Флуктуации интенсивности звука, вызванные движением солитонов внутренних волн в эксперименте ASIAEX

Обложка

Цитировать

Полный текст

Аннотация

Рассматривается один из эпизодов эксперимента ASIAEX 2001 (Южно-Китайское море), в котором вдоль двух стационарных акустических трасс длиной 32 и 19 км двигался крупный солитон внутренних волн, и наблюдались связанные с этим флуктуации интенсивности низкочастотного звука (224 и 300 Гц). В ходе исследования было обнаружено явление постоянства доминирующей частоты флуктуаций с течением времени. Например, при шестичасовом движении солитона вдоль длинной трассы, где глубина моря изменялась в три раза (с 350 до 120 м), а скорость солитона – в два раза (с 2 до 1 м/с), доминирующая частота флуктуаций оставалась приблизительно постоянной и равной 1.5 ц/ч с точностью 10%. В работе анализируются причины данного явления. Для этого солитон рассматривается в рамках двухслойной модели водной среды, а распространение звука – в рамках модовой и лучевой теорий. Согласно лучевой теории, доминирующая частота флуктуаций определяется отношением скорости солитона к циклу луча, ответственному за доминирующие флуктуации. В модовой теории получено аналогичное выражение, где роль цикла луча играет комбинация пространственных периодов биения нескольких пар мод. Показано, что при изменении глубины моря скорость солитона и цикл луча изменяются практически пропорционально, в результате чего доминирующая частота флуктуаций остается постоянной. Описанное явление может иметь универсальный характер и не ограничиваться акваторией ASIAEX. Постоянство доминирующей частоты позволяет, в частности, определить переменную скорость солитона как функцию времени или расстояния, что успешно продемонстрировано в работе и может быть использовано для акустического мониторинга солитонов.

Полный текст

Введение

Эксперимент ASIAEX (Asian Seas International Acoustics Experiment) проводился международной группой ученых в апреле-августе 2001 г. в северной части Южно-Китайского моря (рис. 1) [1]. Одной из целей эксперимента было исследование распространения звука в условиях высокой нестабильности водной среды в районе бровки континентального шельфа, связанной с прохождением солитонов внутренних волн рекордных амплитуд (более 100 м).

 

Рис. 1. Район проведения эксперимента ASIAEX с указанием батиметрии. Показаны глубины 200, 500, 2000 м. Солитоны рождались в проливе Лусон и через двое суток, пройдя глубоководную часть моря, наблюдались в районе ASIAEX.

 

Солитоны северной части Южно-Китайского моря являются крупнейшими из зарегистрированных в Мировом океане [2, 3]. Для иллюстрации на рис. 2 показан уединенный солитон амплитудой 150 м при глубине моря 350 м, зафиксированный 09.05.2001 в эксперименте ASIAEX с помощью вертикальной термисторной цепочки E1 (красная точка на рис. 1). Амплитуда солитона на рис. 2 измеряется по изотермам, максимально смещенным вниз (20-24 °С). Заметим, что наибольшая амплитуда солитона, измеренная в ASIAEX, равнялась 160 м [4] (08.05.2001 на цепочке E1). В других экспериментах в Южно-Китайском море отмечались солитоны амплитудой 200 м [5]. Такие солитоны фиксировались в глубоководной части моря при глубине 2700 м в точке, отмеченной звездочкой на рис. 1.

 

Рис. 2. Солитон амплитудой 150 м при глубине моря 350 м, зарегистрированный 09.05.2001 в эксперименте ASIAEX с помощью термисторной цепочки E1.

 

В горизонтальной плоскости солитоны представляют собой протяженные (сотни километров) фронты, двигающиеся со скоростями v ~ MathType@MTEF@5@5@+= feaahGart1ev3aqatCvAUfeBSjuyZL2yd9gzLbvyNv2Caerbov2D09 MBdbqedmvETj2BSbqeduuDJXwAKbYu51MyVXgarqqr1ngBPrgifHhD YfgasaacHOWxg9qrFfeu0dXdh9vqqj=hEeeu0xXdbba9frFj0=OqFf ea0dXdd9vspGe9FjuP0=fs0xXdbba9pGe9xq=Jbba9suk9fr=xfr=x frpeWZqaaeaabiGaaiaadaqabeaabeqacqaaaOqaaiaadAhadaWgaa WcbaGaeyyPI4fabeaakiaac6haaaa@3C19@  1 м/с перпендикулярно фронту. Фронты солитонов наблюдаются визуально по изменению поверхностного волнения моря (сулойные полосы), а также фиксируются на радарных и спутниковых снимках [3, 6]. На рис. 3 приведен типичный спутниковый снимок солитона, сделанный 05.05.2001 в момент прохождения акустических трасс ASIAEX. Трассы выделены красным цветом. Белая линия, пересекающая трассы, - это фронт солитона.

 

Рис. 3. Типичный спутниковый снимок солитона, сделанный 05.05.2001 в момент прохождения акустических трасс ASIAEX. Трассы выделены красным цветом. Белая линия, пересекающая трассы, – это фронт солитона.

 

Исследования показывают [6-8], что генерация солитонов, регистрируемых в ASIAEX, происходит в центральной части пролива Лусон, почти в 500 км от района ASIAEX (рис. 1). Пролив Лусон находится между островами Тайвань и Лусон. Острова соединяются подводным хребтом, который в ряде мест выходит на поверхность моря в виде мелких островов. Два раза в сутки под действием приливных течений на подводном хребте возбуждаются интенсивные внутренние волны с амплитудами первых десятков метров, двигающиеся в западном направлении. Первоначально данные волны не содержат солитонов и описываются как динамично меняющийся нелинейный внутренний прилив [7]. По мере удаления от пролива Лусон в глубоководную часть моря с глубинами около 3000 м в структуре интенсивных внутренних волн появляются устойчивые солитоны с максимальными амплитудами до 200 м [5].

К району ASIAEX, а точнее к изобате 350 м, где была установлена самая глубоководная термисторная цепочка E1 (рис. 1), солитоны приходят через двое суток от момента породившего их прилива в проливе Лусон [7]. Еще 6 часов солитоны двигаются по акватории ASIAEX до изобаты 120 м. На мелководье крупные солитоны уменьшают свою амплитуду и разбиваются на несколько мелких, формируя пакет (или цуг) солитонов. Уменьшается также скорость солитонов. При перемещении над континентальным склоном, где глубина моря меняется от 3000 до 350 м, скорость солитонов уменьшается от v MathType@MTEF@5@5@+= feaahGart1ev3aqatCvAUfeBSjuyZL2yd9gzLbvyNv2Caerbov2D09 MBdbqedmvETj2BSbqeduuDJXwAKbYu51MyVXgarqqr1ngBPrgifHhD YfgasaacHOWxg9qrFfeu0dXdh9vqqj=hEeeu0xXdbba9frFj0=OqFf ea0dXdd9vspGe9FjuP0=fs0xXdbba9pGe9xq=Jbba9suk9fr=xfr=x frpeWZqaaeaabiGaaiaadaqabeaabeqacqaaaOqaaiaadAhadaWgaa WcbaGaeyyPI4fabeaakiabgIKi7caa@3CC8@  3 м/с до v MathType@MTEF@5@5@+= feaahGart1ev3aqatCvAUfeBSjuyZL2yd9gzLbvyNv2Caerbov2D09 MBdbqedmvETj2BSbqeduuDJXwAKbYu51MyVXgarqqr1ngBPrgifHhD YfgasaacHOWxg9qrFfeu0dXdh9vqqj=hEeeu0xXdbba9frFj0=OqFf ea0dXdd9vspGe9FjuP0=fs0xXdbba9pGe9xq=Jbba9suk9fr=xfr=x frpeWZqaaeaabiGaaiaadaqabeaabeqacqaaaOqaaiaadAhadaWgaa WcbaGaeyyPI4fabeaakiabgIKi7caa@3CC8@  2 м/с. На изобате 120 м, которая лежит в зоне шельфа, скорость солитонов составляет v MathType@MTEF@5@5@+= feaahGart1ev3aqatCvAUfeBSjuyZL2yd9gzLbvyNv2Caerbov2D09 MBdbqedmvETj2BSbqeduuDJXwAKbYu51MyVXgarqqr1ngBPrgifHhD YfgasaacHOWxg9qrFfeu0dXdh9vqqj=hEeeu0xXdbba9frFj0=OqFf ea0dXdd9vspGe9FjuP0=fs0xXdbba9pGe9xq=Jbba9suk9fr=xfr=x frpeWZqaaeaabiGaaiaadaqabeaabeqacqaaaOqaaiaadAhadaWgaa WcbaGaeyyPI4fabeaakiabgIKi7caa@3CC8@  1 м/с.

Подчеркнем, что солитоны имеют предельно большие амплитуды внутренних волн, возможные для данной акватории (глубоководной или мелководной). Это делает солитоны ключевыми участниками многих процессов, происходящих в океане, и вызывает повышенный интерес к их изучению. Например, благодаря солитонам усиливается вертикальное перемешивание вод океана, что приводит к глубокой аэрации водной толщи и развитию жизни на больших глубинах. В шельфовой зоне океана турбулентные потоки воды, связанные с солитонами, достигают дна и формируют течения, обеспечивающие перенос донных осадков. Эти же течения и потоки (горизонтальные и вертикальные) угрожают движению подводных судов и создают проблемы при эксплуатации объектов подводной инженерии.

С точки зрения акустики солитоны представляют собой существенные неоднородности скорости звука в воде, которые приводят к значительному перераспределению акустического поля в пространстве и его флуктуациям во времени. Характер флуктуаций поля в фиксированной точке приема определяется ориентацией фронта солитона относительно акустической трассы. Если угол между фронтом и трассой равен нулю или составляет первые единицы градусов, то на приемнике наблюдаются фокусировка и дефокусировка акустического поля по мере движения солитонов [9, 10]. Данное явление объясняется горизонтальной рефракцией звука. При большем угле наклона фронта к трассе, вплоть до 90°, флуктуации акустического поля хорошо описываются взаимодействием мод в вертикальной плоскости вдоль линии трассы, а горизонтальной рефракцией можно пренебречь. Например, в [11] при анализе флуктуаций звука на солитонах Атлантического шельфа США было показано значительное преобладание механизма взаимодействия мод над механизмом горизонтальной рефракции при угле наклона фронта к трассе равном 9°. На рассмотренные выше механизмы флуктуаций, которые зависят от угла наклона фронта к трассе, может накладываться третий механизм - адиабатический. Адиабатические флуктуации возникают при прохождении солитонов через источник или приемник, и они не зависят от наклона фронта к трассе.

В эксперименте ASIAEX акустические трассы были наклонены к фронтам движущихся солитонов под достаточно большими углами, при которых основным механизмом флуктуаций являлось взаимодействие мод.

Теория флуктуаций звука, обусловленных взаимодействием мод на движущихся вдоль акустической трассы солитонах, разрабатывалась в авторском цикле работ, среди которых отметим следующие [11-20].

Работы [11-18] основывались на экспериментах SWARM (Shallow Water Acoustics in a Random Medium, 1995) [21] и SW06 (Shallow Water 2006) [22]. Данные эксперименты проводились на плато Атлантического шельфа США в условиях приблизительного постоянства глубины моря и скорости солитонов.

Работы [19, 20] посвящены эксперименту ASIAEX. В отличие от SWARM и SW06, в данном эксперименте рассматривалась неоднородная трасса, пересекающая бровку шельфа, где глубина моря изменялась приблизительно в три раза, а скорость солитонов - в два раза.

Несмотря на существенные различия в условиях проведения экспериментов SWARM, SW06 и ASIAEX, было обнаружено общее свойство. Флуктуации интенсивности звука, наблюдаемые на приемнике при перемещении солитона по трассе, имели постоянную доминирующую частоту, характерную для данной трассы. В случае однородной трассы и неизменной скорости солитона, постоянство доминирующей частоты являлось ожидаемым результатом. Однако для неоднородной трассы и переменной скорости солитона, этот факт, впервые обнаруженный в эксперименте ASIAEX [19], оказался неожиданным. Помимо обработки эксперимента в [19] было проведено детальное моделирование флуктуаций поля в рамках модового подхода и взаимодействия мод. В результате были получены очень похожие экспериментальные и теоретические спектрограммы флуктуаций, которые характеризовались приблизительно постоянной доминирующей частотой.

Данная работа является продолжением исследований, начатых в [19], и направлена на изучение стабильности доминирующей частоты флуктуаций в рамках эксперимента ASIAEX. При этом в отличие от [19] рассматриваются две трассы, существующие в эксперименте (рис. 4). Результаты исследований указывают на то, что явление сохранения доминирующей частоты может иметь универсальный характер и не ограничиваться акваторией ASIAEX. Интересным практическим приложением, основанным на постоянстве доминирующей частоты, является возможность определения переменной скорости солитона как функции времени или расстояния вдоль трассы. Эта методика успешно продемонстрирована в работе и может быть использована для акустического мониторинга солитонов.

 

Рис. 4. Эксперимент ASIAEX (07.05.2001): (а) – вид сверху, (б) и (в) – вид сбоку на трассу 1 (S1–VLA) и трассу 2 (S2–VLA), (г) – невозмущенный профиль скорости звука в воде [19]. Синяя линия на рис. 4а – фронт солитона в момент времени 12:20. Синяя линия на рис. 4б и 4в – изолинии скорости звука (1525 и 1535 м/с), соответствующие максимальной амплитуде солитона (100 и 55 м), в моменты времени 09:45 и 12:40 (горизонтальный и вертикальный масштабы соблюдены). Красные точки – термисторные цепочки E1–E5. Синие точки – приемная антенна VLA, источники S1, S2. Расположение всех элементов соответствует реальным координатам.

 

1. Теория флуктуаций

В данном разделе приведены основные теоретические сведения, необходимые для лучшего понимания последующих разделов.

Рассмотрим однородный мелководный волновод глубиной H MathType@MTEF@5@5@+= feaahGart1ev3aqatCvAUfeBSjuyZL2yd9gzLbvyNv2Caerbov2D09 MBdbqedmvETj2BSbqeduuDJXwAKbYu51MyVXgarqqr1ngBPrgifHhD YfgasaacHOWxg9qrFfeu0dXdh9vqqj=hEeeu0xXdbba9frFj0=OqFf ea0dXdd9vspGe9FjuP0=fs0xXdbba9pGe9xq=Jbba9suk9fr=xfr=x frpeWZqaaeaabiGaaiaadaqabeaabeqacqaaaOqaaiaadIeaaaa@3902@ , в котором расположены точечные источник и приемник на расстоянии R>>H MathType@MTEF@5@5@+= feaahGart1ev3aqatCvAUfeBSjuyZL2yd9gzLbvyNv2Caerbov2D09 MBdbqedmvETj2BSbqeduuDJXwAKbYu51MyVXgarqqr1ngBPrgifHhD YfgasaacHOWxg9qrFfeu0dXdh9vqqj=hEeeu0xXdbba9frFj0=OqFf ea0dXdd9vspGe9FjuP0=fs0xXdbba9pGe9xq=Jbba9suk9fr=xfr=x frpeWZqaaeaabiGaaiaadaqabeaabeqacqaaaOqaaiaadkfacqGH+a GpcqGH+aGpcaWGibaaaa@3BE9@  друг от друга. Предположим, что на трассе между источником и приемником движется солитон с постоянной скоростью вдоль трассы, равной v= v / sinα MathType@MTEF@5@5@+= feaahGart1ev3aqatCvAUfeBSjuyZL2yd9gzLbvyNv2Caerbov2D09 MBdbqedmvETj2BSbqeduuDJXwAKbYu51MyVXgarqqr1ngBPrgifHhD YfgasaacHOWxg9qrFfeu0dXdh9vqqj=hEeeu0xXdbba9frFj0=OqFf ea0dXdd9vspGe9FjuP0=fs0xXdbba9pGe9xq=Jbba9suk9fr=xfr=x frpeWZqaaeaabiGaaiaadaqabeaabeqacqaaaOqaaiaadAhacqGH9a qpdaWcgaqaaiaadAhadaWgaaWcbaGaeyyPI4fabeaaaOqaaiGacoha caGGPbGaaiOBaiabeg7aHbaaaaa@41A5@ , где v MathType@MTEF@5@5@+= feaahGart1ev3aqatCvAUfeBSjuyZL2yd9gzLbvyNv2Caerbov2D09 MBdbqedmvETj2BSbqeduuDJXwAKbYu51MyVXgarqqr1ngBPrgifHhD YfgasaacHOWxg9qrFfeu0dXdh9vqqj=hEeeu0xXdbba9frFj0=OqFf ea0dXdd9vspGe9FjuP0=fs0xXdbba9pGe9xq=Jbba9suk9fr=xfr=x frpeWZqaaeaabiGaaiaadaqabeaabeqacqaaaOqaaiaadAhadaWgaa WcbaGaeyyPI4fabeaaaaa@3B0D@  - скорость солитона, перпендикулярная его фронту, α MathType@MTEF@5@5@+= feaahGart1ev3aqatCvAUfeBSjuyZL2yd9gzLbvyNv2Caerbov2D09 MBdbqedmvETj2BSbqeduuDJXwAKbYu51MyVXgarqqr1ngBPrgifHhD YfgasaacHOWxg9qrFfeu0dXdh9vqqj=hEeeu0xXdbba9frFj0=OqFf ea0dXdd9vspGe9FjuP0=fs0xXdbba9pGe9xq=Jbba9suk9fr=xfr=x frpeWZqaaeaabiGaaiaadaqabeaabeqacqaaaOqaaiabeg7aHbaa@39D4@  - угол между трассой и фронтом ( 0α90° MathType@MTEF@5@5@+= feaahGart1ev3aqatCvAUfeBSjuyZL2yd9gzLbvyNv2Caerbov2D09 MBdbqedmvETj2BSbqeduuDJXwAKbYu51MyVXgarqqr1ngBPrgifHhD YfgasaacHOWxg9qrFfeu0dXdh9vqqj=hEeeu0xXdbba9frFj0=OqFf ea0dXdd9vspGe9FjuP0=fs0xXdbba9pGe9xq=Jbba9suk9fr=xfr=x frpeWZqaaeaabiGaaiaadaqabeaabeqacqaaaOqaaiaaicdacqGHKj YOcqaHXoqycqGHKjYOcaaI5aGaaGimaiabgclaWcaa@4161@  ).

Полагаем угол α MathType@MTEF@5@5@+= feaahGart1ev3aqatCvAUfeBSjuyZL2yd9gzLbvyNv2Caerbov2D09 MBdbqedmvETj2BSbqeduuDJXwAKbYu51MyVXgarqqr1ngBPrgifHhD YfgasaacHOWxg9qrFfeu0dXdh9vqqj=hEeeu0xXdbba9frFj0=OqFf ea0dXdd9vspGe9FjuP0=fs0xXdbba9pGe9xq=Jbba9suk9fr=xfr=x frpeWZqaaeaabiGaaiaadaqabeaabeqacqaaaOqaaiabeg7aHbaa@39D4@  достаточно большим, чтобы можно было пренебречь горизонтальной рефракцией звука на солитоне. Тогда возмущение акустического поля на приемнике, вызванное присутствием солитона на трассе, описывается взаимодействием мод в вертикальной плоскости, проходящей через источник и приемник.

Удобно начать с высокочастотного приближения модовой теории, когда распространение звука описывается на лучевом языке. В этом случае в процессе движения солитона вдоль акустической трассы на приемнике будут наблюдаться временные флуктуации интенсивности звука с доминирующей частотой

  F D = v D = v Dsinα MathType@MTEF@5@5@+= feaahGart1ev3aqatCvAUfeBSjuyZL2yd9gzLbvyNv2Caerbov2D09 MBdbqedmvETj2BSbqeduuDJXwAKbYu51MyVXgarqqr1ngBPrgifHhD YfgasaacHOWxg9qrFfeu0dXdh9vqqj=hEeeu0xXdbba9frFj0=OqFf ea0dXdd9vspGe9FjuP0=fs0xXdbba9pGe9xq=Jbba9suk9fr=xfr=x frpeWZqaaeaabiGaaiaadaqabeaabeqacqaaaOqaaiaadAeadaWgaa WcbaGaamiraaqabaGccqGH9aqpdaWcaaqaaiaadAhaaeaacaWGebaa aiabg2da9maalaaabaGaamODamaaBaaaleaacqGHLkIxaeqaaaGcba GaamiraiGacohacaGGPbGaaiOBaiabeg7aHbaaaaa@4611@ ,       (1)

где D MathType@MTEF@5@5@+= feaahGart1ev3aqatCvAUfeBSjuyZL2yd9gzLbvyNv2Caerbov2D09 MBdbqedmvETj2BSbqeduuDJXwAKbYu51MyVXgarqqr1ngBPrgifHhD YfgasaacHOWxg9qrFfeu0dXdh9vqqj=hEeeu0xXdbba9frFj0=OqFf ea0dXdd9vspGe9FjuP0=fs0xXdbba9pGe9xq=Jbba9suk9fr=xfr=x frpeWZqaaeaabiGaaiaadaqabeaabeqacqaaaOqaaiaadseaaaa@38FE@  - цикл луча, ответственного за доминирующие флуктуации.

Цикл D MathType@MTEF@5@5@+= feaahGart1ev3aqatCvAUfeBSjuyZL2yd9gzLbvyNv2Caerbov2D09 MBdbqedmvETj2BSbqeduuDJXwAKbYu51MyVXgarqqr1ngBPrgifHhD YfgasaacHOWxg9qrFfeu0dXdh9vqqj=hEeeu0xXdbba9frFj0=OqFf ea0dXdd9vspGe9FjuP0=fs0xXdbba9pGe9xq=Jbba9suk9fr=xfr=x frpeWZqaaeaabiGaaiaadaqabeaabeqacqaaaOqaaiaadseaaaa@38FE@  можно найти из анализа лучевой схемы в волноводе в отсутствие солитона. А именно, среди лучей, связывающих источник и приемник, нужно найти те, которые: 1) несут максимальную энергию в соответствующей лучевой трубке; 2) проходят значительный путь в той области глубин, которую занимает солитон при его появлении на трассе. Данные условия выделяют узкую группу лучей с примерно одинаковым циклом D MathType@MTEF@5@5@+= feaahGart1ev3aqatCvAUfeBSjuyZL2yd9gzLbvyNv2Caerbov2D09 MBdbqedmvETj2BSbqeduuDJXwAKbYu51MyVXgarqqr1ngBPrgifHhD YfgasaacHOWxg9qrFfeu0dXdh9vqqj=hEeeu0xXdbba9frFj0=OqFf ea0dXdd9vspGe9FjuP0=fs0xXdbba9pGe9xq=Jbba9suk9fr=xfr=x frpeWZqaaeaabiGaaiaadaqabeaabeqacqaaaOqaaiaadseaaaa@38FE@ , которые испытывают максимальную рефракцию на солитоне и вносят максимальный вклад во флуктуации звука.

Описанный выше лучевой анализ, а также моделирование флуктуаций в рамках лучевого подхода, были проведены в [14] для волновода с ярко выраженным термоклином, как в экспериментах SWARM и SW06. Результаты моделирования показали, что цикл D MathType@MTEF@5@5@+= feaahGart1ev3aqatCvAUfeBSjuyZL2yd9gzLbvyNv2Caerbov2D09 MBdbqedmvETj2BSbqeduuDJXwAKbYu51MyVXgarqqr1ngBPrgifHhD YfgasaacHOWxg9qrFfeu0dXdh9vqqj=hEeeu0xXdbba9frFj0=OqFf ea0dXdd9vspGe9FjuP0=fs0xXdbba9pGe9xq=Jbba9suk9fr=xfr=x frpeWZqaaeaabiGaaiaadaqabeaabeqacqaaaOqaaiaadseaaaa@38FE@  соответствует критическим лучам, имеющим точку поворота вблизи верхней границы термоклина. Флуктуации интенсивности в точке приема с доминирующей частотой (1) тогда объясняются следующим образом. Когда солитон движется по трассе, то он “цепляет” точки поворота критических лучей с частотой (1). В результате дополнительной рефракции критических лучей на солитоне, эти лучи то уходят, то приходят на приемник, обеспечивая тем самым наблюдаемые колебания интенсивности.

Аналогичный лучевой анализ проведен в разделе 2.7 для условий эксперимента ASIAEX. Здесь рассматривается неоднородная трасса (трасса 1 на рис. 4) и линейный профиль скорости звука (без термоклина). Обнаружено, что в данных условиях также выделяется узкая группа лучей, имеющих практически одинаковый угол выхода из источника и определяющих доминирующие флуктуации. Однако в условиях неоднородной трассы и переменной скорости солитона аналог выражения (1) должен иметь вид

F D r = v r D r MathType@MTEF@5@5@+= feaahGart1ev3aqatCvAUfeBSjuyZL2yd9gzLbvyNv2Caerbov2D09 MBdbqedmvETj2BSbqeduuDJXwAKbYu51MyVXgarqqr1ngBPrgifHhD YfgasaacHOWxg9qrFfeu0dXdh9vqqj=hEeeu0xXdbba9frFj0=OqFf ea0dXdd9vspGe9FjuP0=fs0xXdbba9pGe9xq=Jbba9suk9fr=xfr=x frpeWZqaaeaabiGaaiaadaqabeaabeqacqaaaOqaaiaadAeadaWgaa WcbaGaamiraaqabaGcdaqadaqaaiaadkhaaiaawIcacaGLPaaacqGH 9aqpdaWcaaqaaiaadAhadaqadaqaaiaadkhaaiaawIcacaGLPaaaae aacaWGebWaaeWaaeaacaWGYbaacaGLOaGaayzkaaaaaaaa@4459@ ,  (2)

где все величины зависят от r MathType@MTEF@5@5@+= feaahGart1ev3aqatCvAUfeBSjuyZL2yd9gzLbvyNv2Caerbov2D09 MBdbqedmvETj2BSbqeduuDJXwAKbYu51MyVXgarqqr1ngBPrgifHhD YfgasaacHOWxg9qrFfeu0dXdh9vqqj=hEeeu0xXdbba9frFj0=OqFf ea0dXdd9vspGe9FjuP0=fs0xXdbba9pGe9xq=Jbba9suk9fr=xfr=x frpeWZqaaeaabiGaaiaadaqabeaabeqacqaaaOqaaiaadkhaaaa@392C@  - расстояния от источника до солитона.

Далее, будем опираться на результаты работы [19], а также на результаты раздела 2, где показано, что F D r const MathType@MTEF@5@5@+= feaahGart1ev3aqatCvAUfeBSjuyZL2yd9gzLbvyNv2Caerbov2D09 MBdbqedmvETj2BSbqeduuDJXwAKbYu51MyVXgarqqr1ngBPrgifHhD YfgasaacHOWxg9qrFfeu0dXdh9vqqj=hEeeu0xXdbba9frFj0=OqFf ea0dXdd9vspGe9FjuP0=fs0xXdbba9pGe9xq=Jbba9suk9fr=xfr=x frpeWZqaaeaabiGaaiaadaqabeaabeqacqaaaOqaaiaadAeadaWgaa WcbaGaamiraaqabaGcdaqadaqaaiaadkhaaiaawIcacaGLPaaacqGH ijYUcaGGJbGaai4Baiaac6gacaGGZbGaaiiDaaaa@42EB@  при неравномерном движении солитона вдоль неоднородной трассы ASIAEX.

Данный вывод основан на эксперименте и теоретическом анализе, при котором солитон описывается в рамках двухслойной модели водной среды, а распространение звука - в рамках модовой и лучевой теорий.

Важно отметить, что флуктуации интенсивности звука, возникающие на приемнике с постоянной частотой F D MathType@MTEF@5@5@+= feaahGart1ev3aqatCvAUfeBSjuyZL2yd9gzLbvyNv2Caerbov2D09 MBdbqedmvETj2BSbqeduuDJXwAKbYu51MyVXgarqqr1ngBPrgifHhD YfgasaacHOWxg9qrFfeu0dXdh9vqqj=hEeeu0xXdbba9frFj0=OqFf ea0dXdd9vspGe9FjuP0=fs0xXdbba9pGe9xq=Jbba9suk9fr=xfr=x frpeWZqaaeaabiGaaiaadaqabeaabeqacqaaaOqaaiaadAeadaWgaa WcbaGaamiraaqabaaaaa@39F5@ , теоретически являются периодическими, но несинусоидальными. Это означает, что спектр флуктуаций, полученный за ограниченное время наблюдений, содержит не одну доминирующую частоту флуктуаций F D MathType@MTEF@5@5@+= feaahGart1ev3aqatCvAUfeBSjuyZL2yd9gzLbvyNv2Caerbov2D09 MBdbqedmvETj2BSbqeduuDJXwAKbYu51MyVXgarqqr1ngBPrgifHhD YfgasaacHOWxg9qrFfeu0dXdh9vqqj=hEeeu0xXdbba9frFj0=OqFf ea0dXdd9vspGe9FjuP0=fs0xXdbba9pGe9xq=Jbba9suk9fr=xfr=x frpeWZqaaeaabiGaaiaadaqabeaabeqacqaaaOqaaiaadAeadaWgaa WcbaGaamiraaqabaaaaa@39F5@ , а гармоники n F D MathType@MTEF@5@5@+= feaahGart1ev3aqatCvAUfeBSjuyZL2yd9gzLbvyNv2Caerbov2D09 MBdbqedmvETj2BSbqeduuDJXwAKbYu51MyVXgarqqr1ngBPrgifHhD YfgasaacHOWxg9qrFfeu0dXdh9vqqj=hEeeu0xXdbba9frFj0=OqFf ea0dXdd9vspGe9FjuP0=fs0xXdbba9pGe9xq=Jbba9suk9fr=xfr=x frpeWZqaaeaabiGaaiaadaqabeaabeqacqaaaOqaaiaad6gacaWGgb WaaSbaaSqaaiaadseaaeqaaaaa@3AE8@  ( n=1, 2, 3... MathType@MTEF@5@5@+= feaahGart1ev3aqatCvAUfeBSjuyZL2yd9gzLbvyNv2Caerbov2D09 MBdbqedmvETj2BSbqeduuDJXwAKbYu51MyVXgarqqr1ngBPrgifHhD YfgasaacHOWxg9qrFfeu0dXdh9vqqj=hEeeu0xXdbba9frFj0=OqFf ea0dXdd9vspGe9FjuP0=fs0xXdbba9pGe9xq=Jbba9suk9fr=xfr=x frpeWZqaaeaabiGaaiaadaqabeaabeqacqaaaOqaaiaad6gacqGH9a qpcaaIXaGaaeilaiaabccacaqGYaGaaeilaiaabccacaqGZaGaaeil aiaabccacaqGUaGaaeOlaiaab6caaaa@425D@  ). Амплитуда гармоник максимальна при n=1 MathType@MTEF@5@5@+= feaahGart1ev3aqatCvAUfeBSjuyZL2yd9gzLbvyNv2Caerbov2D09 MBdbqedmvETj2BSbqeduuDJXwAKbYu51MyVXgarqqr1ngBPrgifHhD YfgasaacHOWxg9qrFfeu0dXdh9vqqj=hEeeu0xXdbba9frFj0=OqFf ea0dXdd9vspGe9FjuP0=fs0xXdbba9pGe9xq=Jbba9suk9fr=xfr=x frpeWZqaaeaabiGaaiaadaqabeaabeqacqaaaOqaaiaad6gacqGH9a qpcaaIXaaaaa@3AE9@  и уменьшается при возрастании номера n MathType@MTEF@5@5@+= feaahGart1ev3aqatCvAUfeBSjuyZL2yd9gzLbvyNv2Caerbov2D09 MBdbqedmvETj2BSbqeduuDJXwAKbYu51MyVXgarqqr1ngBPrgifHhD YfgasaacHOWxg9qrFfeu0dXdh9vqqj=hEeeu0xXdbba9frFj0=OqFf ea0dXdd9vspGe9FjuP0=fs0xXdbba9pGe9xq=Jbba9suk9fr=xfr=x frpeWZqaaeaabiGaaiaadaqabeaabeqacqaaaOqaaiaad6gaaaa@3928@  гармоники.

Наличие гармоник имеет важное прикладное значение для повышения точности измерения величины F D MathType@MTEF@5@5@+= feaahGart1ev3aqatCvAUfeBSjuyZL2yd9gzLbvyNv2Caerbov2D09 MBdbqedmvETj2BSbqeduuDJXwAKbYu51MyVXgarqqr1ngBPrgifHhD YfgasaacHOWxg9qrFfeu0dXdh9vqqj=hEeeu0xXdbba9frFj0=OqFf ea0dXdd9vspGe9FjuP0=fs0xXdbba9pGe9xq=Jbba9suk9fr=xfr=x frpeWZqaaeaabiGaaiaadaqabeaabeqacqaaaOqaaiaadAeadaWgaa WcbaGaamiraaqabaaaaa@39F5@  в эксперименте. Например, в [12, 15, 16] при обработке эксперимента SW06 было обнаружено, что спектральный пик, соответствующий доминирующей частоте, сильно зашумлен. Тогда для определения F D MathType@MTEF@5@5@+= feaahGart1ev3aqatCvAUfeBSjuyZL2yd9gzLbvyNv2Caerbov2D09 MBdbqedmvETj2BSbqeduuDJXwAKbYu51MyVXgarqqr1ngBPrgifHhD YfgasaacHOWxg9qrFfeu0dXdh9vqqj=hEeeu0xXdbba9frFj0=OqFf ea0dXdd9vspGe9FjuP0=fs0xXdbba9pGe9xq=Jbba9suk9fr=xfr=x frpeWZqaaeaabiGaaiaadaqabeaabeqacqaaaOqaaiaadAeadaWgaa WcbaGaamiraaqabaaaaa@39F5@  была использована хорошо видимая четвертая гармоника. При этом на трассах, наклоненных под различными углами к фронту солитона, четвертая гармоника давала разные значения доминирующей частоты в полном соответствии с (1) (подробнее о данном эффекте ниже).

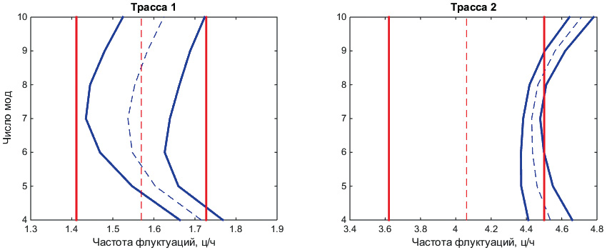
Выделение гармоник, включая доминирующую частоту, является непростой задачей на практике. Это связано с тем, что ширина спектральных пиков сопоставима с расстоянием между ними. В результате частичного перекрытия пиков их локальные максимумы смещаются, что приводит к значительным погрешностям измерений. Однако если доминирующая частота остается постоянной при движении солитона, то путем вычисления спектров флуктуаций в различные моменты времени можно получить гистограмму распределения положений локальных максимумов. В разделе 2.4 метод гистограмм впервые предложен и успешно применен для анализа спектров в ASIAEX. Показано, что максимумы в гистограммах достаточно хорошо соответствуют искомым гармоникам.

