модифицированная функция Бесселя порядка n, первого и второго рода соответственно. Решения (4) и (5), по существу, являются составляющими решения уравнения типа Рэлея [9, 11, 31] для осесимметричного слоя смешения, которое переходит в уравнения (2) и (3) в соответствующих областях потенциального течения. Решая такое уравнение, можно определить решение для возмущений при всех r и найти, в том числе, связь амплитуд An и Bn в (4) и (5), однако для целей настоящей работы в этом нет необходимости.
Возмущения давления в потенциальной области ближнего поля, задаваемые выражениями (1), (4), (5), можно связать с возмущениями продольной компоненты скорости, имеющими в силу линейности задачи вид un(r, w)e–iwt–ianx+inj, пользуясь уравнением сохранения импульса в проекции на ось х
(6)
(7)
Выражения (6), (7) позволяют пересчитывать пульсации продольной компоненты скорости, измеряемые термоанемометром, в пульсации давления. Выражение для пульсаций скорости в ядре струи, аналогичное (6) и учитывающее также продольную неоднородность волнового пакета, было получено в работе [31]. Поскольку в статических условиях (Ucf = 0) измерения пульсаций термоанемометром вне струи невозможны, для оценки пульсаций давления во внешней области (r ≥ rc + d) в работе [31] решалась задача на собственные возмущения для слоя смешения с заданным для данного сечения х профилем скорости, что позволяло пересчитать данные с оси струи во внешнюю область. Однако при наличии спутного потока возможны прямые измерения пульсаций скорости во всем пространстве, в том числе в области вне струи, которая представляет основной практический интерес. Таким образом, согласно описанной выше простой модели, для струи, истекающей в спутный поток, термоанемометр можно использовать для прямой оценки спектра пульсаций давления в любой точке области В (рис. 1б). При таком подходе, как следует из (7), помимо самих пульсаций скорости un, необходимо знать и скорость их конвекции Un для каждой значимой азимутальной моды n. Вообще говоря, определение этих параметров требует многоканальных термоанемометрических измерений или измерений с помощью метода TR PIV. Однако анализ данных экспериментальных исследований пульсаций ближнего поля в статических условиях позволил построить достаточно простую процедуру полуэмпирической оценки скорости возмущений Un при наличии спутного потока на основании результатов прямых измерений величины Un в статических условиях, как это будет показано ниже.
АНАЛИЗ ДАННЫХ ИЗМЕРЕНИЙ В БЛИЖНЕМ ПОЛЕ СТРУИ
Для целей настоящей работы используется экспериментальная база данных, полученная в заглушенной камере АК-2 ЦАГИ. Заглушенная камера АК-2 представляет собой аэродинамическую трубу незамкнутого типа с открытой рабочей частью, предназначенную для исследования шума струй, элементов планера и винтов, в том числе при наличии спутного потока, имитирующего условия полета на взлетно-посадочных режимах. Рабочая часть АК-2 представляет собой заглушенную камеру размера 9.6 × 5.5 × 4.0 м, стены которой облицованы звукопоглощающими клиньями из базальтового волокна, обеспечивающими отклонение от условий свободного поля не более 1 дБ в рабочей полосе частот 160–20000 Гц для звуковых волн с интенсивностью до 160 дБ.
Анализируемые в работе данные были получены для дозвуковой струи, истекающей из круглого профилированного сопла диаметром D = 40 мм [13, 17, 34]. Число Маха истечения струи, вычисленное по скорости звука в окружающей среде, равно Mj = 0.4 (Vj ≈ 137 м/с). Число Рейнольдса, рассчитанное по диаметру сопла и скорости истечения струи, составляло около 4 × 105. Струя исследовалась как в статических условиях, так и в спутном потоке при различных параметрах спутности λ = 0, 0.15, 0.23, 0.3.
Проводились измерения двух типов: измерения пульсаций давления многомикрофонной решеткой вблизи внешней границы слоя смешения [13, 17], измерения скорости термоанемометром на оси струи и в нескольких поперечных сечениях [34]. Измерения микрофонной решеткой проводились только в статических условиях (λ = 0), в то время как измерения термоанемометром выполнялись при всех указанных выше значениях λ. Отметим, что аналогичные измерения проводились и для струй с более высокими скоростями истечения (до Mj = 0.7), но в данной работе они не рассматриваются.
Решетка ближнего поля содержала 30 микрофонов и позволяла синхронно измерять пульсации давления в пяти поперечных сечениях, причем в каждом сечении располагалось 6 микрофонов, равномерно распределенных по окружности, что позволяло разрешать доминирующие азимутальные моды порядка n = 0, 1, 2. Радиальное положение микрофонов в решетке изменялось так, что были получены данные о пульсациях в точках на конических поверхностях (С1, С2, рис. 2) с углом раствора 10.5°. Координаты расположения поперечных сечений заметали область от x/D = 0.5 до x/D = 7.5 с шагом Δx/D = 1 (рис. 2). Использовались 1/4" микрофоны Bruel&Kjaer (тип 4957, частотный диапазон 50–10000 Гц).
Рис. 2. Расположение точек измерения. Синие точки – расположение микрофонов (показано для одного азимутального угла) [13, 17], красные линии – линии измерения термоанемометром [34].
