Optimization of dissipative mufflers
- Authors: Komkin A.I.1, Bykov A.I.1, Karnaukhova L.S.1
-
Affiliations:
- Bauman Moscow State Technical University
- Issue: Vol 70, No 3 (2024)
- Pages: 140-150
- Section: АКУСТИЧЕСКАЯ ЭКОЛОГИЯ. ШУМЫ И ВИБРАЦИИ
- URL: https://medbiosci.ru/0320-7919/article/view/268299
- DOI: https://doi.org/10.31857/S0320791924030133
- EDN: https://elibrary.ru/ZKSOYA
- ID: 268299
Cite item
Full Text
Abstract
The method of selecting the configuration of dissipative mufflers with the required acoustic efficiency is considered. The peculiarity of the considered approach is the use of an integral indicator of acoustic efficiency and dimensionless geometric parameters. The studies were carried out using finite element calculations. In the finite element model of a dissipative mufflers, acoustic characteristics of a fibrous sound-absorbing material obtained from experimental studies were used.
Full Text
ВВЕДЕНИЕ
Диссипативные глушители шума широко используются для снижения газодинамического шума машин. Их расчету посвящено большое количество работ отечественных и зарубежных авторов. При этом широкое распространение получили различные методы их расчета, как аналитические [1–10], так и численные [11, 12]. В [13] проведено сравнение этих двух подходов расчета диссипативных глушителей шума. Вместе с тем такие методы позволяют решать только прямую задачу — определение акустических характеристик глушителя заданной конфигурации. Однако, решение обратной задачи, более важной на практике, по определению конфигурации глушителя с заданной эффективностью при его минимальном объеме или с максимальной эффективностью при заданном объеме не осуществлялось. Решение такого рода оптимизационной задачи применительно к реактивным глушителям шума, основанное на использовании интегральных показателей акустической эффективности, приведено в [14, 15]. В [15], помимо этого, при оптимизации реактивных глушителей предложено использовать безразмерные геометрические параметры, что позволяет сократить временные затраты на подбор их геометрической конфигурации, обеспечивающей требуемую акустическую эффективность глушителя при заданных ограничениях.
Специфика оптимизации диссипативных глушителей шума заключается в наличии в них звукопоглощающего материала (ЗПМ). Исследования по оптимизации диссипативных глушителей шума были проведены в [16, 17]. Кроме того, здесь следует отметить и работы [18, 19], в них также рассматривается оптимизация геометрических параметров такого рода глушителей. Данная работа является дальнейшим развитием исследований по оптимизации диссипативных глушителей шума с использованием обобщенных показателей эффективности и безразмерных геометрических параметров.
КРИТЕРИИ ОЦЕНКИ ЭФФЕКТИВНОСТИ ГЛУШИТЕЛЕЙ ШУМА
Глушитель шума является частью газодинамической системы, в которую он устанавливается, например, в системе выпуска отработанных газов двигателя внутреннего сгорания. Поэтому акустическая эффективность такого глушителя должна определяться с учетом характеристик этой системы. В качестве показателя акустической эффективности глушителя используются так называемые вносимые потери IL. Вносимые потери являются функцией частоты звука и на i-той частоте определяются соотношением:
, дБ, (1)
где L0i и Li — уровни звукового давления в контрольной точке у среза выпускной трубы для выпускной системы соответственно без глушителя и с глушителем.
В технической акустике также используются скорректированные уровни звукового давления. Коррекция, как правило, осуществляется по шкале А, учитывающей зависимость чувствительности человеческого уха от частоты звука. Заметим, что при переходе в (1) к скорректированным уровням звукового давления L0Ai и LАi значения вносимых потерь ILi не изменяются. Помимо этого, используется такая интегральная характеристика как уровень звука, измеряемый в дБА. Если в рассматриваемом частотном диапазоне содержится N дискретных значений L0Ai и LАi, то соответствующие этим величинам уровни звука LA0 и LA определятся формулами:
. (2)
В соответствии с этим по аналогии с (1) вводятся в рассмотрение обобщенные вносимые потери OIL:
, дБА (3)
Из формулы (3), в частности, следует, что когда вносимые потери ILi = LА0i, т.е. когда шум в выпускной системе с глушителем полностью подавляется, то тогда обобщенные вносимые потери равны уровню звука на выходе системы выпуска без глушителя. Таким образом, установка глушителя тем эффективнее, чем ближе становится значение обобщенных вносимых потерь к уровню звука системы выпуска без глушителя.