Рассмотрим две трассы, наклоненные под углами α 1 MathType@MTEF@5@5@+= feaahGart1ev3aqatCvAUfeBSjuyZL2yd9gzLbvyNv2Caerbov2D09 MBdbqedmvETj2BSbqeduuDJXwAKbYu51MyVXgarqqr1ngBPrgifHhD YfgasaacHOWxg9qrFfeu0dXdh9vqqj=hEeeu0xXdbba9frFj0=OqFf ea0dXdd9vspGe9FjuP0=fs0xXdbba9pGe9xq=Jbba9suk9fr=xfr=x frpeWZqaaeaabiGaaiaadaqabeaabeqacqaaaOqaaiabeg7aHnaaBa aaleaacaaIXaaabeaaaaa@3ABB@  и α 2 MathType@MTEF@5@5@+= feaahGart1ev3aqatCvAUfeBSjuyZL2yd9gzLbvyNv2Caerbov2D09 MBdbqedmvETj2BSbqeduuDJXwAKbYu51MyVXgarqqr1ngBPrgifHhD YfgasaacHOWxg9qrFfeu0dXdh9vqqj=hEeeu0xXdbba9frFj0=OqFf ea0dXdd9vspGe9FjuP0=fs0xXdbba9pGe9xq=Jbba9suk9fr=xfr=x frpeWZqaaeaabiGaaiaadaqabeaabeqacqaaaOqaaiabeg7aHnaaBa aaleaacaaIYaaabeaaaaa@3ABC@  к прямолинейному фронту солитона. Пусть за время, в течение которого определяются доминирующие частоты F D1 MathType@MTEF@5@5@+= feaahGart1ev3aqatCvAUfeBSjuyZL2yd9gzLbvyNv2Caerbov2D09 MBdbqedmvETj2BSbqeduuDJXwAKbYu51MyVXgarqqr1ngBPrgifHhD YfgasaacHOWxg9qrFfeu0dXdh9vqqj=hEeeu0xXdbba9frFj0=OqFf ea0dXdd9vspGe9FjuP0=fs0xXdbba9pGe9xq=Jbba9suk9fr=xfr=x frpeWZqaaeaabiGaaiaadaqabeaabeqacqaaaOqaaiaadAeadaWgaa WcbaGaamiraiaaigdaaeqaaaaa@3AB0@  и F D2 MathType@MTEF@5@5@+= feaahGart1ev3aqatCvAUfeBSjuyZL2yd9gzLbvyNv2Caerbov2D09 MBdbqedmvETj2BSbqeduuDJXwAKbYu51MyVXgarqqr1ngBPrgifHhD YfgasaacHOWxg9qrFfeu0dXdh9vqqj=hEeeu0xXdbba9frFj0=OqFf ea0dXdd9vspGe9FjuP0=fs0xXdbba9pGe9xq=Jbba9suk9fr=xfr=x frpeWZqaaeaabiGaaiaadaqabeaabeqacqaaaOqaaiaadAeadaWgaa WcbaGaamiraiaaikdaaeqaaaaa@3AB1@  на этих трассах, выполняются условия v =const MathType@MTEF@5@5@+= feaahGart1ev3aqatCvAUfeBSjuyZL2yd9gzLbvyNv2Caerbov2D09 MBdbqedmvETj2BSbqeduuDJXwAKbYu51MyVXgarqqr1ngBPrgifHhD YfgasaacHOWxg9qrFfeu0dXdh9vqqj=hEeeu0xXdbba9frFj0=OqFf ea0dXdd9vspGe9FjuP0=fs0xXdbba9pGe9xq=Jbba9suk9fr=xfr=x frpeWZqaaeaabiGaaiaadaqabeaabeqacqaaaOqaaiaadAhadaWgaa WcbaGaeyyPI4fabeaakiabg2da9iaacogacaGGVbGaaiOBaiaacoha caGG0baaaa@40D8@  и D=const MathType@MTEF@5@5@+= feaahGart1ev3aqatCvAUfeBSjuyZL2yd9gzLbvyNv2Caerbov2D09 MBdbqedmvETj2BSbqeduuDJXwAKbYu51MyVXgarqqr1ngBPrgifHhD YfgasaacHOWxg9qrFfeu0dXdh9vqqj=hEeeu0xXdbba9frFj0=OqFf ea0dXdd9vspGe9FjuP0=fs0xXdbba9pGe9xq=Jbba9suk9fr=xfr=x frpeWZqaaeaabiGaaiaadaqabeaabeqacqaaaOqaaiaadseacqGH9a qpcaGGJbGaai4Baiaac6gacaGGZbGaaiiDaaaa@3EBF@ . Тогда из (1) следует

F D1 sin α 1 = F D2 sin α 2 MathType@MTEF@5@5@+= feaahGart1ev3aqatCvAUfeBSjuyZL2yd9gzLbvyNv2Caerbov2D09 MBdbqedmvETj2BSbqeduuDJXwAKbYu51MyVXgarqqr1ngBPrgifHhD YfgasaacHOWxg9qrFfeu0dXdh9vqqj=hEeeu0xXdbba9frFj0=OqFf ea0dXdd9vspGe9FjuP0=fs0xXdbba9pGe9xq=Jbba9suk9fr=xfr=x frpeWZqaaeaabiGaaiaadaqabeaabeqacqaaaOqaaiaadAeadaWgaa WcbaGaamiraiaaigdaaeqaaOGaci4CaiaacMgacaGGUbGaeqySde2a aSbaaSqaaiaaigdaaeqaaOGaeyypa0JaamOramaaBaaaleaacaWGeb GaaGOmaaqabaGcciGGZbGaaiyAaiaac6gacqaHXoqydaWgaaWcbaGa aGOmaaqabaaaaa@490D@ .  (3)

Подтверждение данного равенства было впервые получено на плато Атлантического шельфа в эксперименте SW06 [12, 15, 16]. В разделе 2.5 представлены результаты успешной проверки (3) вблизи внешнего края континентального шельфа в эксперименте ASIAEX. Выражение (3) может быть использовано для акустического мониторинга солитонов.

Перейдем от лучевого описания к модовому. Сначала рассмотрим движение солитона в однородном волноводе. Как показано в [11, 13, 17-19], применение теории взаимодействия мод на движущемся солитоне дает полный спектр частот временных флуктуаций интенсивности на приемнике в виде

  F m,m+n ω = v Λ m,m+n ω MathType@MTEF@5@5@+= feaahGart1ev3aqatCvAUfeBSjuyZL2yd9gzLbvyNv2Caerbov2D09 MBdbqedmvETj2BSbqeduuDJXwAKbYu51MyVXgarqqr1ngBPrgifHhD YfgasaacHOWxg9qrFfeu0dXdh9vqqj=hEeeu0xXdbba9frFj0=OqFf ea0dXdd9vspGe9FjuP0=fs0xXdbba9pGe9xq=Jbba9suk9fr=xfr=x frpeWZqaaeaabiGaaiaadaqabeaabeqacqaaaOqaaiaadAeadaWgaa WcbaGaamyBaiaacYcacaWGTbGaey4kaSIaamOBaaqabaGcdaqadaqa aiabeM8a3bGaayjkaiaawMcaaiabg2da9maalaaabaGaamODaaqaai abfU5amnaaBaaaleaacaWGTbGaaiilaiaad2gacqGHRaWkcaWGUbaa beaakmaabmaabaGaeqyYdChacaGLOaGaayzkaaaaaaaa@4C70@ ,              (4)

где Λ m,m+n ω = 2π/ q m ω q m+n ω MathType@MTEF@5@5@+= feaahGart1ev3aqatCvAUfeBSjuyZL2yd9gzLbvyNv2Caerbov2D09 MBdbqedmvETj2BSbqeduuDJXwAKbYu51MyVXgarqqr1ngBPrgifHhD YfgasaacHOWxg9qrFfeu0dXdh9vqqj=hEeeu0xXdbba9frFj0=OqFf ea0dXdd9vspGe9FjuP0=fs0xXdbba9pGe9xq=Jbba9suk9fr=xfr=x frpeWZqaaeaabiGaaiaadaqabeaabeqacqaaaOqaaiabfU5amnaaBa aaleaacaWGTbGaaiilaiaad2gacqGHRaWkcaWGUbaabeaakmaabmaa baGaeqyYdChacaGLOaGaayzkaaGaeyypa0ZaaSGbaeaacaaIYaGaeq iWdahabaWaaqWaaeaacaWGXbWaaSbaaSqaaiaad2gaaeqaaOWaaeWa aeaacqaHjpWDaiaawIcacaGLPaaacqGHsislcaWGXbWaaSbaaSqaai aad2gacqGHRaWkcaWGUbaabeaakmaabmaabaGaeqyYdChacaGLOaGa ayzkaaaacaGLhWUaayjcSdaaaaaa@5600@  - пространственный период биения мод с номерами m MathType@MTEF@5@5@+= feaahGart1ev3aqatCvAUfeBSjuyZL2yd9gzLbvyNv2Caerbov2D09 MBdbqedmvETj2BSbqeduuDJXwAKbYu51MyVXgarqqr1ngBPrgifHhD YfgasaacHOWxg9qrFfeu0dXdh9vqqj=hEeeu0xXdbba9frFj0=OqFf ea0dXdd9vspGe9FjuP0=fs0xXdbba9pGe9xq=Jbba9suk9fr=xfr=x frpeWZqaaeaabiGaaiaadaqabeaabeqacqaaaOqaaiaad2gaaaa@3927@  и m+n MathType@MTEF@5@5@+= feaahGart1ev3aqatCvAUfeBSjuyZL2yd9gzLbvyNv2Caerbov2D09 MBdbqedmvETj2BSbqeduuDJXwAKbYu51MyVXgarqqr1ngBPrgifHhD YfgasaacHOWxg9qrFfeu0dXdh9vqqj=hEeeu0xXdbba9frFj0=OqFf ea0dXdd9vspGe9FjuP0=fs0xXdbba9pGe9xq=Jbba9suk9fr=xfr=x frpeWZqaaeaabiGaaiaadaqabeaabeqacqaaaOqaaiaad2gacqGHRa WkcaWGUbaaaa@3AFC@ , q m MathType@MTEF@5@5@+= feaahGart1ev3aqatCvAUfeBSjuyZL2yd9gzLbvyNv2Caerbov2D09 MBdbqedmvETj2BSbqeduuDJXwAKbYu51MyVXgarqqr1ngBPrgifHhD YfgasaacHOWxg9qrFfeu0dXdh9vqqj=hEeeu0xXdbba9frFj0=OqFf ea0dXdd9vspGe9FjuP0=fs0xXdbba9pGe9xq=Jbba9suk9fr=xfr=x frpeWZqaaeaabiGaaiaadaqabeaabeqacqaaaOqaaiaadghadaWgaa WcbaGaamyBaaqabaaaaa@3A49@  и q m+n MathType@MTEF@5@5@+= feaahGart1ev3aqatCvAUfeBSjuyZL2yd9gzLbvyNv2Caerbov2D09 MBdbqedmvETj2BSbqeduuDJXwAKbYu51MyVXgarqqr1ngBPrgifHhD YfgasaacHOWxg9qrFfeu0dXdh9vqqj=hEeeu0xXdbba9frFj0=OqFf ea0dXdd9vspGe9FjuP0=fs0xXdbba9pGe9xq=Jbba9suk9fr=xfr=x frpeWZqaaeaabiGaaiaadaqabeaabeqacqaaaOqaaiaadghadaWgaa WcbaGaamyBaiabgUcaRiaad6gaaeqaaaaa@3C1E@  - реальная часть собственных чисел для указанных мод, ω=2πf MathType@MTEF@5@5@+= feaahGart1ev3aqatCvAUfeBSjuyZL2yd9gzLbvyNv2Caerbov2D09 MBdbqedmvETj2BSbqeduuDJXwAKbYu51MyVXgarqqr1ngBPrgifHhD YfgasaacHOWxg9qrFfeu0dXdh9vqqj=hEeeu0xXdbba9frFj0=OqFf ea0dXdd9vspGe9FjuP0=fs0xXdbba9pGe9xq=Jbba9suk9fr=xfr=x frpeWZqaaeaabiGaaiaadaqabeaabeqacqaaaOqaaiabeM8a3jabg2 da9iaaikdacqaHapaCcaWGMbaaaa@3E6C@  - частота звука.

Зависимости F= F m,m+n ω MathType@MTEF@5@5@+= feaahGart1ev3aqatCvAUfeBSjuyZL2yd9gzLbvyNv2Caerbov2D09 MBdbqedmvETj2BSbqeduuDJXwAKbYu51MyVXgarqqr1ngBPrgifHhD YfgasaacHOWxg9qrFfeu0dXdh9vqqj=hEeeu0xXdbba9frFj0=OqFf ea0dXdd9vspGe9FjuP0=fs0xXdbba9pGe9xq=Jbba9suk9fr=xfr=x frpeWZqaaeaabiGaaiaadaqabeaabeqacqaaaOqaaiaadAeacqGH9a qpcaWGgbWaaSbaaSqaaiaad2gacaGGSaGaamyBaiabgUcaRiaad6ga aeqaaOWaaeWaaeaacqaHjpWDaiaawIcacaGLPaaaaaa@42C6@  представляют собой линии в системе координат F,ω MathType@MTEF@5@5@+= feaahGart1ev3aqatCvAUfeBSjuyZL2yd9gzLbvyNv2Caerbov2D09 MBdbqedmvETj2BSbqeduuDJXwAKbYu51MyVXgarqqr1ngBPrgifHhD YfgasaacHOWxg9qrFfeu0dXdh9vqqj=hEeeu0xXdbba9frFj0=OqFf ea0dXdd9vspGe9FjuP0=fs0xXdbba9pGe9xq=Jbba9suk9fr=xfr=x frpeWZqaaeaabiGaaiaadaqabeaabeqacqaaaOqaamaabmaabaGaam OraiaacYcacqaHjpWDaiaawIcacaGLPaaaaaa@3D06@  - (частота флуктуаций, частота звука). Вычисления и эксперименты показывают, что амплитуда в спектре флуктуаций распределяется по этим линиям неравномерно. А именно, максимальные значения амплитуд практически не зависят от частоты звука и лежат в окрестности линий F=n F D MathType@MTEF@5@5@+= feaahGart1ev3aqatCvAUfeBSjuyZL2yd9gzLbvyNv2Caerbov2D09 MBdbqedmvETj2BSbqeduuDJXwAKbYu51MyVXgarqqr1ngBPrgifHhD YfgasaacHOWxg9qrFfeu0dXdh9vqqj=hEeeu0xXdbba9frFj0=OqFf ea0dXdd9vspGe9FjuP0=fs0xXdbba9pGe9xq=Jbba9suk9fr=xfr=x frpeWZqaaeaabiGaaiaadaqabeaabeqacqaaaOqaaiaadAeacqGH9a qpcaWGUbGaamOramaaBaaaleaacaWGebaabeaaaaa@3CB9@ .

Данный факт является следствием высокочастотных пределов:

  lim ω   F m,m+n ω =n F D MathType@MTEF@5@5@+= feaahGart1ev3aqatCvAUfeBSjuyZL2yd9gzLbvyNv2Caerbov2D09 MBdbqedmvETj2BSbqeduuDJXwAKbYu51MyVXgarqqr1ngBPrgifHhD YfgasaacHOWxg9qrFfeu0dXdh9vqqj=hEeeu0xXdbba9frFj0=OqFf ea0dXdd9vspGe9FjuP0=fs0xXdbba9pGe9xq=Jbba9suk9fr=xfr=x frpeWZqaaeaabiGaaiaadaqabeaabeqacqaaaOqaamaaxababaGaci iBaiaacMgacaGGTbaaleaacqaHjpWDcaqGGaGaeyOKH4Qaaeiiaiab g6HiLcqabaGccaWGgbWaaSbaaSqaaiaad2gacaGGSaGaamyBaiabgU caRiaad6gaaeqaaOWaaeWaaeaacqaHjpWDaiaawIcacaGLPaaacqGH 9aqpcaWGUbGaamOramaaBaaaleaacaWGebaabeaaaaa@4E32@ ,  (5)

lim ω   Λ m,m+n ω =D/n MathType@MTEF@5@5@+= feaahGart1ev3aqatCvAUfeBSjuyZL2yd9gzLbvyNv2Caerbov2D09 MBdbqedmvETj2BSbqeduuDJXwAKbYu51MyVXgarqqr1ngBPrgifHhD YfgasaacHOWxg9qrFfeu0dXdh9vqqj=hEeeu0xXdbba9frFj0=OqFf ea0dXdd9vspGe9FjuP0=fs0xXdbba9pGe9xq=Jbba9suk9fr=xfr=x frpeWZqaaeaabiGaaiaadaqabeaabeqacqaaaOqaamaaxababaGaci iBaiaacMgacaGGTbaaleaacqaHjpWDcaqGGaGaeyOKH4Qaaeiiaiab g6HiLcqabaGccqqHBoatdaWgaaWcbaGaamyBaiaacYcacaWGTbGaey 4kaSIaamOBaaqabaGcdaqadaqaaiabeM8a3bGaayjkaiaawMcaaiab g2da9maalyaabaGaamiraaqaaiaad6gaaaaaaa@4DFB@ ,  (6)

причем пределы не зависят от номера m MathType@MTEF@5@5@+= feaahGart1ev3aqatCvAUfeBSjuyZL2yd9gzLbvyNv2Caerbov2D09 MBdbqedmvETj2BSbqeduuDJXwAKbYu51MyVXgarqqr1ngBPrgifHhD YfgasaacHOWxg9qrFfeu0dXdh9vqqj=hEeeu0xXdbba9frFj0=OqFf ea0dXdd9vspGe9FjuP0=fs0xXdbba9pGe9xq=Jbba9suk9fr=xfr=x frpeWZqaaeaabiGaaiaadaqabeaabeqacqaaaOqaaiaad2gaaaa@3927@ . Самые крупные значения амплитуд в спектре флуктуаций соответствуют n=1 MathType@MTEF@5@5@+= feaahGart1ev3aqatCvAUfeBSjuyZL2yd9gzLbvyNv2Caerbov2D09 MBdbqedmvETj2BSbqeduuDJXwAKbYu51MyVXgarqqr1ngBPrgifHhD YfgasaacHOWxg9qrFfeu0dXdh9vqqj=hEeeu0xXdbba9frFj0=OqFf ea0dXdd9vspGe9FjuP0=fs0xXdbba9pGe9xq=Jbba9suk9fr=xfr=x frpeWZqaaeaabiGaaiaadaqabeaabeqacqaaaOqaaiaad6gacqGH9a qpcaaIXaaaaa@3AE9@ , т.е. доминирующей частоте F D MathType@MTEF@5@5@+= feaahGart1ev3aqatCvAUfeBSjuyZL2yd9gzLbvyNv2Caerbov2D09 MBdbqedmvETj2BSbqeduuDJXwAKbYu51MyVXgarqqr1ngBPrgifHhD YfgasaacHOWxg9qrFfeu0dXdh9vqqj=hEeeu0xXdbba9frFj0=OqFf ea0dXdd9vspGe9FjuP0=fs0xXdbba9pGe9xq=Jbba9suk9fr=xfr=x frpeWZqaaeaabiGaaiaadaqabeaabeqacqaaaOqaaiaadAeadaWgaa WcbaGaamiraaqabaaaaa@39F5@ , и лежат на линиях F= F m,m+1 ω MathType@MTEF@5@5@+= feaahGart1ev3aqatCvAUfeBSjuyZL2yd9gzLbvyNv2Caerbov2D09 MBdbqedmvETj2BSbqeduuDJXwAKbYu51MyVXgarqqr1ngBPrgifHhD YfgasaacHOWxg9qrFfeu0dXdh9vqqj=hEeeu0xXdbba9frFj0=OqFf ea0dXdd9vspGe9FjuP0=fs0xXdbba9pGe9xq=Jbba9suk9fr=xfr=x frpeWZqaaeaabiGaaiaadaqabeaabeqacqaaaOqaaiaadAeacqGH9a qpcaWGgbWaaSbaaSqaaiaad2gacaGGSaGaamyBaiabgUcaRiaaigda aeqaaOWaaeWaaeaacqaHjpWDaiaawIcacaGLPaaaaaa@428E@ , что физически соответствует максимальному взаимодействию мод соседних номеров.

Рассмотрим линии максимальных флуктуаций F= F m,m+1 ω MathType@MTEF@5@5@+= feaahGart1ev3aqatCvAUfeBSjuyZL2yd9gzLbvyNv2Caerbov2D09 MBdbqedmvETj2BSbqeduuDJXwAKbYu51MyVXgarqqr1ngBPrgifHhD YfgasaacHOWxg9qrFfeu0dXdh9vqqj=hEeeu0xXdbba9frFj0=OqFf ea0dXdd9vspGe9FjuP0=fs0xXdbba9pGe9xq=Jbba9suk9fr=xfr=x frpeWZqaaeaabiGaaiaadaqabeaabeqacqaaaOqaaiaadAeacqGH9a qpcaWGgbWaaSbaaSqaaiaad2gacaGGSaGaamyBaiabgUcaRiaaigda aeqaaOWaaeWaaeaacqaHjpWDaiaawIcacaGLPaaaaaa@428E@ . Как показывают расчеты, с увеличением частоты звука линии сближаются и стремятся к значению F D MathType@MTEF@5@5@+= feaahGart1ev3aqatCvAUfeBSjuyZL2yd9gzLbvyNv2Caerbov2D09 MBdbqedmvETj2BSbqeduuDJXwAKbYu51MyVXgarqqr1ngBPrgifHhD YfgasaacHOWxg9qrFfeu0dXdh9vqqj=hEeeu0xXdbba9frFj0=OqFf ea0dXdd9vspGe9FjuP0=fs0xXdbba9pGe9xq=Jbba9suk9fr=xfr=x frpeWZqaaeaabiGaaiaadaqabeaabeqacqaaaOqaaiaadAeadaWgaa WcbaGaamiraaqabaaaaa@39F5@ . При достаточно высоких частотах звука распределение амплитуды флуктуаций по линиям является примерно равномерным для первых M MathType@MTEF@5@5@+= feaahGart1ev3aqatCvAUfeBSjuyZL2yd9gzLbvyNv2Caerbov2D09 MBdbqedmvETj2BSbqeduuDJXwAKbYu51MyVXgarqqr1ngBPrgifHhD YfgasaacHOWxg9qrFfeu0dXdh9vqqj=hEeeu0xXdbba9frFj0=OqFf ea0dXdd9vspGe9FjuP0=fs0xXdbba9pGe9xq=Jbba9suk9fr=xfr=x frpeWZqaaeaabiGaaiaadaqabeaabeqacqaaaOqaaiaad2eaaaa@3907@  мод. Поэтому оценку доминирующей частоты можно найти усреднением

F D 1 M1 m=1 M1 F m,m+1 ω MathType@MTEF@5@5@+= feaahGart1ev3aqatCvAUfeBSjuyZL2yd9gzLbvyNv2Caerbov2D09 MBdbqedmvETj2BSbqeduuDJXwAKbYu51MyVXgarqqr1ngBPrgifHhD YfgasaacHOWxg9qrFfeu0dXdh9vqqj=hEeeu0xXdbba9frFj0=OqFf ea0dXdd9vspGe9FjuP0=fs0xXdbba9pGe9xq=Jbba9suk9fr=xfr=x frpeWZqaaeaabiGaaiaadaqabeaabeqacqaaaOqaaiaadAeadaWgaa WcbaGaamiraaqabaGccqGHijYUdaWcaaqaaiaaigdaaeaacaWGnbGa eyOeI0IaaGymaaaadaaeWbqaaiaadAeadaWgaaWcbaGaamyBaiaacY cacaWGTbGaey4kaSIaaGymaaqabaGcdaqadaqaaiabeM8a3bGaayjk aiaawMcaaaWcbaGaamyBaiabg2da9iaaigdaaeaacaWGnbGaeyOeI0 IaaGymaaqdcqGHris5aaaa@4EEC@ .          (7)

Заметим, что в идеале оценка не должна зависеть от частоты звука.

Перейдем к анализу неравномерного движения солитона в неоднородном волноводе. Будем рассматривать флуктуации интенсивности на фиксированной частоте звука ω=const MathType@MTEF@5@5@+= feaahGart1ev3aqatCvAUfeBSjuyZL2yd9gzLbvyNv2Caerbov2D09 MBdbqedmvETj2BSbqeduuDJXwAKbYu51MyVXgarqqr1ngBPrgifHhD YfgasaacHOWxg9qrFfeu0dXdh9vqqj=hEeeu0xXdbba9frFj0=OqFf ea0dXdd9vspGe9FjuP0=fs0xXdbba9pGe9xq=Jbba9suk9fr=xfr=x frpeWZqaaeaabiGaaiaadaqabeaabeqacqaaaOqaaiabeM8a3jabg2 da9iaacogacaGGVbGaaiOBaiaacohacaGG0baaaa@3FC3@ , как это будет при обработке ASIAEX. В этом случае, в выражении (4) уберем зависимость от частоты звука, а зависимость от координаты солитона на неоднородной трассе добавим:

F m,m+n r = v r Λ m,m+n r MathType@MTEF@5@5@+= feaahGart1ev3aqatCvAUfeBSjuyZL2yd9gzLbvyNv2Caerbov2D09 MBdbqedmvETj2BSbqeduuDJXwAKbYu51MyVXgarqqr1ngBPrgifHhD YfgasaacHOWxg9qrFfeu0dXdh9vqqj=hEeeu0xXdbba9frFj0=OqFf ea0dXdd9vspGe9FjuP0=fs0xXdbba9pGe9xq=Jbba9suk9fr=xfr=x frpeWZqaaeaabiGaaiaadaqabeaabeqacqaaaOqaaiaadAeadaWgaa WcbaGaamyBaiaacYcacaWGTbGaey4kaSIaamOBaaqabaGcdaqadaqa aiaadkhaaiaawIcacaGLPaaacqGH9aqpdaWcaaqaaiaadAhadaqada qaaiaadkhaaiaawIcacaGLPaaaaeaacqqHBoatdaWgaaWcbaGaamyB aiaacYcacaWGTbGaey4kaSIaamOBaaqabaGcdaqadaqaaiaadkhaai aawIcacaGLPaaaaaaaaa@4D44@ .  (8)

Зависимости F= F m,m+n r MathType@MTEF@5@5@+= feaahGart1ev3aqatCvAUfeBSjuyZL2yd9gzLbvyNv2Caerbov2D09 MBdbqedmvETj2BSbqeduuDJXwAKbYu51MyVXgarqqr1ngBPrgifHhD YfgasaacHOWxg9qrFfeu0dXdh9vqqj=hEeeu0xXdbba9frFj0=OqFf ea0dXdd9vspGe9FjuP0=fs0xXdbba9pGe9xq=Jbba9suk9fr=xfr=x frpeWZqaaeaabiGaaiaadaqabeaabeqacqaaaOqaaiaadAeacqGH9a qpcaWGgbWaaSbaaSqaaiaad2gacaGGSaGaamyBaiabgUcaRiaad6ga aeqaaOWaaeWaaeaacaWGYbaacaGLOaGaayzkaaaaaa@41F0@  будем называть дисперсионными кривыми n MathType@MTEF@5@5@+= feaahGart1ev3aqatCvAUfeBSjuyZL2yd9gzLbvyNv2Caerbov2D09 MBdbqedmvETj2BSbqeduuDJXwAKbYu51MyVXgarqqr1ngBPrgifHhD YfgasaacHOWxg9qrFfeu0dXdh9vqqj=hEeeu0xXdbba9frFj0=OqFf ea0dXdd9vspGe9FjuP0=fs0xXdbba9pGe9xq=Jbba9suk9fr=xfr=x frpeWZqaaeaabiGaaiaadaqabeaabeqacqaaaOqaaiaad6gaaaa@3928@  -го порядка. Они представляют собой линии в системе координат r,F MathType@MTEF@5@5@+= feaahGart1ev3aqatCvAUfeBSjuyZL2yd9gzLbvyNv2Caerbov2D09 MBdbqedmvETj2BSbqeduuDJXwAKbYu51MyVXgarqqr1ngBPrgifHhD YfgasaacHOWxg9qrFfeu0dXdh9vqqj=hEeeu0xXdbba9frFj0=OqFf ea0dXdd9vspGe9FjuP0=fs0xXdbba9pGe9xq=Jbba9suk9fr=xfr=x frpeWZqaaeaabiGaaiaadaqabeaabeqacqaaaOqaamaabmaabaGaam OCaiaacYcacaWGgbaacaGLOaGaayzkaaaaaa@3C30@  - (расстояние от источника до солитона, частота флуктуаций). Наибольшие значения амплитуды в спектре флуктуаций распределены на дисперсионных кривых первого порядка: F= F m,m+1 r MathType@MTEF@5@5@+= feaahGart1ev3aqatCvAUfeBSjuyZL2yd9gzLbvyNv2Caerbov2D09 MBdbqedmvETj2BSbqeduuDJXwAKbYu51MyVXgarqqr1ngBPrgifHhD YfgasaacHOWxg9qrFfeu0dXdh9vqqj=hEeeu0xXdbba9frFj0=OqFf ea0dXdd9vspGe9FjuP0=fs0xXdbba9pGe9xq=Jbba9suk9fr=xfr=x frpeWZqaaeaabiGaaiaadaqabeaabeqacqaaaOqaaiaadAeacqGH9a qpcaWGgbWaaSbaaSqaaiaad2gacaGGSaGaamyBaiabgUcaRiaaigda aeqaaOWaaeWaaeaacaWGYbaacaGLOaGaayzkaaaaaa@41B8@ .

Оценка доминирующей частоты в соответствии с (7) имеет вид

  F D r 1 M1 m=1 M1 F m,m+1 r MathType@MTEF@5@5@+= feaahGart1ev3aqatCvAUfeBSjuyZL2yd9gzLbvyNv2Caerbov2D09 MBdbqedmvETj2BSbqeduuDJXwAKbYu51MyVXgarqqr1ngBPrgifHhD YfgasaacHOWxg9qrFfeu0dXdh9vqqj=hEeeu0xXdbba9frFj0=OqFf ea0dXdd9vspGe9FjuP0=fs0xXdbba9pGe9xq=Jbba9suk9fr=xfr=x frpeWZqaaeaabiGaaiaadaqabeaabeqacqaaaOqaaiaadAeadaWgaa WcbaGaamiraaqabaGcdaqadaqaaiaadkhaaiaawIcacaGLPaaacqGH ijYUdaWcaaqaaiaaigdaaeaacaWGnbGaeyOeI0IaaGymaaaadaaeWb qaaiaadAeadaWgaaWcbaGaamyBaiaacYcacaWGTbGaey4kaSIaaGym aaqabaGcdaqadaqaaiaadkhaaiaawIcacaGLPaaaaSqaaiaad2gacq GH9aqpcaaIXaaabaGaamytaiabgkHiTiaaigdaa0GaeyyeIuoaaaa@5096@ ,     (9)

где добавлена возможная зависимость доминирующей частоты от положения солитона на трассе.

Подставляя (8) в (9), получаем формулу (2) из лучевой теории: F D r = v r / D r MathType@MTEF@5@5@+= feaahGart1ev3aqatCvAUfeBSjuyZL2yd9gzLbvyNv2Caerbov2D09 MBdbqedmvETj2BSbqeduuDJXwAKbYu51MyVXgarqqr1ngBPrgifHhD YfgasaacHOWxg9qrFfeu0dXdh9vqqj=hEeeu0xXdbba9frFj0=OqFf ea0dXdd9vspGe9FjuP0=fs0xXdbba9pGe9xq=Jbba9suk9fr=xfr=x frpeWZqaaeaabiGaaiaadaqabeaabeqacqaaaOqaaiaadAeadaWgaa WcbaGaamiraaqabaGcdaqadaqaaiaadkhaaiaawIcacaGLPaaacqGH 9aqpdaWcgaqaaiaadAhadaqadaqaaiaadkhaaiaawIcacaGLPaaaae aacaWGebWaaeWaaeaacaWGYbaacaGLOaGaayzkaaaaaaaa@445F@ , где цикл луча связан с пространственными периодами биений мод выражением

  D r = 1 M1 m=1 M1 1 Λ m,m+1 r 1 MathType@MTEF@5@5@+= feaahGart1ev3aqatCvAUfeBSjuyZL2yd9gzLbvyNv2Caerbov2D09 MBdbqedmvETj2BSbqeduuDJXwAKbYu51MyVXgarqqr1ngBPrgifHhD YfgasaacHOWxg9qrFfeu0dXdh9vqqj=hEeeu0xXdbba9frFj0=OqFf ea0dXdd9vspGe9FjuP0=fs0xXdbba9pGe9xq=Jbba9suk9fr=xfr=x frpeWZqaaeaabiGaaiaadaqabeaabeqacqaaaOqaaiaadseadaqada qaaiaadkhaaiaawIcacaGLPaaacqGH9aqpdaWadaqaamaalaaabaGa aGymaaqaaiaad2eacqGHsislcaaIXaaaamaaqahabaWaaSaaaeaaca aIXaaabaGaeu4MdW0aaSbaaSqaaiaad2gacaGGSaGaamyBaiabgUca RiaaigdaaeqaaOWaaeWaaeaacaWGYbaacaGLOaGaayzkaaaaaaWcba GaamyBaiabg2da9iaaigdaaeaacaWGnbGaeyOeI0IaaGymaaqdcqGH ris5aaGccaGLBbGaayzxaaWaaWbaaSqabeaacqGHsislcaaIXaaaaa aa@5430@ .               (10)

Вычисления, выполненные согласно (9) для условий эксперимента ASIAEX, показывают, что F D r const MathType@MTEF@5@5@+= feaahGart1ev3aqatCvAUfeBSjuyZL2yd9gzLbvyNv2Caerbov2D09 MBdbqedmvETj2BSbqeduuDJXwAKbYu51MyVXgarqqr1ngBPrgifHhD YfgasaacHOWxg9qrFfeu0dXdh9vqqj=hEeeu0xXdbba9frFj0=OqFf ea0dXdd9vspGe9FjuP0=fs0xXdbba9pGe9xq=Jbba9suk9fr=xfr=x frpeWZqaaeaabiGaaiaadaqabeaabeqacqaaaOqaaiaadAeadaWgaa WcbaGaamiraaqabaGcdaqadaqaaiaadkhaaiaawIcacaGLPaaacqGH ijYUcaGGJbGaai4Baiaac6gacaGGZbGaaiiDaaaa@42EB@  (раздел 2.3). Это свидетельствует о том, что изменение глубины волновода при движении солитона приводит к пропорциональному изменению скорости солитона и цикла луча. Принципиально, что при расчетах (9) используется (8), где скорость солитона рассматривается как теоретическая: v r = v t r MathType@MTEF@5@5@+= feaahGart1ev3aqatCvAUfeBSjuyZL2yd9gzLbvyNv2Caerbov2D09 MBdbqedmvETj2BSbqeduuDJXwAKbYu51MyVXgarqqr1ngBPrgifHhD YfgasaacHOWxg9qrFfeu0dXdh9vqqj=hEeeu0xXdbba9frFj0=OqFf ea0dXdd9vspGe9FjuP0=fs0xXdbba9pGe9xq=Jbba9suk9fr=xfr=x frpeWZqaaeaabiGaaiaadaqabeaabeqacqaaaOqaaiaadAhadaqada qaaiaadkhaaiaawIcacaGLPaaacqGH9aqpcaWG2bWaaWbaaSqabeaa caWG0baaaOWaaeWaaeaacaWGYbaacaGLOaGaayzkaaaaaa@4161@ . Теоретическая скорость солитона зависит от глубины моря и находится с использованием двухслойной модели водной среды (раздел 2.2).