Измерения термоанемометром проводились вдоль оси струи с шагом Δx/D = 0.5, а также в поперечных сечениях с координатами x/D = 0.075, 1, 3, 5, 7, 11, 15 с шагом соответственно Δr/D = 0.025, 0.025, 0.025, 0.05, 0.05, 0.1, 0.1. Схема расположения линий измерения показана на рис. 2. Использовался датчик Dantec 55P01, частота дискретизации составляла 80 кГц. Нить термоанемометра располагалась перпендикулярно основному потоку и регистрировала преимущественно продольную компоненту скорости, которую можно представить в виде осредненного по времени значения и пульсаций U = Ua + u. Более подробное описание точек измерения и методов обработки данных приведено в работах [13, 17, 34].
Проанализируем сначала результаты измерения пульсаций давления микрофонной решеткой. В свете практического использования соотношений (6), (7) нас будет интересовать, прежде всего, азимутальный состав пульсаций и скорость их конвекции. В работе [17] было установлено, что в ближнем поле струи (область В на рис. 1б) на низких и средних частотах доминируют гидродинамические возмущения, соответствующие первым двум азимутальным модам n = 0, 1, причем формы спектров этих мод и их конвективные скорости слабо отличаются друг от друга (схожие выводы были сделаны в работе [35] на основе численного моделирования). Таким образом, по крайней мере для статических условий, можно ввести единую скорость конвекции гидродинамических возмущений Uc = U0 ≈ U1, рассмотренных в разделе 1. В работе [17] было также показано, что для дозвуковых струй в заданном сечении x = x/D начального участка струи зависимость нормированной скорости конвекции Uc = Uc /Uj от числа Струхаля St = fD/Uj является универсальной для различных струй, т. е. не зависит от скорости истечения струи Uj. Таким образом, Uc для статических условий является функцией только двух безразмерных параметров: Uc = ĝ(x, St).
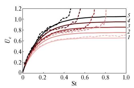
Скорости конвекции возмущений для моды n = 0 в зависимости от числа Струхаля, определенные в эксперименте по фазе корреляционной функции сигналов в соседних сечениях (см. также [17]), приведены на рис. 3. При удалении вниз по потоку от среза сопла гидродинамические возмущения становятся все более низкочастотными [17], поэтому при определенных числах Струхаля (тем меньших, чем больше значение x) вклад акустических пульсаций становится доминирующим, и фазовая скорость существенно возрастает (становится больше или равной скорости звука в окружающей среде). Такой скачок фазовой скорости хорошо заметен на рис. 3 для сечений x ≥ 3. В сечении x = 2 фазовая скорость гидродинамических возмущений определяется для широкого диапазона чисел Струхаля вплоть до St = 1. Определенные из эксперимента значения Uc позволяют предложить следующую эмпирическую аппроксимацию функции ĝ
(8)
где Um(x) = 0.1x + 0.44, Stm(x) = 0.01x + 0.105. На рис. 3 показано, что модель (8) позволяет достаточно точно аппроксимировать результаты эксперимента в статических условиях в интересующем нас диапазоне чисел Струхаля и продольной координаты x.
Рис. 3. Зависимость фазовой скорости осесимметричных возмущений (n = 0) от числа Струхаля в различных поперечных сечениях: 1 – = 2; 2 – = 3; 3 – = 4; 4 – = 5; 5 – = 6. Пунктирные линии – эксперимент, сплошные – аппроксимация (8).
Независимая проверка модели (8) может быть выполнена с использованием выражения (5), описывающего поведение интенсивности гидродинамических пульсаций вдоль радиального направления во внешней по отношению к струе области. В соответствии с (5) спектр гидродинамических пульсаций Lp,n(St, x, r1) для данной азимутальной моды n, измеренный в точке (x, r1), где r = r/D, связан с соответствующим спектром в точке (x, r2) соотношением
(9)
На рис. 4а показаны спектры пульсаций давления для осесимметричной моды (n = 0), измеренные на поверхности С1 в различных сечениях x и пересчитанные в соответствующие точки поверхности С2 (большего радиуса, рис. 2) с помощью (9) с использованием модели (8). Для сравнения приведены спектры, непосредственно измеренные на С2. Видно, что модель (8)–(9) достаточно точно воспроизводит поведение спектра низкочастотных пульсаций как функции от r. Как уже отмечалось выше, основной вклад в пульсации ближнего поля вносят моды n = 0, 1, имеющие близкие скорости конвекции. Кроме того, для исследуемых значений Uj, St и r справедлива оценка K1(bcfr) ≈ K0 (bcfr) , что позволяет для радиального масштабирования суммарных спектров пульсаций использовать выражение (9) в виде
(10)
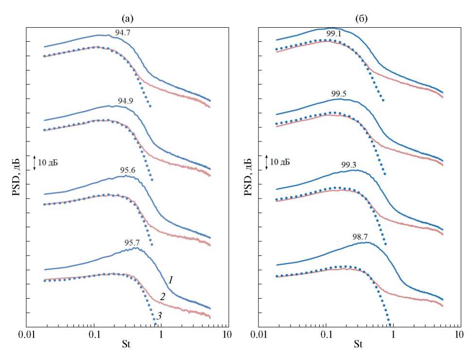
где значение функции bcf вычисляется для волнового числа an = –w/(Ujg(x, St)) с использованием модели (8). На рис. 4б на примере пересчета спектров полных пульсаций с поверхности С1 на поверхность С2 показано, что упрощенная модель (10) пригодна для радиального масштабирования спектров, а выражение (8), по крайней мере для статических условий, корректно описывает скорость конвекции линейных гидродинамических возмущений в ближнем поле как функцию x и St.
