Теплоемкость и особенности фононного спектра монокристаллов твердых растворов иттрий-лютециевых алюмогранатов
- Авторы: Никитов С.А.1, Таранов А.В.1, Хазанов Е.Н.1, Чарная Е.В.2, Лихолетова М.В.2, Шевченко Е.В.2
-
Учреждения:
- Институт радиотехники и электроники им. В.А. Котельникова РАН
- Санкт-Петербургский государственный университет
- Выпуск: Том 70, № 2 (2024)
- Страницы: 180-185
- Раздел: ФИЗИЧЕСКАЯ АКУСТИКА
- URL: https://medbiosci.ru/0320-7919/article/view/261548
- DOI: https://doi.org/10.31857/S0320791924020053
- EDN: https://elibrary.ru/YNMCZS
- ID: 261548
Цитировать
Полный текст
Аннотация
Измерены температурные зависимости теплоемкости и исследованы общие закономерности формирования фононного спектра монокристаллов твердых растворов иттрий-лютециевых алюмогранатов Y3–xLuxAl5O12 при 0≤x≤3 в интервале температур от 1.9 до 220 K. По данным, полученным ниже 10 K, рассчитаны температуры Дебая. Особенности фононного спектра в промежуточной температурной области интерпретированы как суперпозиция оптических мод для иттриевого и лютециевого гранатов. Показано, что низкие значения теплоемкости, обусловленной вкладом акустических фононов, для Y2.25Lu0.75Al5O12 коррелируют с аномалиями на концентрационных зависимостях фононного транспорта, поглощения акустических волн и формы линии ЯМР алюминия.
Ключевые слова
Полный текст
ВВЕДЕНИЕ
Монокристаллы твердых растворов иттрий-редкоземельных алюмогранатов Y3–хReхAl5O12 (YAG:Re) [1] благодаря возможности контролируемого изоморфного замещения на позициях Y↔Re, а также механическим, диэлектрическим и теплофизическим свойствам нашли широкое применение в качестве базовых элементов устройств квантовой электроники [2] и адиабатического размагничивания при получении сверхнизких температур [3]. В акустике твердого тела был предложен материал с более высокой акустической прозрачностью в СВЧ диапазоне по сравнению с традиционными кристаллами корунда, кварца, ниобата лития и т.п. [4]. Это позволило создать предпосылки для конструирования миниатюрных твердотельных акустических устройств обработки информации [5, 6]. Использование алюмогранатов YAG:Re открыло новые возможности исследования процессов, лежащих в основе фонон-фононного и спин-фононного взаимодействия, особенностей колебательного спектра диэлектрических материалов со сложной кристаллической структурой [7].
На физические свойства твердых кристаллических растворов значительное влияние оказывает характер распределения атомов компонент по узлам кристаллической решетки, который определяет тип порядка замещения для конкретных кристаллов [8]. В случае иттрий-редкоземельных алюмогранатов порядок замещения зависит от взаимного расположения ионов Y3+ и Re3+ по додекаэдрическим c-позициям в решетке [1]. Исходя из энергетических соображений, возможно формирование неупорядоченного твердого раствора, в котором вероятность отклонения концентрации твердого раствора от среднего значения x задается нормальным распределением. Если атомам компонент энергетически выгоднее быть в окружении атомов такого же сорта, то в твердом растворе возникает кластеризация. В противном случае наблюдается тенденция к формированию сверхрешетки. Порядок замещения сильно сказывается на кинетических параметрах твердых растворов, в частности, на электропроводности смешанных полупроводников [9], фононной релаксации, затухании акустических волн и теплопроводности в диэлектриках [10].
Примитивная ячейка иттриевого алюмограната Y3Al5O12 содержит 20 атомов. Это означает, что собственный колебательный спектр подобного монокристалла определяется преимущественно оптическими фононами. Оптические фононы в монокристаллах граната исследовались при значениях волновых векторов вблизи центра зоны Бриллюэна методами комбинационного рассеяния света и инфракрасной спектроскопии [11, 12], а также методом неупругого рассеяния нейтронов (НРН) [13-15]. В работе [13] акустические моды фононного спектра Y3Al5O12 наблюдались до ~110–120 см–1 (~14 мэВ) при 750 K, что согласовывалось с оценкой границы спектра акустических колебаний [16]. Теоретические исследования [17, 18] показали, что изоморфное замещение Y более тяжелым редкоземельным атомом Re может приводить к образованию дополнительных колебательных состояний в акустической части фононного спектра YAG:Re.