Рассмотрим случай, когда спектр не заглушенного шума равномерно распределен по частоте, т.е. когда во всех полосах частот LА0i = const. При этом, очевидно, будет иметь место соотношение LА0i = LА0 − lgN, вследствие чего уравнение (3) приводится к виду
. (4)
Следует отметить, что вносимые потери ILi, как и их обобщение OIL, наиболее полно определяют акустическую эффективность глушителя для рассматриваемой газодинамической системы, так как они зависят не только от параметров самого глушителя, но и от положения глушителя в системе, а также от ряда параметров самой газодинамической системы, определение которых само по себе представляет собой непростую задачу. К таким параметрам прежде всего относится акустический импеданс источника звука, например двигателя внутреннего сгорания.
В этой связи большое распространение получил более простой показатель эффективности глушителей, так называемые потери передачи TLi, которые определяются через логарифм отношения звуковой мощности падающей волны на входе глушителя к звуковой мощности прошедшей глушитель звуковой волны, при безэховой (согласованной) нагрузке на его выходе. В отличии от вносимых потерь ILi потери передачи TLi определяются только параметрами самого глушителя, без привязки к системе, в которой он установлен. Заметим, что вносимые потери преобразуются в потери передачи, при условии, что в рассматриваемой системе импеданс источника звука и импеданс излучения на срезе выпускной трубы соответствуют безэховой нагрузке. При этом по аналогии с обобщенными вносимыми потерями можно ввести в рассмотрение обобщенные потери передачи, которые для случая равномерного по частоте входного спектра принимают вид:
. (5)
В дальнейшем анализ и оптимизация диссипативных глушителей шума будут проводиться, основываясь на рассмотрении их потерь передачи и обобщенных потерь передачи.
ПОТЕРИ ПЕРЕДАЧИ ДИССИПАТИВНОГО ГЛУШИТЕЛЯ
Расчетная схема диссипативного глушителя представлена на рис. 1. Исходными геометрическими параметрами глушителя являются его длина L, диаметр D, а также диаметр d входного и выходного патрубков глушителя, совпадающий с внутренним диаметром перфорированной трубы. Сама перфорированная труба определяется толщиной стенки t, диаметром отверстий перфорации d0 и коэффициентом перфорации σ, равным отношению общей площади отверстий на поверхности перфорированной трубы к площади этой поверхности. Объем глушителя, заполненный волокнистым ЗПМ, характеризуется комплексными волновым сопротивлением Z и постоянной распространения k. В качестве основной акустической характеристики глушителя рассматриваются потери передачи TL, которые оцениваются как экспериментально, так и расчетным путем, на основе определения звукового давления во входном и выходном патрубках глушителя (рис. 1) и последующего пересчета полученных значений по методу трех точек [13].
Рис. 1. Расчетная модель диссипативного глушителя шума.
Важным звеном при моделировании диссипативного глушителя является задание характеристик волокнистого ЗПМ. На практике акустические характеристики такого материала как правило описываются эмпирическими формулами, например, Делани Базли [20], которые определяют среду со ЗПМ через постоянную распространения kс и импеданс Zс в виде:
(6)
(7)
где ρ0 — плотность воздуха, кг/м³; c0 — скорость звука в воздухе, м/с; k0 = 2π f/c0 — волновое число, 1/м; f — частота звука, Гц; rm — сопротивление потоку ЗПМ, Па с/м²; a1, a2, … a8 — некоторые безразмерные коэффициенты, определяемые экспериментально [21].
Основным параметром, определяющим акустические характеристики ЗПМ в формулах Делани Базли, является его сопротивление потоку rm, определяемое формулой [22]:
(8)
где μ0 — коэффициент динамической вязкости воздуха, μ0 = 1.81×10–5 Па с; dв — диаметр волокна ЗПМ, м; ρm — объемная плотность ЗПМ, кг/м³.
Входящая в (8) безразмерная постоянная С зависит от диаметра волокна ЗПМ, причем эта зависимость обратно пропорциональная. Для ЗПМ с диаметром волокна dв0 = 10–5 м экспериментально установлено [22], что значение этой постоянной С0 = 1.2×10–5. Тогда для ЗПМ с другим диаметром волокон, dв, постоянная С определится соотношением С = С0 dв /dв0. При этом формула (6) для сопротивления потоку ЗПМ приводится к виду:
(9)
Таким образом, сопротивление продуванию волокнистого ЗПМ оказывается обратно пропорциональным диаметру его волокна.