Если постулировать равенство F D =const MathType@MTEF@5@5@+= feaahGart1ev3aqatCvAUfeBSjuyZL2yd9gzLbvyNv2Caerbov2D09 MBdbqedmvETj2BSbqeduuDJXwAKbYu51MyVXgarqqr1ngBPrgifHhD YfgasaacHOWxg9qrFfeu0dXdh9vqqj=hEeeu0xXdbba9frFj0=OqFf ea0dXdd9vspGe9FjuP0=fs0xXdbba9pGe9xq=Jbba9suk9fr=xfr=x frpeWZqaaeaabiGaaiaadaqabeaabeqacqaaaOqaaiaadAeadaWgaa WcbaGaamiraaqabaGccqGH9aqpcaGGJbGaai4Baiaac6gacaGGZbGa aiiDaaaa@3FC0@  для данной трассы, то появляется возможность определения переменной скорости солитона акустическим способом (раздел 2.6). Действительно, если в акустическом эксперименте измерена доминирующая частота F D MathType@MTEF@5@5@+= feaahGart1ev3aqatCvAUfeBSjuyZL2yd9gzLbvyNv2Caerbov2D09 MBdbqedmvETj2BSbqeduuDJXwAKbYu51MyVXgarqqr1ngBPrgifHhD YfgasaacHOWxg9qrFfeu0dXdh9vqqj=hEeeu0xXdbba9frFj0=OqFf ea0dXdd9vspGe9FjuP0=fs0xXdbba9pGe9xq=Jbba9suk9fr=xfr=x frpeWZqaaeaabiGaaiaadaqabeaabeqacqaaaOqaaiaadAeadaWgaa WcbaGaamiraaqabaaaaa@39F5@  и вычислен согласно (10) цикл луча D r MathType@MTEF@5@5@+= feaahGart1ev3aqatCvAUfeBSjuyZL2yd9gzLbvyNv2Caerbov2D09 MBdbqedmvETj2BSbqeduuDJXwAKbYu51MyVXgarqqr1ngBPrgifHhD YfgasaacHOWxg9qrFfeu0dXdh9vqqj=hEeeu0xXdbba9frFj0=OqFf ea0dXdd9vspGe9FjuP0=fs0xXdbba9pGe9xq=Jbba9suk9fr=xfr=x frpeWZqaaeaabiGaaiaadaqabeaabeqacqaaaOqaaiaadseadaqada qaaiaadkhaaiaawIcacaGLPaaaaaa@3B7E@ , то из (2) скорость солитона равна

v r = F D D r MathType@MTEF@5@5@+= feaahGart1ev3aqatCvAUfeBSjuyZL2yd9gzLbvyNv2Caerbov2D09 MBdbqedmvETj2BSbqeduuDJXwAKbYu51MyVXgarqqr1ngBPrgifHhD YfgasaacHOWxg9qrFfeu0dXdh9vqqj=hEeeu0xXdbba9frFj0=OqFf ea0dXdd9vspGe9FjuP0=fs0xXdbba9pGe9xq=Jbba9suk9fr=xfr=x frpeWZqaaeaabiGaaiaadaqabeaabeqacqaaaOqaaiaadAhadaqada qaaiaadkhaaiaawIcacaGLPaaacqGH9aqpcaWGgbWaaSbaaSqaaiaa dseaaeqaaOGaamiramaabmaabaGaamOCaaGaayjkaiaawMcaaaaa@41C9@ . (11)

Полученную скорость солитона, как функцию расстояния v r MathType@MTEF@5@5@+= feaahGart1ev3aqatCvAUfeBSjuyZL2yd9gzLbvyNv2Caerbov2D09 MBdbqedmvETj2BSbqeduuDJXwAKbYu51MyVXgarqqr1ngBPrgifHhD YfgasaacHOWxg9qrFfeu0dXdh9vqqj=hEeeu0xXdbba9frFj0=OqFf ea0dXdd9vspGe9FjuP0=fs0xXdbba9pGe9xq=Jbba9suk9fr=xfr=x frpeWZqaaeaabiGaaiaadaqabeaabeqacqaaaOqaaiaadAhadaqada qaaiaadkhaaiaawIcacaGLPaaaaaa@3BB0@ , можно пересчитать в функцию времени v T MathType@MTEF@5@5@+= feaahGart1ev3aqatCvAUfeBSjuyZL2yd9gzLbvyNv2Caerbov2D09 MBdbqedmvETj2BSbqeduuDJXwAKbYu51MyVXgarqqr1ngBPrgifHhD YfgasaacHOWxg9qrFfeu0dXdh9vqqj=hEeeu0xXdbba9frFj0=OqFf ea0dXdd9vspGe9FjuP0=fs0xXdbba9pGe9xq=Jbba9suk9fr=xfr=x frpeWZqaaeaabiGaaiaadaqabeaabeqacqaaaOqaaiaadAhadaqada qaaiaadsfaaiaawIcacaGLPaaaaaa@3B92@ , где T MathType@MTEF@5@5@+= feaahGart1ev3aqatCvAUfeBSjuyZL2yd9gzLbvyNv2Caerbov2D09 MBdbqedmvETj2BSbqeduuDJXwAKbYu51MyVXgarqqr1ngBPrgifHhD YfgasaacHOWxg9qrFfeu0dXdh9vqqj=hEeeu0xXdbba9frFj0=OqFf ea0dXdd9vspGe9FjuP0=fs0xXdbba9pGe9xq=Jbba9suk9fr=xfr=x frpeWZqaaeaabiGaaiaadaqabeaabeqacqaaaOqaaiaadsfaaaa@390E@  - время. Для этого нужно исключить переменную r MathType@MTEF@5@5@+= feaahGart1ev3aqatCvAUfeBSjuyZL2yd9gzLbvyNv2Caerbov2D09 MBdbqedmvETj2BSbqeduuDJXwAKbYu51MyVXgarqqr1ngBPrgifHhD YfgasaacHOWxg9qrFfeu0dXdh9vqqj=hEeeu0xXdbba9frFj0=OqFf ea0dXdd9vspGe9FjuP0=fs0xXdbba9pGe9xq=Jbba9suk9fr=xfr=x frpeWZqaaeaabiGaaiaadaqabeaabeqacqaaaOqaaiaadkhaaaa@392C@  из пары функций: v r MathType@MTEF@5@5@+= feaahGart1ev3aqatCvAUfeBSjuyZL2yd9gzLbvyNv2Caerbov2D09 MBdbqedmvETj2BSbqeduuDJXwAKbYu51MyVXgarqqr1ngBPrgifHhD YfgasaacHOWxg9qrFfeu0dXdh9vqqj=hEeeu0xXdbba9frFj0=OqFf ea0dXdd9vspGe9FjuP0=fs0xXdbba9pGe9xq=Jbba9suk9fr=xfr=x frpeWZqaaeaabiGaaiaadaqabeaabeqacqaaaOqaaiaadAhadaqada qaaiaadkhaaiaawIcacaGLPaaaaaa@3BB0@  и T r = T 0 + 0  r v 1 r dr MathType@MTEF@5@5@+= feaahGart1ev3aqatCvAUfeBSjuyZL2yd9gzLbvyNv2Caerbov2D09 MBdbqedmvETj2BSbqeduuDJXwAKbYu51MyVXgarqqr1ngBPrgifHhD YfgasaacHOWxg9qrFfeu0dXdh9vqqj=hEeeu0xXdbba9frFj0=OqFf ea0dXdd9vspGe9FjuP0=fs0xXdbba9pGe9xq=Jbba9suk9fr=xfr=x frpeWZqaaeaabiGaaiaadaqabeaabeqacqaaaOqaaiaadsfadaqada qaaiaadkhaaiaawIcacaGLPaaacqGH9aqpcaWGubWaaSbaaSqaaiaa icdaaeqaaOGaey4kaSYaa8qmaeaacaWG2bWaaWbaaSqabeaacqGHsi slcaaIXaaaaOWaaeWaaeaacaWGYbaacaGLOaGaayzkaaGaamizaiaa dkhaaSqaaiaaicdaaeaacaqGGaGaamOCaaqdcqGHRiI8aaaa@4AF6@ , где T 0 MathType@MTEF@5@5@+= feaahGart1ev3aqatCvAUfeBSjuyZL2yd9gzLbvyNv2Caerbov2D09 MBdbqedmvETj2BSbqeduuDJXwAKbYu51MyVXgarqqr1ngBPrgifHhD YfgasaacHOWxg9qrFfeu0dXdh9vqqj=hEeeu0xXdbba9frFj0=OqFf ea0dXdd9vspGe9FjuP0=fs0xXdbba9pGe9xq=Jbba9suk9fr=xfr=x frpeWZqaaeaabiGaaiaadaqabeaabeqacqaaaOqaaiaadsfadaWgaa WcbaGaaGimaaqabaaaaa@39F4@  - время прохождения точки r=0 MathType@MTEF@5@5@+= feaahGart1ev3aqatCvAUfeBSjuyZL2yd9gzLbvyNv2Caerbov2D09 MBdbqedmvETj2BSbqeduuDJXwAKbYu51MyVXgarqqr1ngBPrgifHhD YfgasaacHOWxg9qrFfeu0dXdh9vqqj=hEeeu0xXdbba9frFj0=OqFf ea0dXdd9vspGe9FjuP0=fs0xXdbba9pGe9xq=Jbba9suk9fr=xfr=x frpeWZqaaeaabiGaaiaadaqabeaabeqacqaaaOqaaiaadkhacqGH9a qpcaaIWaaaaa@3AEC@ . Далее можно вычислить координаты солитона в любой момент времени. Действительно, если r T MathType@MTEF@5@5@+= feaahGart1ev3aqatCvAUfeBSjuyZL2yd9gzLbvyNv2Caerbov2D09 MBdbqedmvETj2BSbqeduuDJXwAKbYu51MyVXgarqqr1ngBPrgifHhD YfgasaacHOWxg9qrFfeu0dXdh9vqqj=hEeeu0xXdbba9frFj0=OqFf ea0dXdd9vspGe9FjuP0=fs0xXdbba9pGe9xq=Jbba9suk9fr=xfr=x frpeWZqaaeaabiGaaiaadaqabeaabeqacqaaaOqaaiaadkhadaqada qaaiaadsfaaiaawIcacaGLPaaaaaa@3B8E@  - расстояние от источника до пика солитона в момент времени T MathType@MTEF@5@5@+= feaahGart1ev3aqatCvAUfeBSjuyZL2yd9gzLbvyNv2Caerbov2D09 MBdbqedmvETj2BSbqeduuDJXwAKbYu51MyVXgarqqr1ngBPrgifHhD YfgasaacHOWxg9qrFfeu0dXdh9vqqj=hEeeu0xXdbba9frFj0=OqFf ea0dXdd9vspGe9FjuP0=fs0xXdbba9pGe9xq=Jbba9suk9fr=xfr=x frpeWZqaaeaabiGaaiaadaqabeaabeqacqaaaOqaaiaadsfaaaa@390E@ , то r T = T 0 T v T dT MathType@MTEF@5@5@+= feaahGart1ev3aqatCvAUfeBSjuyZL2yd9gzLbvyNv2Caerbov2D09 MBdbqedmvETj2BSbqeduuDJXwAKbYu51MyVXgarqqr1ngBPrgifHhD YfgasaacHOWxg9qrFfeu0dXdh9vqqj=hEeeu0xXdbba9frFj0=OqFf ea0dXdd9vspGe9FjuP0=fs0xXdbba9pGe9xq=Jbba9suk9fr=xfr=x frpeWZqaaeaabiGaaiaadaqabeaabeqacqaaaOqaaiaadkhadaqada qaaiaadsfaaiaawIcacaGLPaaacqGH9aqpdaWdXaqaaiaadAhadaqa daqaaiaadsfaaiaawIcacaGLPaaacaWGKbGaamivaaWcbaGaamivam aaBaaameaacaaIWaaabeaaaSqaaiaadsfaa0Gaey4kIipaaaa@4680@ .

2. Эксперимент ASIAEX

2.1. Океанографическая ситуация

На рис. 4 показана схема эксперимента ASIAEX, в котором были установлены две стационарные акустические трассы, называемые далее: трасса 1 и трасса 2. Трассы образованы источниками звуковых сигналов S1, S2 и вертикальной приемной антенной VLA.

Трасса 1 (S1-VLA) длиной 32 км была ориентирована примерно перпендикулярно бровке шельфа и состояла из двух участков: глубоководного участка (длиной 25 км с плавным изменением глубины от 350 до 200 м при средней глубине 280 м) и мелководного участка (длиной 6 км с плавным изменением глубины от 150 до 120 м при средней глубине 130 м). Граница между глубоководным и мелководным участками длиной 1 км (край бровки шельфа) характеризовалась резким изменением глубины от 200 до 150 м.

Трасса 2 (S2-VLA) длиной 19 км проходила по верхнему краю бровки шельфа и имела в среднем постоянную глубину, равную 130 м.

Вдоль рассматриваемых трасс были установлены пять вертикальных термисторных цепочек E1-E5. Цепочки изображены красными точками на рис. 4, расположение всех элементов соответствует реальным координатам. Как видно из рис. 4, число элементов в цепочках варьируется от 4 до 9, а их расположение по вертикали неравномерное. Цепочка Е3 и антенна VLA находятся на одной вертикали. Цепочка E2 установлена на нижнем крае бровки шельфа и практически идеально совпадает с линией трассы 1. Цепочки E1 и Е4 расположены на расстоянии 590 и 290 м от источников S1 и S2 соответственно. Однако ориентация этих цепочек относительно источников такова, что фронт солитона практически одновременно проходит через точки (Е1, S1) и (Е4, S2). Расхождение составляет около 1 мин. Поэтому в дальнейшем удобно считать, что термисторные цепочки Е1 и Е4 фиксируют показания температуры на вертикали источников S1 и S2.

На рис. 5 показаны записи, полученные на цепочках Е1-Е4 в течение времени 04:00-16:00, 07.05.2001. При этом значения температуры пересчитаны в скорость звука согласно методике, изложенной в [19]. На всех записях хорошо виден солитон, последовательно приходящий на цепочки после относительного затишья. Сначала солитон приходит на цепочку E1 в момент времени 07:54. Затем он движется по трассе 1 и в 11:50 приходит на цепочку Е2. Почти одновременно, в 11:53, солитон заступает на трассу 2 (на цепочку Е4) другим концом своего фронта. В дальнейшем солитон перемещается по обеим трассам и в 13:48 проходит точку соединения трасс 1 и 2 (цепочку Е3). Таким образом, полное время движения солитона составляет почти 6 часов (5 часов 54 мин) по трассе 1, и почти 2 часа (1 час 55 мин) по трассе 2. В процессе движения по трассе 1 амплитуда солитона непрерывно уменьшается. Она принимает значения 125, 85, 55 м в точках E1, E2, E3. На трассе 2 амплитуда солитона постоянна и равна 55 м.

 

Рис. 5. Записи на термисторных цепочках E1–E4 (07.05.2001), пересчитанные в скорость звука. Каждая панель по вертикали соответствует глубине моря. Горизонтальные пунктиры показывают границы цепочек. Значения выше и ниже этих границ восстановлены по невозмущенному профилю скорости звука (рис. 4г). Вертикальные пунктиры показывают времена прихода солитона на цепочки.

 

В табл. 1 приведены основные параметры эксперимента. Используя географические координаты и формулу Винсенти (Vincenty) [23], найдем расстояния с точностью до метра, которые необходимы для дальнейших расчетов:

R 1 = MathType@MTEF@5@5@+= feaahGart1ev3aqatCvAUfeBSjuyZL2yd9gzLbvyNv2Caerbov2D09 MBdbqedmvETj2BSbqeduuDJXwAKbYu51MyVXgarqqr1ngBPrgifHhD YfgasaacHOWxg9qrFfeu0dXdh9vqqj=hEeeu0xXdbba9frFj0=OqFf ea0dXdd9vspGe9FjuP0=fs0xXdbba9pGe9xq=Jbba9suk9fr=xfr=x frpeWZqaaeaabiGaaiaadaqabeaabeqacqaaaOqaaiaadkfadaWgaa WcbaGaaGymaaqabaGccqGH9aqpaaa@3B03@  31597 м - длина трассы 1 (S1-VLA),

R 2 = MathType@MTEF@5@5@+= feaahGart1ev3aqatCvAUfeBSjuyZL2yd9gzLbvyNv2Caerbov2D09 MBdbqedmvETj2BSbqeduuDJXwAKbYu51MyVXgarqqr1ngBPrgifHhD YfgasaacHOWxg9qrFfeu0dXdh9vqqj=hEeeu0xXdbba9frFj0=OqFf ea0dXdd9vspGe9FjuP0=fs0xXdbba9pGe9xq=Jbba9suk9fr=xfr=x frpeWZqaaeaabiGaaiaadaqabeaabeqacqaaaOqaaiaadkfadaWgaa WcbaGaaGOmaaqabaGccqGH9aqpaaa@3B04@  19006 м - длина трассы 2 (S2-VLA),

R 12 = MathType@MTEF@5@5@+= feaahGart1ev3aqatCvAUfeBSjuyZL2yd9gzLbvyNv2Caerbov2D09 MBdbqedmvETj2BSbqeduuDJXwAKbYu51MyVXgarqqr1ngBPrgifHhD YfgasaacHOWxg9qrFfeu0dXdh9vqqj=hEeeu0xXdbba9frFj0=OqFf ea0dXdd9vspGe9FjuP0=fs0xXdbba9pGe9xq=Jbba9suk9fr=xfr=x frpeWZqaaeaabiGaaiaadaqabeaabeqacqaaaOqaaiaadkfadaWgaa WcbaGaaGymaiaaikdaaeqaaOGaeyypa0daaa@3BBF@  24838 м - расстояние S1-E2,

R 23 = MathType@MTEF@5@5@+= feaahGart1ev3aqatCvAUfeBSjuyZL2yd9gzLbvyNv2Caerbov2D09 MBdbqedmvETj2BSbqeduuDJXwAKbYu51MyVXgarqqr1ngBPrgifHhD YfgasaacHOWxg9qrFfeu0dXdh9vqqj=hEeeu0xXdbba9frFj0=OqFf ea0dXdd9vspGe9FjuP0=fs0xXdbba9pGe9xq=Jbba9suk9fr=xfr=x frpeWZqaaeaabiGaaiaadaqabeaabeqacqaaaOqaaiaadkfadaWgaa WcbaGaaGOmaiaaiodaaeqaaOGaeyypa0daaa@3BC1@  6759 м - расстояние E2-VLA.

Вычислим среднюю экспериментальную скорость солитона на двух участках трассы 1 и на трассе 2:

v ¯ 1 r = R 12 / T 2 T 1 MathType@MTEF@5@5@+= feaahGart1ev3aqatCvAUfeBSjuyZL2yd9gzLbvyNv2Caerbov2D09 MBdbqedmvETj2BSbqeduuDJXwAKbYu51MyVXgarqqr1ngBPrgifHhD YfgasaacHOWxg9qrFfeu0dXdh9vqqj=hEeeu0xXdbba9frFj0=OqFf ea0dXdd9vspGe9FjuP0=fs0xXdbba9pGe9xq=Jbba9suk9fr=xfr=x frpeWZqaaeaabiGaaiaadaqabeaabeqacqaaaOqaaiqadAhagaqeam aaBaaaleaacaaIXaaabeaakmaabmaabaGaamOCaaGaayjkaiaawMca aiabg2da9maalyaabaGaamOuamaaBaaaleaacaaIXaGaaGOmaaqaba aakeaadaqadaqaaiaadsfadaWgaaWcbaGaaGOmaaqabaGccqGHsisl caWGubWaaSbaaSqaaiaaigdaaeqaaaGccaGLOaGaayzkaaaaaiabgI Ki7caa@4815@  1.75 м/с, 0r R 12 MathType@MTEF@5@5@+= feaahGart1ev3aqatCvAUfeBSjuyZL2yd9gzLbvyNv2Caerbov2D09 MBdbqedmvETj2BSbqeduuDJXwAKbYu51MyVXgarqqr1ngBPrgifHhD YfgasaacHOWxg9qrFfeu0dXdh9vqqj=hEeeu0xXdbba9frFj0=OqFf ea0dXdd9vspGe9FjuP0=fs0xXdbba9pGe9xq=Jbba9suk9fr=xfr=x frpeWZqaaeaabiGaaiaadaqabeaabeqacqaaaOqaaiaaicdacqGHKj YOcaWGYbGaeyizImQaamOuamaaBaaaleaacaaIXaGaaGOmaaqabaaa aa@3FCA@ ,

v ¯ 1 r = R 23 / T 3 T 2 MathType@MTEF@5@5@+= feaahGart1ev3aqatCvAUfeBSjuyZL2yd9gzLbvyNv2Caerbov2D09 MBdbqedmvETj2BSbqeduuDJXwAKbYu51MyVXgarqqr1ngBPrgifHhD YfgasaacHOWxg9qrFfeu0dXdh9vqqj=hEeeu0xXdbba9frFj0=OqFf ea0dXdd9vspGe9FjuP0=fs0xXdbba9pGe9xq=Jbba9suk9fr=xfr=x frpeWZqaaeaabiGaaiaadaqabeaabeqacqaaaOqaaiqadAhagaqeam aaBaaaleaacaaIXaaabeaakmaabmaabaGaamOCaaGaayjkaiaawMca aiabg2da9maalyaabaGaamOuamaaBaaaleaacaaIYaGaaG4maaqaba aakeaadaqadaqaaiaadsfadaWgaaWcbaGaaG4maaqabaGccqGHsisl caWGubWaaSbaaSqaaiaaikdaaeqaaaGccaGLOaGaayzkaaaaaiabgI Ki7caa@4819@  0.95 м/с, R 12 r R 1 MathType@MTEF@5@5@+= feaahGart1ev3aqatCvAUfeBSjuyZL2yd9gzLbvyNv2Caerbov2D09 MBdbqedmvETj2BSbqeduuDJXwAKbYu51MyVXgarqqr1ngBPrgifHhD YfgasaacHOWxg9qrFfeu0dXdh9vqqj=hEeeu0xXdbba9frFj0=OqFf ea0dXdd9vspGe9FjuP0=fs0xXdbba9pGe9xq=Jbba9suk9fr=xfr=x frpeWZqaaeaabiGaaiaadaqabeaabeqacqaaaOqaaiaadkfadaWgaa WcbaGaaGymaiaaikdaaeqaaOGaeyizImQaamOCaiabgsMiJkaadkfa daWgaaWcbaGaaGymaaqabaaaaa@40D8@ ,

v ¯ 2 r = R 2 / T 3 T 4 MathType@MTEF@5@5@+= feaahGart1ev3aqatCvAUfeBSjuyZL2yd9gzLbvyNv2Caerbov2D09 MBdbqedmvETj2BSbqeduuDJXwAKbYu51MyVXgarqqr1ngBPrgifHhD YfgasaacHOWxg9qrFfeu0dXdh9vqqj=hEeeu0xXdbba9frFj0=OqFf ea0dXdd9vspGe9FjuP0=fs0xXdbba9pGe9xq=Jbba9suk9fr=xfr=x frpeWZqaaeaabiGaaiaadaqabeaabeqacqaaaOqaaiqadAhagaqeam aaBaaaleaacaaIYaaabeaakmaabmaabaGaamOCaaGaayjkaiaawMca aiabg2da9maalyaabaGaamOuamaaBaaaleaacaaIYaaabeaaaOqaam aabmaabaGaamivamaaBaaaleaacaaIZaaabeaakiabgkHiTiaadsfa daWgaaWcbaGaaGinaaqabaaakiaawIcacaGLPaaaaaGaeyisISlaaa@475F@  2.75 м/с, 0r R 2 MathType@MTEF@5@5@+= feaahGart1ev3aqatCvAUfeBSjuyZL2yd9gzLbvyNv2Caerbov2D09 MBdbqedmvETj2BSbqeduuDJXwAKbYu51MyVXgarqqr1ngBPrgifHhD YfgasaacHOWxg9qrFfeu0dXdh9vqqj=hEeeu0xXdbba9frFj0=OqFf ea0dXdd9vspGe9FjuP0=fs0xXdbba9pGe9xq=Jbba9suk9fr=xfr=x frpeWZqaaeaabiGaaiaadaqabeaabeqacqaaaOqaaiaaicdacqGHKj YOcaWGYbGaeyizImQaamOuamaaBaaaleaacaaIYaaabeaaaaa@3F0F@ ,

где r MathType@MTEF@5@5@+= feaahGart1ev3aqatCvAUfeBSjuyZL2yd9gzLbvyNv2Caerbov2D09 MBdbqedmvETj2BSbqeduuDJXwAKbYu51MyVXgarqqr1ngBPrgifHhD YfgasaacHOWxg9qrFfeu0dXdh9vqqj=hEeeu0xXdbba9frFj0=OqFf ea0dXdd9vspGe9FjuP0=fs0xXdbba9pGe9xq=Jbba9suk9fr=xfr=x frpeWZqaaeaabiGaaiaadaqabeaabeqacqaaaOqaaiaadkhaaaa@392C@  - расстояние от источника до солитона на данной трассе.

 

Таблица 1. Основные параметры эксперимента (07.05.2001).

 

Широта

Долгота

Глубина

моря, м

Солитон

Время прихода, час:мин

Амплитуда, м

S1

21°36.570´N

117°16.858´E

345.8

T1=07:54

125

E1

21°36.871´N

117°16.975´E

350

125

S2

21°56.486´N

117°21.388´E

114.3

T4=11:53

55

E4

21°56.357´N

117°21.290´E

111.7

55

E2

21°49.346´N

117°12.328´E

202

T2=11:50

85

E3, VLA

21°52.8168´N

117°11.0755´E

124.5

T3=13:48

55

E5

21°53.944´N

117°10.619´E

120

T5=14:28

55

 

Отметим, что уменьшение средней глубины на двух участках трассы 1 примерно в 2 раза привело к уменьшению средней экспериментальной скорости солитона в 1.8 раза.

2.2. Теоретическая скорость солитона

Получим теоретическую скорость солитона на трассах v 1,2 t r MathType@MTEF@5@5@+= feaahGart1ev3aqatCvAUfeBSjuyZL2yd9gzLbvyNv2Caerbov2D09 MBdbqedmvETj2BSbqeduuDJXwAKbYu51MyVXgarqqr1ngBPrgifHhD YfgasaacHOWxg9qrFfeu0dXdh9vqqj=hEeeu0xXdbba9frFj0=OqFf ea0dXdd9vspGe9FjuP0=fs0xXdbba9pGe9xq=Jbba9suk9fr=xfr=x frpeWZqaaeaabiGaaiaadaqabeaabeqacqaaaOqaaiaadAhadaqhaa WcbaGaaGymaiaacYcacaaIYaaabaGaamiDaaaakmaabmaabaGaamOC aaGaayjkaiaawMcaaaaa@3F07@ , необходимую для дальнейших расчетов. Для этого воспользуемся зависимостью скорости солитона от глубины H r MathType@MTEF@5@5@+= feaahGart1ev3aqatCvAUfeBSjuyZL2yd9gzLbvyNv2Caerbov2D09 MBdbqedmvETj2BSbqeduuDJXwAKbYu51MyVXgarqqr1ngBPrgifHhD YfgasaacHOWxg9qrFfeu0dXdh9vqqj=hEeeu0xXdbba9frFj0=OqFf ea0dXdd9vspGe9FjuP0=fs0xXdbba9pGe9xq=Jbba9suk9fr=xfr=x frpeWZqaaeaabiGaaiaadaqabeaabeqacqaaaOqaaiaadIeadaqada qaaiaadkhaaiaawIcacaGLPaaaaaa@3B82@ , которая получена в рамках двухслойной модели водной среды (два слоя разной плотности) [24]. Опуская нижний индекс, характеризующий номер трассы, имеем

v t r = g h H r h H r MathType@MTEF@5@5@+= feaahGart1ev3aqatCvAUfeBSjuyZL2yd9gzLbvyNv2Caerbov2D09 MBdbqedmvETj2BSbqeduuDJXwAKbYu51MyVXgarqqr1ngBPrgifHhD YfgasaacHOWxg9qrFfeu0dXdh9vqqj=hEeeu0xXdbba9frFj0=OqFf ea0dXdd9vspGe9FjuP0=fs0xXdbba9pGe9xq=Jbba9suk9fr=xfr=x frpeWZqaaeaabiGaaiaadaqabeaabeqacqaaaOqaaiaadAhadaahaa WcbeqaaiaadshaaaGcdaqadaqaaiaadkhaaiaawIcacaGLPaaacqGH 9aqpdaGcaaqaamaalaaabaGabm4zayaafaGaamiAamaabmaabaGaam isamaabmaabaGaamOCaaGaayjkaiaawMcaaiabgkHiTiaadIgaaiaa wIcacaGLPaaaaeaacaWGibWaaeWaaeaacaWGYbaacaGLOaGaayzkaa aaaaWcbeaaaaa@49F3@ ,             (12)

где h MathType@MTEF@5@5@+= feaahGart1ev3aqatCvAUfeBSjuyZL2yd9gzLbvyNv2Caerbov2D09 MBdbqedmvETj2BSbqeduuDJXwAKbYu51MyVXgarqqr1ngBPrgifHhD YfgasaacHOWxg9qrFfeu0dXdh9vqqj=hEeeu0xXdbba9frFj0=OqFf ea0dXdd9vspGe9FjuP0=fs0xXdbba9pGe9xq=Jbba9suk9fr=xfr=x frpeWZqaaeaabiGaaiaadaqabeaabeqacqaaaOqaaiaadIgaaaa@3922@  - толщина верхнего слоя, g = cos 2 α g Δρ/ρ MathType@MTEF@5@5@+= feaahGart1ev3aqatCvAUfeBSjuyZL2yd9gzLbvyNv2Caerbov2D09 MBdbqedmvETj2BSbqeduuDJXwAKbYu51MyVXgarqqr1ngBPrgifHhD YfgasaacHOWxg9qrFfeu0dXdh9vqqj=hEeeu0xXdbba9frFj0=OqFf ea0dXdd9vspGe9FjuP0=fs0xXdbba9pGe9xq=Jbba9suk9fr=xfr=x frpeWZqaaeaabiGaaiaadaqabeaabeqacqaaaOqaaiqadEgagaqbai abg2da9iGacogacaGGVbGaai4CamaaCaaaleqabaGaeyOeI0IaaGOm aaaakiqbeg7aHzaafaGaeyyXICTaam4zamaalyaabaGaeuiLdqKaeq yWdihabaGaeqyWdihaaaaa@48C3@  - уменьшенное значение ускорения свободного падения, α MathType@MTEF@5@5@+= feaahGart1ev3aqatCvAUfeBSjuyZL2yd9gzLbvyNv2Caerbov2D09 MBdbqedmvETj2BSbqeduuDJXwAKbYu51MyVXgarqqr1ngBPrgifHhD YfgasaacHOWxg9qrFfeu0dXdh9vqqj=hEeeu0xXdbba9frFj0=OqFf ea0dXdd9vspGe9FjuP0=fs0xXdbba9pGe9xq=Jbba9suk9fr=xfr=x frpeWZqaaeaabiGaaiaadaqabeaabeqacqaaaOqaaiqbeg7aHzaafa aaaa@39E0@  - угол между вектором скорости фронта солитона и направлением трассы источник-приемник, g= MathType@MTEF@5@5@+= feaahGart1ev3aqatCvAUfeBSjuyZL2yd9gzLbvyNv2Caerbov2D09 MBdbqedmvETj2BSbqeduuDJXwAKbYu51MyVXgarqqr1ngBPrgifHhD YfgasaacHOWxg9qrFfeu0dXdh9vqqj=hEeeu0xXdbba9frFj0=OqFf ea0dXdd9vspGe9FjuP0=fs0xXdbba9pGe9xq=Jbba9suk9fr=xfr=x frpeWZqaaeaabiGaaiaadaqabeaabeqacqaaaOqaaiaadEgacqGH9a qpaaa@3A27@  10 м/с2, Δρ/ρ MathType@MTEF@5@5@+= feaahGart1ev3aqatCvAUfeBSjuyZL2yd9gzLbvyNv2Caerbov2D09 MBdbqedmvETj2BSbqeduuDJXwAKbYu51MyVXgarqqr1ngBPrgifHhD YfgasaacHOWxg9qrFfeu0dXdh9vqqj=hEeeu0xXdbba9frFj0=OqFf ea0dXdd9vspGe9FjuP0=fs0xXdbba9pGe9xq=Jbba9suk9fr=xfr=x frpeWZqaaeaabiGaaiaadaqabeaabeqacqaaaOqaamaalyaabaGaeu iLdqKaeqyWdihabaGaeqyWdihaaaaa@3D31@  - относительное отличие плотности слоев воды. Заметим, что в отличие от [24] в коэффициент g MathType@MTEF@5@5@+= feaahGart1ev3aqatCvAUfeBSjuyZL2yd9gzLbvyNv2Caerbov2D09 MBdbqedmvETj2BSbqeduuDJXwAKbYu51MyVXgarqqr1ngBPrgifHhD YfgasaacHOWxg9qrFfeu0dXdh9vqqj=hEeeu0xXdbba9frFj0=OqFf ea0dXdd9vspGe9FjuP0=fs0xXdbba9pGe9xq=Jbba9suk9fr=xfr=x frpeWZqaaeaabiGaaiaadaqabeaabeqacqaaaOqaaiqadEgagaqbaa aa@392D@  введен множитель cos 2 α MathType@MTEF@5@5@+= feaahGart1ev3aqatCvAUfeBSjuyZL2yd9gzLbvyNv2Caerbov2D09 MBdbqedmvETj2BSbqeduuDJXwAKbYu51MyVXgarqqr1ngBPrgifHhD YfgasaacHOWxg9qrFfeu0dXdh9vqqj=hEeeu0xXdbba9frFj0=OqFf ea0dXdd9vspGe9FjuP0=fs0xXdbba9pGe9xq=Jbba9suk9fr=xfr=x frpeWZqaaeaabiGaaiaadaqabeaabeqacqaaaOqaaiGacogacaGGVb Gaai4CamaaCaaaleqabaGaeyOeI0IaaGOmaaaakiqbeg7aHzaafaaa aa@3E93@ , поскольку нас интересует скорость солитона вдоль трассы.