Рис. 4. Радиальное масштабирование спектров пульсаций давления: (а) – спектры моды n = 0; (б) – спектры суммарных пульсаций. Приведены данные для сечений = 1.5, 2.5, 3.5, 4.5 (снизу-вверх). 1 – спектры, измеренные на поверхности С1, 2 – спектры, измеренные на поверхности С2, 3 – спектр с поверхности С1, пересчитанный на С2. Графики построены в относительных единицах, для каждого набора спектров указан максимальный уровень.
Рассмотрим теперь вопрос о том, возможно ли на основе (8) получить выражение для скорости конвекции возмущений при наличии спутного потока. С точки зрения задачи устойчивости скорость конвекции возмущений (а также их инкремент, если мы интересуемся продольной структурой волнового пакета) определяется формой профиля скорости в слое смешения [31, 32], которая изменяется вдоль струи x. Эта форма, в свою очередь, на начальном участке характеризуется двумя безразмерными параметрами: радиусом потенциального ядра rc = rc/D и толщиной слоя смешения d = d/D. Если под шириной слоя смешения в данном сечении начального участка струи понимать радиальное расстояние от границы потенциального ядра до точки, в которой величина средней скорости падает в e раз, то профиль средней скорости при r ≥ rc можно описать функцией Ua = exp(–(r – rc)2/d2), при этом параметры rc и d, разумеется, зависят от x [11, 28]. Такая зависимость отражает подобие профилей безразмерной скорости в поперечных сечениях различных дозвуковых струй [28]. Данная зависимость легко обобщается на случай наличия спутного потока, и поперечный профиль средней скорости на начальном участке представляется в безразмерном виде как [34]
(11)
При этом величины rc и d будут зависеть не только от x, но и от параметра спутности l. Отметим, что в (11) не учитывается пограничный слой на внешней части сопла. Влияние внешнего пограничного слоя может быть заметно вблизи среза сопла при достаточно больших значениях параметра спутности, однако для целей настоящей работы, как будет видно ниже, достаточно упрощенного выражения (11). Вариант модели с учетом пограничного слоя на сопле приведен в работе [34].
Эксперименты показывают, что основным параметром, определяющим подобие струй на начальном участке при различных l, является длина начального участка Lc, при этом rc и d зависят от Lc практически линейно [28]. Для исследованных параметров спутности измеренные при различных l значения Lc можно аппроксимировать зависимостью
(12)
а rc и d тогда могут быть приближены следующими линейными функциями:
(13)
Сравнение измеренных в эксперименте профилей средней скорости и рассчитанных с помощью модели (11)–(13) приведено на рис. 5. Как видно, модель достаточно точно описывает поведение профиля средней скорости на начальном участке струи при различных l. При x = 1 видно отклонение модели от эксперимента при увеличении l (см. рис. 5в–5г), что связано с упоминавшимся выше влиянием пограничного слоя на внешней части сопла.
Рис. 5. Поперечные профили средней скорости для струи Mj = 0.4 с различным параметром спутности: (а) – =0; (б) – 0.15; (в) – 0.23; (г) – 0.3. Символы – эксперимент, линии – модель (11)–(13). Показаны профили для трех сечений начального участка: 1 – = 1; 2 – = 3; 3 – = 5.
Справедливость модели (11)–(13) позволяет сделать вывод, что для двух дозвуковых струй, с различными, вообще говоря, скоростями истечения и параметрами спутности, профили скорости в слое смешения в соответствующих по отношению к длине начального участка струи сечениях будут иметь одинаковую форму (в пределах точности полуэмпирической модели, разумеется). Это утверждение позволяет предложить следующую модельную задачу для оценки связи скорости конвекции возмущений в струе со спутным потоком и в струе, истекающей в неподвижную среду.
Предположим, как это часто делается в аналитических моделях [9, 11, 31, 32], что скорость расширения слоя смешения в струе мала, и что в данном сечении струи характеристики возмущений, связанных с неустойчивостью слоя смешения (в том числе, интересующая нас фазовая скорость возмущений), могут быть в главном приближении определены в рамках локально-однородной модели, в которой пренебрегается неоднородностью среднего поля в осевом направлении. Рассмотрим с такой точки зрения простейшую модель струи со спутным потоком. Пусть U(r) – поперечный профиль скорости однородного по х осесимметричного потока, причем U(r) = Uj = const при r < rc, а также U(r) → Ucf = const < Uj при r → ∞ (рис. 6а).