Твердые растворы иттрий-лютециевых алюмогранатов Y3–xLuxAl5O12 стоят особняком в ряду остальных YAG:Re из-за того, что оба иона Y3+ и Lu3+ непарамагнитны. Исследования фононного спектра нелегированных парамагнитными ионами кристаллов Y3–xLuxAl5O12 методом НРН [15] и ряд последующих экспериментов по распространению акустических волн СВЧ-диапазона [19] и тепловых импульсов в области гелиевых температур, а также исследования ядерного магнитного резонанса (ЯМР) [20] выявили сложную зависимость физических свойств и порядка замещения от концентрации x. В последнее время твердые растворы иттрий-лютециевых алюмогранатов активно изучаются для различных практических применений, например, их использование позволяет оптимизировать характеристики наносцинтилляторов на основе Y3–xLuxAl5O12:Ce3+ [21].
В связи с тем, что при образовании твердых растворов замещения существенно изменяется фононный спектр, целесообразно рассмотреть свойства монокристаллов Y3–xLuxAl5O12, которые могут отражать эти изменения. Одним из таких свойств является теплоемкость. Отсутствие парамагнитных ионов в решетке Y3–xLuxAl5O12 позволяет исследовать характер трансформации фононного спектра методом теплоемкости в широком диапазоне температур без учета влияния аномалий Шоттки, индуцируемых остальными редкоземельными ионами [22].
Для кристаллического Y3Al5O12 данные по теплоемкости в широком интервале температур представлены в работах [23] и при температурах выше 80 K в работах [24-26]. Для монокристаллов лютециевого граната Lu3Al5O12 проводились измерения теплоемкости выше 80 K [25], а для монокристаллов твердых растворов Y3-xLuxAl5O12, насколько нам известно, измерения теплоемкости отсутствуют.
ОБРАЗЦЫ И ЭКСПЕРИМЕНТ
Образцы гранатов Y3–xLuxAl5O12 (x = 0, 0.6, 0.75, 1.0, 2.5 и 3) были синтезированы во ВНИИСМС (г. Александров) методом горизонтальной направленной кристаллизации (метод Бриджмана). Гранаты имеют пространственную симметрию . Образцы для исследований вырезались в виде пластинок, ориентированных перпендикулярно кубической оси кристаллов, толщиной около 0.3 мм и площадью поверхности около 0.2 см2.
Измерения теплоемкости проводились на базе Ресурсного центра “Центр диагностики функциональных материалов для медицины, фармакологии и наноэлектроники“ научного парка СПбГУ с помощью встроенной опции комплекса для измерения физических свойств PPMS-9+EverCool-II производства Quantum Design в соответствии с договором о научно-техническом сотрудничестве. Измерения проводились в температурном диапазоне от 1.9 до 220 K.
РЕЗУЛЬТАТЫ И ОБСУЖДЕНИЕ
На рис. 1 приведены измеренные температурные зависимости теплоемкости С(Т) для монокристаллов твердых растворов Y3–хLuхAl5O12 в диапазоне от 10 до 220 K. Эти зависимости отражают трансформацию фононного спектра при переходе от иттриевого (x = 0) к лютециевому (x = 3) алюмогранату. При температурах выше 15 K минимальная теплоемкость наблюдается для иттриевого граната. Теплоемкость возрастает с ростом концентрации лютеция.
Рис. 1. Температурные зависимости теплоемкости C в монокристаллах твердых растворов Y3–хLuхAl5O12
Однако при более низких температурах минимальную теплоемкость демонстрирует твердый раствор с x = 0.75. Такое поведение коррелирует с результатами исследований кристаллов Y3–хLuхAl5O12 акустическими методами, методом тепловых импульсов и ЯМР [19, 20]. На рис. 2 данные, полученные в этих работах, сопоставлены с данными по теплоемкости из настоящей работы. Видно, что для кристалла с x = 0.75 наблюдаются аномальное понижение упругого рассеяния тепловых фононов, сужение линии ЯМР 27Al и понижение теплоемкости на фоне концентрационных зависимостей этих величин.