Применим эту модель к нашему случаю, считая h MathType@MTEF@5@5@+= feaahGart1ev3aqatCvAUfeBSjuyZL2yd9gzLbvyNv2Caerbov2D09 MBdbqedmvETj2BSbqeduuDJXwAKbYu51MyVXgarqqr1ngBPrgifHhD YfgasaacHOWxg9qrFfeu0dXdh9vqqj=hEeeu0xXdbba9frFj0=OqFf ea0dXdd9vspGe9FjuP0=fs0xXdbba9pGe9xq=Jbba9suk9fr=xfr=x frpeWZqaaeaabiGaaiaadaqabeaabeqacqaaaOqaaiaadIgaaaa@3922@  и g MathType@MTEF@5@5@+= feaahGart1ev3aqatCvAUfeBSjuyZL2yd9gzLbvyNv2Caerbov2D09 MBdbqedmvETj2BSbqeduuDJXwAKbYu51MyVXgarqqr1ngBPrgifHhD YfgasaacHOWxg9qrFfeu0dXdh9vqqj=hEeeu0xXdbba9frFj0=OqFf ea0dXdd9vspGe9FjuP0=fs0xXdbba9pGe9xq=Jbba9suk9fr=xfr=x frpeWZqaaeaabiGaaiaadaqabeaabeqacqaaaOqaaiqadEgagaqbaa aa@392D@  подгоночными коэффициентами, подлежащими определению. Определение коэффициентов для трассы 1 будем строить на минимизации невязки

  σ 1 h, g = T 12 T 12 2 + T 23 T 23 2 MathType@MTEF@5@5@+= feaahGart1ev3aqatCvAUfeBSjuyZL2yd9gzLbvyNv2Caerbov2D09 MBdbqedmvETj2BSbqeduuDJXwAKbYu51MyVXgarqqr1ngBPrgifHhD YfgasaacHOWxg9qrFfeu0dXdh9vqqj=hEeeu0xXdbba9frFj0=OqFf ea0dXdd9vspGe9FjuP0=fs0xXdbba9pGe9xq=Jbba9suk9fr=xfr=x frpeWZqaaeaabiGaaiaadaqabeaabeqacqaaaOqaaiabeo8aZnaaBa aaleaacaaIXaaabeaakmaabmaabaGaamiAaiaacYcaceWGNbGbauaa aiaawIcacaGLPaaacqGH9aqpdaGcaaqaamaabmaabaGaamivamaaBa aaleaacaaIXaGaaGOmaaqabaGccqGHsislceWGubGbauaadaWgaaWc baGaaGymaiaaikdaaeqaaaGccaGLOaGaayzkaaWaaWbaaSqabeaaca aIYaaaaOGaey4kaSYaaeWaaeaacaWGubWaaSbaaSqaaiaaikdacaaI ZaaabeaakiabgkHiTiqadsfagaqbamaaBaaaleaacaaIYaGaaG4maa qabaaakiaawIcacaGLPaaadaahaaWcbeqaaiaaikdaaaaabeaaaaa@51FB@ , (13)

где T 12 = T 2 T 1 MathType@MTEF@5@5@+= feaahGart1ev3aqatCvAUfeBSjuyZL2yd9gzLbvyNv2Caerbov2D09 MBdbqedmvETj2BSbqeduuDJXwAKbYu51MyVXgarqqr1ngBPrgifHhD YfgasaacHOWxg9qrFfeu0dXdh9vqqj=hEeeu0xXdbba9frFj0=OqFf ea0dXdd9vspGe9FjuP0=fs0xXdbba9pGe9xq=Jbba9suk9fr=xfr=x frpeWZqaaeaabiGaaiaadaqabeaabeqacqaaaOqaaiaadsfadaWgaa WcbaGaaGymaiaaikdaaeqaaOGaeyypa0JaamivamaaBaaaleaacaaI YaaabeaakiabgkHiTiaadsfadaWgaaWcbaGaaGymaaqabaaaaa@4039@  и T 23 = T 3 T 2 MathType@MTEF@5@5@+= feaahGart1ev3aqatCvAUfeBSjuyZL2yd9gzLbvyNv2Caerbov2D09 MBdbqedmvETj2BSbqeduuDJXwAKbYu51MyVXgarqqr1ngBPrgifHhD YfgasaacHOWxg9qrFfeu0dXdh9vqqj=hEeeu0xXdbba9frFj0=OqFf ea0dXdd9vspGe9FjuP0=fs0xXdbba9pGe9xq=Jbba9suk9fr=xfr=x frpeWZqaaeaabiGaaiaadaqabeaabeqacqaaaOqaaiaadsfadaWgaa WcbaGaaGOmaiaaiodaaeqaaOGaeyypa0JaamivamaaBaaaleaacaaI ZaaabeaakiabgkHiTiaadsfadaWgaaWcbaGaaGOmaaqabaaaaa@403D@  - экспериментальное время прохождения расстояний между цепочками E1-Е2 и Е2-E3; T 12 = 0 R 12 v 1 t r 1 dr MathType@MTEF@5@5@+= feaahGart1ev3aqatCvAUfeBSjuyZL2yd9gzLbvyNv2Caerbov2D09 MBdbqedmvETj2BSbqeduuDJXwAKbYu51MyVXgarqqr1ngBPrgifHhD YfgasaacHOWxg9qrFfeu0dXdh9vqqj=hEeeu0xXdbba9frFj0=OqFf ea0dXdd9vspGe9FjuP0=fs0xXdbba9pGe9xq=Jbba9suk9fr=xfr=x frpeWZqaaeaabiGaaiaadaqabeaabeqacqaaaOqaaiqadsfagaqbam aaBaaaleaacaaIXaGaaGOmaaqabaGccqGH9aqpdaWdXaqaamaadmaa baGaamODamaaDaaaleaacaaIXaaabaGaamiDaaaakmaabmaabaGaam OCaaGaayjkaiaawMcaaaGaay5waiaaw2faamaaCaaaleqabaGaeyOe I0IaaGymaaaaaeaacaaIWaaabaGaamOuamaaBaaameaacaaIXaGaaG OmaaqabaaaniabgUIiYdGccaWGKbGaamOCaaaa@4C37@  и T 23 = R 12 R 1 v 1 t r 1 dr MathType@MTEF@5@5@+= feaahGart1ev3aqatCvAUfeBSjuyZL2yd9gzLbvyNv2Caerbov2D09 MBdbqedmvETj2BSbqeduuDJXwAKbYu51MyVXgarqqr1ngBPrgifHhD YfgasaacHOWxg9qrFfeu0dXdh9vqqj=hEeeu0xXdbba9frFj0=OqFf ea0dXdd9vspGe9FjuP0=fs0xXdbba9pGe9xq=Jbba9suk9fr=xfr=x frpeWZqaaeaabiGaaiaadaqabeaabeqacqaaaOqaaiqadsfagaqbam aaBaaaleaacaaIYaGaaG4maaqabaGccqGH9aqpdaWdXaqaamaadmaa baGaamODamaaDaaaleaacaaIXaaabaGaamiDaaaakmaabmaabaGaam OCaaGaayjkaiaawMcaaaGaay5waiaaw2faamaaCaaaleqabaGaeyOe I0IaaGymaaaaaeaacaWGsbWaaSbaaWqaaiaaigdacaaIYaaabeaaaS qaaiaadkfadaWgaaadbaGaaGymaaqabaaaniabgUIiYdGccaWGKbGa amOCaaaa@4D49@  - теоретическое время прохождения тех же расстояний, вычисленное c использованием (12) при заданных h MathType@MTEF@5@5@+= feaahGart1ev3aqatCvAUfeBSjuyZL2yd9gzLbvyNv2Caerbov2D09 MBdbqedmvETj2BSbqeduuDJXwAKbYu51MyVXgarqqr1ngBPrgifHhD YfgasaacHOWxg9qrFfeu0dXdh9vqqj=hEeeu0xXdbba9frFj0=OqFf ea0dXdd9vspGe9FjuP0=fs0xXdbba9pGe9xq=Jbba9suk9fr=xfr=x frpeWZqaaeaabiGaaiaadaqabeaabeqacqaaaOqaaiaadIgaaaa@3922@  и g MathType@MTEF@5@5@+= feaahGart1ev3aqatCvAUfeBSjuyZL2yd9gzLbvyNv2Caerbov2D09 MBdbqedmvETj2BSbqeduuDJXwAKbYu51MyVXgarqqr1ngBPrgifHhD YfgasaacHOWxg9qrFfeu0dXdh9vqqj=hEeeu0xXdbba9frFj0=OqFf ea0dXdd9vspGe9FjuP0=fs0xXdbba9pGe9xq=Jbba9suk9fr=xfr=x frpeWZqaaeaabiGaaiaadaqabeaabeqacqaaaOqaaiqadEgagaqbaa aa@392D@ . Для трассы 2 минимизируем невязку

σ 2 h, g = T 34 T 34 MathType@MTEF@5@5@+= feaahGart1ev3aqatCvAUfeBSjuyZL2yd9gzLbvyNv2Caerbov2D09 MBdbqedmvETj2BSbqeduuDJXwAKbYu51MyVXgarqqr1ngBPrgifHhD YfgasaacHOWxg9qrFfeu0dXdh9vqqj=hEeeu0xXdbba9frFj0=OqFf ea0dXdd9vspGe9FjuP0=fs0xXdbba9pGe9xq=Jbba9suk9fr=xfr=x frpeWZqaaeaabiGaaiaadaqabeaabeqacqaaaOqaaiabeo8aZnaaBa aaleaacaaIYaaabeaakmaabmaabaGaamiAaiaacYcaceWGNbGbauaa aiaawIcacaGLPaaacqGH9aqpdaabdaqaaiaadsfadaWgaaWcbaGaaG 4maiaaisdaaeqaaOGaeyOeI0IabmivayaafaWaaSbaaSqaaiaaioda caaI0aaabeaaaOGaay5bSlaawIa7aaaa@493D@ ,    (14)

где T 34 = T 3 T 4 MathType@MTEF@5@5@+= feaahGart1ev3aqatCvAUfeBSjuyZL2yd9gzLbvyNv2Caerbov2D09 MBdbqedmvETj2BSbqeduuDJXwAKbYu51MyVXgarqqr1ngBPrgifHhD YfgasaacHOWxg9qrFfeu0dXdh9vqqj=hEeeu0xXdbba9frFj0=OqFf ea0dXdd9vspGe9FjuP0=fs0xXdbba9pGe9xq=Jbba9suk9fr=xfr=x frpeWZqaaeaabiGaaiaadaqabeaabeqacqaaaOqaaiaadsfadaWgaa WcbaGaaG4maiaaisdaaeqaaOGaeyypa0JaamivamaaBaaaleaacaaI ZaaabeaakiabgkHiTiaadsfadaWgaaWcbaGaaGinaaqabaaaaa@4041@  - экспериментальное время прохождения расстояния между цепочками E3-E4, T 34 = 0 R 2 v 2 t r 1 dr MathType@MTEF@5@5@+= feaahGart1ev3aqatCvAUfeBSjuyZL2yd9gzLbvyNv2Caerbov2D09 MBdbqedmvETj2BSbqeduuDJXwAKbYu51MyVXgarqqr1ngBPrgifHhD YfgasaacHOWxg9qrFfeu0dXdh9vqqj=hEeeu0xXdbba9frFj0=OqFf ea0dXdd9vspGe9FjuP0=fs0xXdbba9pGe9xq=Jbba9suk9fr=xfr=x frpeWZqaaeaabiGaaiaadaqabeaabeqacqaaaOqaaiqadsfagaqbam aaBaaaleaacaaIZaGaaGinaaqabaGccqGH9aqpdaWdXaqaamaadmaa baGaamODamaaDaaaleaacaaIYaaabaGaamiDaaaakmaabmaabaGaam OCaaGaayjkaiaawMcaaaGaay5waiaaw2faamaaCaaaleqabaGaeyOe I0IaaGymaaaaaeaacaaIWaaabaGaamOuamaaBaaameaacaaIYaaabe aaa0Gaey4kIipakiaadsgacaWGYbaaaa@4B81@  - теоретическое время прохождения того же расстояния.

Вычисления дают минимумы невязок при следующих коэффициентах:

трасса 1: h= MathType@MTEF@5@5@+= feaahGart1ev3aqatCvAUfeBSjuyZL2yd9gzLbvyNv2Caerbov2D09 MBdbqedmvETj2BSbqeduuDJXwAKbYu51MyVXgarqqr1ngBPrgifHhD YfgasaacHOWxg9qrFfeu0dXdh9vqqj=hEeeu0xXdbba9frFj0=OqFf ea0dXdd9vspGe9FjuP0=fs0xXdbba9pGe9xq=Jbba9suk9fr=xfr=x frpeWZqaaeaabiGaaiaadaqabeaabeqacqaaaOqaaiaadIgacqGH9a qpaaa@3A28@  108.88 м, g = MathType@MTEF@5@5@+= feaahGart1ev3aqatCvAUfeBSjuyZL2yd9gzLbvyNv2Caerbov2D09 MBdbqedmvETj2BSbqeduuDJXwAKbYu51MyVXgarqqr1ngBPrgifHhD YfgasaacHOWxg9qrFfeu0dXdh9vqqj=hEeeu0xXdbba9frFj0=OqFf ea0dXdd9vspGe9FjuP0=fs0xXdbba9pGe9xq=Jbba9suk9fr=xfr=x frpeWZqaaeaabiGaaiaadaqabeaabeqacqaaaOqaaiqadEgagaqbai abg2da9aaa@3A33@  0.04735 м/с2;

трасса 2: h= MathType@MTEF@5@5@+= feaahGart1ev3aqatCvAUfeBSjuyZL2yd9gzLbvyNv2Caerbov2D09 MBdbqedmvETj2BSbqeduuDJXwAKbYu51MyVXgarqqr1ngBPrgifHhD YfgasaacHOWxg9qrFfeu0dXdh9vqqj=hEeeu0xXdbba9frFj0=OqFf ea0dXdd9vspGe9FjuP0=fs0xXdbba9pGe9xq=Jbba9suk9fr=xfr=x frpeWZqaaeaabiGaaiaadaqabeaabeqacqaaaOqaaiaadIgacqGH9a qpaaa@3A28@  84.728 м, g = MathType@MTEF@5@5@+= feaahGart1ev3aqatCvAUfeBSjuyZL2yd9gzLbvyNv2Caerbov2D09 MBdbqedmvETj2BSbqeduuDJXwAKbYu51MyVXgarqqr1ngBPrgifHhD YfgasaacHOWxg9qrFfeu0dXdh9vqqj=hEeeu0xXdbba9frFj0=OqFf ea0dXdd9vspGe9FjuP0=fs0xXdbba9pGe9xq=Jbba9suk9fr=xfr=x frpeWZqaaeaabiGaaiaadaqabeaabeqacqaaaOqaaiqadEgagaqbai abg2da9aaa@3A33@  0.25567 м/с2.

При этом расхождения между экспериментальными и теоретическими временами прихода на цепочки составляют менее одной секунды.

Стоит отметить, что локализация минимума при использовании трех цепочек на трассе 1 гораздо лучше, чем при использовании двух цепочек на трассе 2. Заметим также, что в [19], где впервые была применена данная методика для расчета теоретической скорости солитона на трассе 1, вместо цепочки Е3 использовалась цепочка Е5. Полученные при этом коэффициенты h MathType@MTEF@5@5@+= feaahGart1ev3aqatCvAUfeBSjuyZL2yd9gzLbvyNv2Caerbov2D09 MBdbqedmvETj2BSbqeduuDJXwAKbYu51MyVXgarqqr1ngBPrgifHhD YfgasaacHOWxg9qrFfeu0dXdh9vqqj=hEeeu0xXdbba9frFj0=OqFf ea0dXdd9vspGe9FjuP0=fs0xXdbba9pGe9xq=Jbba9suk9fr=xfr=x frpeWZqaaeaabiGaaiaadaqabeaabeqacqaaaOqaaiaadIgaaaa@3922@  и g MathType@MTEF@5@5@+= feaahGart1ev3aqatCvAUfeBSjuyZL2yd9gzLbvyNv2Caerbov2D09 MBdbqedmvETj2BSbqeduuDJXwAKbYu51MyVXgarqqr1ngBPrgifHhD YfgasaacHOWxg9qrFfeu0dXdh9vqqj=hEeeu0xXdbba9frFj0=OqFf ea0dXdd9vspGe9FjuP0=fs0xXdbba9pGe9xq=Jbba9suk9fr=xfr=x frpeWZqaaeaabiGaaiaadaqabeaabeqacqaaaOqaaiqadEgagaqbaa aa@392D@  отличаются от приведенных выше незначительно, а значения скорости v 1 t r MathType@MTEF@5@5@+= feaahGart1ev3aqatCvAUfeBSjuyZL2yd9gzLbvyNv2Caerbov2D09 MBdbqedmvETj2BSbqeduuDJXwAKbYu51MyVXgarqqr1ngBPrgifHhD YfgasaacHOWxg9qrFfeu0dXdh9vqqj=hEeeu0xXdbba9frFj0=OqFf ea0dXdd9vspGe9FjuP0=fs0xXdbba9pGe9xq=Jbba9suk9fr=xfr=x frpeWZqaaeaabiGaaiaadaqabeaabeqacqaaaOqaaiaadAhadaqhaa WcbaGaaGymaaqaaiaadshaaaGcdaqadaqaaiaadkhaaiaawIcacaGL Paaaaaa@3D9B@ , вычисленные согласно (12), практически не отличаются.

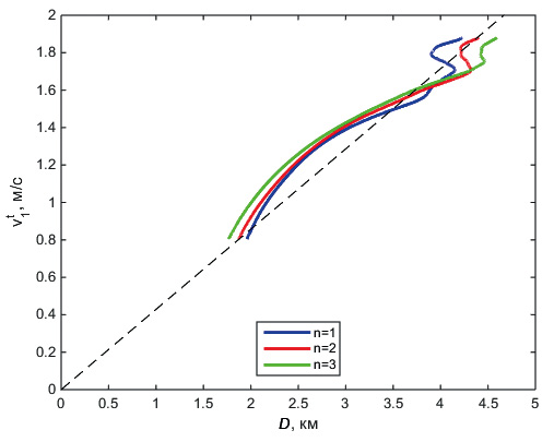
На рис. 6 для трасс 1 и 2 изображены средние экспериментальные v ¯ 1,2 r MathType@MTEF@5@5@+= feaahGart1ev3aqatCvAUfeBSjuyZL2yd9gzLbvyNv2Caerbov2D09 MBdbqedmvETj2BSbqeduuDJXwAKbYu51MyVXgarqqr1ngBPrgifHhD YfgasaacHOWxg9qrFfeu0dXdh9vqqj=hEeeu0xXdbba9frFj0=OqFf ea0dXdd9vspGe9FjuP0=fs0xXdbba9pGe9xq=Jbba9suk9fr=xfr=x frpeWZqaaeaabiGaaiaadaqabeaabeqacqaaaOqaaiqadAhagaqeam aaBaaaleaacaaIXaGaaiilaiaaikdaaeqaaOWaaeWaaeaacaWGYbaa caGLOaGaayzkaaaaaa@3E25@  и теоретические v 1,2 t r MathType@MTEF@5@5@+= feaahGart1ev3aqatCvAUfeBSjuyZL2yd9gzLbvyNv2Caerbov2D09 MBdbqedmvETj2BSbqeduuDJXwAKbYu51MyVXgarqqr1ngBPrgifHhD YfgasaacHOWxg9qrFfeu0dXdh9vqqj=hEeeu0xXdbba9frFj0=OqFf ea0dXdd9vspGe9FjuP0=fs0xXdbba9pGe9xq=Jbba9suk9fr=xfr=x frpeWZqaaeaabiGaaiaadaqabeaabeqacqaaaOqaaiaadAhadaqhaa WcbaGaaGymaiaacYcacaaIYaaabaGaamiDaaaakmaabmaabaGaamOC aaGaayjkaiaawMcaaaaa@3F07@  скорости солитона (соответственно черные и красные линии). Видно, что теоретические зависимости близки к средним экспериментальным и примерно повторяют глубинную зависимость H r MathType@MTEF@5@5@+= feaahGart1ev3aqatCvAUfeBSjuyZL2yd9gzLbvyNv2Caerbov2D09 MBdbqedmvETj2BSbqeduuDJXwAKbYu51MyVXgarqqr1ngBPrgifHhD YfgasaacHOWxg9qrFfeu0dXdh9vqqj=hEeeu0xXdbba9frFj0=OqFf ea0dXdd9vspGe9FjuP0=fs0xXdbba9pGe9xq=Jbba9suk9fr=xfr=x frpeWZqaaeaabiGaaiaadaqabeaabeqacqaaaOqaaiaadIeadaqada qaaiaadkhaaiaawIcacaGLPaaaaaa@3B82@  (рис. 4б и 4в). Синими линиями на рис. 6 изображены измеренные скорости солитона v 1,2 a r MathType@MTEF@5@5@+= feaahGart1ev3aqatCvAUfeBSjuyZL2yd9gzLbvyNv2Caerbov2D09 MBdbqedmvETj2BSbqeduuDJXwAKbYu51MyVXgarqqr1ngBPrgifHhD YfgasaacHOWxg9qrFfeu0dXdh9vqqj=hEeeu0xXdbba9frFj0=OqFf ea0dXdd9vspGe9FjuP0=fs0xXdbba9pGe9xq=Jbba9suk9fr=xfr=x frpeWZqaaeaabiGaaiaadaqabeaabeqacqaaaOqaaiaadAhadaqhaa WcbaGaaGymaiaacYcacaaIYaaabaGaamyyaaaakmaabmaabaGaamOC aaGaayjkaiaawMcaaaaa@3EF4@ . Эти скорости будут получены акустическим методом, о чем пойдет речь в разделе 2.6.

 

Рис. 6. Средняя экспериментальная, теоретическая и измеренная скорости солитона на трассах 1 и 2.

 

2.3. Флуктуации интенсивности звука

Приведем основные характеристики импульсных источников звука S1, S2 и приемной антенны VLA, используемых в эксперименте.

S1 - источник фазоманипулированных сигналов (М-последовательностей), излучающий в полосе 224 ± 8 Гц. Длительность одного импульса ≈2 мин (118.125 с), период следования 5 мин. Глубина источника 331.3 м при глубине моря 345.8 м.

S2 - источник линейно-частотно-модулированных (ЛЧМ) сигналов, излучающий в полосе 300 ± 30 Гц. Длительность одного импульса 2.048 с, период следования 4.096 с. Глубина источника 102.3 м при глубине моря 114.3 м.

VLA - вертикальная приемная антенна, состоящая из J= MathType@MTEF@5@5@+= feaahGart1ev3aqatCvAUfeBSjuyZL2yd9gzLbvyNv2Caerbov2D09 MBdbqedmvETj2BSbqeduuDJXwAKbYu51MyVXgarqqr1ngBPrgifHhD YfgasaacHOWxg9qrFfeu0dXdh9vqqj=hEeeu0xXdbba9frFj0=OqFf ea0dXdd9vspGe9FjuP0=fs0xXdbba9pGe9xq=Jbba9suk9fr=xfr=x frpeWZqaaeaabiGaaiaadaqabeaabeqacqaaaOqaaiaadQeacqGH9a qpaaa@3A0A@  16 гидрофонов. При нумерации гидрофонов сверху вниз: глубина верхнего гидрофона z 1 = MathType@MTEF@5@5@+= feaahGart1ev3aqatCvAUfeBSjuyZL2yd9gzLbvyNv2Caerbov2D09 MBdbqedmvETj2BSbqeduuDJXwAKbYu51MyVXgarqqr1ngBPrgifHhD YfgasaacHOWxg9qrFfeu0dXdh9vqqj=hEeeu0xXdbba9frFj0=OqFf ea0dXdd9vspGe9FjuP0=fs0xXdbba9pGe9xq=Jbba9suk9fr=xfr=x frpeWZqaaeaabiGaaiaadaqabeaabeqacqaaaOqaaiaadQhadaWgaa WcbaGaaGymaaqabaGccqGH9aqpaaa@3B2B@  42.75 м, глубина нижнего гидрофона z 16 = MathType@MTEF@5@5@+= feaahGart1ev3aqatCvAUfeBSjuyZL2yd9gzLbvyNv2Caerbov2D09 MBdbqedmvETj2BSbqeduuDJXwAKbYu51MyVXgarqqr1ngBPrgifHhD YfgasaacHOWxg9qrFfeu0dXdh9vqqj=hEeeu0xXdbba9frFj0=OqFf ea0dXdd9vspGe9FjuP0=fs0xXdbba9pGe9xq=Jbba9suk9fr=xfr=x frpeWZqaaeaabiGaaiaadaqabeaabeqacqaaaOqaaiaadQhadaWgaa WcbaGaaGymaiaaiAdaaeqaaOGaeyypa0daaa@3BEB@  121.5 м при глубине моря 124.5 м. Шаг между гидрофонами 1-10 равен 3.75 м. Шаг между гидрофонами 10-16 равен 7.5 м.

Обработка принятых сигналов на трассах 1 и 2 проводилась по одной и той же схеме. Пусть ΔT MathType@MTEF@5@5@+= feaahGart1ev3aqatCvAUfeBSjuyZL2yd9gzLbvyNv2Caerbov2D09 MBdbqedmvETj2BSbqeduuDJXwAKbYu51MyVXgarqqr1ngBPrgifHhD YfgasaacHOWxg9qrFfeu0dXdh9vqqj=hEeeu0xXdbba9frFj0=OqFf ea0dXdd9vspGe9FjuP0=fs0xXdbba9pGe9xq=Jbba9suk9fr=xfr=x frpeWZqaaeaabiGaaiaadaqabeaabeqacqaaaOqaaiabfs5aejaads faaaa@3A74@  - интервал следования импульсов, T MathType@MTEF@5@5@+= feaahGart1ev3aqatCvAUfeBSjuyZL2yd9gzLbvyNv2Caerbov2D09 MBdbqedmvETj2BSbqeduuDJXwAKbYu51MyVXgarqqr1ngBPrgifHhD YfgasaacHOWxg9qrFfeu0dXdh9vqqj=hEeeu0xXdbba9frFj0=OqFf ea0dXdd9vspGe9FjuP0=fs0xXdbba9pGe9xq=Jbba9suk9fr=xfr=x frpeWZqaaeaabiGaaiaadaqabeaabeqacqaaaOqaaiaadsfaaaa@390E@  - “большое” время, отсчитываемое через интервалы ΔT MathType@MTEF@5@5@+= feaahGart1ev3aqatCvAUfeBSjuyZL2yd9gzLbvyNv2Caerbov2D09 MBdbqedmvETj2BSbqeduuDJXwAKbYu51MyVXgarqqr1ngBPrgifHhD YfgasaacHOWxg9qrFfeu0dXdh9vqqj=hEeeu0xXdbba9frFj0=OqFf ea0dXdd9vspGe9FjuP0=fs0xXdbba9pGe9xq=Jbba9suk9fr=xfr=x frpeWZqaaeaabiGaaiaadaqabeaabeqacqaaaOqaaiabfs5aejaads faaaa@3A74@ , t MathType@MTEF@5@5@+= feaahGart1ev3aqatCvAUfeBSjuyZL2yd9gzLbvyNv2Caerbov2D09 MBdbqedmvETj2BSbqeduuDJXwAKbYu51MyVXgarqqr1ngBPrgifHhD YfgasaacHOWxg9qrFfeu0dXdh9vqqj=hEeeu0xXdbba9frFj0=OqFf ea0dXdd9vspGe9FjuP0=fs0xXdbba9pGe9xq=Jbba9suk9fr=xfr=x frpeWZqaaeaabiGaaiaadaqabeaabeqacqaaaOqaaiaadshaaaa@392E@  - “малое” время в диапазоне 0tΔT MathType@MTEF@5@5@+= feaahGart1ev3aqatCvAUfeBSjuyZL2yd9gzLbvyNv2Caerbov2D09 MBdbqedmvETj2BSbqeduuDJXwAKbYu51MyVXgarqqr1ngBPrgifHhD YfgasaacHOWxg9qrFfeu0dXdh9vqqj=hEeeu0xXdbba9frFj0=OqFf ea0dXdd9vspGe9FjuP0=fs0xXdbba9pGe9xq=Jbba9suk9fr=xfr=x frpeWZqaaeaabiGaaiaadaqabeaabeqacqaaaOqaaiaaicdacqGHKj YOcaWG0bGaeyizImQaeuiLdqKaamivaaaa@3F91@ . Тогда каждый принятый на глубине z MathType@MTEF@5@5@+= feaahGart1ev3aqatCvAUfeBSjuyZL2yd9gzLbvyNv2Caerbov2D09 MBdbqedmvETj2BSbqeduuDJXwAKbYu51MyVXgarqqr1ngBPrgifHhD YfgasaacHOWxg9qrFfeu0dXdh9vqqj=hEeeu0xXdbba9frFj0=OqFf ea0dXdd9vspGe9FjuP0=fs0xXdbba9pGe9xq=Jbba9suk9fr=xfr=x frpeWZqaaeaabiGaaiaadaqabeaabeqacqaaaOqaaiaadQhaaaa@3934@  импульс звукового давления запишется в виде p t,z,T MathType@MTEF@5@5@+= feaahGart1ev3aqatCvAUfeBSjuyZL2yd9gzLbvyNv2Caerbov2D09 MBdbqedmvETj2BSbqeduuDJXwAKbYu51MyVXgarqqr1ngBPrgifHhD YfgasaacHOWxg9qrFfeu0dXdh9vqqj=hEeeu0xXdbba9frFj0=OqFf ea0dXdd9vspGe9FjuP0=fs0xXdbba9pGe9xq=Jbba9suk9fr=xfr=x frpeWZqaaeaabiGaaiaadaqabeaabeqacqaaaOqaaiaadchadaqada qaaiaadshacaGGSaGaamOEaiaacYcacaWGubaacaGLOaGaayzkaaaa aa@3EE4@ . Анализ импульсов проводился на центральной частоте: f= MathType@MTEF@5@5@+= feaahGart1ev3aqatCvAUfeBSjuyZL2yd9gzLbvyNv2Caerbov2D09 MBdbqedmvETj2BSbqeduuDJXwAKbYu51MyVXgarqqr1ngBPrgifHhD YfgasaacHOWxg9qrFfeu0dXdh9vqqj=hEeeu0xXdbba9frFj0=OqFf ea0dXdd9vspGe9FjuP0=fs0xXdbba9pGe9xq=Jbba9suk9fr=xfr=x frpeWZqaaeaabiGaaiaadaqabeaabeqacqaaaOqaaiaadAgacqGH9a qpaaa@3A26@  224 Гц для S1 и f= MathType@MTEF@5@5@+= feaahGart1ev3aqatCvAUfeBSjuyZL2yd9gzLbvyNv2Caerbov2D09 MBdbqedmvETj2BSbqeduuDJXwAKbYu51MyVXgarqqr1ngBPrgifHhD YfgasaacHOWxg9qrFfeu0dXdh9vqqj=hEeeu0xXdbba9frFj0=OqFf ea0dXdd9vspGe9FjuP0=fs0xXdbba9pGe9xq=Jbba9suk9fr=xfr=x frpeWZqaaeaabiGaaiaadaqabeaabeqacqaaaOqaaiaadAgacqGH9a qpaaa@3A26@  300 Гц для S2. Сначала находилась комплексная амплитуда аналитического сигнала на данной частоте: P z,T =2 0 ΔT p t,z,T exp i2πft dt MathType@MTEF@5@5@+= feaahGart1ev3aqatCvAUfeBSjuyZL2yd9gzLbvyNv2Caerbov2D09 MBdbqedmvETj2BSbqeduuDJXwAKbYu51MyVXgarqqr1ngBPrgifHhD YfgasaacHOWxg9qrFfeu0dXdh9vqqj=hEeeu0xXdbba9frFj0=OqFf ea0dXdd9vspGe9FjuP0=fs0xXdbba9pGe9xq=Jbba9suk9fr=xfr=x frpeWZqaaeaabiGaaiaadaqabeaabeqacqaaaOqaaiaadcfadaqada qaaiaadQhacaGGSaGaamivaaGaayjkaiaawMcaaiabg2da9iaaikda daWdXaqaaiaadchadaqadaqaaiaadshacaGGSaGaamOEaiaacYcaca WGubaacaGLOaGaayzkaaGaciyzaiaacIhacaGGWbWaaeWaaeaacaWG PbGaaGOmaiabec8aWjaadAgacaWG0baacaGLOaGaayzkaaGaamizai aadshaaSqaaiaaicdaaeaacqqHuoarcaWGubaaniabgUIiYdaaaa@563F@ . Затем вычислялась интенсивность звука

I z,T = 2ρ c ¯ 1 P z,T 2 MathType@MTEF@5@5@+= feaahGart1ev3aqatCvAUfeBSjuyZL2yd9gzLbvyNv2Caerbov2D09 MBdbqedmvETj2BSbqeduuDJXwAKbYu51MyVXgarqqr1ngBPrgifHhD YfgasaacHOWxg9qrFfeu0dXdh9vqqj=hEeeu0xXdbba9frFj0=OqFf ea0dXdd9vspGe9FjuP0=fs0xXdbba9pGe9xq=Jbba9suk9fr=xfr=x frpeWZqaaeaabiGaaiaadaqabeaabeqacqaaaOqaaiaadMeadaqada qaaiaadQhacaGGSaGaamivaaGaayjkaiaawMcaaiabg2da9maabmaa baGaaGOmaiabeg8aYjqadogagaqeaaGaayjkaiaawMcaamaaCaaale qabaGaeyOeI0IaaGymaaaakmaaemaabaGaamiuamaabmaabaGaamOE aiaacYcacaWGubaacaGLOaGaayzkaaaacaGLhWUaayjcSdWaaWbaaS qabeaacaaIYaaaaaaa@4DEF@ ,         (15)

где ρ= MathType@MTEF@5@5@+= feaahGart1ev3aqatCvAUfeBSjuyZL2yd9gzLbvyNv2Caerbov2D09 MBdbqedmvETj2BSbqeduuDJXwAKbYu51MyVXgarqqr1ngBPrgifHhD YfgasaacHOWxg9qrFfeu0dXdh9vqqj=hEeeu0xXdbba9frFj0=OqFf ea0dXdd9vspGe9FjuP0=fs0xXdbba9pGe9xq=Jbba9suk9fr=xfr=x frpeWZqaaeaabiGaaiaadaqabeaabeqacqaaaOqaaiabeg8aYjabg2 da9aaa@3AFB@  1 г/см3 - плотность воды, c ¯ = MathType@MTEF@5@5@+= feaahGart1ev3aqatCvAUfeBSjuyZL2yd9gzLbvyNv2Caerbov2D09 MBdbqedmvETj2BSbqeduuDJXwAKbYu51MyVXgarqqr1ngBPrgifHhD YfgasaacHOWxg9qrFfeu0dXdh9vqqj=hEeeu0xXdbba9frFj0=OqFf ea0dXdd9vspGe9FjuP0=fs0xXdbba9pGe9xq=Jbba9suk9fr=xfr=x frpeWZqaaeaabiGaaiaadaqabeaabeqacqaaaOqaaiqadogagaqeai abg2da9aaa@3A3B@  1520 м/с - средняя по VLA скорость звука в воде.

Полученные функции интенсивности I z,T MathType@MTEF@5@5@+= feaahGart1ev3aqatCvAUfeBSjuyZL2yd9gzLbvyNv2Caerbov2D09 MBdbqedmvETj2BSbqeduuDJXwAKbYu51MyVXgarqqr1ngBPrgifHhD YfgasaacHOWxg9qrFfeu0dXdh9vqqj=hEeeu0xXdbba9frFj0=OqFf ea0dXdd9vspGe9FjuP0=fs0xXdbba9pGe9xq=Jbba9suk9fr=xfr=x frpeWZqaaeaabiGaaiaadaqabeaabeqacqaaaOqaaiaadMeadaqada qaaiaadQhacaGGSaGaamivaaGaayjkaiaawMcaaaaa@3D14@  являются исходными данными для последующего анализа. Эти зависимости флуктуируют во времени, что на модовом языке объясняется периодическим характером взаимодействия мод при движении солитона.