Пусть на фоне среднего течения распространяется возмущение, представляющее собой в направлении х плоскую волну вида, где w – заданная круговая частота, а Uc – скорость распространения волны. В частности, можно считать, что близкую к такой структуру имеют возмущения в виде пакетов волн неустойчивости, если, в рамках локально-однородного приближения, не учитывать осевую эволюцию огибающей пакета в струе. Перейдем в систему отсчета (x', r), x' = x – Ucft, связанную с внешним (спутным) потоком (рис. 6б). Будем обозначать штрихом параметры, относящиеся к системе (x', r). Так, средняя скорость потока U'(r) в новой системе будет соответствовать модели струи, истекающей в неподвижное пространство: U'(r) → 0 при r → ∞. При этом скорость “струи” в новой системе будет меньше, чем в исходной: U'(r) = U'j = Uj – Ucf при r < rc. Легко показать, что возмущения в новой системе отсчета будут иметь вид e–iw'(t–x'/U'c), где U'c = Uc –Ucf, w' = w(1 – k), k = Ucf/Uc (эффект Доплера). Далее, безразмерная скорость возмущений Uc = Uc/Uj в исходной системе отсчета может быть выражена через безразмерную скорость возмущений U'c = U'c/U'j в системе (x', r)
(14)
где l = Ucf/Uj, как и ранее, параметр спутности. Используя выписанную выше связь между частотами w и w', можно получить следующее соотношение для чисел Струхаля в обеих системах отсчета:
(15)
где
Выражения (14) и (15) решают задачу пересчета функции U'c(St'), полученной для струи в статических условиях (l = 0), в функцию Uc(St) для струи в спутном потоке с заданным значением l. С точки зрения применимости к реальной струе данная процедура носит, конечно, приближенный характер и справедлива в той мере, в которой “работает” локально-однородное приближение.
Таким образом, сочетание модели для скорости конвекции возмущений в струе в статических условиях (8) и модели пересчета (14)–(15) скорости конвекции возмущений из статических условий в условия наличия спутного потока позволяет пересчитывать одноточечные измерения спектров пульсаций скорости Lu в ближнем (потенциальном) поле струи в спектры пульсаций давления Lp в соответствии с соотношением (см. (7))
(16)
Пример использования построенной процедуры и ее валидация описаны в следующем разделе.
ВАЛИДАЦИЯ ПРЕДЛОЖЕННОГО МЕТОДА
Рассмотрим для примера струю Mj = 0.4 с параметром спутности λ = 0.23 и выберем сечение x = 3 для демонстрации разработанного метода оценки пульсаций давления в спутном потоке (черта сверху, как и ранее, обозначает обезразмеривание на диаметр сопла D). Данный режим течения и координата x интересны тем, что для них, помимо измерений ближнего поля термоанемометром [34], проводились измерения в дальнем поле шума взаимодействия струи и пластины с задней кромкой пластины, расположенной в точке (x, r) ≈ (3,1) [36]. Результаты этих измерений шума также будут использованы для валидации предложенного метода. Применение метода для других значений x и λ совершенно аналогично.
Сначала определим скорость конвекции возмущений ближнего поля для выбранных значений x и λ. В соответствии с вышеописанной процедурой рассмотрим струю в статических условиях и найдем в ней такое сечение x', в котором форма профиля скорости будет эквивалентна форме профиля скорости в исходной струе при x = 3. Как следует из модели среднего течения (11)–(13), формы профилей скорости будут одинаковы в точках, расположенных сходственным образом относительно длины начального участка (потенциального ядра). Если Lc ≈ 6.9 и L'c ≈ 4.8 – длины начальных участков струй с λ = 0.23 и λ = 0 соответственно (см. (12)), то профили скорости будут иметь одинаковую форму соответственно в сечениях x = 3 ≈ 0.44Lc и x' = 0.44L'c ≈ 2.1. Совпадение профилей скорости при так определенных x и x' можно непосредственно проверить, используя модель (11)–(13). Такое сравнение форм профилей показано на рис. 7, на котором в соответствии с (11) для каждой струи построена безразмерная функция s = (U – l)/(1 – l), и видно, что формы профилей действительно хорошо совпадают, что позволяет (для данного значения x/Lc = x'/L'c = 0.44) оценить относительную скорость переноса возмущений в спутном потоке, используя (14), (15) и функцию (8), моделирующую относительную скорость возмущений в статических условиях. Соответствующая оценка приведена на рис. 8. Как и следовало ожидать, в системе отсчета, связанной с соплом, наличие спутного потока в целом приводит к росту относительной скорости возмущений вследствие их сноса спутным потоком, однако этот рост различен на различных частотах в соответствии с преобразованием (15) шкалы частот из-за доплеровского сдвига.
Рис. 7. Сравнение форм поперечных профилей средней скорости в соответствующих сечениях для струи в статических условиях (символы) и струе в спутном потоке λ = 0.23 (линия).
Рис. 8. Относительные скорости конвекции возмущений в струе при x/Lc = 0.44: 1 – λ = 0; 2 – λ = 0.23.