Рис. 2. Концентрационные зависимости в монокристаллах твердых растворов Y3-хLuхAl5O12: (а) – обратного времени рассеяния фононов тепловых частот 1/τ0 [19]; (б) – ширины линии ЯМР 27Al [20]; (в) – теплоемкости
В работе [20] было предположено, что сужение линии ЯМР 27Al является результатом отклонения характера размещения ионов Y3+ и Lu3+ по c-узлам решетки гранатов от нормального закона и проявлением тенденции к возникновению сверхрешетки. Частичный порядок замещения, в свою очередь, приводит к увеличению времени жизни фононов при низких температурах и к уменьшению поглощения акустических волн при более высоких температурах, когда существенную роль начинает играть фонон–фононное рассеяние. Исследования теплоемкости, проведенные в данной работе, показывают, что частичное формирование сверхрешетки проявляется также и в снижении теплоемкости при низкой температуре. Возможно, что понижение теплоемкости обусловлено уменьшением числа акустических фононов из-за увеличения размеров примитивной ячейки.
Измерения теплоемкости при низких температурах позволяют провести оценки температуры Дебая θ согласно выражению (1), где rD – число фононных мод, равное 60 для решетки граната, и R – газовая постоянная:
. (1)
Примеры теоретических и экспериментальных температурных зависимостей теплоемкости показаны на рис. 3 для чистого YAG и твердого раствора с x = 2.5.
Рис. 3. Экспериментальные (символы) и теоретические (линии) температурные зависимости теплоемкости C твердых растворов Y3–хLuхAl5O12
Полученные значения температур Дебая сведены в таблице.
Таблица. Значения температур Дебая для твердых растворов Y3–хLuхAl5O12 и относительный вклад α эйнштейновских мод, соответствующих локальным колебаниям ионов Y3+ и Lu3+
x | 0 | 0.6 | 0.75 | 1 | 2.5 | 3 |
, K | 750 | 700 | 850 | 750 | 650 | 590 |
1/0 | 0.70/0.30 | 0.67/0.33 | 0.46/0.54 | 0.10/0.90 | 0/1 |
Температура Дебая для YAG близка к величине 760 K, найденной в работе [25] по измерениям теплоемкости в температурном интервале от 80 до 300 K. Тогда как температура Дебая, полученная в настоящей работе для лютециевого граната, значительно ниже, чем найденная в работе [25] (750 K). В таблице обращает на себя внимание высокая температура Дебая для твердого раствора с x = 0.75, которая, возможно, также связана с частичным порядком замещения ионами Y3+ и Lu3+ узлов кристаллической решетки, как и остальные свойства (см. рис. 2).
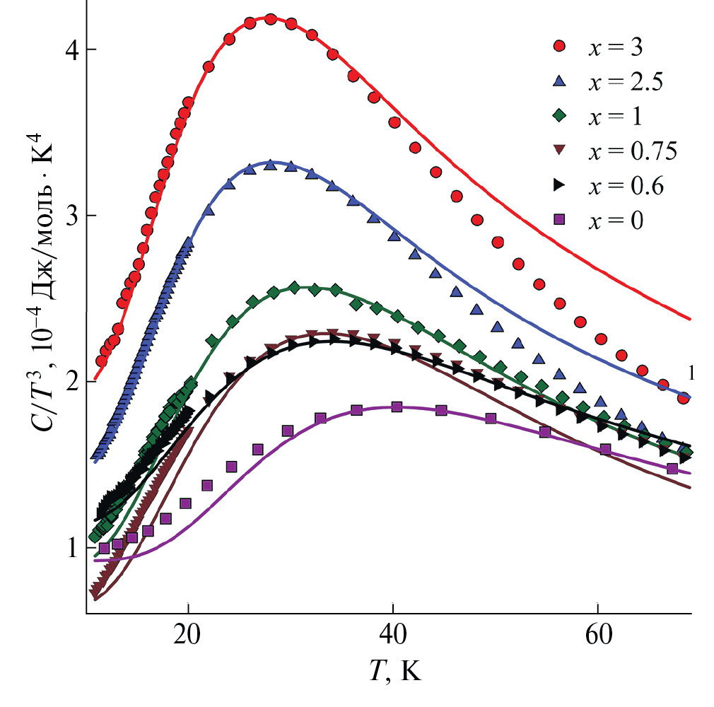
На рис. 4 представлены температурные зависимости теплоемкости Y3–хLuхAl5O12, деленной на T 3, в диапазоне от 10 до 100 K, в котором наблюдаются максимумы, обусловленные отличиями спектра колебательных состояний кристаллов гранатов от дебаевской модели. Максимумы кривых C/T 3 смещаются с ростом концентрации лютеция в сторону меньших температур и несколько уширяются для твердых растворов по сравнению с крайними составами.