Рассмотрим спектральный состав флуктуаций. Для этого определим спектрограмму флуктуаций интенсивности в виде

  G Ω,T = j=1 J T0.5τ T+0.5τ I ˜ z j , T ,T w T exp iΩ T d T MathType@MTEF@5@5@+= feaahGart1ev3aqatCvAUfeBSjuyZL2yd9gzLbvyNv2Caerbov2D09 MBdbqedmvETj2BSbqeduuDJXwAKbYu51MyVXgarqqr1ngBPrgifHhD YfgasaacHOWxg9qrFfeu0dXdh9vqqj=hEeeu0xXdbba9frFj0=OqFf ea0dXdd9vspGe9FjuP0=fs0xXdbba9pGe9xq=Jbba9suk9fr=xfr=x frpeWZqaaeaabiGaaiaadaqabeaabeqacqaaaOqaaiaadEeadaqada qaaiabfM6axjaacYcacaWGubaacaGLOaGaayzkaaGaeyypa0ZaaabC aeaadaabdaqaamaapehabaGabmysayaaiaWaaeWaaeaacaWG6bWaaS baaSqaaiaadQgaaeqaaOGaaiilaiqadsfagaqbaiaacYcacaWGubaa caGLOaGaayzkaaGaam4DamaabmaabaGabmivayaafaaacaGLOaGaay zkaaGaciyzaiaacIhacaGGWbWaaeWaaeaacaWGPbGaeuyQdCLabmiv ayaafaaacaGLOaGaayzkaaGaamizaiqadsfagaqbaaWcbaGaamivai abgkHiTiaaicdacaGGUaGaaGynaiabes8a0bqaaiaadsfacqGHRaWk caaIWaGaaiOlaiaaiwdacqaHepaDa0Gaey4kIipaaOGaay5bSlaawI a7aaWcbaGaamOAaiabg2da9iaaigdaaeaacaWGkbaaniabggHiLdaa aa@6A03@ , (16)

где τ MathType@MTEF@5@5@+= feaahGart1ev3aqatCvAUfeBSjuyZL2yd9gzLbvyNv2Caerbov2D09 MBdbqedmvETj2BSbqeduuDJXwAKbYu51MyVXgarqqr1ngBPrgifHhD YfgasaacHOWxg9qrFfeu0dXdh9vqqj=hEeeu0xXdbba9frFj0=OqFf ea0dXdd9vspGe9FjuP0=fs0xXdbba9pGe9xq=Jbba9suk9fr=xfr=x frpeWZqaaeaabiGaaiaadaqabeaabeqacqaaaOqaaiabes8a0baa@39FA@  - ширина скользящего окна Фурье, w T MathType@MTEF@5@5@+= feaahGart1ev3aqatCvAUfeBSjuyZL2yd9gzLbvyNv2Caerbov2D09 MBdbqedmvETj2BSbqeduuDJXwAKbYu51MyVXgarqqr1ngBPrgifHhD YfgasaacHOWxg9qrFfeu0dXdh9vqqj=hEeeu0xXdbba9frFj0=OqFf ea0dXdd9vspGe9FjuP0=fs0xXdbba9pGe9xq=Jbba9suk9fr=xfr=x frpeWZqaaeaabiGaaiaadaqabeaabeqacqaaaOqaaiaadEhadaqada qaaiqadsfagaqbaaGaayjkaiaawMcaaaaa@3B9F@  - оконная функция, Ω=2πF MathType@MTEF@5@5@+= feaahGart1ev3aqatCvAUfeBSjuyZL2yd9gzLbvyNv2Caerbov2D09 MBdbqedmvETj2BSbqeduuDJXwAKbYu51MyVXgarqqr1ngBPrgifHhD YfgasaacHOWxg9qrFfeu0dXdh9vqqj=hEeeu0xXdbba9frFj0=OqFf ea0dXdd9vspGe9FjuP0=fs0xXdbba9pGe9xq=Jbba9suk9fr=xfr=x frpeWZqaaeaabiGaaiaadaqabeaabeqacqaaaOqaaiabfM6axjabg2 da9iaaikdacqaHapaCcaWGgbaaaa@3E0D@  - частота флуктуаций, I ˜ z j , T ,T =I z j , T τ 1 T0.5τ T+0.5τ I z j , T d T MathType@MTEF@5@5@+= feaahGart1ev3aqatCvAUfeBSjuyZL2yd9gzLbvyNv2Caerbov2D09 MBdbqedmvETj2BSbqeduuDJXwAKbYu51MyVXgarqqr1ngBPrgifHhD YfgasaacHOWxg9qrFfeu0dXdh9vqqj=hEeeu0xXdbba9frFj0=OqFf ea0dXdd9vspGe9FjuP0=fs0xXdbba9pGe9xq=Jbba9suk9fr=xfr=x frpeWZqaaeaabiGaaiaadaqabeaabeqacqaaaOqaaiqadMeagaacam aabmaabaGaamOEamaaBaaaleaacaWGQbaabeaakiaacYcaceWGubGb auaacaGGSaGaamivaaGaayjkaiaawMcaaiabg2da9iaadMeadaqada qaaiaadQhadaWgaaWcbaGaamOAaaqabaGccaGGSaGabmivayaafaaa caGLOaGaayzkaaGaeyOeI0IaeqiXdq3aaWbaaSqabeaacqGHsislca aIXaaaaOWaa8qmaeaacaWGjbWaaeWaaeaacaWG6bWaaSbaaSqaaiaa dQgaaeqaaOGaaiilaiqadsfagaqbaaGaayjkaiaawMcaaiaadsgace WGubGbauaaaSqaaiaadsfacqGHsislcaaIWaGaaiOlaiaaiwdacqaH epaDaeaacaWGubGaey4kaSIaaGimaiaac6cacaaI1aGaeqiXdqhani abgUIiYdaaaa@60EC@  - переменная составляющая интенсивности на глубине z j MathType@MTEF@5@5@+= feaahGart1ev3aqatCvAUfeBSjuyZL2yd9gzLbvyNv2Caerbov2D09 MBdbqedmvETj2BSbqeduuDJXwAKbYu51MyVXgarqqr1ngBPrgifHhD YfgasaacHOWxg9qrFfeu0dXdh9vqqj=hEeeu0xXdbba9frFj0=OqFf ea0dXdd9vspGe9FjuP0=fs0xXdbba9pGe9xq=Jbba9suk9fr=xfr=x frpeWZqaaeaabiGaaiaadaqabeaabeqacqaaaOqaaiaadQhadaWgaa WcbaGaamOAaaqabaaaaa@3A4F@  в окне τ MathType@MTEF@5@5@+= feaahGart1ev3aqatCvAUfeBSjuyZL2yd9gzLbvyNv2Caerbov2D09 MBdbqedmvETj2BSbqeduuDJXwAKbYu51MyVXgarqqr1ngBPrgifHhD YfgasaacHOWxg9qrFfeu0dXdh9vqqj=hEeeu0xXdbba9frFj0=OqFf ea0dXdd9vspGe9FjuP0=fs0xXdbba9pGe9xq=Jbba9suk9fr=xfr=x frpeWZqaaeaabiGaaiaadaqabeaabeqacqaaaOqaaiabes8a0baa@39FA@  как функция текущего времени T MathType@MTEF@5@5@+= feaahGart1ev3aqatCvAUfeBSjuyZL2yd9gzLbvyNv2Caerbov2D09 MBdbqedmvETj2BSbqeduuDJXwAKbYu51MyVXgarqqr1ngBPrgifHhD YfgasaacHOWxg9qrFfeu0dXdh9vqqj=hEeeu0xXdbba9frFj0=OqFf ea0dXdd9vspGe9FjuP0=fs0xXdbba9pGe9xq=Jbba9suk9fr=xfr=x frpeWZqaaeaabiGaaiaadaqabeaabeqacqaaaOqaaiqadsfagaqbaa aa@391A@  при положении центра окна, равном T MathType@MTEF@5@5@+= feaahGart1ev3aqatCvAUfeBSjuyZL2yd9gzLbvyNv2Caerbov2D09 MBdbqedmvETj2BSbqeduuDJXwAKbYu51MyVXgarqqr1ngBPrgifHhD YfgasaacHOWxg9qrFfeu0dXdh9vqqj=hEeeu0xXdbba9frFj0=OqFf ea0dXdd9vspGe9FjuP0=fs0xXdbba9pGe9xq=Jbba9suk9fr=xfr=x frpeWZqaaeaabiGaaiaadaqabeaabeqacqaaaOqaaiaadsfaaaa@390E@ . При вычислении спектров Фурье (интегралов в (16)) использовалась оконная функция Хемминга (hamming в MATLAB) для подавления амплитуды боковых лепестков в спектрах. Суммирование амплитудных спектров в (16) по элементам вертикальной антенны проводится с целью исключения зависимости спектров от глубины.

Полученные спектрограммы для трасс 1 и 2 изображены на рис. 7 с помощью цветовой шкалы.

 

Рис. 7. С помощью цветовой шкалы показаны экспериментальные спектрограммы флуктуаций интенсивности на трассах 1 и 2. Картины нормированы на максимум на каждой вертикали. Желтая полоса соответствует доминирующим флуктуациям. Черные линии – теоретические дисперсионные кривые 1–3 и 1–6 порядков для трасс 1 и 2.

 

Картины нормированы на максимум на каждой вертикали. Желтая полоса на каждом рисунке соответствует доминирующим флуктуациям.

Спектрограмма для трассы 1 (рис. 7а, 7б) имеет длительность 4 часа 54 мин (08:24-13:18). При ширине скользящего окна τ= MathType@MTEF@5@5@+= feaahGart1ev3aqatCvAUfeBSjuyZL2yd9gzLbvyNv2Caerbov2D09 MBdbqedmvETj2BSbqeduuDJXwAKbYu51MyVXgarqqr1ngBPrgifHhD YfgasaacHOWxg9qrFfeu0dXdh9vqqj=hEeeu0xXdbba9frFj0=OqFf ea0dXdd9vspGe9FjuP0=fs0xXdbba9pGe9xq=Jbba9suk9fr=xfr=x frpeWZqaaeaabiGaaiaadaqabeaabeqacqaaaOqaaiabes8a0jabg2 da9aaa@3B00@  1 час это соответствует полному времени прохождения солитона по трассе 1, равному 5 часов 54 мин (07:54-13:48).

Спектрограмма для трассы 2 (рис. 7в, 7г) имеет длительность 1 час (12:10-13:10). При ширине скользящего окна τ= MathType@MTEF@5@5@+= feaahGart1ev3aqatCvAUfeBSjuyZL2yd9gzLbvyNv2Caerbov2D09 MBdbqedmvETj2BSbqeduuDJXwAKbYu51MyVXgarqqr1ngBPrgifHhD YfgasaacHOWxg9qrFfeu0dXdh9vqqj=hEeeu0xXdbba9frFj0=OqFf ea0dXdd9vspGe9FjuP0=fs0xXdbba9pGe9xq=Jbba9suk9fr=xfr=x frpeWZqaaeaabiGaaiaadaqabeaabeqacqaaaOqaaiabes8a0jabg2 da9aaa@3B00@  20 мин это соответствует времени прохождения солитона по трассе 2, равному 1 час 20 мин (12:00-13:20). Указанный интервал меньше полного времени прохождения по трассе 2 (1 час 55 мин, 11:53-13:48), что было связано с лакунами в данных. Уменьшение величины τ MathType@MTEF@5@5@+= feaahGart1ev3aqatCvAUfeBSjuyZL2yd9gzLbvyNv2Caerbov2D09 MBdbqedmvETj2BSbqeduuDJXwAKbYu51MyVXgarqqr1ngBPrgifHhD YfgasaacHOWxg9qrFfeu0dXdh9vqqj=hEeeu0xXdbba9frFj0=OqFf ea0dXdd9vspGe9FjuP0=fs0xXdbba9pGe9xq=Jbba9suk9fr=xfr=x frpeWZqaaeaabiGaaiaadaqabeaabeqacqaaaOqaaiabes8a0baa@39FA@  на трассе 2 в три раза по сравнению с трассой 1 стало возможным благодаря тому, что при одновременном движении солитона по обеим трассам средняя скорость солитона на трассе 2 примерно в три раза превышает среднюю скорость солитона на трассе 1.

Черными линиями на рис. 7а, 7в показаны дисперсионные кривые F= F m,m+n T MathType@MTEF@5@5@+= feaahGart1ev3aqatCvAUfeBSjuyZL2yd9gzLbvyNv2Caerbov2D09 MBdbqedmvETj2BSbqeduuDJXwAKbYu51MyVXgarqqr1ngBPrgifHhD YfgasaacHOWxg9qrFfeu0dXdh9vqqj=hEeeu0xXdbba9frFj0=OqFf ea0dXdd9vspGe9FjuP0=fs0xXdbba9pGe9xq=Jbba9suk9fr=xfr=x frpeWZqaaeaabiGaaiaadaqabeaabeqacqaaaOqaaiaadAeacqGH9a qpcaWGgbWaaSbaaSqaaiaad2gacaGGSaGaamyBaiabgUcaRiaad6ga aeqaaOWaaeWaaeaacaWGubaacaGLOaGaayzkaaaaaa@41D2@ , рассчитанные на основе теоретической формулы (8):

  F m,m+n T = v t T Λ m,m+n T MathType@MTEF@5@5@+= feaahGart1ev3aqatCvAUfeBSjuyZL2yd9gzLbvyNv2Caerbov2D09 MBdbqedmvETj2BSbqeduuDJXwAKbYu51MyVXgarqqr1ngBPrgifHhD YfgasaacHOWxg9qrFfeu0dXdh9vqqj=hEeeu0xXdbba9frFj0=OqFf ea0dXdd9vspGe9FjuP0=fs0xXdbba9pGe9xq=Jbba9suk9fr=xfr=x frpeWZqaaeaabiGaaiaadaqabeaabeqacqaaaOqaaiaadAeadaWgaa WcbaGaamyBaiaacYcacaWGTbGaey4kaSIaamOBaaqabaGcdaqadaqa aiaadsfaaiaawIcacaGLPaaacqGH9aqpdaWcaaqaaiaadAhadaahaa WcbeqaaiaadshaaaGcdaqadaqaaiaadsfaaiaawIcacaGLPaaaaeaa cqqHBoatdaWgaaWcbaGaamyBaiaacYcacaWGTbGaey4kaSIaamOBaa qabaGcdaqadaqaaiaadsfaaiaawIcacaGLPaaaaaaaaa@4E1A@ .              (17)

При этом в (17), в отличие от (8), для каждой трассы используются теоретическая скорость солитона v t T MathType@MTEF@5@5@+= feaahGart1ev3aqatCvAUfeBSjuyZL2yd9gzLbvyNv2Caerbov2D09 MBdbqedmvETj2BSbqeduuDJXwAKbYu51MyVXgarqqr1ngBPrgifHhD YfgasaacHOWxg9qrFfeu0dXdh9vqqj=hEeeu0xXdbba9frFj0=OqFf ea0dXdd9vspGe9FjuP0=fs0xXdbba9pGe9xq=Jbba9suk9fr=xfr=x frpeWZqaaeaabiGaaiaadaqabeaabeqacqaaaOqaaiaadAhadaahaa WcbeqaaiaadshaaaGcdaqadaqaaiaadsfaaiaawIcacaGLPaaaaaa@3CC2@  и пространственный период биений мод Λ m,m+n T MathType@MTEF@5@5@+= feaahGart1ev3aqatCvAUfeBSjuyZL2yd9gzLbvyNv2Caerbov2D09 MBdbqedmvETj2BSbqeduuDJXwAKbYu51MyVXgarqqr1ngBPrgifHhD YfgasaacHOWxg9qrFfeu0dXdh9vqqj=hEeeu0xXdbba9frFj0=OqFf ea0dXdd9vspGe9FjuP0=fs0xXdbba9pGe9xq=Jbba9suk9fr=xfr=x frpeWZqaaeaabiGaaiaadaqabeaabeqacqaaaOqaaiabfU5amnaaBa aaleaacaWGTbGaaiilaiaad2gacqGHRaWkcaWGUbaabeaakmaabmaa baGaamivaaGaayjkaiaawMcaaaaa@40AB@  как функции времени, пересчитанные из функций расстояния: v t r MathType@MTEF@5@5@+= feaahGart1ev3aqatCvAUfeBSjuyZL2yd9gzLbvyNv2Caerbov2D09 MBdbqedmvETj2BSbqeduuDJXwAKbYu51MyVXgarqqr1ngBPrgifHhD YfgasaacHOWxg9qrFfeu0dXdh9vqqj=hEeeu0xXdbba9frFj0=OqFf ea0dXdd9vspGe9FjuP0=fs0xXdbba9pGe9xq=Jbba9suk9fr=xfr=x frpeWZqaaeaabiGaaiaadaqabeaabeqacqaaaOqaaiaadAhadaahaa WcbeqaaiaadshaaaGcdaqadaqaaiaadkhaaiaawIcacaGLPaaaaaa@3CE0@  и Λ m,m+n r MathType@MTEF@5@5@+= feaahGart1ev3aqatCvAUfeBSjuyZL2yd9gzLbvyNv2Caerbov2D09 MBdbqedmvETj2BSbqeduuDJXwAKbYu51MyVXgarqqr1ngBPrgifHhD YfgasaacHOWxg9qrFfeu0dXdh9vqqj=hEeeu0xXdbba9frFj0=OqFf ea0dXdd9vspGe9FjuP0=fs0xXdbba9pGe9xq=Jbba9suk9fr=xfr=x frpeWZqaaeaabiGaaiaadaqabeaabeqacqaaaOqaaiabfU5amnaaBa aaleaacaWGTbGaaiilaiaad2gacqGHRaWkcaWGUbaabeaakmaabmaa baGaamOCaaGaayjkaiaawMcaaaaa@40C9@ . Пересчет расстояния во время проводился по формулам: T= T 1 + 0 r v 1 t r 1 dr MathType@MTEF@5@5@+= feaahGart1ev3aqatCvAUfeBSjuyZL2yd9gzLbvyNv2Caerbov2D09 MBdbqedmvETj2BSbqeduuDJXwAKbYu51MyVXgarqqr1ngBPrgifHhD YfgasaacHOWxg9qrFfeu0dXdh9vqqj=hEeeu0xXdbba9frFj0=OqFf ea0dXdd9vspGe9FjuP0=fs0xXdbba9pGe9xq=Jbba9suk9fr=xfr=x frpeWZqaaeaabiGaaiaadaqabeaabeqacqaaaOqaaiaadsfacqGH9a qpcaWGubWaaSbaaSqaaiaaigdaaeqaaOGaey4kaSYaa8qmaeaadaWa daqaaiaadAhadaqhaaWcbaGaaGymaaqaaiaadshaaaGcdaqadaqaai aadkhaaiaawIcacaGLPaaaaiaawUfacaGLDbaadaahaaWcbeqaaiab gkHiTiaaigdaaaGccaWGKbGaamOCaaWcbaGaaGimaaqaaiaadkhaa0 Gaey4kIipaaaa@4BB1@  для трассы 1 и T= T 4 + 0 r v 2 t r 1 dr MathType@MTEF@5@5@+= feaahGart1ev3aqatCvAUfeBSjuyZL2yd9gzLbvyNv2Caerbov2D09 MBdbqedmvETj2BSbqeduuDJXwAKbYu51MyVXgarqqr1ngBPrgifHhD YfgasaacHOWxg9qrFfeu0dXdh9vqqj=hEeeu0xXdbba9frFj0=OqFf ea0dXdd9vspGe9FjuP0=fs0xXdbba9pGe9xq=Jbba9suk9fr=xfr=x frpeWZqaaeaabiGaaiaadaqabeaabeqacqaaaOqaaiaadsfacqGH9a qpcaWGubWaaSbaaSqaaiaaisdaaeqaaOGaey4kaSYaa8qmaeaadaWa daqaaiaadAhadaqhaaWcbaGaaGOmaaqaaiaadshaaaGcdaqadaqaai aadkhaaiaawIcacaGLPaaaaiaawUfacaGLDbaadaahaaWcbeqaaiab gkHiTiaaigdaaaGccaWGKbGaamOCaaWcbaGaaGimaaqaaiaadkhaa0 Gaey4kIipaaaa@4BB5@  для трассы 2. Пространственный период Λ m,m+n r = 2π/ q m r q m+n r MathType@MTEF@5@5@+= feaahGart1ev3aqatCvAUfeBSjuyZL2yd9gzLbvyNv2Caerbov2D09 MBdbqedmvETj2BSbqeduuDJXwAKbYu51MyVXgarqqr1ngBPrgifHhD YfgasaacHOWxg9qrFfeu0dXdh9vqqj=hEeeu0xXdbba9frFj0=OqFf ea0dXdd9vspGe9FjuP0=fs0xXdbba9pGe9xq=Jbba9suk9fr=xfr=x frpeWZqaaeaabiGaaiaadaqabeaabeqacqaaaOqaaiabfU5amnaaBa aaleaacaWGTbGaaiilaiaad2gacqGHRaWkcaWGUbaabeaakmaabmaa baGaamOCaaGaayjkaiaawMcaaiabg2da9maalyaabaGaaGOmaiabec 8aWbqaamaaemaabaGaamyCamaaBaaaleaacaWGTbaabeaakmaabmaa baGaamOCaaGaayjkaiaawMcaaiabgkHiTiaadghadaWgaaWcbaGaam yBaiabgUcaRiaad6gaaeqaaOWaaeWaaeaacaWGYbaacaGLOaGaayzk aaaacaGLhWUaayjcSdaaaaaa@537E@  вычислялся для каждой трассы путем решения задачи Штурма-Лиувилля для невозмущенного волновода [19].

Дисперсионные кривые F= F m,m+n T MathType@MTEF@5@5@+= feaahGart1ev3aqatCvAUfeBSjuyZL2yd9gzLbvyNv2Caerbov2D09 MBdbqedmvETj2BSbqeduuDJXwAKbYu51MyVXgarqqr1ngBPrgifHhD YfgasaacHOWxg9qrFfeu0dXdh9vqqj=hEeeu0xXdbba9frFj0=OqFf ea0dXdd9vspGe9FjuP0=fs0xXdbba9pGe9xq=Jbba9suk9fr=xfr=x frpeWZqaaeaabiGaaiaadaqabeaabeqacqaaaOqaaiaadAeacqGH9a qpcaWGgbWaaSbaaSqaaiaad2gacaGGSaGaamyBaiabgUcaRiaad6ga aeqaaOWaaeWaaeaacaWGubaacaGLOaGaayzkaaaaaa@41D2@  рассчитывались по первым M=7 MathType@MTEF@5@5@+= feaahGart1ev3aqatCvAUfeBSjuyZL2yd9gzLbvyNv2Caerbov2D09 MBdbqedmvETj2BSbqeduuDJXwAKbYu51MyVXgarqqr1ngBPrgifHhD YfgasaacHOWxg9qrFfeu0dXdh9vqqj=hEeeu0xXdbba9frFj0=OqFf ea0dXdd9vspGe9FjuP0=fs0xXdbba9pGe9xq=Jbba9suk9fr=xfr=x frpeWZqaaeaabiGaaiaadaqabeaabeqacqaaaOqaaiaad2eacqGH9a qpcaaI3aaaaa@3ACE@  модам на обеих трассах. Ниже будет показано, что при таком числе мод теоретические и экспериментальные значения доминирующих частот максимально близки.

На рис. 7а и 7в подписаны номера n=1, 2, 3 MathType@MTEF@5@5@+= feaahGart1ev3aqatCvAUfeBSjuyZL2yd9gzLbvyNv2Caerbov2D09 MBdbqedmvETj2BSbqeduuDJXwAKbYu51MyVXgarqqr1ngBPrgifHhD YfgasaacHOWxg9qrFfeu0dXdh9vqqj=hEeeu0xXdbba9frFj0=OqFf ea0dXdd9vspGe9FjuP0=fs0xXdbba9pGe9xq=Jbba9suk9fr=xfr=x frpeWZqaaeaabiGaaiaadaqabeaabeqacqaaaOqaaiaad6gacqGH9a qpcaaIXaGaaiilaiaabccacaaIYaGaaiilaiaabccacaaIZaaaaa@3F08@  и n=1, 2..., 6 MathType@MTEF@5@5@+= feaahGart1ev3aqatCvAUfeBSjuyZL2yd9gzLbvyNv2Caerbov2D09 MBdbqedmvETj2BSbqeduuDJXwAKbYu51MyVXgarqqr1ngBPrgifHhD YfgasaacHOWxg9qrFfeu0dXdh9vqqj=hEeeu0xXdbba9frFj0=OqFf ea0dXdd9vspGe9FjuP0=fs0xXdbba9pGe9xq=Jbba9suk9fr=xfr=x frpeWZqaaeaabiGaaiaadaqabeaabeqacqaaaOqaaiaad6gacqGH9a qpcaaIXaGaaiilaiaabccacaqGYaGaaeilaiaabccacaGGUaGaaiOl aiaac6cacaGGSaGaaeiiaiaaiAdaaaa@426C@ , которые обозначают группы дисперсионных кривых n MathType@MTEF@5@5@+= feaahGart1ev3aqatCvAUfeBSjuyZL2yd9gzLbvyNv2Caerbov2D09 MBdbqedmvETj2BSbqeduuDJXwAKbYu51MyVXgarqqr1ngBPrgifHhD YfgasaacHOWxg9qrFfeu0dXdh9vqqj=hEeeu0xXdbba9frFj0=OqFf ea0dXdd9vspGe9FjuP0=fs0xXdbba9pGe9xq=Jbba9suk9fr=xfr=x frpeWZqaaeaabiGaaiaadaqabeaabeqacqaaaOqaaiaad6gaaaa@3928@  -го порядка. Этим группам соответствуют номера m=1, ..., Mn MathType@MTEF@5@5@+= feaahGart1ev3aqatCvAUfeBSjuyZL2yd9gzLbvyNv2Caerbov2D09 MBdbqedmvETj2BSbqeduuDJXwAKbYu51MyVXgarqqr1ngBPrgifHhD YfgasaacHOWxg9qrFfeu0dXdh9vqqj=hEeeu0xXdbba9frFj0=OqFf ea0dXdd9vspGe9FjuP0=fs0xXdbba9pGe9xq=Jbba9suk9fr=xfr=x frpeWZqaaeaabiGaaiaadaqabeaabeqacqaaaOqaaiaad2gacqGH9a qpcaaIXaGaaiilaiaabccacaqGUaGaaeOlaiaab6cacaqGSaGaaeii aiaad2eacqGHsislcaWGUbaaaa@4252@ . Например, дисперсионным кривым первого порядка F= F m,m+1 T MathType@MTEF@5@5@+= feaahGart1ev3aqatCvAUfeBSjuyZL2yd9gzLbvyNv2Caerbov2D09 MBdbqedmvETj2BSbqeduuDJXwAKbYu51MyVXgarqqr1ngBPrgifHhD YfgasaacHOWxg9qrFfeu0dXdh9vqqj=hEeeu0xXdbba9frFj0=OqFf ea0dXdd9vspGe9FjuP0=fs0xXdbba9pGe9xq=Jbba9suk9fr=xfr=x frpeWZqaaeaabiGaaiaadaqabeaabeqacqaaaOqaaiaadAeacqGH9a qpcaWGgbWaaSbaaSqaaiaad2gacaGGSaGaamyBaiabgUcaRiaaigda aeqaaOWaaeWaaeaacaWGubaacaGLOaGaayzkaaaaaa@419A@  на трассе 1 (рис. 7а) соответствуют номера: n=1 MathType@MTEF@5@5@+= feaahGart1ev3aqatCvAUfeBSjuyZL2yd9gzLbvyNv2Caerbov2D09 MBdbqedmvETj2BSbqeduuDJXwAKbYu51MyVXgarqqr1ngBPrgifHhD YfgasaacHOWxg9qrFfeu0dXdh9vqqj=hEeeu0xXdbba9frFj0=OqFf ea0dXdd9vspGe9FjuP0=fs0xXdbba9pGe9xq=Jbba9suk9fr=xfr=x frpeWZqaaeaabiGaaiaadaqabeaabeqacqaaaOqaaiaad6gacqGH9a qpcaaIXaaaaa@3AE9@ , m=1, 2..., 6 MathType@MTEF@5@5@+= feaahGart1ev3aqatCvAUfeBSjuyZL2yd9gzLbvyNv2Caerbov2D09 MBdbqedmvETj2BSbqeduuDJXwAKbYu51MyVXgarqqr1ngBPrgifHhD YfgasaacHOWxg9qrFfeu0dXdh9vqqj=hEeeu0xXdbba9frFj0=OqFf ea0dXdd9vspGe9FjuP0=fs0xXdbba9pGe9xq=Jbba9suk9fr=xfr=x frpeWZqaaeaabiGaaiaadaqabeaabeqacqaaaOqaaiaad2gacqGH9a qpcaaIXaGaaiilaiaabccacaqGYaGaaeilaiaabccacaGGUaGaaiOl aiaac6cacaGGSaGaaeiiaiaaiAdaaaa@426B@ .

Рассмотрим подробно рис. 7а. Сравнивая спектрограмму и наложенные на нее дисперсионные кривые, можно сделать следующие выводы.

1. Доминирующие флуктуации спектрограммы (желтая полоса) сосредоточены на дисперсионных кривых первого порядка F= F m,m+1 T MathType@MTEF@5@5@+= feaahGart1ev3aqatCvAUfeBSjuyZL2yd9gzLbvyNv2Caerbov2D09 MBdbqedmvETj2BSbqeduuDJXwAKbYu51MyVXgarqqr1ngBPrgifHhD YfgasaacHOWxg9qrFfeu0dXdh9vqqj=hEeeu0xXdbba9frFj0=OqFf ea0dXdd9vspGe9FjuP0=fs0xXdbba9pGe9xq=Jbba9suk9fr=xfr=x frpeWZqaaeaabiGaaiaadaqabeaabeqacqaaaOqaaiaadAeacqGH9a qpcaWGgbWaaSbaaSqaaiaad2gacaGGSaGaamyBaiabgUcaRiaaigda aeqaaOWaaeWaaeaacaWGubaacaGLOaGaayzkaaaaaa@419A@ . В рамках модового подхода это объясняется максимальным взаимодействием мод на соседних модах, номера которых отличаются на единицу.

2. Теоретические дисперсионные кривые первого порядка и экспериментальная желтая полоса ориентированы в целом горизонтально в районе доминирующей частоты F D ~ MathType@MTEF@5@5@+= feaahGart1ev3aqatCvAUfeBSjuyZL2yd9gzLbvyNv2Caerbov2D09 MBdbqedmvETj2BSbqeduuDJXwAKbYu51MyVXgarqqr1ngBPrgifHhD YfgasaacHOWxg9qrFfeu0dXdh9vqqj=hEeeu0xXdbba9frFj0=OqFf ea0dXdd9vspGe9FjuP0=fs0xXdbba9pGe9xq=Jbba9suk9fr=xfr=x frpeWZqaaeaabiGaaiaadaqabeaabeqacqaaaOqaaiaadAeadaWgaa WcbaGaamiraaqabaGccaGG+baaaa@3B01@  1.5 ц/ч. Это указывает на то, что доминирующая частота слабо зависит от скорости солитона и глубины волновода. (Вдоль трассы 1 скорость солитона изменяется в два раза, а глубина волновода - в три раза.)

3. Дисперсионные кривые порядков 1, 2, 3 располагаются в целом эквидистантно по оси частот флуктуаций, что соответствует гармоникам F D MathType@MTEF@5@5@+= feaahGart1ev3aqatCvAUfeBSjuyZL2yd9gzLbvyNv2Caerbov2D09 MBdbqedmvETj2BSbqeduuDJXwAKbYu51MyVXgarqqr1ngBPrgifHhD YfgasaacHOWxg9qrFfeu0dXdh9vqqj=hEeeu0xXdbba9frFj0=OqFf ea0dXdd9vspGe9FjuP0=fs0xXdbba9pGe9xq=Jbba9suk9fr=xfr=x frpeWZqaaeaabiGaaiaadaqabeaabeqacqaaaOqaaiaadAeadaWgaa WcbaGaamiraaqabaaaaa@39F5@ , 2 F D MathType@MTEF@5@5@+= feaahGart1ev3aqatCvAUfeBSjuyZL2yd9gzLbvyNv2Caerbov2D09 MBdbqedmvETj2BSbqeduuDJXwAKbYu51MyVXgarqqr1ngBPrgifHhD YfgasaacHOWxg9qrFfeu0dXdh9vqqj=hEeeu0xXdbba9frFj0=OqFf ea0dXdd9vspGe9FjuP0=fs0xXdbba9pGe9xq=Jbba9suk9fr=xfr=x frpeWZqaaeaabiGaaiaadaqabeaabeqacqaaaOqaaiaaikdacaWGgb WaaSbaaSqaaiaadseaaeqaaaaa@3AB1@ , 3 F D MathType@MTEF@5@5@+= feaahGart1ev3aqatCvAUfeBSjuyZL2yd9gzLbvyNv2Caerbov2D09 MBdbqedmvETj2BSbqeduuDJXwAKbYu51MyVXgarqqr1ngBPrgifHhD YfgasaacHOWxg9qrFfeu0dXdh9vqqj=hEeeu0xXdbba9frFj0=OqFf ea0dXdd9vspGe9FjuP0=fs0xXdbba9pGe9xq=Jbba9suk9fr=xfr=x frpeWZqaaeaabiGaaiaadaqabeaabeqacqaaaOqaaiaaiodacaWGgb WaaSbaaSqaaiaadseaaeqaaaaa@3AB2@ . При этом на спектрограмме явно не просматриваются гармоники второго и третьего порядков. Но они будут хорошо видны на гистограммах (об этом ниже).

Факт постоянства доминирующей частоты для трассы 1 был впервые отмечен в [19]. Там же было выдвинуто предположение, что это явление может носить универсальный характер и не ограничиваться акваторией ASIAEX.

Для подтверждения постоянства доминирующей частоты на трассе 1 проведем анализ дисперсионных кривых. Усредним дисперсионные кривые на рис. 7а между собой для каждого из трех порядков в отдельности:

F n T = 1 Mn m=1 Mn F m,m+n T MathType@MTEF@5@5@+= feaahGart1ev3aqatCvAUfeBSjuyZL2yd9gzLbvyNv2Caerbov2D09 MBdbqedmvETj2BSbqeduuDJXwAKbYu51MyVXgarqqr1ngBPrgifHhD YfgasaacHOWxg9qrFfeu0dXdh9vqqj=hEeeu0xXdbba9frFj0=OqFf ea0dXdd9vspGe9FjuP0=fs0xXdbba9pGe9xq=Jbba9suk9fr=xfr=x frpeWZqaaeaabiGaaiaadaqabeaabeqacqaaaOqaaiaadAeadaWgaa WcbaGaamOBaaqabaGcdaqadaqaaiaadsfaaiaawIcacaGLPaaacqGH 9aqpdaWcaaqaaiaaigdaaeaacaWGnbGaeyOeI0IaamOBaaaadaaeWb qaaiaadAeadaWgaaWcbaGaamyBaiaacYcacaWGTbGaey4kaSIaamOB aaqabaGcdaqadaqaaiaadsfaaiaawIcacaGLPaaaaSqaaiaad2gacq GH9aqpcaaIXaaabaGaamytaiabgkHiTiaad6gaa0GaeyyeIuoaaaa@5081@ .   (18)

Результат усреднения представлен на рис. 7б сплошными линиями 1, 2, 3. Пунктирные линии показывают результат последующего усреднения по времени

F D,n = 1 τ 2 τ 1 τ 1 τ 2 F n T dT MathType@MTEF@5@5@+= feaahGart1ev3aqatCvAUfeBSjuyZL2yd9gzLbvyNv2Caerbov2D09 MBdbqedmvETj2BSbqeduuDJXwAKbYu51MyVXgarqqr1ngBPrgifHhD YfgasaacHOWxg9qrFfeu0dXdh9vqqj=hEeeu0xXdbba9frFj0=OqFf ea0dXdd9vspGe9FjuP0=fs0xXdbba9pGe9xq=Jbba9suk9fr=xfr=x frpeWZqaaeaabiGaaiaadaqabeaabeqacqaaaOqaaiaadAeadaWgaa WcbaGaamiraiaacYcacaWGUbaabeaakiabg2da9maalaaabaGaaGym aaqaaiabes8a0naaBaaaleaacaaIYaaabeaakiabgkHiTiabes8a0n aaBaaaleaacaaIXaaabeaaaaGcdaWdXbqaaiaadAeadaWgaaWcbaGa amOBaaqabaGcdaqadaqaaiaadsfaaiaawIcacaGLPaaacaWGKbGaam ivaaWcbaGaeqiXdq3aaSbaaWqaaiaaigdaaeqaaaWcbaGaeqiXdq3a aSbaaWqaaiaaikdaaeqaaaqdcqGHRiI8aaaa@51B4@ ,         (19)

где τ 1,2 MathType@MTEF@5@5@+= feaahGart1ev3aqatCvAUfeBSjuyZL2yd9gzLbvyNv2Caerbov2D09 MBdbqedmvETj2BSbqeduuDJXwAKbYu51MyVXgarqqr1ngBPrgifHhD YfgasaacHOWxg9qrFfeu0dXdh9vqqj=hEeeu0xXdbba9frFj0=OqFf ea0dXdd9vspGe9FjuP0=fs0xXdbba9pGe9xq=Jbba9suk9fr=xfr=x frpeWZqaaeaabiGaaiaadaqabeaabeqacqaaaOqaaiabes8a0naaBa aaleaacaaIXaGaaiilaiaaikdaaeqaaaaa@3C4D@  - временные границы спектрограммы. Полученные численные значения F D,n MathType@MTEF@5@5@+= feaahGart1ev3aqatCvAUfeBSjuyZL2yd9gzLbvyNv2Caerbov2D09 MBdbqedmvETj2BSbqeduuDJXwAKbYu51MyVXgarqqr1ngBPrgifHhD YfgasaacHOWxg9qrFfeu0dXdh9vqqj=hEeeu0xXdbba9frFj0=OqFf ea0dXdd9vspGe9FjuP0=fs0xXdbba9pGe9xq=Jbba9suk9fr=xfr=x frpeWZqaaeaabiGaaiaadaqabeaabeqacqaaaOqaaiaadAeadaWgaa WcbaGaamiraiaacYcacaWGUbaabeaaaaa@3B98@  (гармоники) приведены на рис. 7б под соответствующими пунктирными линиями. Как видно, сплошные линии близки к горизонтальным пунктирным линиям, что указывает на постоянство теоретического значения доминирующей частоты: F n T F D,n n F D MathType@MTEF@5@5@+= feaahGart1ev3aqatCvAUfeBSjuyZL2yd9gzLbvyNv2Caerbov2D09 MBdbqedmvETj2BSbqeduuDJXwAKbYu51MyVXgarqqr1ngBPrgifHhD YfgasaacHOWxg9qrFfeu0dXdh9vqqj=hEeeu0xXdbba9frFj0=OqFf ea0dXdd9vspGe9FjuP0=fs0xXdbba9pGe9xq=Jbba9suk9fr=xfr=x frpeWZqaaeaabiGaaiaadaqabeaabeqacqaaaOqaaiaadAeadaWgaa WcbaGaamOBaaqabaGcdaqadaqaaiaadsfaaiaawIcacaGLPaaacqGH ijYUcaWGgbWaaSbaaSqaaiaadseacaGGSaGaamOBaaqabaGccqGHij YUcaWGUbGaamOramaaBaaaleaacaWGebaabeaaaaa@460D@ .