Косвенная проверка корректности проведенной оценки скорости возмущений может быть выполнена аналогично тому, как это делалось в предыдущем разделе с помощью масштабирования спектров пульсаций по радиальной координате. Для спектра пульсаций скорости в данном сечении x, как и для пульсаций давления (см. (4), (5), (10)), являющихся в потенциальной части ближнего поля преимущественно продольными волнами, должно выполняться
в потенциальном ядре (), (17)
вне слоя смешения. (18)
В указанных оценках учтено, что внутри потенциального ядра при приближении к оси струи все сильнее доминирует только осесимметричная мода в силу того, что In(z) → 0 при z → 0, n ≥ 1, а вне слоя смешения доминируют первые две азимутальные моды (n = 0,1) с близкими характеристиками, поэтому можно использовать функции I0 и K0 для оценки поведения суммарных пульсаций.
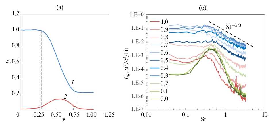
На рис. 9а показаны профили безразмерных средней скорости и среднеквадратичных значений пульсаций ее продольной компоненты, измеренные с помощью термоанемометра в сечении x = 3, а на рис. 9б – спектральные плотности пульсаций продольной компоненты скорости в данном сечении при различных значениях r (для удобства показаны спектры для каждой четвертой точки). Штриховыми линиями на рис. 9а показаны примерные границы слоя смешения, внутри которого наблюдаются наиболее интенсивные пульсации, связанные с вихревым турбулентным течением в данной области. В потенциальной части течения пульсации скорости хотя и существенно ниже, чем в слое смешения, но не равны нулю, что хорошо видно на рис. 9б, где приведены их спектры.
Рис. 9. (а) – Профиль средней скорости (1) и среднеквадратичных значений пульсаций ее продольной компоненты (2) в сечении = 3; (б) – спектральные плотности пульсаций продольной компоненты скорости при различных значениях (обозначения кривых указаны на графике).
Из сравнения спектров пульсаций в различных точках в данном сечении обращает на себя внимание различный характер спектров внутри и вне слоя смешения. В слое смешения спектр пульсаций имеет вид, характерный для развитого свободного турбулентного потока с примерно постоянным уровнем на низких частотах и спаданием в соответствии с законом “–5/3” в высокочастотной области. Во внешней по отношению к слою смешения зоне и в потенциальном ядре спектр имеет характерный максимум в области чисел Струхаля от 0.1 до 1, соответствующий волнам неустойчивости. В работах [12, 34] данный максимум в спектре и его связь с пакетами волн неустойчивости подробно изучались на примере результатов измерений пульсаций скорости на оси струи. При наличии спутного потока, как видно из рис. 9б, термоанемометр позволяет измерять “след” волновых пакетов и вне струи. На рис. 10–11 показано, что данные измерений в потенциальной зоне подчиняются модели (17), (18) со скоростью конвекции, рассчитанной в соответствии с описанной выше процедурой (рис. 8). На рис. 10а показана измеренная спектральная карта (т. е. зависимость интенсивности пульсаций Lu от r и St) пульсаций скорости внутри струи, а на рис. 10б – спектральная карта, построенная на основе спектра Lu в точке r = 0 с использованием модельной зависимости (17) в виде Lu(St, r) ≈ ≈ Lu(St, 0)|I0(bjrD)|2.
Рис. 10. Спектральные карты пульсаций скорости в сечении = 3 внутри потенциального ядра: (а) – данные измерений; (б) – результат моделирования с помощью зависимости (17) и базового спектра в точке = 0.
Рис. 11. Спектральные карты пульсаций скорости в сечении = 3 во внешней области: (а) – данные измерений; (б) – результат моделирования с помощью зависимости (17) и базового спектра в точке = 1.
Как видно, внутри потенциального ядра (r < 0.25) модель хорошо соответствует данным измерений. Аналогично, на рис. 11а показана спектральная карта пульсаций вне струи, а на рис. 11б – спектральная карта, построенная на основе спектра Lu в точке r = 1 с использованием модельной зависимости (18) в виде Lu(St, r) ≈ ≈ Lu(St, 1)|K0(bcfrD)|2. Модель хорошо соответствует данным измерений для внешней зоны ближнего поля (r > 0.8). Таким образом, предложенная полуэмпирическая модель позволяет адекватно воспроизвести пространственно-частотную структуру пульсаций скорости в потенциальной зоне ближнего поля как внутри, так и вне струи, что, в свою очередь, обосновывает возможность использования выражений (6), (7), (16) для оценки пульсаций давления в соответствующих областях.