Рис. 4. Зависимости C/T 3 для Y3–хLuхAl5O12 (символы) и их аппроксимация (линии) на основе модели Эйнштейна
Природа и положение максимумов на рис. 4 допускают интерпретацию при сопоставлении с данными НРН в подобных образцах твердых растворов [15]. Согласно [15], особенности колебательных состояний с энергиями 12.3 и 18 мэВ в спектрах НРН отвечают оптическим колебаниям, связанным с движением ионов Lu3+ в лютециевом гранате и Y3+ в YAG. Часть фононного спектра с энергиями выше 50 мэВ, которая определяется колебаниями тетраэдра AlO4, оставалась неизменной. Близкие по энергиям колебания, локализованные в области 130 и 180 K для монокристаллов Y2.7Lu0.3Al5O12 и Y0.5Lu2.5Al5O12 соответственно, были получены из данных по поглощению акустических волн СВЧ-диапазона [19]. Из этого следует, что характер зависимостей С/Т 3 для твердых растворов Y3–хLuхAl5O12 может быть обусловлен суперпозицией оптических колебательных состояний ионов Y3+ и Lu3+. Вклад оптических мод в теплоемкость может быть описан на основе модели Эйнштейна [22]:
, (2)
где θE – температура Эйнштейна и rE – число колебательных мод, учитываемых в модели. Результаты аппроксимации кривых С/Т 3 эйнштейновской моделью с температурами θE, равными 137 K для лютециевого граната и 200 K для