Для обобщения получаемых результатов расчетов и реализации возможности оптимизации конфигурации диссипативных глушителей введем в рассмотрение безразмерные геометрические параметры глушителя, что в дальнейшем позволит перейти к понятию глушителя-прототипа. Для этого выразим все геометрические размеры глушителя через диаметр его входного патрубка d, который является исходным параметром при проектировании любого глушителя шума, независимо от его типа. Помимо безразмерных степени расширения m = D2/d2 и относительной длины n = L/d глушителя, введем в рассмотрение безразмерные толщину перфорированной трубы e = l/d и диаметр отверстий перфорации s = d0/d. Безразмерным является также и коэффициент перфорации σ. Выбранные безразмерные параметры являются общими как для реактивных, так и для диссипативных глушителей шума. Особенности диссипативного глушителя состоят в использовании там волокнистого ЗПМ. Такой материал мы охарактеризовали выше его сопротивлением продуванию r, которое согласно (8) помимо объемной плотности ρm определяется также и диаметром волокон dв. В этой связи в дополнение к введенным ранее безразмерным параметрам введем еще один — относительный диаметр волокна q = dв/d.
Расчеты проводились на основе конечно-элементного моделирования в программной среде COMSOL Multiphysics. Исходными уравнениями при проведении численных расчетов являлись уравнения Гельмгольца. При моделировании использовалось равномерное разбиение объема глушителя на конечные элементы. Стенки глушителя рассматривались абсолютно жесткими. Граничные условия на перфорированной трубе, являющейся границей двух сред, соответствовали скачку звукового давления, определяемому импедансом перфорации. Среда внутри перфорированной трубы рассматривалась невязкой с температурой 20°С. Характеристики среды в объеме глушителя, заполненного ЗПМ, описывались формулами (6), (7). При этом значения постоянных коэффициентов, входящие в эти формулы, взяты из классической работы Делани Базли [20].
Рис. 2. Потери передачи для первой (1) и второй (2) конфигураций глушителя как функции (а) — частоты и (б) — безразмерной частоты.
На первом этапе определялись потери передачи TL диссипативного глушителя с коэффициентом перфорации трубы σ = 0.1 и плотностью набивки ЗПМ ρm = 100 кг/м³. Были рассмотрены две конфигурации глушителя. Первая из них определялась размерами: d = 40 мм, D = 120 мм, L = 300 мм, l =1.5 мм, d0 = 1 мм и dв = 10 мкм. Во второй конфигурации все геометрические размеры, в том числе и диаметр волокна dв, были увеличены в два раза. При этом безразмерные параметры глушителя не изменялись. На рис. 2а представлены графики потери передачи TL для этих двух конфигураций глушителей, которые являются типичными для диссипативных глушителей. Отличие в графиках TL для рассмотренных конфигураций в том, что для первой из них частота, соответствующая максимуму TL, в два раза выше, чем для второй.
Для того чтобы совместить полученные графики и таким образом сделать потери передачи универсальными характеристиками диссипативного глушителя перейдем, следуя [15], от частоты f к ее безразмерному аналогу F = d/λ, где λ — длина звуковой волны. Заметим, что предельное верхнее граничное значение этого параметра Fв определяется из условия распространения в патрубках глушителя только плоских звуковых волн, так что для патрубков круглого поперечного сечения Fв ≈ 1.2. При таком переходе от f к F входящий в формулы (6), (7) параметр (ρ0 f / rm) оказывается пропорциональным относительному диаметру волокна dв /d. Таким образом, потери передачи диссипативного глушителя в целом будут определяться только его относительными геометрическими размерами и плотностью ЗПМ.
Рис. 3. Зависимости потерь передачи глушителей-прототипов от (а) — пористости и (б) — диаметра отверстий перфорации.
Действительно, графики потерь передачи рассмотренных конфигураций глушителя, как функции безразмерной частоты F (рис. 2б), практически совпадают друг с другом. Такого рода потери передачи можно рассматривать в качестве характеристики глушителя-прототипа с определенным набором безразмерных параметров. Выбрав характеристику глушителя-прототипа, можно, исходя из заданного диаметра патрубка глушителя, перейти к действительным размерам глушителя.