Проанализируем непосредственно процедуру оценки спектра пульсаций давления Lp по спектрам пульсаций скорости Lu во внешней области с помощью (16). Прямые измерения пульсаций давления в спутном потоке не проводились, т. к. для таких измерений требуется, как уже отмечалось, внесение микрофонов в поток и использование специальных насадков [23], что делает их довольно громоздкими. Однако возможна косвенная оценка таких пульсаций на основе данных о шуме взаимодействия струи и пластины, помещенной в ее ближнее поле. В работах [15–17, 35] показано, что если задняя кромка пластины лежит в потенциальной области ближнего гидродинамического поля струи (рис. 12), то возникает существенный дополнительный шум (так называемый шум взаимодействия), спектр которого LF в дальнем поле (точка F на рис. 12) линейным образом связан со спектром пульсаций давления Lp, создаваемых свободной струей (в отсутствие пластины) в месте расположения задней кромки пластины (точка Т на рис. 12), т. е. LF =GLp. Таким образом, предложенная в настоящей работе процедура оценки Lp по данным термоанемометра может быть косвенно валидирована по акустическим характеристикам конфигурации “сопло-пластина”, для которой измерения шума при наличии спутного потока не представляют сложностей, по крайней мере, при нулевом угле атаки пластины [23, 36]. В работе [37] для передаточной функции G между пульсациями ближнего поля и шумом в дальнем поле в плоскости симметрии системы было получено следующее простое выражение
(19)
где Mcf = Ucf/c и Mc = Uc/c – числа Маха спутного потока и скорости возмущений ближнего поля соответственно, R – расстояние от кромки до наблюдателя, θ – угол наблюдения (рис. 12).
Рис. 12. К валидации процедуры оценки давления по дальнему полю.
Измерения шума взаимодействия струи (Mj = 0.4) и пластины, задняя кромка которой находилась в точке (x, r) ≈ (3,1), в статических условиях и при наличии спутного потока (l = 0.23) подробно описаны в [36]. На рис. 13а показаны спектры пульсаций давления в области расположения задней кромки пластины для l = 0 и l = 0.23. Спектр для статических условий определен из непосредственных измерений ближнего поля микрофонной решеткой аналогично тому, как это делалось в работе [17]. Спектр при наличии спутного потока рассчитан с помощью предложенной в настоящей работе процедуры на основании термоанемометрических измерений пульсаций скорости в точке (x, r) = (3,1). Отметим, что при фиксированной координате x наличие спутного потока приводит к некоторому уменьшению уровня пульсаций и смещению пика в их спектре в более высокие частоты. Последний эффект отражает тот факт, что основным масштабом подобия при сравнении различных круглых струй с точки зрения структуры среднего поля скорости, а значит, и структуры линейных возмущений, развивающихся на его фоне, является длина потенциального ядра (или, что то же самое, связанная с ней линейно толщина слоя смешения в данном сечении). При увеличении скорости спутного потока длина потенциального ядра растет, и точка с заданной координатой x оказывается ближе к срезу сопла в терминах длины потенциального ядра Lc, т. е. уменьшается безразмерный параметр x/Lc, а значит, спектр пульсаций должен сместиться в область более высоких частот [38]. Аналогичный эффект наблюдался и в работе [23], где проводились прямые измерения пульсаций с помощью микрофона с коническим насадком.
Рис. 13. Спектры пульсаций давления в статических условиях (1) и при наличии спутного потока (2): (а) – в месте расположения задней кромки пластины; (б) – в дальнем поле в точке R = 20D, θ = –90° (точка “под” пластиной), символы – прямые измерения шума взаимодействия в дальнем поле [36], линии – оценка по спектрам ближнего поля.
С использованием данных спектров ближнего поля (рис. 13а) и передаточной функции G (19), была выполнена оценка низкочастотного шума взаимодействия в точке, расположенной под пластиной (θ = –90°) на расстоянии R = 20D от ее задней кромки. Сравнение полученных оценок с прямыми измерениями шума взаимодействия струи и пластины показано на рис. 13б и демонстрирует приемлемую точность как в статических условиях (по измерениям спектров ближнего поля микрофонами), так и при наличии спутного потока (по измерению пульсаций скорости термоанемометром). Данное сравнение валидирует предложенную в работе процедуру оценки пульсаций давления по пульсациям скорости в потенциальной зоне ближнего поля струи при наличии спутного потока.
В заключение отметим, что спектры шума взаимодействия (а значит, и ближнего поля пульсаций давления), полученные в настоящей работе, оказываются более точными на низких частотах, чем в работе [36], в которой оценка пульсаций давления выполнялась на основе измерений пульсаций на оси струи с последующим их пересчетом в заданную точку с помощью решения параболизованных уравнений устойчивости. Возможность прямого измерения пульсаций скорости вне струи при наличии спутного потока, а также более корректная оценка скорости их конвекции на основе данных эксперимента избавляют от необходимости использования решения задачи устойчивости, которое не вполне пригодно именно в низкочастотной области (когда размер волнового пакета становится больше длины начального участка).
ЗАКЛЮЧЕНИЕ
В работе предложена процедура, позволяющая оценить характеристики пульсаций давления во внешней по отношению к слою смешения струи области ближнего поля, в которой доминируют линейные гидродинамические возмущения (волны неустойчивости), по результатам одноточечных измерений пульсаций скорости с помощью термоанемометра при наличии спутного потока. Измерения термоанемометром при наличии потока являются менее инвазивными и более удобными, чем измерения микрофонами. Предложенный метод основан на том факте, что волны неустойчивости близки по структуре к однородным продольным волнам, что позволяет локально связать пульсации давления и продольной компоненты скорости, измеряемые термоанемометром. Ключевым параметром в такой связи является скорость конвекции возмущений. Для ее оценки при наличии спутного потока предложена полуэмпирическая модель, основанная на результатах ее прямых измерений многомикрофонной решеткой в статических условиях.