YAG, представлены на рис. 4. Для твердых растворов кривые на рис. 4 аппроксимировались суперпозицией вкладов мод Эйнштейна для ионов Y3+ и Lu3+. Отношение α коэффициентов rE для мод с температурами Эйнштейна 137 и 200 K приведено в таблице. Отметим, что найденные в настоящей работе температуры Эйнштейна близки к величинам, полученным в работах [15, 19].
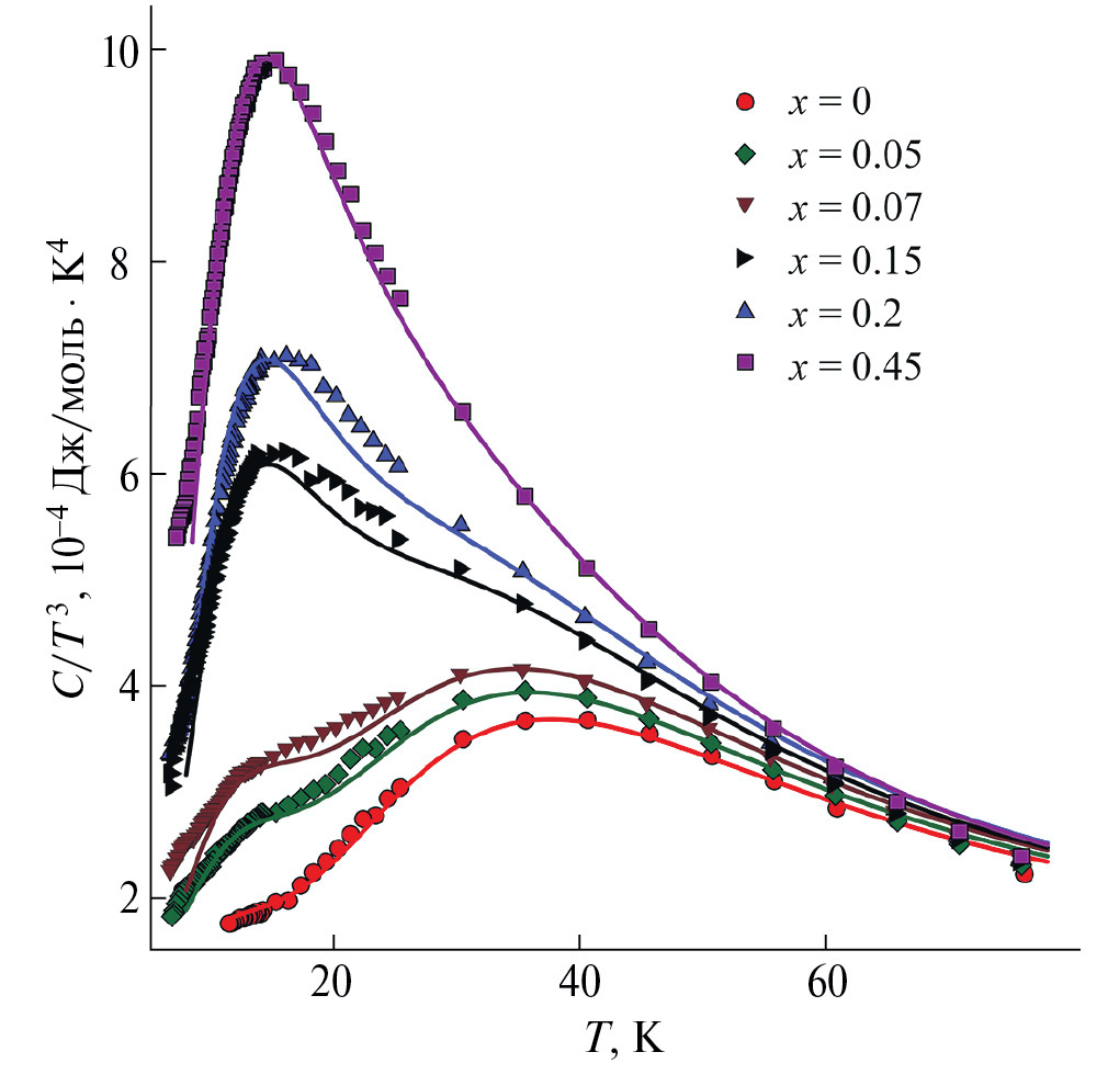
Модель, основанную на суперпозиции оптических мод, можно также применить для интерпретации зависимостей С/Т 3 в кристаллах твердых растворов алюминатов Y1–xErxAlO3 (х = 0.05, 0.07, 0.15, 0.2, 0.45). Результаты исследования теплоемкости в этих кристаллах частично представлены в [27]. Экспериментальные данные для С/Т 3 и их аппроксимация суперпозицией вкладов эйнштейновских мод для ионов Y3+ и Er3+ показаны на рис. 5.
Рис. 5. Зависимости C/T 3 для Y1–xErxAlO3 (символы) и их аппроксимация (линии) на основе модели Эйнштейна
Температуры Эйнштейна для оптических колебаний принимались равными 190 и 70 K для Y3+ и Er3+ соответственно. Рис. 5 демонстрирует хорошее согласие между теоретическими и экспериментальными зависимостями. Отметим, что предельная частота колебаний иттрия в решетке иттриевого алюмината YAlO3 (190K) близка к частоте оптических колебаний в YAG.