На рис. 3 представлены зависимости потерь передачи диссипативного глушителя-прототипа от параметров его перфорированной трубы. Остальные геометрические размеры соответствовали рассмотренной выше первой конфигурации диссипативного глушителя. Как следует из представленных графиков, увеличение пористости перфорации приводит к смещению максимума потерь передачи в область высоких частот. При этом потери передачи в этой области и в целом существенно возрастают. Аналогичным образом изменяются потери передачи и при уменьшении диаметра отверстий перфорации, правда в этом случае потери передачи в области высоких частот увеличиваются не столь значительно, как при изменении пористости перфорации. Учитывая, что диссипативные глушители предназначены прежде всего для гашения высокочастотного шума, коэффициент перфорации трубы следует делать как можно большим, а диаметр отверстий перфорации, наоборот, как можно меньшим.
Рис. 4. Зависимости потерь передачи глушителей-прототипов от (а) — диаметра волокна и (б) — плотности ЗПМ.
Далее, как следует из рис. 4а, уменьшение диаметра волокна ЗПМ однозначно приводит к повышению эффективности глушителя, при этом положение максимума потерь передач изменяется не очень существенно. С другой стороны, зависимость эффективности глушителя от плотности ЗПМ более сложная (рис. 4б). В начале с увеличением плотности ρm ЗПМ потери передачи растут. Затем при достижении значения ρm = 200 кг/м³, которое можно считать оптимальным, потери передачи достигают максимального значения. После этого дальнейший рост ρm приводит к снижению потерь передачи глушителя. Однако, строго говоря, говорить следует не об оптимальном значении плотности ЗПМ, а об оптимальном сопротивлении продуванию r материала, которое берется за основу в модели Делани Базли, используемой при описании его акустических характеристик. Так как величина r согласно (8) зависит как от величины плотности материала (его квадрата), так и диаметра волокна, то согласно этому, например, материал с ρm = 200 кг/м³ и dв = 40 мкм будет иметь те же акустические характеристики, что и материал с ρm = 100 кг/м³ и dв = 10 мкм. Это подтверждается соответствующими графиками на рис. 4.
ОБОБЩЕННЫЕ ПОТЕРИ ПЕРЕДАЧИ ДИССИПАТИВНОГО ГЛУШИТЕЛЯ
Далее, в соответствии с (6), были получены обобщенные потери передачи OTL диссипативного глушителя. Они вычислялись в частном диапазоне от 800 Гц до 4 кГц. Нижняя граница этого диапазона определялась тем, что, начиная с этой частоты, эффективность снижения шума диссипативным глушителем становится достаточно высокой, а верхняя граница — тем, что обычно на практике источники газодинамического шума, для снижения шума которых используются диссипативные глушители, характеризуются спектрами, ограниченными этой частотой.
Рис. 5. Зависимости обобщенных потерь передачи от (а) — коэффициента пористости и (б) — диаметра отверстий перфорации глушителя при его относительных размерах: 1 − m = 16, n = 4; 2 − m = 9, n = 7; 3 – m = 4, n = 15.
На рис. 5 представлены зависимости OTL от параметров его перфорированной тубы глушителя, полученные для трех различных комбинаций безразмерной длины n и степени расширения m глушителя. При этом безразмерный объем глушителя V = mn во всех трех вариантах был практически одинаков. Представленные на рис. 5а графики показывают, что сначала с увеличением коэффициента пористости перфорации σ обобщенные потери интенсивно возрастают, но затем этот рост замедляется, и начиная с σ = 0.2, обобщенные потери выходят на некоторый постоянный уровень (предел), который уже не меняется с дальнейшим ростом σ. Перфорацию при этом можно рассматривать как акустически прозрачную и поэтому не целесообразно использовать в диссипативном глушителе перфорацию с σ > 0.2. Следует также отметить, что в рассмотренных вариантах диссипативного глушителя наибольшие обобщенные потери OTL соответствовали конфигурации глушителя с наибольшей относительной длиной. Эта закономерность сохраняется и при рассмотрении зависимости OTL от диаметра отверстий перфорации d0 (рис. 5б). Только в этом случае с увеличением d0 обобщенные потери OTL плавно уменьшаются. Поэтому для увеличения обобщенных потерь глушителя диаметр отверстий перфорации следует выбирать по возможности меньшим.