Вычислим среднее значение доминирующей частоты на трассе 1 по N= MathType@MTEF@5@5@+= feaahGart1ev3aqatCvAUfeBSjuyZL2yd9gzLbvyNv2Caerbov2D09 MBdbqedmvETj2BSbqeduuDJXwAKbYu51MyVXgarqqr1ngBPrgifHhD YfgasaacHOWxg9qrFfeu0dXdh9vqqj=hEeeu0xXdbba9frFj0=OqFf ea0dXdd9vspGe9FjuP0=fs0xXdbba9pGe9xq=Jbba9suk9fr=xfr=x frpeWZqaaeaabiGaaiaadaqabeaabeqacqaaaOqaaiaad6eacqGH9a qpaaa@3A0E@  3 гармоникам:

F D = 1 N n=1 N F D,n n MathType@MTEF@5@5@+= feaahGart1ev3aqatCvAUfeBSjuyZL2yd9gzLbvyNv2Caerbov2D09 MBdbqedmvETj2BSbqeduuDJXwAKbYu51MyVXgarqqr1ngBPrgifHhD YfgasaacHOWxg9qrFfeu0dXdh9vqqj=hEeeu0xXdbba9frFj0=OqFf ea0dXdd9vspGe9FjuP0=fs0xXdbba9pGe9xq=Jbba9suk9fr=xfr=x frpeWZqaaeaabiGaaiaadaqabeaabeqacqaaaOqaaiaadAeadaWgaa WcbaGaamiraaqabaGccqGH9aqpdaWcaaqaaiaaigdaaeaacaWGobaa amaaqahabaWaaSaaaeaacaWGgbWaaSbaaSqaaiaadseacaGGSaGaam OBaaqabaaakeaacaWGUbaaaaWcbaGaamOBaiabg2da9iaaigdaaeaa caWGobaaniabggHiLdaaaa@46DC@ .             (20)

Получаем: F D = MathType@MTEF@5@5@+= feaahGart1ev3aqatCvAUfeBSjuyZL2yd9gzLbvyNv2Caerbov2D09 MBdbqedmvETj2BSbqeduuDJXwAKbYu51MyVXgarqqr1ngBPrgifHhD YfgasaacHOWxg9qrFfeu0dXdh9vqqj=hEeeu0xXdbba9frFj0=OqFf ea0dXdd9vspGe9FjuP0=fs0xXdbba9pGe9xq=Jbba9suk9fr=xfr=x frpeWZqaaeaabiGaaiaadaqabeaabeqacqaaaOqaaiaadAeadaWgaa WcbaGaamiraaqabaGccqGH9aqpaaa@3B05@  1.54 ± 0.10 ц/ч, где доверительный интервал вычислен с доверительной вероятностью 0.95 по критерию Стьюдента.

Для трассы 2 (рис. 7в и 7г) дисперсионные кривые с самого начала близки друг к другу и к прямым линиям. Это объясняется большей частотой звука и меньшей глубиной волновода по сравнению с трассой 1. Заметим, что на трассе 1 после примерно 12:00 дисперсионные кривые тоже сближаются, поскольку солитон выходит на мелководный шельф. Повторяя аналогичные расчеты доминирующей частоты на трассе 2 по N= MathType@MTEF@5@5@+= feaahGart1ev3aqatCvAUfeBSjuyZL2yd9gzLbvyNv2Caerbov2D09 MBdbqedmvETj2BSbqeduuDJXwAKbYu51MyVXgarqqr1ngBPrgifHhD YfgasaacHOWxg9qrFfeu0dXdh9vqqj=hEeeu0xXdbba9frFj0=OqFf ea0dXdd9vspGe9FjuP0=fs0xXdbba9pGe9xq=Jbba9suk9fr=xfr=x frpeWZqaaeaabiGaaiaadaqabeaabeqacqaaaOqaaiaad6eacqGH9a qpaaa@3A0E@  6 гармоникам, получаем: F D = MathType@MTEF@5@5@+= feaahGart1ev3aqatCvAUfeBSjuyZL2yd9gzLbvyNv2Caerbov2D09 MBdbqedmvETj2BSbqeduuDJXwAKbYu51MyVXgarqqr1ngBPrgifHhD YfgasaacHOWxg9qrFfeu0dXdh9vqqj=hEeeu0xXdbba9frFj0=OqFf ea0dXdd9vspGe9FjuP0=fs0xXdbba9pGe9xq=Jbba9suk9fr=xfr=x frpeWZqaaeaabiGaaiaadaqabeaabeqacqaaaOqaaiaadAeadaWgaa WcbaGaamiraaqabaGccqGH9aqpaaa@3B05@  4.43±0.05 ц/ч.

Обратим внимание, что определение доминирующей частоты изначально базировалось на усреднении (18). Например, для трассы 1 усреднялись первые шесть дисперсионных линий первого порядка. Все эти линии лежат на желтой полосе, т.е. им соответствуют доминирующие флуктуации. Другие дисперсионные линии первого порядка, выходящие за первые шесть номеров, выходят за пределы желтой полосы (смещаются в целом выше на рис. 7а). Их учет привел бы к систематической ошибке в определении доминирующей частоты. В разделе 1 похожая ситуация описывалась при обсуждении выражения (7).

Рассмотрим другой способ анализа дисперсионных кривых, иллюстрирующий постоянство доминирующей частоты на примере трассы 1. Подставим (17) в (18). Учитывая, что на первой трассе скорость солитона v 1 t T MathType@MTEF@5@5@+= feaahGart1ev3aqatCvAUfeBSjuyZL2yd9gzLbvyNv2Caerbov2D09 MBdbqedmvETj2BSbqeduuDJXwAKbYu51MyVXgarqqr1ngBPrgifHhD YfgasaacHOWxg9qrFfeu0dXdh9vqqj=hEeeu0xXdbba9frFj0=OqFf ea0dXdd9vspGe9FjuP0=fs0xXdbba9pGe9xq=Jbba9suk9fr=xfr=x frpeWZqaaeaabiGaaiaadaqabeaabeqacqaaaOqaaiaadAhadaqhaa WcbaGaaGymaaqaaiaadshaaaGcdaqadaqaaiaadsfaaiaawIcacaGL Paaaaaa@3D7D@ , получаем

  F n T = v 1 t T D n T MathType@MTEF@5@5@+= feaahGart1ev3aqatCvAUfeBSjuyZL2yd9gzLbvyNv2Caerbov2D09 MBdbqedmvETj2BSbqeduuDJXwAKbYu51MyVXgarqqr1ngBPrgifHhD YfgasaacHOWxg9qrFfeu0dXdh9vqqj=hEeeu0xXdbba9frFj0=OqFf ea0dXdd9vspGe9FjuP0=fs0xXdbba9pGe9xq=Jbba9suk9fr=xfr=x frpeWZqaaeaabiGaaiaadaqabeaabeqacqaaaOqaaiaadAeadaWgaa WcbaGaamOBaaqabaGcdaqadaqaaiaadsfaaiaawIcacaGLPaaacqGH 9aqpdaWcaaqaaiaadAhadaqhaaWcbaGaaGymaaqaaiaadshaaaGcda qadaqaaiaadsfaaiaawIcacaGLPaaaaeaacaWGebWaaSbaaSqaaiaa d6gaaeqaaOWaaeWaaeaacaWGubaacaGLOaGaayzkaaaaaaaa@473D@ ,             (21)

D n T = 1 Mn m=1 Mn 1 Λ m,m+n T 1 MathType@MTEF@5@5@+= feaahGart1ev3aqatCvAUfeBSjuyZL2yd9gzLbvyNv2Caerbov2D09 MBdbqedmvETj2BSbqeduuDJXwAKbYu51MyVXgarqqr1ngBPrgifHhD YfgasaacHOWxg9qrFfeu0dXdh9vqqj=hEeeu0xXdbba9frFj0=OqFf ea0dXdd9vspGe9FjuP0=fs0xXdbba9pGe9xq=Jbba9suk9fr=xfr=x frpeWZqaaeaabiGaaiaadaqabeaabeqacqaaaOqaaiaadseadaWgaa WcbaGaamOBaaqabaGcdaqadaqaaiaadsfaaiaawIcacaGLPaaacqGH 9aqpdaWadaqaamaalaaabaGaaGymaaqaaiaad2eacqGHsislcaWGUb aaamaaqahabaWaaSaaaeaacaaIXaaabaGaeu4MdW0aaSbaaSqaaiaa d2gacaGGSaGaamyBaiabgUcaRiaad6gaaeqaaOWaaeWaaeaacaWGub aacaGLOaGaayzkaaaaaaWcbaGaamyBaiabg2da9iaaigdaaeaacaWG nbGaeyOeI0IaamOBaaqdcqGHris5aaGccaGLBbGaayzxaaWaaWbaaS qabeaacqGHsislcaaIXaaaaaaa@55C5@ .           (22)

Сравнивая с формулами лучевой теории (раздел 1), можем записать приближенные равенства: F n T n F D T MathType@MTEF@5@5@+= feaahGart1ev3aqatCvAUfeBSjuyZL2yd9gzLbvyNv2Caerbov2D09 MBdbqedmvETj2BSbqeduuDJXwAKbYu51MyVXgarqqr1ngBPrgifHhD YfgasaacHOWxg9qrFfeu0dXdh9vqqj=hEeeu0xXdbba9frFj0=OqFf ea0dXdd9vspGe9FjuP0=fs0xXdbba9pGe9xq=Jbba9suk9fr=xfr=x frpeWZqaaeaabiGaaiaadaqabeaabeqacqaaaOqaaiaadAeadaWgaa WcbaGaamOBaaqabaGcdaqadaqaaiaadsfaaiaawIcacaGLPaaacqGH ijYUcaWGUbGaamOramaaBaaaleaacaWGebaabeaakmaabmaabaGaam ivaaGaayjkaiaawMcaaaaa@435B@ , D n T D T /n MathType@MTEF@5@5@+= feaahGart1ev3aqatCvAUfeBSjuyZL2yd9gzLbvyNv2Caerbov2D09 MBdbqedmvETj2BSbqeduuDJXwAKbYu51MyVXgarqqr1ngBPrgifHhD YfgasaacHOWxg9qrFfeu0dXdh9vqqj=hEeeu0xXdbba9frFj0=OqFf ea0dXdd9vspGe9FjuP0=fs0xXdbba9pGe9xq=Jbba9suk9fr=xfr=x frpeWZqaaeaabiGaaiaadaqabeaabeqacqaaaOqaaiaadseadaWgaa WcbaGaamOBaaqabaGcdaqadaqaaiaadsfaaiaawIcacaGLPaaacqGH ijYUdaWcgaqaaiaadseadaqadaqaaiaadsfaaiaawIcacaGLPaaaae aacaWGUbaaaaaa@426E@ , где D T MathType@MTEF@5@5@+= feaahGart1ev3aqatCvAUfeBSjuyZL2yd9gzLbvyNv2Caerbov2D09 MBdbqedmvETj2BSbqeduuDJXwAKbYu51MyVXgarqqr1ngBPrgifHhD YfgasaacHOWxg9qrFfeu0dXdh9vqqj=hEeeu0xXdbba9frFj0=OqFf ea0dXdd9vspGe9FjuP0=fs0xXdbba9pGe9xq=Jbba9suk9fr=xfr=x frpeWZqaaeaabiGaaiaadaqabeaabeqacqaaaOqaaiaadseadaqada qaaiaadsfaaiaawIcacaGLPaaaaaa@3B60@  - цикл луча, определяющий доминирующие флуктуации. Если имеет место постоянство доминирующей частоты F D T =const MathType@MTEF@5@5@+= feaahGart1ev3aqatCvAUfeBSjuyZL2yd9gzLbvyNv2Caerbov2D09 MBdbqedmvETj2BSbqeduuDJXwAKbYu51MyVXgarqqr1ngBPrgifHhD YfgasaacHOWxg9qrFfeu0dXdh9vqqj=hEeeu0xXdbba9frFj0=OqFf ea0dXdd9vspGe9FjuP0=fs0xXdbba9pGe9xq=Jbba9suk9fr=xfr=x frpeWZqaaeaabiGaaiaadaqabeaabeqacqaaaOqaaiaadAeadaWgaa WcbaGaamiraaqabaGcdaqadaqaaiaadsfaaiaawIcacaGLPaaacqGH 9aqpcaGGJbGaai4Baiaac6gacaGGZbGaaiiDaaaa@4222@ , то значения v 1 t T MathType@MTEF@5@5@+= feaahGart1ev3aqatCvAUfeBSjuyZL2yd9gzLbvyNv2Caerbov2D09 MBdbqedmvETj2BSbqeduuDJXwAKbYu51MyVXgarqqr1ngBPrgifHhD YfgasaacHOWxg9qrFfeu0dXdh9vqqj=hEeeu0xXdbba9frFj0=OqFf ea0dXdd9vspGe9FjuP0=fs0xXdbba9pGe9xq=Jbba9suk9fr=xfr=x frpeWZqaaeaabiGaaiaadaqabeaabeqacqaaaOqaaiaadAhadaqhaa WcbaGaaGymaaqaaiaadshaaaGcdaqadaqaaiaadsfaaiaawIcacaGL Paaaaaa@3D7D@  должны быть пропорциональны значениям D T =n D n T MathType@MTEF@5@5@+= feaahGart1ev3aqatCvAUfeBSjuyZL2yd9gzLbvyNv2Caerbov2D09 MBdbqedmvETj2BSbqeduuDJXwAKbYu51MyVXgarqqr1ngBPrgifHhD YfgasaacHOWxg9qrFfeu0dXdh9vqqj=hEeeu0xXdbba9frFj0=OqFf ea0dXdd9vspGe9FjuP0=fs0xXdbba9pGe9xq=Jbba9suk9fr=xfr=x frpeWZqaaeaabiGaaiaadaqabeaabeqacqaaaOqaaiaadseadaqada qaaiaadsfaaiaawIcacaGLPaaacqGH9aqpcaWGUbGaamiramaaBaaa leaacaWGUbaabeaakmaabmaabaGaamivaaGaayjkaiaawMcaaaaa@41AD@  при каждом T MathType@MTEF@5@5@+= feaahGart1ev3aqatCvAUfeBSjuyZL2yd9gzLbvyNv2Caerbov2D09 MBdbqedmvETj2BSbqeduuDJXwAKbYu51MyVXgarqqr1ngBPrgifHhD YfgasaacHOWxg9qrFfeu0dXdh9vqqj=hEeeu0xXdbba9frFj0=OqFf ea0dXdd9vspGe9FjuP0=fs0xXdbba9pGe9xq=Jbba9suk9fr=xfr=x frpeWZqaaeaabiGaaiaadaqabeaabeqacqaaaOqaaiaadsfaaaa@390E@ . В последнем равенстве величина D T MathType@MTEF@5@5@+= feaahGart1ev3aqatCvAUfeBSjuyZL2yd9gzLbvyNv2Caerbov2D09 MBdbqedmvETj2BSbqeduuDJXwAKbYu51MyVXgarqqr1ngBPrgifHhD YfgasaacHOWxg9qrFfeu0dXdh9vqqj=hEeeu0xXdbba9frFj0=OqFf ea0dXdd9vspGe9FjuP0=fs0xXdbba9pGe9xq=Jbba9suk9fr=xfr=x frpeWZqaaeaabiGaaiaadaqabeaabeqacqaaaOqaaiaadseadaqada qaaiaadsfaaiaawIcacaGLPaaaaaa@3B60@  получена на основе (22) и является модовым аналогом цикла луча, определяющего доминирующие флуктуации. Для краткости будем употреблять термин “цикл луча” также для этой величины.

На рис. 8 изображены зависимости теоретической скорости солитона v 1 t MathType@MTEF@5@5@+= feaahGart1ev3aqatCvAUfeBSjuyZL2yd9gzLbvyNv2Caerbov2D09 MBdbqedmvETj2BSbqeduuDJXwAKbYu51MyVXgarqqr1ngBPrgifHhD YfgasaacHOWxg9qrFfeu0dXdh9vqqj=hEeeu0xXdbba9frFj0=OqFf ea0dXdd9vspGe9FjuP0=fs0xXdbba9pGe9xq=Jbba9suk9fr=xfr=x frpeWZqaaeaabiGaaiaadaqabeaabeqacqaaaOqaaiaadAhadaqhaa WcbaGaaGymaaqaaiaadshaaaaaaa@3B11@  от цикла луча D MathType@MTEF@5@5@+= feaahGart1ev3aqatCvAUfeBSjuyZL2yd9gzLbvyNv2Caerbov2D09 MBdbqedmvETj2BSbqeduuDJXwAKbYu51MyVXgarqqr1ngBPrgifHhD YfgasaacHOWxg9qrFfeu0dXdh9vqqj=hEeeu0xXdbba9frFj0=OqFf ea0dXdd9vspGe9FjuP0=fs0xXdbba9pGe9xq=Jbba9suk9fr=xfr=x frpeWZqaaeaabiGaaiaadaqabeaabeqacqaaaOqaaiaadseaaaa@38FE@ , полученные по приведенным выше формулам при разных n MathType@MTEF@5@5@+= feaahGart1ev3aqatCvAUfeBSjuyZL2yd9gzLbvyNv2Caerbov2D09 MBdbqedmvETj2BSbqeduuDJXwAKbYu51MyVXgarqqr1ngBPrgifHhD YfgasaacHOWxg9qrFfeu0dXdh9vqqj=hEeeu0xXdbba9frFj0=OqFf ea0dXdd9vspGe9FjuP0=fs0xXdbba9pGe9xq=Jbba9suk9fr=xfr=x frpeWZqaaeaabiGaaiaadaqabeaabeqacqaaaOqaaiaad6gaaaa@3928@  за все время движения солитона по трассе 1 (за 5 часов 54 мин, 07:54-13:48), что на 1 час больше интервала спектрограммы.

 

Рис. 8. Проверка пропорциональности между теоретической скоростью солитона и циклом луча на трассе 1. Цикл луча вычислен в рамках модовой теории на основе дисперсионных кривых 1, 2 и 3 порядков.

 

Пунктирная линия описывается уравнением прямой: v 1 t = F D D MathType@MTEF@5@5@+= feaahGart1ev3aqatCvAUfeBSjuyZL2yd9gzLbvyNv2Caerbov2D09 MBdbqedmvETj2BSbqeduuDJXwAKbYu51MyVXgarqqr1ngBPrgifHhD YfgasaacHOWxg9qrFfeu0dXdh9vqqj=hEeeu0xXdbba9frFj0=OqFf ea0dXdd9vspGe9FjuP0=fs0xXdbba9pGe9xq=Jbba9suk9fr=xfr=x frpeWZqaaeaabiGaaiaadaqabeaabeqacqaaaOqaaiaadAhadaqhaa WcbaGaaGymaaqaaiaadshaaaGccqGH9aqpcaWGgbWaaSbaaSqaaiaa dseaaeqaaOGaamiraaaa@3EB4@ , где F D 1.54 MathType@MTEF@5@5@+= feaahGart1ev3aqatCvAUfeBSjuyZL2yd9gzLbvyNv2Caerbov2D09 MBdbqedmvETj2BSbqeduuDJXwAKbYu51MyVXgarqqr1ngBPrgifHhD YfgasaacHOWxg9qrFfeu0dXdh9vqqj=hEeeu0xXdbba9frFj0=OqFf ea0dXdd9vspGe9FjuP0=fs0xXdbba9pGe9xq=Jbba9suk9fr=xfr=x frpeWZqaaeaabiGaaiaadaqabeaabeqacqaaaOqaaiaadAeadaWgaa WcbaGaamiraaqabaGccqGHijYUcaaIXaGaaiOlaiaaiwdacaaI0aaa aa@3E9A@  ц/ч рассчитано согласно (20) за полное время 07:54-13:48. Из рис. 8 можно сделать вывод о достаточно близкой пропорциональности между скоростью солитона и циклом луча, что указывает на постоянство доминирующей частоты.

2.4. Метод гистограмм

Перейдем к анализу экспериментальных спектрограмм. Цветные изображения на рис. 7 дают очень грубое представление о спектре доминирующих частот. Например, на спектрограмме для трассы 1 визуально не наблюдаются вторая и третья гармоники. А на спектрограмме для трассы 2 первая и вторая гармоники визуально сливаются в одну желтую полосу. Вместе с этим, детальный анализ спектров на каждой вертикали спектрограмм показывает, что в спектрах существуют слабо выраженные локальные максимумы, соответствующие гармоникам.

Уточним, как находятся локальные максимумы в спектрах. Под спектрами G k Ω =G Ω, T k MathType@MTEF@5@5@+= feaahGart1ev3aqatCvAUfeBSjuyZL2yd9gzLbvyNv2Caerbov2D09 MBdbqedmvETj2BSbqeduuDJXwAKbYu51MyVXgarqqr1ngBPrgifHhD YfgasaacHOWxg9qrFfeu0dXdh9vqqj=hEeeu0xXdbba9frFj0=OqFf ea0dXdd9vspGe9FjuP0=fs0xXdbba9pGe9xq=Jbba9suk9fr=xfr=x frpeWZqaaeaabiGaaiaadaqabeaabeqacqaaaOqaaiaadEeadaWgaa WcbaGaam4AaaqabaGcdaqadaqaaiabfM6axbGaayjkaiaawMcaaiab g2da9iaadEeadaqadaqaaiabfM6axjaacYcacaWGubWaaSbaaSqaai aadUgaaeqaaaGccaGLOaGaayzkaaaaaa@44D6@  здесь понимаются сечения спектрограммы (16) вдоль оси частот Ω MathType@MTEF@5@5@+= feaahGart1ev3aqatCvAUfeBSjuyZL2yd9gzLbvyNv2Caerbov2D09 MBdbqedmvETj2BSbqeduuDJXwAKbYu51MyVXgarqqr1ngBPrgifHhD YfgasaacHOWxg9qrFfeu0dXdh9vqqj=hEeeu0xXdbba9frFj0=OqFf ea0dXdd9vspGe9FjuP0=fs0xXdbba9pGe9xq=Jbba9suk9fr=xfr=x frpeWZqaaeaabiGaaiaadaqabeaabeqacqaaaOqaaiabfM6axbaa@39C3@  при каждом фиксированном времени T= T k MathType@MTEF@5@5@+= feaahGart1ev3aqatCvAUfeBSjuyZL2yd9gzLbvyNv2Caerbov2D09 MBdbqedmvETj2BSbqeduuDJXwAKbYu51MyVXgarqqr1ngBPrgifHhD YfgasaacHOWxg9qrFfeu0dXdh9vqqj=hEeeu0xXdbba9frFj0=OqFf ea0dXdd9vspGe9FjuP0=fs0xXdbba9pGe9xq=Jbba9suk9fr=xfr=x frpeWZqaaeaabiGaaiaadaqabeaabeqacqaaaOqaaiaadsfacqGH9a qpcaWGubWaaSbaaSqaaiaadUgaaeqaaaaa@3C09@ , k=1, 2, ..., K MathType@MTEF@5@5@+= feaahGart1ev3aqatCvAUfeBSjuyZL2yd9gzLbvyNv2Caerbov2D09 MBdbqedmvETj2BSbqeduuDJXwAKbYu51MyVXgarqqr1ngBPrgifHhD YfgasaacHOWxg9qrFfeu0dXdh9vqqj=hEeeu0xXdbba9frFj0=OqFf ea0dXdd9vspGe9FjuP0=fs0xXdbba9pGe9xq=Jbba9suk9fr=xfr=x frpeWZqaaeaabiGaaiaadaqabeaabeqacqaaaOqaaiaadUgacqGH9a qpcaaIXaGaaiilaiaabccacaaIYaGaaiilaiaabccacaGGUaGaaiOl aiaac6cacaGGSaGaaeiiaiaadUeaaaa@4281@ . Спектрограмма для трассы 1 (рис. 7а, 7б) имеет шаг по времени δT= T k+1 T k = MathType@MTEF@5@5@+= feaahGart1ev3aqatCvAUfeBSjuyZL2yd9gzLbvyNv2Caerbov2D09 MBdbqedmvETj2BSbqeduuDJXwAKbYu51MyVXgarqqr1ngBPrgifHhD YfgasaacHOWxg9qrFfeu0dXdh9vqqj=hEeeu0xXdbba9frFj0=OqFf ea0dXdd9vspGe9FjuP0=fs0xXdbba9pGe9xq=Jbba9suk9fr=xfr=x frpeWZqaaeaabiGaaiaadaqabeaabeqacqaaaOqaaiabes7aKjaads facqGH9aqpcaWGubWaaSbaaSqaaiaadUgacqGHRaWkcaaIXaaabeaa kiabgkHiTiaadsfadaWgaaWcbaGaam4AaaqabaGccqGH9aqpaaa@4347@  5 мин и состоит из K= MathType@MTEF@5@5@+= feaahGart1ev3aqatCvAUfeBSjuyZL2yd9gzLbvyNv2Caerbov2D09 MBdbqedmvETj2BSbqeduuDJXwAKbYu51MyVXgarqqr1ngBPrgifHhD YfgasaacHOWxg9qrFfeu0dXdh9vqqj=hEeeu0xXdbba9frFj0=OqFf ea0dXdd9vspGe9FjuP0=fs0xXdbba9pGe9xq=Jbba9suk9fr=xfr=x frpeWZqaaeaabiGaaiaadaqabeaabeqacqaaaOqaaiaadUeacqGH9a qpaaa@3A0B@  61 спектров. Спектрограмма для трассы 2 (рис. 7в, 7г) имеет шаг по времени δT= MathType@MTEF@5@5@+= feaahGart1ev3aqatCvAUfeBSjuyZL2yd9gzLbvyNv2Caerbov2D09 MBdbqedmvETj2BSbqeduuDJXwAKbYu51MyVXgarqqr1ngBPrgifHhD YfgasaacHOWxg9qrFfeu0dXdh9vqqj=hEeeu0xXdbba9frFj0=OqFf ea0dXdd9vspGe9FjuP0=fs0xXdbba9pGe9xq=Jbba9suk9fr=xfr=x frpeWZqaaeaabiGaaiaadaqabeaabeqacqaaaOqaaiabes7aKjaads facqGH9aqpaaa@3BB9@  1 мин и состоит из K= MathType@MTEF@5@5@+= feaahGart1ev3aqatCvAUfeBSjuyZL2yd9gzLbvyNv2Caerbov2D09 MBdbqedmvETj2BSbqeduuDJXwAKbYu51MyVXgarqqr1ngBPrgifHhD YfgasaacHOWxg9qrFfeu0dXdh9vqqj=hEeeu0xXdbba9frFj0=OqFf ea0dXdd9vspGe9FjuP0=fs0xXdbba9pGe9xq=Jbba9suk9fr=xfr=x frpeWZqaaeaabiGaaiaadaqabeaabeqacqaaaOqaaiaadUeacqGH9a qpaaa@3A0B@  63 спектров. Заметим, что для трассы 1 шаг δT MathType@MTEF@5@5@+= feaahGart1ev3aqatCvAUfeBSjuyZL2yd9gzLbvyNv2Caerbov2D09 MBdbqedmvETj2BSbqeduuDJXwAKbYu51MyVXgarqqr1ngBPrgifHhD YfgasaacHOWxg9qrFfeu0dXdh9vqqj=hEeeu0xXdbba9frFj0=OqFf ea0dXdd9vspGe9FjuP0=fs0xXdbba9pGe9xq=Jbba9suk9fr=xfr=x frpeWZqaaeaabiGaaiaadaqabeaabeqacqaaaOqaaiabes7aKjaads faaaa@3AB3@  совпадает с периодом следования акустических импульсов источника S1, а для трассы 2 шаг δT MathType@MTEF@5@5@+= feaahGart1ev3aqatCvAUfeBSjuyZL2yd9gzLbvyNv2Caerbov2D09 MBdbqedmvETj2BSbqeduuDJXwAKbYu51MyVXgarqqr1ngBPrgifHhD YfgasaacHOWxg9qrFfeu0dXdh9vqqj=hEeeu0xXdbba9frFj0=OqFf ea0dXdd9vspGe9FjuP0=fs0xXdbba9pGe9xq=Jbba9suk9fr=xfr=x frpeWZqaaeaabiGaaiaadaqabeaabeqacqaaaOqaaiabes7aKjaads faaaa@3AB3@  приблизительно в 15 раз больше периода следования акустических импульсов источника S2. Иными словами, на трассе 1 обрабатывался каждый принимаемый импульс, а на трассе 2 - каждый пятнадцатый. Из-за использования в (16) оконной функции Хемминга все полученные спектры G k Ω MathType@MTEF@5@5@+= feaahGart1ev3aqatCvAUfeBSjuyZL2yd9gzLbvyNv2Caerbov2D09 MBdbqedmvETj2BSbqeduuDJXwAKbYu51MyVXgarqqr1ngBPrgifHhD YfgasaacHOWxg9qrFfeu0dXdh9vqqj=hEeeu0xXdbba9frFj0=OqFf ea0dXdd9vspGe9FjuP0=fs0xXdbba9pGe9xq=Jbba9suk9fr=xfr=x frpeWZqaaeaabiGaaiaadaqabeaabeqacqaaaOqaaiaadEeadaWgaa WcbaGaam4AaaqabaGcdaqadaqaaiabfM6axbGaayjkaiaawMcaaaaa @3D3E@  представляют собой плавные функции, имеющие ряд локальных максимумов при неких частотах Ω ks MathType@MTEF@5@5@+= feaahGart1ev3aqatCvAUfeBSjuyZL2yd9gzLbvyNv2Caerbov2D09 MBdbqedmvETj2BSbqeduuDJXwAKbYu51MyVXgarqqr1ngBPrgifHhD YfgasaacHOWxg9qrFfeu0dXdh9vqqj=hEeeu0xXdbba9frFj0=OqFf ea0dXdd9vspGe9FjuP0=fs0xXdbba9pGe9xq=Jbba9suk9fr=xfr=x frpeWZqaaeaabiGaaiaadaqabeaabeqacqaaaOqaaiabfM6axnaaBa aaleaacaWGRbGaam4Caaqabaaaaa@3BD7@ , s=1, 2, ..., S MathType@MTEF@5@5@+= feaahGart1ev3aqatCvAUfeBSjuyZL2yd9gzLbvyNv2Caerbov2D09 MBdbqedmvETj2BSbqeduuDJXwAKbYu51MyVXgarqqr1ngBPrgifHhD YfgasaacHOWxg9qrFfeu0dXdh9vqqj=hEeeu0xXdbba9frFj0=OqFf ea0dXdd9vspGe9FjuP0=fs0xXdbba9pGe9xq=Jbba9suk9fr=xfr=x frpeWZqaaeaabiGaaiaadaqabeaabeqacqaaaOqaaiaadohacqGH9a qpcaaIXaGaaiilaiaabccacaaIYaGaaiilaiaabccacaGGUaGaaiOl aiaac6cacaGGSaGaaeiiaiaadofaaaa@4291@ .

Положение и количество локальных максимумов в спектрах G k Ω MathType@MTEF@5@5@+= feaahGart1ev3aqatCvAUfeBSjuyZL2yd9gzLbvyNv2Caerbov2D09 MBdbqedmvETj2BSbqeduuDJXwAKbYu51MyVXgarqqr1ngBPrgifHhD YfgasaacHOWxg9qrFfeu0dXdh9vqqj=hEeeu0xXdbba9frFj0=OqFf ea0dXdd9vspGe9FjuP0=fs0xXdbba9pGe9xq=Jbba9suk9fr=xfr=x frpeWZqaaeaabiGaaiaadaqabeaabeqacqaaaOqaaiaadEeadaWgaa WcbaGaam4AaaqabaGcdaqadaqaaiabfM6axbGaayjkaiaawMcaaaaa @3D3E@  варьируется с течением времени, что объясняется взаимодействием спектральных пиков на дисперсионных кривых. Если в статистическом смысле доминирующая частота и ее гармоники остаются постоянными при движении солитона, то, вычисляя гистограмму распределения локальных максимумов по всем спектрам в спектрограмме за достаточно продолжительный промежуток времени, можно выделить гармоники по соответствующим максимумам гистограммы.

На рис. 9 приведены гистограммы распределения локальных максимумов для трасс 1 и 2. Как видно, максимумы гистограмм явно указывают на положение кратных частот флуктуаций (экспериментальных гармоник) в отличие от исходных цветных спектрограмм. Значения частот флуктуаций, соответствующие максимумам гистограмм, подписаны возле каждого пика. Для сравнения пунктирными линиями показаны положения теоретических гармоник F D,n MathType@MTEF@5@5@+= feaahGart1ev3aqatCvAUfeBSjuyZL2yd9gzLbvyNv2Caerbov2D09 MBdbqedmvETj2BSbqeduuDJXwAKbYu51MyVXgarqqr1ngBPrgifHhD YfgasaacHOWxg9qrFfeu0dXdh9vqqj=hEeeu0xXdbba9frFj0=OqFf ea0dXdd9vspGe9FjuP0=fs0xXdbba9pGe9xq=Jbba9suk9fr=xfr=x frpeWZqaaeaabiGaaiaadaqabeaabeqacqaaaOqaaiaadAeadaWgaa WcbaGaamiraiaacYcacaWGUbaabeaaaaa@3B98@ , вычисленных согласно (19). Возле пунктирных линий подписаны значения F D,n MathType@MTEF@5@5@+= feaahGart1ev3aqatCvAUfeBSjuyZL2yd9gzLbvyNv2Caerbov2D09 MBdbqedmvETj2BSbqeduuDJXwAKbYu51MyVXgarqqr1ngBPrgifHhD YfgasaacHOWxg9qrFfeu0dXdh9vqqj=hEeeu0xXdbba9frFj0=OqFf ea0dXdd9vspGe9FjuP0=fs0xXdbba9pGe9xq=Jbba9suk9fr=xfr=x frpeWZqaaeaabiGaaiaadaqabeaabeqacqaaaOqaaiaadAeadaWgaa WcbaGaamiraiaacYcacaWGUbaabeaaaaa@3B98@ .

 

Рис. 9. Гистограммы распределения локальных максимумов, определяемых на каждой вертикали в спектрограммах.

 

В табл. 2 приведены средние значения экспериментальных и теоретических доминирующих частот вместе с их доверительными интервалами. Наблюдается хорошее соответствие результатов на обеих трассах.

 

Таблица 2. Значения доминирующих частот на трассах 1 и 2.

 

Теория, ц/ч

Эксперимент, ц/ч

Трасса 1

1.54±0.10

1.57±0.16

Трасса 2

4.43±0.05

4.06±0.44

 

Напомним, что теоретический расчет доминирующей частоты проводился путем усреднения дисперсионных кривых, полученных для первых M= MathType@MTEF@5@5@+= feaahGart1ev3aqatCvAUfeBSjuyZL2yd9gzLbvyNv2Caerbov2D09 MBdbqedmvETj2BSbqeduuDJXwAKbYu51MyVXgarqqr1ngBPrgifHhD YfgasaacHOWxg9qrFfeu0dXdh9vqqj=hEeeu0xXdbba9frFj0=OqFf ea0dXdd9vspGe9FjuP0=fs0xXdbba9pGe9xq=Jbba9suk9fr=xfr=x frpeWZqaaeaabiGaaiaadaqabeaabeqacqaaaOqaaiaad2eacqGH9a qpaaa@3A0D@  7 мод. Данное число мод было выбрано в результате сравнения экспериментальных доверительных интервалов доминирующей частоты с теоретическими, полученными при различном числе мод. Как видно из рис. 10, при M= MathType@MTEF@5@5@+= feaahGart1ev3aqatCvAUfeBSjuyZL2yd9gzLbvyNv2Caerbov2D09 MBdbqedmvETj2BSbqeduuDJXwAKbYu51MyVXgarqqr1ngBPrgifHhD YfgasaacHOWxg9qrFfeu0dXdh9vqqj=hEeeu0xXdbba9frFj0=OqFf ea0dXdd9vspGe9FjuP0=fs0xXdbba9pGe9xq=Jbba9suk9fr=xfr=x frpeWZqaaeaabiGaaiaadaqabeaabeqacqaaaOqaaiaad2eacqGH9a qpaaa@3A0D@  7 экспериментальные и теоретические доверительные интервалы максимально близки на обеих трассах.

 

Рис. 10. Красные сплошные линии – границы экспериментальных доверительных интервалов доминирующей частоты. Синие сплошные линии – границы теоретических доверительных интервалов доминирующей частоты, полученные при заданном числе M мод. Интервалы максимально близки при M=7 на обеих трассах.