ЗАКЛЮЧЕНИЕ
Приведены результаты измерений температурных зависимостей теплоемкости С(Т) для монокристаллов твердых растворов Y3–хLuхAl5O12 (x = 0, 0.6, 0.75, 1.0, 2.5 и 3) в диапазоне от 10 до 220 K. Показано, что зависимости отражают трансформацию фононного спектра при переходе от иттриевого Y3Al5O12 к лютециевому Lu3Al5O12 алюмогранату. Характер зависимости С/Т3 для твердых растворов Y3–хLuхAl5O12 обусловлен суперпозицией оптических колебательных состояний ионов Y3+ и Lu3+. Значение теплоемкости возрастает по мере роста концентрации лютеция. При температурах выше 15 K минимальная теплоемкость наблюдается для Y3Al5O12. При более низких температурах для твердого раствора с концентрацией Lu x = 0.75 происходит достаточно резкое понижение теплоемкости, при этом данной концентрации соответствует наиболее высокая температура Дебая. Данная “аномалия” коррелирует с результатами исследований рассеяния тепловых фононов, поглощения акустических волн и спектров ЯМР 27Al в Y3–хLuхAl5O12. Согласно данным ЯМР, аномалия, как и остальные свойства, связана с частичным порядком замещения ионами Y3+ и Lu3+ узлов кристаллической решетки. Исследования теплоемкости, проведенные в данной работе, показывают, что понижение теплоемкости при низкой температуре также может являться следствием частичного упорядочения замещения.
Исследования выполнялись в рамках Государственного задания.
Работа выполнена при поддержке СПбГУ, шифр проекта АААА А19-119091190094-6.
Об авторах
С. А. Никитов
Институт радиотехники и электроники им. В.А. Котельникова РАН
Email: taranov@cplire.ru
Россия, Москва
А. В. Таранов
Институт радиотехники и электроники им. В.А. Котельникова РАН
Автор, ответственный за переписку.
Email: taranov@cplire.ru
Россия, Москва
Е. Н. Хазанов
Институт радиотехники и электроники им. В.А. Котельникова РАН
Email: taranov@cplire.ru
Россия, Москва
Е. В. Чарная
Санкт-Петербургский государственный университет
Email: taranov@cplire.ru
Россия, Санкт-Петербург
М. В. Лихолетова
Санкт-Петербургский государственный университет
Email: taranov@cplire.ru
Россия, Санкт-Петербург
Е. В. Шевченко
Санкт-Петербургский государственный университет
Email: taranov@cplire.ru
Россия, Санкт-Петербург
Список литературы
- Каминский А.А. Лазерные кристаллы. М.: Наука, 1975.
- Каминский А.А., Таранов А.В., Хазанов Е.Н., Акчурин М.Ш. Особенности структуры диэлектрических лазерных оксидных керамик // Квантовая электроника. 2012. Т. 42. С. 880–886.
- Kuz’mints M.D., Tishin A.M. Magnetic refrigerants for the 4.2–20 K region: garnets or perovskites? // J. Phys. D: Appl. Phys. 1991. V. 24. P. 2039–2044.
- Ivanov S.N. The Use of Yttrium-Rare Earth Aluminium Garnet Solid Solutions for Bulk-Acoustic-Wave (BAW) Devices // IEEE Trans. Ultrason. Ferroelectr. Freq. Control. 1992. V. 39. P. 653–656.
- Hickernell F.S. -3- Surface acoustic wave technology macrosuccess through microseisms, Physical Acoustics. Academic Press, 1999. V. 24. P. 135–207.
- Гуляев Ю.В., Хикернелл Ф.С. Акустоэлектроника: История, современное состояние и новые идеи для новой эры // Акуст. журн. 2005. Т. 51. № 1. С. 101–110.
- Никитов С.А., Таранов А.В., Хазанов Е.Н. Фононная спектроскопия твердых диэлектриков // Акуст. журн. 2023. Т. 69. № 1. С. 41–55.
- Займан Дж. Модели беспорядка. М.: Мир, 1982. 592 с.
- Козырев С.В., Маслов А.Ю. Влияние флуктуаций состава твердых растворов на подвижность двумерного электронного газа в полупроводниковых гетероструктурах // ФТП. 1988. Т. 22. № 3. С. 433–438.
- Ефиценко П.Ю., Чарная Е.В. Фононная релаксация, теплопроводность и затухание ультразвука в частично упорядоченных смешанных кристаллах // ФТТ. 1990. Т. 32. № 8. С. 2436–2440.