Разработанная процедура протестирована на экспериментальных данных, полученных для струи с числом Маха 0.4 при различных параметрах спутности. Показано, что пульсации скорости в потенциальной области ближнего поля (как внутри начального участка, так и вне струи) хорошо аппроксимируются осесимметричным решением конвективного волнового уравнения в локально-однородном приближении. Проведена валидация процедуры по дальнему полю шума взаимодействия струи и пластины при наличии спутного потока, показавшая ее приемлемую точность в области чисел Струхаля 0.1–1.
Таким образом, разработанная процедура может использоваться в лабораторном эксперименте для реконструкции поля пульсаций давления вблизи струи с целью оценки в условиях полета характеристик нагружения элементов планера самолета, расположенных около силовой установки, а также оценки дополнительного шума в дальнем поле, генерируемого при взаимодействии струи и элементов планера.
Авторы выражают благодарность В.Ф. Копьеву за интерес к работе и полезные замечания.
Работа выполнена на базе УНУ “Заглушенная камера с потоком АК-2” ФАУ “ЦАГИ” (https://ckp-rf.ru/catalog/usu/506417/), модернизируемой при финансовой поддержке Министерства науки и высшего образования Российской Федерации по соглашению № 075-15-2022-1036.
Работа выполнена при финансовой поддержке РНФ (грант 19-71-10064).
About the authors
О. П. Бычков
ФАУ ЦАГИ, Научно-исследовательский Московский комплекс ЦАГИ
Email: georgefalt@rambler.ru
Russian Federation, Москва
Г. А. Фараносов
ФАУ ЦАГИ, Научно-исследовательский Московский комплекс ЦАГИ
Author for correspondence.
Email: georgefalt@rambler.ru
Russian Federation, Москва
References
- Кузнецов В.М. Проблемы снижения шума пассажирских самолетов (обзор) // Акуст. журн. 2003. Т. 49. № 3. С. 293–317.
- Peak N. Modern Challenges Facing Turbomachinery Aeroacoustics // Ann. Rev. Fluid Mech. 2012. V. 44. P. 227–248.
- Kopiev V., Belyaev I., Faranosov G., Kopiev Vl., Ostrikov N., Zaytsev M., Paranin G. Numerical and Experimental Study of JFI Effect on Swept Wing // AIAA Paper. 2014. AIAA-2014–3060.
- Miller S.A. Prediction of near-field jet cross spectra // AIAA J. 2015. V. 53. № 8. P. 2130–2150.
- Гиневский А.С., Власов Е.В., Каравосов Р.К. Акустическое управление турбулентными струями. М.: Физматлит, 2001. 240 с.
- Jordan P., Gervais Y. Subsonic jet aeroacoustics: associating experiment, modelling and simulation // Experiments in Fluids. 2008. V. 44. № 1. P. 1–21.
- Tam C.K., Viswanathan K., Ahuja K.K., Panda J. The sources of jet noise: experimental evidence // J. Fluid Mech. 2008. V. 615. P. 253–292.
- Копьев В.Ф., Чернышев С.А. Новая корреляционная модель каскада турбулентных пульсаций как источника шума в струях // Акуст. журн. 2012. Т. 58. № 4. С. 482–497.
- Jordan P., Colonius T. Wave packets and turbulent jet noise // Annual Review of Fluid Mechanics. 2013. V. 45. P. 173–195.
- Бычков О.П., Зайцев М.Ю., Копьев В.Ф., Фараносов Г.А., Чернышев С.А. О двух подходах к моделированию шума низкоскоростных дозвуковых струй // Докл. Росс. Акад. наук. Физика, техн. науки. 2022. Т. 506. № 1. С. 16–25.
- Gudmundsson K., Colonius T. Instability wave models for the near-field fluctuations of turbulent jets // J. Fluid Mech. 2011. V. 689. P. 97–128.
- Cavalieri A.V.G., Rodriguez D., Jordan P., Colonius T., Gervais Y. Wavepackets in the velocity field of turbulent jets // J. Fluid Mech. 2013. V. 730. P. 559–592.
- Беляев И.В., Бычков О.П., Зайцев М.Ю., Копьев В.А., Копьев В.Ф., Остриков Н.Н., Фараносов Г.А., Чернышев С.А. Разработка стратегии активного управления волнами неустойчивости в невозбужденных турбулентных струях // Изв. РАН. МЖГ. 2018. № 3. С. 14–27.
- Mengle V.G. The Effect of Nozzle to Wing Gulley Height on Jet Flow Attachment to the Wing and Jet Flap Interaction Noise // AIAA Paper 2011–2705. 2011.
- Kopiev V.F., Faranosov G.A., Zaytsev M. Yu., Vlasov E.V., Karavosov R.K., Belyaev I.V., Ostrikov N.N. Intensification and suppression of jet noise sources in the vicinity of lifting surfaces // AIAA paper 2013–2284. 2013.
- Cavalieri A.V.G., Jordan P., Wolf W.R., Gervais Y. Scattering of wavepackets by a flat plate in the vicinity of a turbulent jet // J. Sound Vib. 2014. V. 333. P. 6516–6531.