 

Интересно отметить, что первые 7 мод, взаимодействие между которыми определяет доминирующие флуктуации на обеих трассах, не являются в равной степени энергонесущими модами. Это следует из рис. 11, где приведены значения модулей амплитуд мод A m r MathType@MTEF@5@5@+= feaahGart1ev3aqatCvAUfeBSjuyZL2yd9gzLbvyNv2Caerbov2D09 MBdbqedmvETj2BSbqeduuDJXwAKbYu51MyVXgarqqr1ngBPrgifHhD YfgasaacHOWxg9qrFfeu0dXdh9vqqj=hEeeu0xXdbba9frFj0=OqFf ea0dXdd9vspGe9FjuP0=fs0xXdbba9pGe9xq=Jbba9suk9fr=xfr=x frpeWZqaaeaabiGaaiaadaqabeaabeqacqaaaOqaamaaemaabaGaam yqamaaBaaaleaacaWGTbaabeaakmaabmaabaGaamOCaaGaayjkaiaa wMcaaaGaay5bSlaawIa7aaaa@3FC5@  на трассах 1 и 2 в отсутствие солитона. При этом комплексная амплитуда звукового поля выражается через амплитуды мод A m r MathType@MTEF@5@5@+= feaahGart1ev3aqatCvAUfeBSjuyZL2yd9gzLbvyNv2Caerbov2D09 MBdbqedmvETj2BSbqeduuDJXwAKbYu51MyVXgarqqr1ngBPrgifHhD YfgasaacHOWxg9qrFfeu0dXdh9vqqj=hEeeu0xXdbba9frFj0=OqFf ea0dXdd9vspGe9FjuP0=fs0xXdbba9pGe9xq=Jbba9suk9fr=xfr=x frpeWZqaaeaabiGaaiaadaqabeaabeqacqaaaOqaaiaadgeadaWgaa WcbaGaamyBaaqabaGcdaqadaqaaiaadkhaaiaawIcacaGLPaaaaaa@3CA3@  равенством

  P= 1 r m A m r ψ m r,z MathType@MTEF@5@5@+= feaahGart1ev3aqatCvAUfeBSjuyZL2yd9gzLbvyNv2Caerbov2D09 MBdbqedmvETj2BSbqeduuDJXwAKbYu51MyVXgarqqr1ngBPrgifHhD YfgasaacHOWxg9qrFfeu0dXdh9vqqj=hEeeu0xXdbba9frFj0=OqFf ea0dXdd9vspGe9FjuP0=fs0xXdbba9pGe9xq=Jbba9suk9fr=xfr=x frpeWZqaaeaabiGaaiaadaqabeaabeqacqaaaOqaaiaadcfacqGH9a qpdaWcaaqaaiaaigdaaeaadaGcaaqaaiaadkhaaSqabaaaaOWaaabu aeaacaWGbbWaaSbaaSqaaiaad2gaaeqaaOWaaeWaaeaacaWGYbaaca GLOaGaayzkaaGaeqiYdK3aaSbaaSqaaiaad2gaaeqaaOWaaeWaaeaa caWGYbGaaiilaiaadQhaaiaawIcacaGLPaaaaSqaaiaad2gaaeqani abggHiLdaaaa@4A9F@ ,         (23)

где ψ m r,z MathType@MTEF@5@5@+= feaahGart1ev3aqatCvAUfeBSjuyZL2yd9gzLbvyNv2Caerbov2D09 MBdbqedmvETj2BSbqeduuDJXwAKbYu51MyVXgarqqr1ngBPrgifHhD YfgasaacHOWxg9qrFfeu0dXdh9vqqj=hEeeu0xXdbba9frFj0=OqFf ea0dXdd9vspGe9FjuP0=fs0xXdbba9pGe9xq=Jbba9suk9fr=xfr=x frpeWZqaaeaabiGaaiaadaqabeaabeqacqaaaOqaaiabeI8a5naaBa aaleaacaWGTbaabeaakmaabmaabaGaamOCaiaacYcacaWG6baacaGL OaGaayzkaaaaaa@3F5A@  - собственные функции мод. Расчетное выражение для A m r MathType@MTEF@5@5@+= feaahGart1ev3aqatCvAUfeBSjuyZL2yd9gzLbvyNv2Caerbov2D09 MBdbqedmvETj2BSbqeduuDJXwAKbYu51MyVXgarqqr1ngBPrgifHhD YfgasaacHOWxg9qrFfeu0dXdh9vqqj=hEeeu0xXdbba9frFj0=OqFf ea0dXdd9vspGe9FjuP0=fs0xXdbba9pGe9xq=Jbba9suk9fr=xfr=x frpeWZqaaeaabiGaaiaadaqabeaabeqacqaaaOqaaiaadgeadaWgaa WcbaGaamyBaaqabaGcdaqadaqaaiaadkhaaiaawIcacaGLPaaaaaa@3CA3@  следует из формулы (21) работы [19].

 

Рис. 11. Зависимость модулей амплитуд мод от расстояния на трассах 1 и 2. Картины нормированы на максимум на каждой вертикали.

 

2.5. Угловая зависимость флуктуаций

Рассмотрим прямолинейный фронт солитона, двигающийся с постоянной скоростью v MathType@MTEF@5@5@+= feaahGart1ev3aqatCvAUfeBSjuyZL2yd9gzLbvyNv2Caerbov2D09 MBdbqedmvETj2BSbqeduuDJXwAKbYu51MyVXgarqqr1ngBPrgifHhD YfgasaacHOWxg9qrFfeu0dXdh9vqqj=hEeeu0xXdbba9frFj0=OqFf ea0dXdd9vspGe9FjuP0=fs0xXdbba9pGe9xq=Jbba9suk9fr=xfr=x frpeWZqaaeaabiGaaiaadaqabeaabeqacqaaaOqaaiaadAhadaWgaa WcbaGaeyyPI4fabeaaaaa@3B0D@  в однородном волноводе и пересекающий две акустические трассы под углами α 1 MathType@MTEF@5@5@+= feaahGart1ev3aqatCvAUfeBSjuyZL2yd9gzLbvyNv2Caerbov2D09 MBdbqedmvETj2BSbqeduuDJXwAKbYu51MyVXgarqqr1ngBPrgifHhD YfgasaacHOWxg9qrFfeu0dXdh9vqqj=hEeeu0xXdbba9frFj0=OqFf ea0dXdd9vspGe9FjuP0=fs0xXdbba9pGe9xq=Jbba9suk9fr=xfr=x frpeWZqaaeaabiGaaiaadaqabeaabeqacqaaaOqaaiabeg7aHnaaBa aaleaacaaIXaaabeaaaaa@3ABB@  и α 2 MathType@MTEF@5@5@+= feaahGart1ev3aqatCvAUfeBSjuyZL2yd9gzLbvyNv2Caerbov2D09 MBdbqedmvETj2BSbqeduuDJXwAKbYu51MyVXgarqqr1ngBPrgifHhD YfgasaacHOWxg9qrFfeu0dXdh9vqqj=hEeeu0xXdbba9frFj0=OqFf ea0dXdd9vspGe9FjuP0=fs0xXdbba9pGe9xq=Jbba9suk9fr=xfr=x frpeWZqaaeaabiGaaiaadaqabeaabeqacqaaaOqaaiabeg7aHnaaBa aaleaacaaIYaaabeaaaaa@3ABC@ . Тогда выполняется равенство (3), характеризующее угловую зависимость доминирующей частоты флуктуаций.

Проверим выполнимость описанных выше условий для трасс 1 и 2 в эксперименте ASIAEX. Спутниковые снимки показывают, что фронт солитона можно считать приблизительно прямолинейным (рис. 3). В интервале 11:53-13:48 (1 час 55 мин) солитон перемещается одновременно по обеим трассам. При этом фронт солитона находится внутри треугольника E2-E3-E4 (рис. 4а). Большая часть площади этого треугольника представляет собой зону шельфа со сглаженным рельефом и средней глубиной 130 м. Исключение составляет километровая окрестность точки Е2 (край бровки шельфа), где глубина моря резко возрастает до 200 м в точке Е2. Пренебрегая влиянием этой окрестности, будем считать, что в треугольнике E2-E3-E4 солитон имеет постоянную скорость v MathType@MTEF@5@5@+= feaahGart1ev3aqatCvAUfeBSjuyZL2yd9gzLbvyNv2Caerbov2D09 MBdbqedmvETj2BSbqeduuDJXwAKbYu51MyVXgarqqr1ngBPrgifHhD YfgasaacHOWxg9qrFfeu0dXdh9vqqj=hEeeu0xXdbba9frFj0=OqFf ea0dXdd9vspGe9FjuP0=fs0xXdbba9pGe9xq=Jbba9suk9fr=xfr=x frpeWZqaaeaabiGaaiaadaqabeaabeqacqaaaOqaaiaadAhadaWgaa WcbaGaeyyPI4fabeaaaaa@3B0D@  перпендикулярно фронту и постоянный угол β MathType@MTEF@5@5@+= feaahGart1ev3aqatCvAUfeBSjuyZL2yd9gzLbvyNv2Caerbov2D09 MBdbqedmvETj2BSbqeduuDJXwAKbYu51MyVXgarqqr1ngBPrgifHhD YfgasaacHOWxg9qrFfeu0dXdh9vqqj=hEeeu0xXdbba9frFj0=OqFf ea0dXdd9vspGe9FjuP0=fs0xXdbba9pGe9xq=Jbba9suk9fr=xfr=x frpeWZqaaeaabiGaaiaadaqabeaabeqacqaaaOqaaiabek7aIbaa@39D6@  наклона фронта к оси долгот ( 90°β90° MathType@MTEF@5@5@+= feaahGart1ev3aqatCvAUfeBSjuyZL2yd9gzLbvyNv2Caerbov2D09 MBdbqedmvETj2BSbqeduuDJXwAKbYu51MyVXgarqqr1ngBPrgifHhD YfgasaacHOWxg9qrFfeu0dXdh9vqqj=hEeeu0xXdbba9frFj0=OqFf ea0dXdd9vspGe9FjuP0=fs0xXdbba9pGe9xq=Jbba9suk9fr=xfr=x frpeWZqaaeaabiGaaiaadaqabeaabeqacqaaaOqaaiabgkHiTiaaiM dacaaIWaGaeyiSaaRaeyizImQaeqOSdiMaeyizImQaaGyoaiaaicda cqGHWcaSaaa@44FF@  ). Зная координаты точек Е2, Е3, Е4 и время прихода T2, T3, T4 на них солитона (табл. 1), можно рассчитать величины v MathType@MTEF@5@5@+= feaahGart1ev3aqatCvAUfeBSjuyZL2yd9gzLbvyNv2Caerbov2D09 MBdbqedmvETj2BSbqeduuDJXwAKbYu51MyVXgarqqr1ngBPrgifHhD YfgasaacHOWxg9qrFfeu0dXdh9vqqj=hEeeu0xXdbba9frFj0=OqFf ea0dXdd9vspGe9FjuP0=fs0xXdbba9pGe9xq=Jbba9suk9fr=xfr=x frpeWZqaaeaabiGaaiaadaqabeaabeqacqaaaOqaaiaadAhadaWgaa WcbaGaeyyPI4fabeaaaaa@3B0D@  и β MathType@MTEF@5@5@+= feaahGart1ev3aqatCvAUfeBSjuyZL2yd9gzLbvyNv2Caerbov2D09 MBdbqedmvETj2BSbqeduuDJXwAKbYu51MyVXgarqqr1ngBPrgifHhD YfgasaacHOWxg9qrFfeu0dXdh9vqqj=hEeeu0xXdbba9frFj0=OqFf ea0dXdd9vspGe9FjuP0=fs0xXdbba9pGe9xq=Jbba9suk9fr=xfr=x frpeWZqaaeaabiGaaiaadaqabeaabeqacqaaaOqaaiabek7aIbaa@39D6@ . Затем, зная координаты начала и конца акустических трасс 1 и 2, можно найти углы α 1 MathType@MTEF@5@5@+= feaahGart1ev3aqatCvAUfeBSjuyZL2yd9gzLbvyNv2Caerbov2D09 MBdbqedmvETj2BSbqeduuDJXwAKbYu51MyVXgarqqr1ngBPrgifHhD YfgasaacHOWxg9qrFfeu0dXdh9vqqj=hEeeu0xXdbba9frFj0=OqFf ea0dXdd9vspGe9FjuP0=fs0xXdbba9pGe9xq=Jbba9suk9fr=xfr=x frpeWZqaaeaabiGaaiaadaqabeaabeqacqaaaOqaaiabeg7aHnaaBa aaleaacaaIXaaabeaaaaa@3ABB@  и α 2 MathType@MTEF@5@5@+= feaahGart1ev3aqatCvAUfeBSjuyZL2yd9gzLbvyNv2Caerbov2D09 MBdbqedmvETj2BSbqeduuDJXwAKbYu51MyVXgarqqr1ngBPrgifHhD YfgasaacHOWxg9qrFfeu0dXdh9vqqj=hEeeu0xXdbba9frFj0=OqFf ea0dXdd9vspGe9FjuP0=fs0xXdbba9pGe9xq=Jbba9suk9fr=xfr=x frpeWZqaaeaabiGaaiaadaqabeaabeqacqaaaOqaaiabeg7aHnaaBa aaleaacaaIYaaabeaaaaa@3ABC@  наклона фронта солитона к этим трассам.

Приведем решение задачи в общем виде. Пусть точки 1, 2, 3 образуют треугольник; ϕ k MathType@MTEF@5@5@+= feaahGart1ev3aqatCvAUfeBSjuyZL2yd9gzLbvyNv2Caerbov2D09 MBdbqedmvETj2BSbqeduuDJXwAKbYu51MyVXgarqqr1ngBPrgifHhD YfgasaacHOWxg9qrFfeu0dXdh9vqqj=hEeeu0xXdbba9frFj0=OqFf ea0dXdd9vspGe9FjuP0=fs0xXdbba9pGe9xq=Jbba9suk9fr=xfr=x frpeWZqaaeaabiGaaiaadaqabeaabeqacqaaaOqaaiabew9aMnaaBa aaleaacaWGRbaabeaaaaa@3B19@  и θ k MathType@MTEF@5@5@+= feaahGart1ev3aqatCvAUfeBSjuyZL2yd9gzLbvyNv2Caerbov2D09 MBdbqedmvETj2BSbqeduuDJXwAKbYu51MyVXgarqqr1ngBPrgifHhD YfgasaacHOWxg9qrFfeu0dXdh9vqqj=hEeeu0xXdbba9frFj0=OqFf ea0dXdd9vspGe9FjuP0=fs0xXdbba9pGe9xq=Jbba9suk9fr=xfr=x frpeWZqaaeaabiGaaiaadaqabeaabeqacqaaaOqaaiabeI7aXnaaBa aaleaacaWGRbaabeaaaaa@3B07@  ( k=1, 2, 3 MathType@MTEF@5@5@+= feaahGart1ev3aqatCvAUfeBSjuyZL2yd9gzLbvyNv2Caerbov2D09 MBdbqedmvETj2BSbqeduuDJXwAKbYu51MyVXgarqqr1ngBPrgifHhD YfgasaacHOWxg9qrFfeu0dXdh9vqqj=hEeeu0xXdbba9frFj0=OqFf ea0dXdd9vspGe9FjuP0=fs0xXdbba9pGe9xq=Jbba9suk9fr=xfr=x frpeWZqaaeaabiGaaiaadaqabeaabeqacqaaaOqaaiaadUgacqGH9a qpcaaIXaGaaiilaiaabccacaaIYaGaaiilaiaabccacaaIZaaaaa@3F05@  ) - долгота и широта точек в радианах, t k MathType@MTEF@5@5@+= feaahGart1ev3aqatCvAUfeBSjuyZL2yd9gzLbvyNv2Caerbov2D09 MBdbqedmvETj2BSbqeduuDJXwAKbYu51MyVXgarqqr1ngBPrgifHhD YfgasaacHOWxg9qrFfeu0dXdh9vqqj=hEeeu0xXdbba9frFj0=OqFf ea0dXdd9vspGe9FjuP0=fs0xXdbba9pGe9xq=Jbba9suk9fr=xfr=x frpeWZqaaeaabiGaaiaadaqabeaabeqacqaaaOqaaiaadshadaWgaa WcbaGaam4Aaaqabaaaaa@3A4A@  - времена прихода солитона на точки. Введем декартову систему координат с центром в точке ϕ 0 , θ 0 MathType@MTEF@5@5@+= feaahGart1ev3aqatCvAUfeBSjuyZL2yd9gzLbvyNv2Caerbov2D09 MBdbqedmvETj2BSbqeduuDJXwAKbYu51MyVXgarqqr1ngBPrgifHhD YfgasaacHOWxg9qrFfeu0dXdh9vqqj=hEeeu0xXdbba9frFj0=OqFf ea0dXdd9vspGe9FjuP0=fs0xXdbba9pGe9xq=Jbba9suk9fr=xfr=x frpeWZqaaeaabiGaaiaadaqabeaabeqacqaaaOqaamaabmaabaGaeq y1dy2aaSbaaSqaaiaaicdaaeqaaOGaaiilaiabeI7aXnaaBaaaleaa caaIWaaabeaaaOGaayjkaiaawMcaaaaa@3FCC@ , которую предполагаем расположенной недалеко от заданного треугольника. Ось x MathType@MTEF@5@5@+= feaahGart1ev3aqatCvAUfeBSjuyZL2yd9gzLbvyNv2Caerbov2D09 MBdbqedmvETj2BSbqeduuDJXwAKbYu51MyVXgarqqr1ngBPrgifHhD YfgasaacHOWxg9qrFfeu0dXdh9vqqj=hEeeu0xXdbba9frFj0=OqFf ea0dXdd9vspGe9FjuP0=fs0xXdbba9pGe9xq=Jbba9suk9fr=xfr=x frpeWZqaaeaabiGaaiaadaqabeaabeqacqaaaOqaaiaadIhaaaa@3932@  направим по оси долгот, ось y MathType@MTEF@5@5@+= feaahGart1ev3aqatCvAUfeBSjuyZL2yd9gzLbvyNv2Caerbov2D09 MBdbqedmvETj2BSbqeduuDJXwAKbYu51MyVXgarqqr1ngBPrgifHhD YfgasaacHOWxg9qrFfeu0dXdh9vqqj=hEeeu0xXdbba9frFj0=OqFf ea0dXdd9vspGe9FjuP0=fs0xXdbba9pGe9xq=Jbba9suk9fr=xfr=x frpeWZqaaeaabiGaaiaadaqabeaabeqacqaaaOqaaiaadMhaaaa@3933@  - по оси широт. Тогда декартовы координаты точек 1, 2, 3 равны:

  x k = ϕ k ϕ 0 R E cos θ 0 , y k = θ k θ 0 R E , MathType@MTEF@5@5@+= feaahGart1ev3aqatCvAUfeBSjuyZL2yd9gzLbvyNv2Caerbov2D09 MBdbqedmvETj2BSbqeduuDJXwAKbYu51MyVXgarqqr1ngBPrgifHhD YfgasaacHOWxg9qrFfeu0dXdh9vqqj=hEeeu0xXdbba9frFj0=OqFf ea0dXdd9vspGe9FjuP0=fs0xXdbba9pGe9xq=Jbba9suk9fr=xfr=x frpeWZqaaeaabiGaaiaadaqabeaabeqacqaaaOabaeqabaGaamiEam aaBaaaleaacaWGRbaabeaakiabg2da9maabmaabaGaeqy1dy2aaSba aSqaaiaadUgaaeqaaOGaeyOeI0Iaeqy1dy2aaSbaaSqaaiaaicdaae qaaaGccaGLOaGaayzkaaGaamOuamaaBaaaleaacaWGfbaabeaakiGa cogacaGGVbGaai4CaiabeI7aXnaaBaaaleaacaaIWaaabeaakiaacY caaeaacaWG5bWaaSbaaSqaaiaadUgaaeqaaOGaeyypa0ZaaeWaaeaa cqaH4oqCdaWgaaWcbaGaam4AaaqabaGccqGHsislcqaH4oqCdaWgaa WcbaGaaGimaaqabaaakiaawIcacaGLPaaacaWGsbWaaSbaaSqaaiaa dweaaeqaaOGaaiilaaaaaa@592A@              (24)

где R E = MathType@MTEF@5@5@+= feaahGart1ev3aqatCvAUfeBSjuyZL2yd9gzLbvyNv2Caerbov2D09 MBdbqedmvETj2BSbqeduuDJXwAKbYu51MyVXgarqqr1ngBPrgifHhD YfgasaacHOWxg9qrFfeu0dXdh9vqqj=hEeeu0xXdbba9frFj0=OqFf ea0dXdd9vspGe9FjuP0=fs0xXdbba9pGe9xq=Jbba9suk9fr=xfr=x frpeWZqaaeaabiGaaiaadaqabeaabeqacqaaaOqaaiaadkfadaWgaa WcbaGaamyraaqabaGccqGH9aqpaaa@3B12@  6364 км - радиус Земли. Обозначим: Δ x 1k = x 1 x k MathType@MTEF@5@5@+= feaahGart1ev3aqatCvAUfeBSjuyZL2yd9gzLbvyNv2Caerbov2D09 MBdbqedmvETj2BSbqeduuDJXwAKbYu51MyVXgarqqr1ngBPrgifHhD YfgasaacHOWxg9qrFfeu0dXdh9vqqj=hEeeu0xXdbba9frFj0=OqFf ea0dXdd9vspGe9FjuP0=fs0xXdbba9pGe9xq=Jbba9suk9fr=xfr=x frpeWZqaaeaabiGaaiaadaqabeaabeqacqaaaOqaaiabfs5aejaadI hadaWgaaWcbaGaaGymaiaadUgaaeqaaOGaeyypa0JaamiEamaaBaaa leaacaaIXaaabeaakiabgkHiTiaadIhadaWgaaWcbaGaam4Aaaqaba aaaa@4273@ , Δ y 1k = y 1 y k MathType@MTEF@5@5@+= feaahGart1ev3aqatCvAUfeBSjuyZL2yd9gzLbvyNv2Caerbov2D09 MBdbqedmvETj2BSbqeduuDJXwAKbYu51MyVXgarqqr1ngBPrgifHhD YfgasaacHOWxg9qrFfeu0dXdh9vqqj=hEeeu0xXdbba9frFj0=OqFf ea0dXdd9vspGe9FjuP0=fs0xXdbba9pGe9xq=Jbba9suk9fr=xfr=x frpeWZqaaeaabiGaaiaadaqabeaabeqacqaaaOqaaiabfs5aejaadM hadaWgaaWcbaGaaGymaiaadUgaaeqaaOGaeyypa0JaamyEamaaBaaa leaacaaIXaaabeaakiabgkHiTiaadMhadaWgaaWcbaGaam4Aaaqaba aaaa@4276@ , Δ t 1k = t 1 t k MathType@MTEF@5@5@+= feaahGart1ev3aqatCvAUfeBSjuyZL2yd9gzLbvyNv2Caerbov2D09 MBdbqedmvETj2BSbqeduuDJXwAKbYu51MyVXgarqqr1ngBPrgifHhD YfgasaacHOWxg9qrFfeu0dXdh9vqqj=hEeeu0xXdbba9frFj0=OqFf ea0dXdd9vspGe9FjuP0=fs0xXdbba9pGe9xq=Jbba9suk9fr=xfr=x frpeWZqaaeaabiGaaiaadaqabeaabeqacqaaaOqaaiabfs5aejaads hadaWgaaWcbaGaaGymaiaadUgaaeqaaOGaeyypa0JaamiDamaaBaaa leaacaaIXaaabeaakiabgkHiTiaadshadaWgaaWcbaGaam4Aaaqaba aaaa@4267@ . В приведенных обозначениях решение задачи на поиск v MathType@MTEF@5@5@+= feaahGart1ev3aqatCvAUfeBSjuyZL2yd9gzLbvyNv2Caerbov2D09 MBdbqedmvETj2BSbqeduuDJXwAKbYu51MyVXgarqqr1ngBPrgifHhD YfgasaacHOWxg9qrFfeu0dXdh9vqqj=hEeeu0xXdbba9frFj0=OqFf ea0dXdd9vspGe9FjuP0=fs0xXdbba9pGe9xq=Jbba9suk9fr=xfr=x frpeWZqaaeaabiGaaiaadaqabeaabeqacqaaaOqaaiaadAhadaWgaa WcbaGaeyyPI4fabeaaaaa@3B0D@  и β MathType@MTEF@5@5@+= feaahGart1ev3aqatCvAUfeBSjuyZL2yd9gzLbvyNv2Caerbov2D09 MBdbqedmvETj2BSbqeduuDJXwAKbYu51MyVXgarqqr1ngBPrgifHhD YfgasaacHOWxg9qrFfeu0dXdh9vqqj=hEeeu0xXdbba9frFj0=OqFf ea0dXdd9vspGe9FjuP0=fs0xXdbba9pGe9xq=Jbba9suk9fr=xfr=x frpeWZqaaeaabiGaaiaadaqabeaabeqacqaaaOqaaiabek7aIbaa@39D6@  имеет вид

  β=arctg Δ y 12 Δ t 13 Δ y 13 Δ t 12 Δ x 12 Δ t 13 Δ x 13 Δ t 12 MathType@MTEF@5@5@+= feaahGart1ev3aqatCvAUfeBSjuyZL2yd9gzLbvyNv2Caerbov2D09 MBdbqedmvETj2BSbqeduuDJXwAKbYu51MyVXgarqqr1ngBPrgifHhD YfgasaacHOWxg9qrFfeu0dXdh9vqqj=hEeeu0xXdbba9frFj0=OqFf ea0dXdd9vspGe9FjuP0=fs0xXdbba9pGe9xq=Jbba9suk9fr=xfr=x frpeWZqaaeaabiGaaiaadaqabeaabeqacqaaaOqaaiabek7aIjabg2 da9iaacggacaGGYbGaai4yaiaacshacaGGNbWaaSaaaeaacqqHuoar caWG5bWaaSbaaSqaaiaaigdacaaIYaaabeaakiabfs5aejaadshada WgaaWcbaGaaGymaiaaiodaaeqaaOGaeyOeI0IaeuiLdqKaamyEamaa BaaaleaacaaIXaGaaG4maaqabaGccqqHuoarcaWG0bWaaSbaaSqaai aaigdacaaIYaaabeaaaOqaaiabfs5aejaadIhadaWgaaWcbaGaaGym aiaaikdaaeqaaOGaeuiLdqKaamiDamaaBaaaleaacaaIXaGaaG4maa qabaGccqGHsislcqqHuoarcaWG4bWaaSbaaSqaaiaaigdacaaIZaaa beaakiabfs5aejaadshadaWgaaWcbaGaaGymaiaaikdaaeqaaaaaaa a@61D7@ ,   (25)

v = Δ y 12 Δ x 12 tgβ Δ t 12 MathType@MTEF@5@5@+= feaahGart1ev3aqatCvAUfeBSjuyZL2yd9gzLbvyNv2Caerbov2D09 MBdbqedmvETj2BSbqeduuDJXwAKbYu51MyVXgarqqr1ngBPrgifHhD YfgasaacHOWxg9qrFfeu0dXdh9vqqj=hEeeu0xXdbba9frFj0=OqFf ea0dXdd9vspGe9FjuP0=fs0xXdbba9pGe9xq=Jbba9suk9fr=xfr=x frpeWZqaaeaabiGaaiaadaqabeaabeqacqaaaOqaaiaadAhadaWgaa WcbaGaeyyPI4fabeaakiabg2da9maalaaabaGaeuiLdqKaamyEamaa BaaaleaacaaIXaGaaGOmaaqabaGccqGHsislcqqHuoarcaWG4bWaaS baaSqaaiaaigdacaaIYaaabeaakiaacshacaGGNbGaeqOSdigabaGa euiLdqKaamiDamaaBaaaleaacaaIXaGaaGOmaaqabaaaaaaa@4CC1@ .    (26)

Если Δ t 12 =0 MathType@MTEF@5@5@+= feaahGart1ev3aqatCvAUfeBSjuyZL2yd9gzLbvyNv2Caerbov2D09 MBdbqedmvETj2BSbqeduuDJXwAKbYu51MyVXgarqqr1ngBPrgifHhD YfgasaacHOWxg9qrFfeu0dXdh9vqqj=hEeeu0xXdbba9frFj0=OqFf ea0dXdd9vspGe9FjuP0=fs0xXdbba9pGe9xq=Jbba9suk9fr=xfr=x frpeWZqaaeaabiGaaiaadaqabeaabeqacqaaaOqaaiabfs5aejaads hadaWgaaWcbaGaaGymaiaaikdaaeqaaOGaeyypa0JaaGimaaaa@3E01@ , то нужно поменять местами нумерацию точек 2 и 3.

Для треугольника E2-E3-E4 получаем значения: v = MathType@MTEF@5@5@+= feaahGart1ev3aqatCvAUfeBSjuyZL2yd9gzLbvyNv2Caerbov2D09 MBdbqedmvETj2BSbqeduuDJXwAKbYu51MyVXgarqqr1ngBPrgifHhD YfgasaacHOWxg9qrFfeu0dXdh9vqqj=hEeeu0xXdbba9frFj0=OqFf ea0dXdd9vspGe9FjuP0=fs0xXdbba9pGe9xq=Jbba9suk9fr=xfr=x frpeWZqaaeaabiGaaiaadaqabeaabeqacqaaaOqaaiaadAhadaWgaa WcbaGaeyyPI4fabeaakiabg2da9aaa@3C1D@  0.89 м/с, β= MathType@MTEF@5@5@+= feaahGart1ev3aqatCvAUfeBSjuyZL2yd9gzLbvyNv2Caerbov2D09 MBdbqedmvETj2BSbqeduuDJXwAKbYu51MyVXgarqqr1ngBPrgifHhD YfgasaacHOWxg9qrFfeu0dXdh9vqqj=hEeeu0xXdbba9frFj0=OqFf ea0dXdd9vspGe9FjuP0=fs0xXdbba9pGe9xq=Jbba9suk9fr=xfr=x frpeWZqaaeaabiGaaiaadaqabeaabeqacqaaaOqaaiabek7aIjabg2 da9aaa@3ADC@  39.7°. Для иллюстрации на рис. 4а изображен восстановленный фронт солитона в рассматриваемом треугольнике в момент времени 12:20. Интересно отметить, что если предположить прямолинейность и равномерность движения фронта солитона в треугольнике Е1-Е2-Е4, то получаем значения: v = MathType@MTEF@5@5@+= feaahGart1ev3aqatCvAUfeBSjuyZL2yd9gzLbvyNv2Caerbov2D09 MBdbqedmvETj2BSbqeduuDJXwAKbYu51MyVXgarqqr1ngBPrgifHhD YfgasaacHOWxg9qrFfeu0dXdh9vqqj=hEeeu0xXdbba9frFj0=OqFf ea0dXdd9vspGe9FjuP0=fs0xXdbba9pGe9xq=Jbba9suk9fr=xfr=x frpeWZqaaeaabiGaaiaadaqabeaabeqacqaaaOqaaiaadAhadaWgaa WcbaGaeyyPI4fabeaakiabg2da9aaa@3C1D@  1.62 м/с, β= MathType@MTEF@5@5@+= feaahGart1ev3aqatCvAUfeBSjuyZL2yd9gzLbvyNv2Caerbov2D09 MBdbqedmvETj2BSbqeduuDJXwAKbYu51MyVXgarqqr1ngBPrgifHhD YfgasaacHOWxg9qrFfeu0dXdh9vqqj=hEeeu0xXdbba9frFj0=OqFf ea0dXdd9vspGe9FjuP0=fs0xXdbba9pGe9xq=Jbba9suk9fr=xfr=x frpeWZqaaeaabiGaaiaadaqabeaabeqacqaaaOqaaiabek7aIjabg2 da9aaa@3ADC@  39.3°. Таким образом, угол наклона фронта солитона практически не меняется при переходе из одного треугольника в другой, а меняется только его скорость. Это объясняется тем, что фронт солитона практически параллелен линии Е2-Е4, которая в свою очередь приблизительно совпадает с линией бровки шельфа.

Пусть x S1 , y S1 MathType@MTEF@5@5@+= feaahGart1ev3aqatCvAUfeBSjuyZL2yd9gzLbvyNv2Caerbov2D09 MBdbqedmvETj2BSbqeduuDJXwAKbYu51MyVXgarqqr1ngBPrgifHhD YfgasaacHOWxg9qrFfeu0dXdh9vqqj=hEeeu0xXdbba9frFj0=OqFf ea0dXdd9vspGe9FjuP0=fs0xXdbba9pGe9xq=Jbba9suk9fr=xfr=x frpeWZqaaeaabiGaaiaadaqabeaabeqacqaaaOqaamaabmaabaGaam iEamaaBaaaleaacaWGtbGaaGymaaqabaGccaGGSaGaamyEamaaBaaa leaacaWGtbGaaGymaaqabaaakiaawIcacaGLPaaaaaa@3FFB@  и x S2 , y S2 MathType@MTEF@5@5@+= feaahGart1ev3aqatCvAUfeBSjuyZL2yd9gzLbvyNv2Caerbov2D09 MBdbqedmvETj2BSbqeduuDJXwAKbYu51MyVXgarqqr1ngBPrgifHhD YfgasaacHOWxg9qrFfeu0dXdh9vqqj=hEeeu0xXdbba9frFj0=OqFf ea0dXdd9vspGe9FjuP0=fs0xXdbba9pGe9xq=Jbba9suk9fr=xfr=x frpeWZqaaeaabiGaaiaadaqabeaabeqacqaaaOqaamaabmaabaGaam iEamaaBaaaleaacaWGtbGaaGOmaaqabaGccaGGSaGaamyEamaaBaaa leaacaWGtbGaaGOmaaqabaaakiaawIcacaGLPaaaaaa@3FFD@  - декартовы координаты источников S1 и S2 при расположении начала координат в точке VLA. Тогда углы наклона фронта солитона к трассам 1 и 2 находятся по формулам:

  α 1 =180°β+arctg y S1 x S1 MathType@MTEF@5@5@+= feaahGart1ev3aqatCvAUfeBSjuyZL2yd9gzLbvyNv2Caerbov2D09 MBdbqedmvETj2BSbqeduuDJXwAKbYu51MyVXgarqqr1ngBPrgifHhD YfgasaacHOWxg9qrFfeu0dXdh9vqqj=hEeeu0xXdbba9frFj0=OqFf ea0dXdd9vspGe9FjuP0=fs0xXdbba9pGe9xq=Jbba9suk9fr=xfr=x frpeWZqaaeaabiGaaiaadaqabeaabeqacqaaaOqaaiabeg7aHnaaBa aaleaacaaIXaaabeaakiabg2da9iaaigdacaaI4aGaaGimaiabgcla WkabgkHiTiabek7aIjabgUcaRiaacggacaGGYbGaai4yaiaacshaca GGNbWaaSaaaeaacaWG5bWaaSbaaSqaaiaadofacaaIXaaabeaaaOqa aiaadIhadaWgaaWcbaGaam4uaiaaigdaaeqaaaaaaaa@4D96@ ,         (27)

  α 2 =βarctg y S2 x S2 MathType@MTEF@5@5@+= feaahGart1ev3aqatCvAUfeBSjuyZL2yd9gzLbvyNv2Caerbov2D09 MBdbqedmvETj2BSbqeduuDJXwAKbYu51MyVXgarqqr1ngBPrgifHhD YfgasaacHOWxg9qrFfeu0dXdh9vqqj=hEeeu0xXdbba9frFj0=OqFf ea0dXdd9vspGe9FjuP0=fs0xXdbba9pGe9xq=Jbba9suk9fr=xfr=x frpeWZqaaeaabiGaaiaadaqabeaabeqacqaaaOqaaiabeg7aHnaaBa aaleaacaaIYaaabeaakiabg2da9iabek7aIjabgkHiTiaacggacaGG YbGaai4yaiaacshacaGGNbWaaSaaaeaacaWG5bWaaSbaaSqaaiaado facaaIYaaabeaaaOqaaiaadIhadaWgaaWcbaGaam4uaiaaikdaaeqa aaaaaaa@4894@ .       (28)

Численные значения углов равны: α 1 = MathType@MTEF@5@5@+= feaahGart1ev3aqatCvAUfeBSjuyZL2yd9gzLbvyNv2Caerbov2D09 MBdbqedmvETj2BSbqeduuDJXwAKbYu51MyVXgarqqr1ngBPrgifHhD YfgasaacHOWxg9qrFfeu0dXdh9vqqj=hEeeu0xXdbba9frFj0=OqFf ea0dXdd9vspGe9FjuP0=fs0xXdbba9pGe9xq=Jbba9suk9fr=xfr=x frpeWZqaaeaabiGaaiaadaqabeaabeqacqaaaOqaaiabeg7aHnaaBa aaleaacaaIXaaabeaakiabg2da9aaa@3BCB@  68.6°, α 2 = MathType@MTEF@5@5@+= feaahGart1ev3aqatCvAUfeBSjuyZL2yd9gzLbvyNv2Caerbov2D09 MBdbqedmvETj2BSbqeduuDJXwAKbYu51MyVXgarqqr1ngBPrgifHhD YfgasaacHOWxg9qrFfeu0dXdh9vqqj=hEeeu0xXdbba9frFj0=OqFf ea0dXdd9vspGe9FjuP0=fs0xXdbba9pGe9xq=Jbba9suk9fr=xfr=x frpeWZqaaeaabiGaaiaadaqabeaabeqacqaaaOqaaiabeg7aHnaaBa aaleaacaaIYaaabeaakiabg2da9aaa@3BCC@  18.7°.