- Hurrell I.P., Porto S.P.S., Chang I.F., Mitrar S.S., Вanman R.P. Optical phonons of yttrium aluminum garnet // Phys. Rev. 1968. V. 173. P. 851–855.
- Mace G., Schaack G., Toaning N.G., Koningstein I.A. Optical phonons of terbium-, dysprosium-, and ytterbium-garnet // Z. Phys. 1970. V. 230. P. 391–402.
- Василькевич А.А., Горбачев Б.И., 3отеев О.Е., Иваницкий П.Г., Кротенко В.Т., Минков Б.И., Пасечник М.В., Сазонова С.А., Скоробогатов Б.С., Слисенко В.И. // ФТТ. 1976. Т. 18. С. 3195.
- Морозов С.И., Данилкин С.А., 3акуркин В.В. Препринт ФЭИ-1130. Обнинск: Физико-энергетический институт, 1980.
- Морозов С.И., Данилкин С.А., Закуркин В.В., Иванов С.Н., Медведь В.В., Ахметов С.Ф., Давыдченко А.Г. Спектры неупругого рассеяния медленных нейтронов и распространение акустических волн в твердом растворе Y3–хLuхAl5O12 // ФТТ. 1983. Т. 25. № 4. С. 1135–1142.
- Slack G.A., Oliver D.W. Thermal conductivity of garnets and phonon scattering by rare-earth ions // Phys. Rev. B. 1971. V. 4. P. 592–608.
- Каган Ю.М., Иосилевский Я.А. Эффект Моссбауэра для примесного ядра в кристалле I // Журн. эксп. теор. физ. 1962. Т. 42. № 1. С. 259–272.
- Brout R., Wissсhеr W.W. Suggested Experiment on Approximate Localized Modes in Crystals // Phys. Rev. Lett. 1962. V. 9. P. 54.
- Иванов С.Н., Медведь В.В., Котелянский И.М., Хазанов Е.Н. Резонансное фонон-примесное рассеяние в твердых растворах (Y1–cLuc)3Al5O12 // ФТТ. 1986. Т. 28. № 10. С. 2941–2945.
- Efitsenko P.Y., Hazanov E.N., Ivanov S.N., Medved V.V., Tcharnaya E.V. Phonon-impurity scattering in solid solution of Yttrium-Lutetium Aluminium Garnets // Phys. Lett. A. 1990. V. 147. № 2–3. P. 135–138.
- Mekki H., Guerbous L., Bousbia-salah H., Boukerika A., Lebbou K. Scintillation properties of (Lu1-xYx)3Al5O12:Ce3+ nanoscintillator solid solution garnet materials // JINST. 2023. V. 18. P. 02007.
- Tari A. The specific heat of matter at low temperatures. London: Imperial College Press, 2003. 339 p.
- Konings R.J.M., van der Laan R.R., van Genderen A.C.G., van Miltenburg J.C. The heat capacity of Y3Al5O12 from 0 to 900 K // Thermochim. Acta. 1998. V. 313. P. 201–206.
- Sato Y., Taira T. Study on the specific heat of Y3Al5O12 between 129 K and 573 K // Opt. Mater. Express. 2021. V. 11. № 2. P. 551–558.
- Aggarwal R.L., Ripin D.J., Ochoa J.R., Fan T.Y. Measurement of thermo-optic properties of Y3Al5O12, Lu3Al5O12, YAlO3, LiYF4, LiLuF4, BaY2F8, KGd(WO4)2, and KY(WO4)2 laser crystals in the 80–300 K temperature range // J. Appl. Phys. 2005. V. 98. P. 103514.
- Sagi S., Hayun S. High-temperature heat capacity of SPS-processed Y3Al5O12 (YAG) and Nd:YAG // J. Chem. Thermodyn. 2016. V. 93. P. 123–126.
- Лезова И.E., Карбань О.В., Таранов A.В., Хазанов E.Н., Чарная E.В. Кинетические характеристики фононов и структурные неоднородности твердых растворов моноалюминатов Y1–xErxAlO3 // Журн. эксп. теор. физ. 2020. Т. 157. № 1. С. 90–96.
Дополнительные файлы