Графические зависимости обобщенных потерь OTL глушителя от плотности ЗПМ (рис. 6а) имеют экстремум, который для всех трех рассмотренных конфигураций глушителя соответствует плотности ρm = 200 кг/м³. Как и ранее, наибольшие значения OTL имеет глушитель с наибольшей длиной. Отметим, что значение оптимальной плотности ρm = 200 кг/м³ получено для ЗПМ с диаметром волокна db = 10 мкм, который при этом согласно (8) имеет сопротивление потоку, равное примерно 60 кПа с/м². Это значение можно рассматривать как оптимальное сопротивление продуванию ЗПМ в диссипативном глушителе. На практике, выбрав ЗПМ для глушителя с известным диаметром волокна, можно рассчитать необходимую плотность этого материала, которая бы обеспечивала оптимальное сопротивление продуванию. При этом следует иметь в виду, что значение плотности ρm = 200 кг/м³ по существу является предельным, которое может быть в действительности реализовано в глушителе. Если выбран ЗПМ такой плотности с диаметром волокна dв > 10 мкм, то реализуемое значение сопротивления ЗПМ будет меньше оптимального.
Рис. 6. Зависимости обобщенных потерь передачи от (а) — плотности и (б) — диаметра волокна ЗПМ. (Обозначения те же, что и на рис. 5).
Графические зависимости обобщенных потерь OTL глушителя от диаметра волокна dв при плотности материала 100 кг/м³ (рис. 6б) показывают, что для всех трех рассмотренных конфигураций глушителя обобщённые потери с увеличением диаметра волокна падают. При этом, если для короткого глушителя с n = 4 это падение незначительно, то с повышением относительной длины глушителя происходит не только общий рост обобщенных потерь, но растет и зависимость OTL от диаметра dв, так что при увеличении dв в 4 раза снижение обобщенных потерь составляет более 10 дБ.
ОПТИМИЗАЦИЯ ДИССИПАТИВНОГО ГЛУШИТЕЛЯ
Диссипативный глушитель характеризуется целым рядом параметров, определяющих его акустические свойства. Эти параметры можно разделить на три группы. К первой группе относятся геометрические параметры глушителя в целом: длина и диаметр камеры глушителя, а также диаметр его патрубков. Ко второй группе относятся параметры перфорированной трубы: толщина трубы, диаметр отверстий и коэффициент перфорации. К третьей группе относятся параметры ЗПМ: его плотность и диаметр волокон. В общем случае оптимизация диссипативного глушителя должна осуществляться с учетом всех этих факторов, что представляет собой довольно сложную задачу.
Между тем, следует иметь в виду, что при проектировании глушителей шума выбор значений для некоторых из этих параметров проводится однозначно, что относится в первую очередь к параметрам перфорации. Согласно проведенному выше анализу, коэффициент перфорации σ целесообразно принимать равным 0.2, а диаметр отверстий перфорации d0 должен быть как можно меньшим. На практике значение d0 обычно не менее 3 мм. Практические соображения лежат и в основе выбора толщины перфорированной трубы, которая в зависимости от материала трубы может варьироваться от 1 до 1.5 мм. Что касается параметров ЗПМ, то проведенный анализ показывает, что в диссипативных глушителях целесообразно использовать ЗПМ с диаметром волокна dв < 10 мкм. Это позволит реализовать необходимую плотность набивки этого материала, обеспечивающую оптимальное сопротивление потоку r = 60 кПа с/м².
Таким образом, мы получили оценки значений для большинства параметров, влияющих на акустические характеристики диссипативного глушителя. Значения этих параметров наряду с диаметром патрубка при проведении оптимизации можно принять в качестве исходных данных. Тогда задача оптимизации глушителя сводится к определению его габаритных размеров, обеспечивающих максимум его обобщенных потерь. При этом, однако, следует также уделять внимание выбору характеристик ЗПМ, ρm и dв, определяющих его сопротивление продуванию. С этой точки зрения задачу оптимизации диссипативного глушителя можно определить как нахождение его конфигурации, обеспечивающей требуемое значение обобщенных потерь при минимальном объеме размещенного в нем ЗПМ, который в безразмерном виде определяется как Vm = (m−1)n.