- Бычков О.П., Фараносов Г.А. Экспериментальное исследование и теоретическое моделирование шума взаимодействия струи и крыла самолета // Акуст. журн. 2018. Т. 64. № 4. С. 437–453.
- Kopiev V.F., Akishev Y.S., Belyaev I.V., Berezhetskaya N.K., Bityurin V.A., Faranosov G.A., Grushin M.E., Klimov A.I., Kopiev V.A., Kossyi I.A., Moralev I.A., Ostrikov N.N., Taktakishvili M.I., Trushkin N.I., Zaytsev M.Yu. Instability wave control in turbulent jet by plasma actuators // J. Phys. D: Appl. Phys. 2014. V. 47. P. 1–18.
- Копьев В.Ф., Бычков О.П., Копьев В.А., Фараносов Г.А., Моралев И.А., Казанский П.Н. Управление волнами неустойчивости в невозбужденной турбулентной струе с помощью плазменных актуаторов в узкой полосе частот // Акуст. журн. 2021. Т. 67. № 4. С. 431–439.
- Kopiev V., Faranosov G., Bychkov O., Kopiev Vl., Moralev I., Kazansky P. Active control of jet-plate interaction noise for excited jets by plasma actuators // J. Sound Vib. 2020. V. 484. P. 115515.
- Копьев В.Ф., Бычков О.П., Копьев В.А., Фараносов Г.А., Моралев И.А., Казанский П.Н. Активное управление шумом взаимодействия струи и крыла с помощью плазменных актуаторов в узкой полосе частот // Акуст. журн. 2023. Т. 69. № 2. С. 177–190.
- Mancinelli M., Pagliaroli T., Camussi R., Castelain T. On the hydrodynamic and acoustic nature of pressure proper orthogonal decomposition modes in the near field of a compressible jet // J. Fluid Mech. 2018. V. 836. P. 998–1008.
- Dawson M.F., Lawrence J.L.T., Self R.H., Kingan M.J. Validation of a jet-surface interaction noise model in flight // AIAA J. 2020. V. 58. № 3. P. 1130–1139.
- Kraichnan R.H. Pressure field within homogeneous anisotropic turbulence // J. Acoust. Soc. Am. 1956. V. 28. № 1. P. 64–72.
- Baur T., Kongeter J. PIV with high temporal resolution for the determination of local pressure reductions from coherent turbulence phenomena // Proc. 3rd Int. Workshop on PIV. Santa Barbara. 1999. P. 101–106.
- Liu X., Katz J. Instantaneous pressure and material acceleration measurements using a four-exposure PIV system // Experiments in fluids. 2006. V. 41. № 2. P. 227–240.
- Violato D., Moore P., Scarano F. Lagrangian and Eulerian pressure field evaluation of rod-airfoil flow from time-resolved tomographic PIV // Experiments in fluids. 2011. V. 50. № 4. P. 1057–1070.
- Абрамович Г.Н., Гиршович Т.А., Крашенинников С.Ю. и др. (под ред. Абрамовича Г.Н.) Теория турбулентных струй. М.: Наука, 1984. 716 с.
- Schmidt O.T., Towne A., Colonius T., Cavalieri A.V., Jordan P., Brès G.A. Wavepackets and trapped acoustic modes in a turbulent jet: coherent structure eduction and global stability // J. Fluid Mech. 2017. V. 825. P. 1153–1181.
- Antonialli L.A., Cavalieri A.V., Schmidt O.T., Colonius T., Jordan P., Towne A., Brès G.A. Amplitude scaling of wave packets in turbulent jets // AIAA J. 2021. V. 59. № 2. P. 559–568.
- Бычков О.П., Фараносов Г.А. О связи пульсаций скорости и давления на оси и в ближнем поле турбулентной струи // Изв. РАН. МЖГ. 2021. № 4. С. 41–51.
- Tam C.K.W., Burton D.E. Sound generated by instability waves of supersonic flows: Part2. Axisymmetric jets // J. Fluid Mech. 1984. V. 138. P. 273–295.
- Бычков О.П., Фараносов Г.А. О возможном механизме усиления шума струи вблизи крыла // Акуст. журн. 2014. Т. 60. № 5. С. 596–610.
- Soares L.F.M., Cavalieri A.V.G., Kopiev V., Faranosov G. Flight effects on turbulent-jet wavepackets // AIAA J. 2020. V. 58. № 9. P. 3877–3888.
- Lyu B., Dowling A.P., Naqavi I. Prediction of installed jet noise // J. Fluid Mech. 2017. V. 811. P. 234–268.
- Bychkov O., Faranosov G., Kopiev V., Soares L.F.M., Cavalieri A.V.G. Jet Installation Noise Modeling in Static and Flight Conditions Using Centerline Fluctuations // AIAA J. 2022. V. 60. № 6. P. 3620–3634.
- Бычков О.П., Копьев В.Ф., Фараносов Г.А. Валидация двухточечной модели предсказания низкочастотного усиления шума струи вблизи крыла // Ученые Записки Физического Факультета Московского Университета. 2020. № 1. 2010801. С. 1–8.
- Miller W.R. Flight effects for jet-airframe interaction noise // AIAA Paper 1983–0784. 1983.
Supplementary files