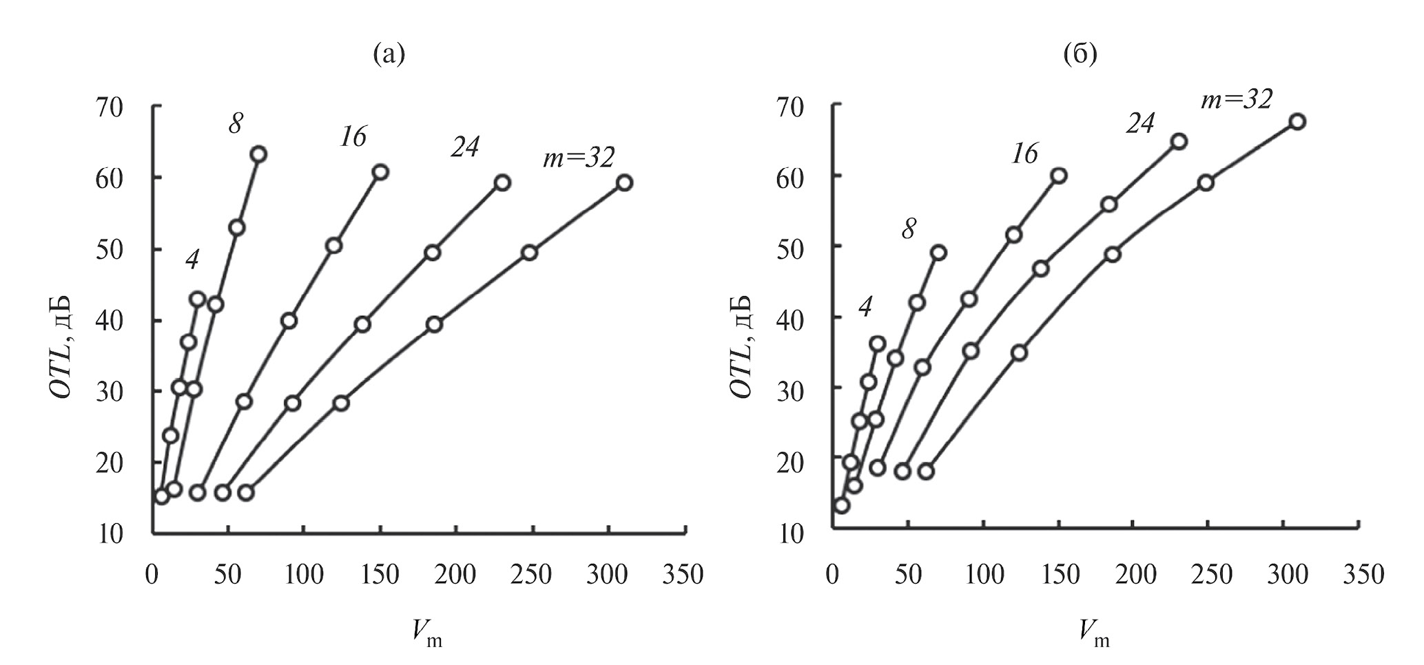
Для примера возьмем глушитель с перфорированной трубой толщиной l =1.5 мм, коэффициентом перфорации σ = 0.2 и диаметром отверстий перфорации d0 = 3 мм. При этом рассмотрим два варианта характеристик ЗПМ. Первый соответствовал ЗПМ с плотностью набивки ρm = 200 кг/ м³и диаметром волокна dв = 10 мкм, а второй — с ρm = 100 кг/м³ и dв = 10 мкм. На рис. 7 представлены общие потери первого варианта диссипативного глушителя как функции его безразмерного объема Vm. Кривые на представленных графиках соответствуют различным степеням расширения глушителя m, а точки на этих кривых — разным относительным длинам глушителя n, определяемым рядом четных чисел: 2, 4, 6, 8, 10.
Рис. 7. Зависимости обобщенных потерь передачи от относительного объема глушителя для ЗПМ (а) — с ρ = 200 кг/м³, dв = 10 мкм и (б) — с ρ = 150 кг/м³, dв = 30 мкм при разных степенях расширения глушителя.
Графические зависимости на рис. 7а построены для глушителя, в котором характеристики ЗПМ обеспечивают оптимальное значение сопротивления продуванию. Как и следовало ожидать, кривые общих потерь плавно возрастают с увеличением безразмерного объема Vm, причем с ростом m соответствующие кривые становятся все более пологими. Кроме того, при n > 6 представленные зависимости становятся практически линейными. Представленные графики имеют еще одну интересную особенность, заключающуюся в том, что при одинаковой относительной длине n наибольшие значения OTL будут у глушителя со степенью расширения m = 8. При меньших m значения OTL резко снижаются, а при больших — снижаются очень незначительно, хотя и увеличение объема Vm в последнем случае происходит существенное. На рис. 7б представлены аналогичные графические зависимости для глушителя с ЗПМ, имеющим меньшую плотность ρm и больший диаметр волокна dв. Очевидно, что сопротивление такого материала будет значительно меньше оптимального значения. Представленные зависимости аналогичны тем, что показаны на рис. 7а, с тем отличием, что в этом случае увеличение степени расширения глушителя m всегда приводит к увеличению его обобщенных потерь. Кроме того, имеет место следующая закономерность: при одинаковых значениях m и n для двух рассмотренных вариантов характеристик ЗПМ значения OTL для первого варианта при m < 16 всегда выше, чем для второго варианта, а при m > 16, наоборот, значения OTL для первого варианта всегда ниже, чем для второго.
Установленные зависимости акустических характеристик диссипативного глушителя от его параметров позволили выработать следующую стратегию оптимизации его конфигурации.
- Если ставится задача минимизации объема Vm и не накладывается никаких ограничений на габаритные размеры глушителя, то в таком случае его степень расширения m должна быть как можно меньшей, например m = 4, при этом его относительная длина n должна быть выбрана такой, чтобы обеспечить требуемое значение общих потерь передачи OTLТР. Кроме того, плотность и диаметр волокна ЗПМ варьируются так, чтобы сопротивление потоку этого материала было близким к оптимальному значению 60 кПа с/м².
- Если вводится ограничение на длину глушителя, а следовательно, и на значение n, то в этом случае целесообразно принять степень расширения глушителя m = 8, при обеспечении оптимального значения сопротивления продуванию ЗПМ. Это позволит получить высокое значение обобщенных потерь OTL и в то же время минимизировать объем Vm. В случае если получаемые при этом обобщенные потери OTL < OTLТР, то для достижения OTLТР необходимо по возможности ослабить требования по ограничению длины глушителя. Другой путь достижения OTLТР состоит в снижении сопротивления продуванию ЗПМ относительно оптимального значения. Тогда при достаточно больших значениях m можно также достичь OTLТР, правда и объем глушителя при этом значительно возрастает.
- Поперечный размер глушителя, а значит и величина m, может устанавливаться в качестве исходных данных, например, когда диссипативный глушитель является частью комбинированного глушителя, содержащего также и реактивные элементы. Если при этом регламентируемый поперечный размер глушителя соответствует условию m ≥ 16, то для увеличения OTL сопротивление продуванию ЗПМ должно быть меньше оптимального, в противном случае следует обеспечивать оптимальное значение сопротивления продуванию ЗПМ.
После того как относительные параметры глушителя определены, можно, зная исходный диаметр патрубка, определить действительные геометрические параметры глушителя.
ЗАКЛЮЧЕНИЕ
При оптимизации диссипативного глушителя не все параметры, определяющие его акустические характеристики, следует включать в качестве вариативных величин. Так, толщину перфорированной трубы следует определять исходя из требуемых для нее эксплуатационных характеристик, коэффициент перфорации, как показали расчеты, необходимо принимать равным 0.2, а диаметр отверстий перфорации должен быть минимально возможным, что определяется технологическими возможностями производства. Таким образом, оптимизация диссипативного глушителя сводится к выбору его габаритных размеров, которые, в свою очередь, определяются используемым критерием оптимизации и введенными дополнительными ограничениями. При этом в большинстве практических случаев в диссипативных глушителях целесообразно использовать ЗПМ с оптимальным сопротивлением потоку 60 кПа с/м², что обеспечивается надлежащим подбором как плотности, так и диаметра его волокон.
About the authors
A. I. Komkin
Bauman Moscow State Technical University
Author for correspondence.
Email: akomkin@mail.ru
Russian Federation, Moscow, 105005
A. I. Bykov
Bauman Moscow State Technical University
Email: akomkin@mail.ru
Russian Federation, Moscow, 105005
L. S. Karnaukhova
Bauman Moscow State Technical University
Email: akomkin@mail.ru
Russian Federation, Moscow, 105005
References
- Старобинский Р.Н., Юдин Е.Я. Об одной модели распространения низкочастотного звука в облицованном канале // Акуст. журн. 1972. Т. 18. № 1. С. 115–119.
- Cummings A., Chang I.-J. Sound attenuation of a finite length dissipative flow duct silencer with internal mean flow in the absorbent // J. Sound Vib. 1988. V. 127. № 1. P. 1–17.
- Peat K.S. A transfer matrix for an absorption silencer element // J. Sound Vib. 1991. V. 146. № 2. P. 353–360.
- Wang C.-N. Numerical decoupling analysis of resonator with absorbent material // Appl. Acoust. 1999. V. 58. № 1. С. 109−122.
- Glav R. The transfer matrix for a dissipative silencer of arbitrary cross-section // J. Sound Vib. 2000. V. 236. № 4. P. 575–594.
- Auredgan Y., Debray A., Starobinski R. Low frequency sound propagation in a coaxial cylindrical duct: application to sudden area expansions and to dissipative silencers // J. Sound Vib. 2001. V. 246. № 3. P. 461–473.
- Kirby R. Transmission loss predictions for dissipative silencers of arbitrary cross section in the presence of mean flow // J. Acoust. Soc. Am. 2003. V. 114. № 1. P. 200–209.
- Selamet A., Xu M.B., Lee I.-J., Huff N.T. Analytical approach for sound attenuation in perforated dissipative silencers // J. Acoust. Soc. Am. 2004. V. 115. № 5. Pt. 1. P. 2091–2099.
- Panigrahi S.N., Munjal M.L. Comparison of various methods for analyzing lined circular ducts // J. Sound Vib. 2005. V. 285. № 4–5. P. 905–923.
- Venegas К., Arenas J.P., Boutin C. Analytical modeling of dissipative silencers // J. Acoust. Soc. Am. 2018. V. 144. № 5. P. 2998–3009.
- Astley R.J., Cummings A. A finite element scheme for attenuation in ducts lined with porous material: comparison with experiment // J. Sound Vib. 1987. V. 116. № 2. P. 239–263.
- Bilawchuk S., Fyfe K.R. Comparison and implementation of the various numerical methods ёused for calculating transmission loss in silencer systems // Appl. Acoust. 2003. V. 64. № 9. P. 903–916.
- Kirby R. A comparison between analytic and numerical methods for modelling automotive dissipative silencers with mean flow // J. Sound Vib. 2009. V. 325. № 5. P. 565−582.
- Barbieri R., Barbieri N. Finite Element Acoustic Simulation Based Shape Optimization of a Muffler // Appl. Acoust. 2006. V. 67. № 4. P. 346–357.
- Комкин А.И. Оптимизация реактивных глушителей шума // Акуст. журн. 2010. Т. 56. № 3. С. 373–379.
- Воробьева Л.С., Комкин А.И. Расчет и проектирование диссипативных глушителей шума методом конечных элементов // Изв. вузов. Машиностроение. 2013. № 11. С. 58–63.
- Карнаухова Л.С., Комкин А.И. Интегральные показатели акустической эффективности диссипативных глушителей шума // Акустика среды обитания: cб. трудов I Всерос. конф. М., 2016. С. 80–87.
- Chiu M.C. Shape Optimization of One-chamber Perforated Mufflers Filled with Wool Using Simulated Annealing // J. Marine Science and Technology. 2013. V. 21. № 4. P. 380−390.
- Ferrandiza B., Denia F.D., Martinez-Casas J., Nadal E., Ródenas J.J. Topology and shape optimization of dissipative and hybrid mufflers // Structural and Multidisciplinary Optimization. 2020. V. 62. P. 269–284.
- Delany M.E., Bazley E.N. Acoustical properties of fibrous absorbent materials // Appl. Acoust. 1970. V. 1. № 3. P. 105–115.
- Ионов И.А., Комкин А.И. Эмпирические формулы для описания акустических характеристик звукопоглощающих материалов. Обзор // Акустика среды обитания: сб. трудов III Всерос. конф. М., 2018. С. 43−49.
- Комкин А.И., Львов В.А., Нестеров Н.С. Измерение сопротивления продуванию волокнистых звукопоглощающих материалов // Измерительная техника. 2017. № 7. С. 62–65.
Supplementary files