Экспериментальные значения доминирующих частот на трассах 1 и 2 равны: F D1 = MathType@MTEF@5@5@+= feaahGart1ev3aqatCvAUfeBSjuyZL2yd9gzLbvyNv2Caerbov2D09 MBdbqedmvETj2BSbqeduuDJXwAKbYu51MyVXgarqqr1ngBPrgifHhD YfgasaacHOWxg9qrFfeu0dXdh9vqqj=hEeeu0xXdbba9frFj0=OqFf ea0dXdd9vspGe9FjuP0=fs0xXdbba9pGe9xq=Jbba9suk9fr=xfr=x frpeWZqaaeaabiGaaiaadaqabeaabeqacqaaaOqaaiaadAeadaWgaa WcbaGaamiraiaaigdaaeqaaOGaeyypa0daaa@3BC0@  1.57 ± 0.16

ц/ч, F D2 = MathType@MTEF@5@5@+= feaahGart1ev3aqatCvAUfeBSjuyZL2yd9gzLbvyNv2Caerbov2D09 MBdbqedmvETj2BSbqeduuDJXwAKbYu51MyVXgarqqr1ngBPrgifHhD YfgasaacHOWxg9qrFfeu0dXdh9vqqj=hEeeu0xXdbba9frFj0=OqFf ea0dXdd9vspGe9FjuP0=fs0xXdbba9pGe9xq=Jbba9suk9fr=xfr=x frpeWZqaaeaabiGaaiaadaqabeaabeqacqaaaOqaaiaadAeadaWgaa WcbaGaamiraiaaikdaaeqaaOGaeyypa0daaa@3BC1@  4.06 ± 0.44 ц/ч (табл. 2). Отсюда:

F D1 sin α 1 = MathType@MTEF@5@5@+= feaahGart1ev3aqatCvAUfeBSjuyZL2yd9gzLbvyNv2Caerbov2D09 MBdbqedmvETj2BSbqeduuDJXwAKbYu51MyVXgarqqr1ngBPrgifHhD YfgasaacHOWxg9qrFfeu0dXdh9vqqj=hEeeu0xXdbba9frFj0=OqFf ea0dXdd9vspGe9FjuP0=fs0xXdbba9pGe9xq=Jbba9suk9fr=xfr=x frpeWZqaaeaabiGaaiaadaqabeaabeqacqaaaOqaaiaadAeadaWgaa WcbaGaamiraiaaigdaaeqaaOGaci4CaiaacMgacaGGUbGaeqySde2a aSbaaSqaaiaaigdaaeqaaOGaeyypa0daaa@4128@  1.46 ± 0.15 ц/ч,

F D2 sin α 2 = MathType@MTEF@5@5@+= feaahGart1ev3aqatCvAUfeBSjuyZL2yd9gzLbvyNv2Caerbov2D09 MBdbqedmvETj2BSbqeduuDJXwAKbYu51MyVXgarqqr1ngBPrgifHhD YfgasaacHOWxg9qrFfeu0dXdh9vqqj=hEeeu0xXdbba9frFj0=OqFf ea0dXdd9vspGe9FjuP0=fs0xXdbba9pGe9xq=Jbba9suk9fr=xfr=x frpeWZqaaeaabiGaaiaadaqabeaabeqacqaaaOqaaiaadAeadaWgaa WcbaGaamiraiaaikdaaeqaaOGaci4CaiaacMgacaGGUbGaeqySde2a aSbaaSqaaiaaikdaaeqaaOGaeyypa0daaa@412A@  1.30 ± 0.14 ц/ч.

Теоретические значения доминирующих частот на трассах 1 и 2 равны: F D1 =1.54±0.10 MathType@MTEF@5@5@+= feaahGart1ev3aqatCvAUfeBSjuyZL2yd9gzLbvyNv2Caerbov2D09 MBdbqedmvETj2BSbqeduuDJXwAKbYu51MyVXgarqqr1ngBPrgifHhD YfgasaacHOWxg9qrFfeu0dXdh9vqqj=hEeeu0xXdbba9frFj0=OqFf ea0dXdd9vspGe9FjuP0=fs0xXdbba9pGe9xq=Jbba9suk9fr=xfr=x frpeWZqaaeaabiGaaiaadaqabeaabeqacqaaaOqaaiaadAeadaWgaa WcbaGaamiraiaaigdaaeqaaOGaeyypa0JaaGymaiaac6cacaaI1aGa aGinaiabgglaXkaaicdacaGGUaGaaGymaiaaicdaaaa@4379@  ц/ч, F D2 =4.43±0.05 MathType@MTEF@5@5@+= feaahGart1ev3aqatCvAUfeBSjuyZL2yd9gzLbvyNv2Caerbov2D09 MBdbqedmvETj2BSbqeduuDJXwAKbYu51MyVXgarqqr1ngBPrgifHhD YfgasaacHOWxg9qrFfeu0dXdh9vqqj=hEeeu0xXdbba9frFj0=OqFf ea0dXdd9vspGe9FjuP0=fs0xXdbba9pGe9xq=Jbba9suk9fr=xfr=x frpeWZqaaeaabiGaaiaadaqabeaabeqacqaaaOqaaiaadAeadaWgaa WcbaGaamiraiaaikdaaeqaaOGaeyypa0JaaGinaiaac6cacaaI0aGa aG4maiabgglaXkaaicdacaGGUaGaaGimaiaaiwdaaaa@437F@  ц/ч (табл. 2). Отсюда:

F D1 sin α 1 =1.43±0.09 MathType@MTEF@5@5@+= feaahGart1ev3aqatCvAUfeBSjuyZL2yd9gzLbvyNv2Caerbov2D09 MBdbqedmvETj2BSbqeduuDJXwAKbYu51MyVXgarqqr1ngBPrgifHhD YfgasaacHOWxg9qrFfeu0dXdh9vqqj=hEeeu0xXdbba9frFj0=OqFf ea0dXdd9vspGe9FjuP0=fs0xXdbba9pGe9xq=Jbba9suk9fr=xfr=x frpeWZqaaeaabiGaaiaadaqabeaabeqacqaaaOqaaiaadAeadaWgaa WcbaGaamiraiaaigdaaeqaaOGaci4CaiaacMgacaGGUbGaeqySde2a aSbaaSqaaiaaigdaaeqaaOGaeyypa0JaaGymaiaac6cacaaI0aGaaG 4maiabgglaXkaaicdacaGGUaGaaGimaiaaiMdaaaa@48E7@  ц/ч

F D2 sin α 2 =1.42±0.02 MathType@MTEF@5@5@+= feaahGart1ev3aqatCvAUfeBSjuyZL2yd9gzLbvyNv2Caerbov2D09 MBdbqedmvETj2BSbqeduuDJXwAKbYu51MyVXgarqqr1ngBPrgifHhD YfgasaacHOWxg9qrFfeu0dXdh9vqqj=hEeeu0xXdbba9frFj0=OqFf ea0dXdd9vspGe9FjuP0=fs0xXdbba9pGe9xq=Jbba9suk9fr=xfr=x frpeWZqaaeaabiGaaiaadaqabeaabeqacqaaaOqaaiaadAeadaWgaa WcbaGaamiraiaaikdaaeqaaOGaci4CaiaacMgacaGGUbGaeqySde2a aSbaaSqaaiaaikdaaeqaaOGaeyypa0JaaGymaiaac6cacaaI0aGaaG OmaiabgglaXkaaicdacaGGUaGaaGimaiaaikdaaaa@48E1@  ц/ч.

Полученные доверительные интервалы в обоих случаях пересекаются, что подтверждает угловую зависимость (3) доминирующих частот в эксперименте ASIAEX.

Напомним, что аналогичная проверка впервые была проведена в эксперименте SW06 [12, 15, 16]. Равенство F D sinα=const MathType@MTEF@5@5@+= feaahGart1ev3aqatCvAUfeBSjuyZL2yd9gzLbvyNv2Caerbov2D09 MBdbqedmvETj2BSbqeduuDJXwAKbYu51MyVXgarqqr1ngBPrgifHhD YfgasaacHOWxg9qrFfeu0dXdh9vqqj=hEeeu0xXdbba9frFj0=OqFf ea0dXdd9vspGe9FjuP0=fs0xXdbba9pGe9xq=Jbba9suk9fr=xfr=x frpeWZqaaeaabiGaaiaadaqabeaabeqacqaaaOqaaiaadAeadaWgaa WcbaGaamiraaqabaGcciGGZbGaaiyAaiaac6gacqaHXoqycqGH9aqp caGGJbGaai4Baiaac6gacaGGZbGaaiiDaaaa@4437@  может быть использовано для акустического мониторинга солитонов.

Согласно (1) цикл луча, ответственного за доминирующие флуктуации, равен: D= v / F D sinα MathType@MTEF@5@5@+= feaahGart1ev3aqatCvAUfeBSjuyZL2yd9gzLbvyNv2Caerbov2D09 MBdbqedmvETj2BSbqeduuDJXwAKbYu51MyVXgarqqr1ngBPrgifHhD YfgasaacHOWxg9qrFfeu0dXdh9vqqj=hEeeu0xXdbba9frFj0=OqFf ea0dXdd9vspGe9FjuP0=fs0xXdbba9pGe9xq=Jbba9suk9fr=xfr=x frpeWZqaaeaabiGaaiaadaqabeaabeqacqaaaOqaaiaadseacqGH9a qpdaWcgaqaaiaadAhadaWgaaWcbaGaeyyPI4fabeaaaOqaamaabmaa baGaamOramaaBaaaleaacaWGebaabeaakiGacohacaGGPbGaaiOBai abeg7aHbGaayjkaiaawMcaaaaaaaa@44C6@ . Принимая для треугольника Е2-E3-E4 скорость солитона v = MathType@MTEF@5@5@+= feaahGart1ev3aqatCvAUfeBSjuyZL2yd9gzLbvyNv2Caerbov2D09 MBdbqedmvETj2BSbqeduuDJXwAKbYu51MyVXgarqqr1ngBPrgifHhD YfgasaacHOWxg9qrFfeu0dXdh9vqqj=hEeeu0xXdbba9frFj0=OqFf ea0dXdd9vspGe9FjuP0=fs0xXdbba9pGe9xq=Jbba9suk9fr=xfr=x frpeWZqaaeaabiGaaiaadaqabeaabeqacqaaaOqaaiaadAhadaWgaa WcbaGaeyyPI4fabeaakiabg2da9aaa@3C1D@  0.89 м/с, среднее экспериментальное значение F D sinα= MathType@MTEF@5@5@+= feaahGart1ev3aqatCvAUfeBSjuyZL2yd9gzLbvyNv2Caerbov2D09 MBdbqedmvETj2BSbqeduuDJXwAKbYu51MyVXgarqqr1ngBPrgifHhD YfgasaacHOWxg9qrFfeu0dXdh9vqqj=hEeeu0xXdbba9frFj0=OqFf ea0dXdd9vspGe9FjuP0=fs0xXdbba9pGe9xq=Jbba9suk9fr=xfr=x frpeWZqaaeaabiGaaiaadaqabeaabeqacqaaaOqaaiaadAeadaWgaa WcbaGaamiraaqabaGcciGGZbGaaiyAaiaac6gacqaHXoqycqGH9aqp aaa@3F7C@  1.38 ц/ч, получаем: D= MathType@MTEF@5@5@+= feaahGart1ev3aqatCvAUfeBSjuyZL2yd9gzLbvyNv2Caerbov2D09 MBdbqedmvETj2BSbqeduuDJXwAKbYu51MyVXgarqqr1ngBPrgifHhD YfgasaacHOWxg9qrFfeu0dXdh9vqqj=hEeeu0xXdbba9frFj0=OqFf ea0dXdd9vspGe9FjuP0=fs0xXdbba9pGe9xq=Jbba9suk9fr=xfr=x frpeWZqaaeaabiGaaiaadaqabeaabeqacqaaaOqaaiaadseacqGH9a qpaaa@3A04@  2.32 км. Для среднего теоретического значения, равного F D sinα= MathType@MTEF@5@5@+= feaahGart1ev3aqatCvAUfeBSjuyZL2yd9gzLbvyNv2Caerbov2D09 MBdbqedmvETj2BSbqeduuDJXwAKbYu51MyVXgarqqr1ngBPrgifHhD YfgasaacHOWxg9qrFfeu0dXdh9vqqj=hEeeu0xXdbba9frFj0=OqFf ea0dXdd9vspGe9FjuP0=fs0xXdbba9pGe9xq=Jbba9suk9fr=xfr=x frpeWZqaaeaabiGaaiaadaqabeaabeqacqaaaOqaaiaadAeadaWgaa WcbaGaamiraaqabaGcciGGZbGaaiyAaiaac6gacqaHXoqycqGH9aqp aaa@3F7C@  1.425 ц/ч, получаем близкую величину: D= MathType@MTEF@5@5@+= feaahGart1ev3aqatCvAUfeBSjuyZL2yd9gzLbvyNv2Caerbov2D09 MBdbqedmvETj2BSbqeduuDJXwAKbYu51MyVXgarqqr1ngBPrgifHhD YfgasaacHOWxg9qrFfeu0dXdh9vqqj=hEeeu0xXdbba9frFj0=OqFf ea0dXdd9vspGe9FjuP0=fs0xXdbba9pGe9xq=Jbba9suk9fr=xfr=x frpeWZqaaeaabiGaaiaadaqabeaabeqacqaaaOqaaiaadseacqGH9a qpaaa@3A04@  2.25 км.

2.6. Измеренная скорость солитона

Постоянство доминирующей частоты дает возможность измерить переменную скорость солитона на трассах 1 и 2 как функцию расстояния или времени косвенным акустическим методом. Полученную таким образом скорость солитона будем называть измеренной в отличие от средней экспериментальной и теоретической скоростей солитона, которые были определены в разделах 2.1 и 2.2.

Измеренная скорость солитона как функция расстояния определяется выражением (11): v a r = F D D r MathType@MTEF@5@5@+= feaahGart1ev3aqatCvAUfeBSjuyZL2yd9gzLbvyNv2Caerbov2D09 MBdbqedmvETj2BSbqeduuDJXwAKbYu51MyVXgarqqr1ngBPrgifHhD YfgasaacHOWxg9qrFfeu0dXdh9vqqj=hEeeu0xXdbba9frFj0=OqFf ea0dXdd9vspGe9FjuP0=fs0xXdbba9pGe9xq=Jbba9suk9fr=xfr=x frpeWZqaaeaabiGaaiaadaqabeaabeqacqaaaOqaaiaadAhadaahaa WcbeqaaiaadggaaaGcdaqadaqaaiaadkhaaiaawIcacaGLPaaacqGH 9aqpcaWGgbWaaSbaaSqaaiaadseaaeqaaOGaamiramaabmaabaGaam OCaaGaayjkaiaawMcaaaaa@42E6@ , где F D MathType@MTEF@5@5@+= feaahGart1ev3aqatCvAUfeBSjuyZL2yd9gzLbvyNv2Caerbov2D09 MBdbqedmvETj2BSbqeduuDJXwAKbYu51MyVXgarqqr1ngBPrgifHhD YfgasaacHOWxg9qrFfeu0dXdh9vqqj=hEeeu0xXdbba9frFj0=OqFf ea0dXdd9vspGe9FjuP0=fs0xXdbba9pGe9xq=Jbba9suk9fr=xfr=x frpeWZqaaeaabiGaaiaadaqabeaabeqacqaaaOqaaiaadAeadaWgaa WcbaGaamiraaqabaaaaa@39F5@  - экспериментальная доминирующая частота, D r MathType@MTEF@5@5@+= feaahGart1ev3aqatCvAUfeBSjuyZL2yd9gzLbvyNv2Caerbov2D09 MBdbqedmvETj2BSbqeduuDJXwAKbYu51MyVXgarqqr1ngBPrgifHhD YfgasaacHOWxg9qrFfeu0dXdh9vqqj=hEeeu0xXdbba9frFj0=OqFf ea0dXdd9vspGe9FjuP0=fs0xXdbba9pGe9xq=Jbba9suk9fr=xfr=x frpeWZqaaeaabiGaaiaadaqabeaabeqacqaaaOqaaiaadseadaqada qaaiaadkhaaiaawIcacaGLPaaaaaa@3B7E@  - цикл луча, определяющий доминирующие флуктуации и связанный с пространственными периодами биений мод выражением (10) при M=7 MathType@MTEF@5@5@+= feaahGart1ev3aqatCvAUfeBSjuyZL2yd9gzLbvyNv2Caerbov2D09 MBdbqedmvETj2BSbqeduuDJXwAKbYu51MyVXgarqqr1ngBPrgifHhD YfgasaacHOWxg9qrFfeu0dXdh9vqqj=hEeeu0xXdbba9frFj0=OqFf ea0dXdd9vspGe9FjuP0=fs0xXdbba9pGe9xq=Jbba9suk9fr=xfr=x frpeWZqaaeaabiGaaiaadaqabeaabeqacqaaaOqaaiaad2eacqGH9a qpcaaI3aaaaa@3ACE@ . Для иллюстрации на рис. 12а изображены пространственные периоды биений мод Λ m,m+1 r MathType@MTEF@5@5@+= feaahGart1ev3aqatCvAUfeBSjuyZL2yd9gzLbvyNv2Caerbov2D09 MBdbqedmvETj2BSbqeduuDJXwAKbYu51MyVXgarqqr1ngBPrgifHhD YfgasaacHOWxg9qrFfeu0dXdh9vqqj=hEeeu0xXdbba9frFj0=OqFf ea0dXdd9vspGe9FjuP0=fs0xXdbba9pGe9xq=Jbba9suk9fr=xfr=x frpeWZqaaeaabiGaaiaadaqabeaabeqacqaaaOqaaiabfU5amnaaBa aaleaacaWGTbGaaiilaiaad2gacqGHRaWkcaaIXaaabeaakmaabmaa baGaamOCaaGaayjkaiaawMcaaaaa@4091@  для трассы 1, а на рис. 12б красной линией показан сформированный из них цикл луча D r MathType@MTEF@5@5@+= feaahGart1ev3aqatCvAUfeBSjuyZL2yd9gzLbvyNv2Caerbov2D09 MBdbqedmvETj2BSbqeduuDJXwAKbYu51MyVXgarqqr1ngBPrgifHhD YfgasaacHOWxg9qrFfeu0dXdh9vqqj=hEeeu0xXdbba9frFj0=OqFf ea0dXdd9vspGe9FjuP0=fs0xXdbba9pGe9xq=Jbba9suk9fr=xfr=x frpeWZqaaeaabiGaaiaadaqabeaabeqacqaaaOqaaiaadseadaqada qaaiaadkhaaiaawIcacaGLPaaaaaa@3B7E@ .

 

Рис. 12. (а) – Пространственные периоды биений мод с номерами m и m+1 для трассы 1. (б) – Цикл луча, определяющий доминирующие флуктуации, полученный в рамках модовой и лучевой теорий для трассы 1.

 

Если для определения измеренной скорости солитона v a r MathType@MTEF@5@5@+= feaahGart1ev3aqatCvAUfeBSjuyZL2yd9gzLbvyNv2Caerbov2D09 MBdbqedmvETj2BSbqeduuDJXwAKbYu51MyVXgarqqr1ngBPrgifHhD YfgasaacHOWxg9qrFfeu0dXdh9vqqj=hEeeu0xXdbba9frFj0=OqFf ea0dXdd9vspGe9FjuP0=fs0xXdbba9pGe9xq=Jbba9suk9fr=xfr=x frpeWZqaaeaabiGaaiaadaqabeaabeqacqaaaOqaaiaadAhadaahaa WcbeqaaiaadggaaaGcdaqadaqaaiaadkhaaiaawIcacaGLPaaaaaa@3CCD@  в качестве F D MathType@MTEF@5@5@+= feaahGart1ev3aqatCvAUfeBSjuyZL2yd9gzLbvyNv2Caerbov2D09 MBdbqedmvETj2BSbqeduuDJXwAKbYu51MyVXgarqqr1ngBPrgifHhD YfgasaacHOWxg9qrFfeu0dXdh9vqqj=hEeeu0xXdbba9frFj0=OqFf ea0dXdd9vspGe9FjuP0=fs0xXdbba9pGe9xq=Jbba9suk9fr=xfr=x frpeWZqaaeaabiGaaiaadaqabeaabeqacqaaaOqaaiaadAeadaWgaa WcbaGaamiraaqabaaaaa@39F5@  использовать экспериментальный доверительный интервал (табл. 2), то получим интервальное значение v a r MathType@MTEF@5@5@+= feaahGart1ev3aqatCvAUfeBSjuyZL2yd9gzLbvyNv2Caerbov2D09 MBdbqedmvETj2BSbqeduuDJXwAKbYu51MyVXgarqqr1ngBPrgifHhD YfgasaacHOWxg9qrFfeu0dXdh9vqqj=hEeeu0xXdbba9frFj0=OqFf ea0dXdd9vspGe9FjuP0=fs0xXdbba9pGe9xq=Jbba9suk9fr=xfr=x frpeWZqaaeaabiGaaiaadaqabeaabeqacqaaaOqaaiaadAhadaahaa WcbeqaaiaadggaaaGcdaqadaqaaiaadkhaaiaawIcacaGLPaaaaaa@3CCD@ . Покажем, как можно получить оптимальную точечную оценку v a r MathType@MTEF@5@5@+= feaahGart1ev3aqatCvAUfeBSjuyZL2yd9gzLbvyNv2Caerbov2D09 MBdbqedmvETj2BSbqeduuDJXwAKbYu51MyVXgarqqr1ngBPrgifHhD YfgasaacHOWxg9qrFfeu0dXdh9vqqj=hEeeu0xXdbba9frFj0=OqFf ea0dXdd9vspGe9FjuP0=fs0xXdbba9pGe9xq=Jbba9suk9fr=xfr=x frpeWZqaaeaabiGaaiaadaqabeaabeqacqaaaOqaaiaadAhadaahaa WcbeqaaiaadggaaaGcdaqadaqaaiaadkhaaiaawIcacaGLPaaaaaa@3CCD@ , которая в общем случае будет лучше, чем точечная оценка, полученная при использовании центрального значения экспериментальной доминирующей частоты.

Для этого воспользуемся дополнительной информацией о времени прихода солитона на термисторные цепочки. Будем перебирать различные значения F D MathType@MTEF@5@5@+= feaahGart1ev3aqatCvAUfeBSjuyZL2yd9gzLbvyNv2Caerbov2D09 MBdbqedmvETj2BSbqeduuDJXwAKbYu51MyVXgarqqr1ngBPrgifHhD YfgasaacHOWxg9qrFfeu0dXdh9vqqj=hEeeu0xXdbba9frFj0=OqFf ea0dXdd9vspGe9FjuP0=fs0xXdbba9pGe9xq=Jbba9suk9fr=xfr=x frpeWZqaaeaabiGaaiaadaqabeaabeqacqaaaOqaaiaadAeadaWgaa WcbaGaamiraaqabaaaaa@39F5@  в окрестности центрального значения экспериментальной доминирующей частоты с шагом 0.01 ц/ч. При каждом значении F D MathType@MTEF@5@5@+= feaahGart1ev3aqatCvAUfeBSjuyZL2yd9gzLbvyNv2Caerbov2D09 MBdbqedmvETj2BSbqeduuDJXwAKbYu51MyVXgarqqr1ngBPrgifHhD YfgasaacHOWxg9qrFfeu0dXdh9vqqj=hEeeu0xXdbba9frFj0=OqFf ea0dXdd9vspGe9FjuP0=fs0xXdbba9pGe9xq=Jbba9suk9fr=xfr=x frpeWZqaaeaabiGaaiaadaqabeaabeqacqaaaOqaaiaadAeadaWgaa WcbaGaamiraaqabaaaaa@39F5@  будем вычислять скорость v a r MathType@MTEF@5@5@+= feaahGart1ev3aqatCvAUfeBSjuyZL2yd9gzLbvyNv2Caerbov2D09 MBdbqedmvETj2BSbqeduuDJXwAKbYu51MyVXgarqqr1ngBPrgifHhD YfgasaacHOWxg9qrFfeu0dXdh9vqqj=hEeeu0xXdbba9frFj0=OqFf ea0dXdd9vspGe9FjuP0=fs0xXdbba9pGe9xq=Jbba9suk9fr=xfr=x frpeWZqaaeaabiGaaiaadaqabeaabeqacqaaaOqaaiaadAhadaahaa WcbeqaaiaadggaaaGcdaqadaqaaiaadkhaaiaawIcacaGLPaaaaaa@3CCD@ , а также невязки σ 1 F D MathType@MTEF@5@5@+= feaahGart1ev3aqatCvAUfeBSjuyZL2yd9gzLbvyNv2Caerbov2D09 MBdbqedmvETj2BSbqeduuDJXwAKbYu51MyVXgarqqr1ngBPrgifHhD YfgasaacHOWxg9qrFfeu0dXdh9vqqj=hEeeu0xXdbba9frFj0=OqFf ea0dXdd9vspGe9FjuP0=fs0xXdbba9pGe9xq=Jbba9suk9fr=xfr=x frpeWZqaaeaabiGaaiaadaqabeaabeqacqaaaOqaaiabeo8aZnaaBa aaleaacaaIXaaabeaakmaabmaabaGaamOramaaBaaaleaacaWGebaa beaaaOGaayjkaiaawMcaaaaa@3E3C@  и σ 2 F D MathType@MTEF@5@5@+= feaahGart1ev3aqatCvAUfeBSjuyZL2yd9gzLbvyNv2Caerbov2D09 MBdbqedmvETj2BSbqeduuDJXwAKbYu51MyVXgarqqr1ngBPrgifHhD YfgasaacHOWxg9qrFfeu0dXdh9vqqj=hEeeu0xXdbba9frFj0=OqFf ea0dXdd9vspGe9FjuP0=fs0xXdbba9pGe9xq=Jbba9suk9fr=xfr=x frpeWZqaaeaabiGaaiaadaqabeaabeqacqaaaOqaaiabeo8aZnaaBa aaleaacaaIYaaabeaakmaabmaabaGaamOramaaBaaaleaacaWGebaa beaaaOGaayjkaiaawMcaaaaa@3E3D@  для трасс 1 и 2 между реальными и измеренными временами прихода, аналогично тому, как это делалось в разделе 2.2 при нахождении теоретической скорости солитона. По минимуму невязки определяется оптимальная доминирующая частота F D MathType@MTEF@5@5@+= feaahGart1ev3aqatCvAUfeBSjuyZL2yd9gzLbvyNv2Caerbov2D09 MBdbqedmvETj2BSbqeduuDJXwAKbYu51MyVXgarqqr1ngBPrgifHhD YfgasaacHOWxg9qrFfeu0dXdh9vqqj=hEeeu0xXdbba9frFj0=OqFf ea0dXdd9vspGe9FjuP0=fs0xXdbba9pGe9xq=Jbba9suk9fr=xfr=x frpeWZqaaeaabiGaaiaadaqabeaabeqacqaaaOqaaiaadAeadaqhaa WcbaGaamiraaqaaiabgEHiQaaaaaa@3AE5@  на каждой трассе, с помощью которой определяется искомая измеренная скорость солитона.

На рис. 6 синими линиями показаны зависимости измеренной скорости солитона на обеих трассах. Полученные зависимости хорошо согласуются со средней экспериментальной и теоретической скоростями. На трассе 1 измеренная скорость солитона получена при оптимальной доминирующей частоте F D = MathType@MTEF@5@5@+= feaahGart1ev3aqatCvAUfeBSjuyZL2yd9gzLbvyNv2Caerbov2D09 MBdbqedmvETj2BSbqeduuDJXwAKbYu51MyVXgarqqr1ngBPrgifHhD YfgasaacHOWxg9qrFfeu0dXdh9vqqj=hEeeu0xXdbba9frFj0=OqFf ea0dXdd9vspGe9FjuP0=fs0xXdbba9pGe9xq=Jbba9suk9fr=xfr=x frpeWZqaaeaabiGaaiaadaqabeaabeqacqaaaOqaaiaadAeadaqhaa WcbaGaamiraaqaaiabgEHiQaaakiabg2da9aaa@3BF5@  1.58 ц/ч, на трассе 2 - при F D = MathType@MTEF@5@5@+= feaahGart1ev3aqatCvAUfeBSjuyZL2yd9gzLbvyNv2Caerbov2D09 MBdbqedmvETj2BSbqeduuDJXwAKbYu51MyVXgarqqr1ngBPrgifHhD YfgasaacHOWxg9qrFfeu0dXdh9vqqj=hEeeu0xXdbba9frFj0=OqFf ea0dXdd9vspGe9FjuP0=fs0xXdbba9pGe9xq=Jbba9suk9fr=xfr=x frpeWZqaaeaabiGaaiaadaqabeaabeqacqaaaOqaaiaadAeadaqhaa WcbaGaamiraaqaaiabgEHiQaaakiabg2da9aaa@3BF5@  4.49 ц/ч. Расчетные времена прихода солитона на цепочки Е2 и Е3 при использовании измеренной скорости солитона отличаются от реальных времен прихода менее, чем на 0.5 мин.

Заметим, что центральные значения экспериментальной доминирующей частоты для трасс 1 и 2 равны 1.57 и 4.06 ц/ч (табл. 2). Наибольшее расхождение с оптимальными частотами F D MathType@MTEF@5@5@+= feaahGart1ev3aqatCvAUfeBSjuyZL2yd9gzLbvyNv2Caerbov2D09 MBdbqedmvETj2BSbqeduuDJXwAKbYu51MyVXgarqqr1ngBPrgifHhD YfgasaacHOWxg9qrFfeu0dXdh9vqqj=hEeeu0xXdbba9frFj0=OqFf ea0dXdd9vspGe9FjuP0=fs0xXdbba9pGe9xq=Jbba9suk9fr=xfr=x frpeWZqaaeaabiGaaiaadaqabeaabeqacqaaaOqaaiaadAeadaqhaa WcbaGaamiraaqaaiabgEHiQaaaaaa@3AE5@  наблюдается для трассы 2. Если для расчета измеренной скорости солитона на трассе 2 использовать значение 4.06 ц/ч, то синий график на рис. 6б смещается вниз. В результате расчетное время движения солитона по трассе 2 увеличивается почти на 12 мин. При использовании оптимального значения F D = MathType@MTEF@5@5@+= feaahGart1ev3aqatCvAUfeBSjuyZL2yd9gzLbvyNv2Caerbov2D09 MBdbqedmvETj2BSbqeduuDJXwAKbYu51MyVXgarqqr1ngBPrgifHhD YfgasaacHOWxg9qrFfeu0dXdh9vqqj=hEeeu0xXdbba9frFj0=OqFf ea0dXdd9vspGe9FjuP0=fs0xXdbba9pGe9xq=Jbba9suk9fr=xfr=x frpeWZqaaeaabiGaaiaadaqabeaabeqacqaaaOqaaiaadAeadaqhaa WcbaGaamiraaqaaiabgEHiQaaakiabg2da9aaa@3BF5@  4.49 ц/ч, как видно из рис. 6б, синяя линия почти идеально совпадает с красной линией, т.е. с теоретической скоростью солитона.

Подчеркнем, что расчеты теоретической скорости солитона v t r MathType@MTEF@5@5@+= feaahGart1ev3aqatCvAUfeBSjuyZL2yd9gzLbvyNv2Caerbov2D09 MBdbqedmvETj2BSbqeduuDJXwAKbYu51MyVXgarqqr1ngBPrgifHhD YfgasaacHOWxg9qrFfeu0dXdh9vqqj=hEeeu0xXdbba9frFj0=OqFf ea0dXdd9vspGe9FjuP0=fs0xXdbba9pGe9xq=Jbba9suk9fr=xfr=x frpeWZqaaeaabiGaaiaadaqabeaabeqacqaaaOqaaiaadAhadaahaa WcbeqaaiaadshaaaGcdaqadaqaaiaadkhaaiaawIcacaGLPaaaaaa@3CE0@  и измеренной скорости солитона v a r MathType@MTEF@5@5@+= feaahGart1ev3aqatCvAUfeBSjuyZL2yd9gzLbvyNv2Caerbov2D09 MBdbqedmvETj2BSbqeduuDJXwAKbYu51MyVXgarqqr1ngBPrgifHhD YfgasaacHOWxg9qrFfeu0dXdh9vqqj=hEeeu0xXdbba9frFj0=OqFf ea0dXdd9vspGe9FjuP0=fs0xXdbba9pGe9xq=Jbba9suk9fr=xfr=x frpeWZqaaeaabiGaaiaadaqabeaabeqacqaaaOqaaiaadAhadaahaa WcbeqaaiaadggaaaGcdaqadaqaaiaadkhaaiaawIcacaGLPaaaaaa@3CCD@  проводятся совершенно разными методами. В первом (гидродинамическом) методе используется гидродинамическая модель солитона, как двухслойной среды. Во втором (акустическом) методе используется модовый аналог цикла луча (как некоторая комбинация пространственных периодов биения мод) и постоянство доминирующей частоты флуктуаций интенсивности акустического поля. Общими параметрами в этих методах являются глубина моря и полное время движения солитона по трассе. Причем второй параметр для акустического метода не принципиален (достаточно точного измерения экспериментальной доминирующей частоты и знания параметров волновода). Несмотря на различие методов, полученные значения скорости солитона оказываются близки, что подтверждает адекватность обоих методов. При этом особенно близки результаты для трассы 2 (рис. 6б), где вариации глубины не настолько значительны по сравнению с трассой 1.

Вышесказанное позволяет выдвинуть следующие предположения: 1) постоянство доминирующей частоты тем точнее, чем меньше вариации глубины; 2) постоянство доминирующей частоты носит универсальный характер и не является особенностью акватории ASIAEX.

2.7. Анализ лучей

Проведем анализ лучей в идеализированной модели трассы 1 с целью выделения лучей, определяющих доминирующие флуктуации. Идеализация модели заключается в следующем:

1.  Реальный профиль скорости звука в канале в отсутствие солитона (рис. 4г) заменяем на близкий к нему линейный профиль: ñ z =1540 40/ 350 z MathType@MTEF@5@5@+= feaahGart1ev3aqatCvAUfeBSjuyZL2yd9gzLbvyNv2Caerbov2D09 MBdbqedmvETj2BSbqeduuDJXwAKbYu51MyVXgarqqr1ngBPrgifHhD YfgasaacHOWxg9qrFfeu0dXdh9vqqj=hEeeu0xXdbba9frFj0=OqFf ea0dXdd9vspGe9FjuP0=fs0xXdbba9pGe9xq=Jbba9suk9fr=xfr=x frpeWZqaaeaabiGaaiaadaqabeaabeqacqaaaOqaaiaadgpadaqada qaaiaadQhaaiaawIcacaGLPaaacqGH9aqpcaaIXaGaaGynaiaaisda caaIWaGaeyOeI0YaaeWaaeaadaWcgaqaaiaaisdacaaIWaaabaGaaG 4maiaaiwdacaaIWaaaaaGaayjkaiaawMcaaiaadQhaaaa@4764@ , где z MathType@MTEF@5@5@+= feaahGart1ev3aqatCvAUfeBSjuyZL2yd9gzLbvyNv2Caerbov2D09 MBdbqedmvETj2BSbqeduuDJXwAKbYu51MyVXgarqqr1ngBPrgifHhD YfgasaacHOWxg9qrFfeu0dXdh9vqqj=hEeeu0xXdbba9frFj0=OqFf ea0dXdd9vspGe9FjuP0=fs0xXdbba9pGe9xq=Jbba9suk9fr=xfr=x frpeWZqaaeaabiGaaiaadaqabeaabeqacqaaaOqaaiaadQhaaaa@3934@  - глубина (м), ñ z MathType@MTEF@5@5@+= feaahGart1ev3aqatCvAUfeBSjuyZL2yd9gzLbvyNv2Caerbov2D09 MBdbqedmvETj2BSbqeduuDJXwAKbYu51MyVXgarqqr1ngBPrgifHhD YfgasaacHOWxg9qrFfeu0dXdh9vqqj=hEeeu0xXdbba9frFj0=OqFf ea0dXdd9vspGe9FjuP0=fs0xXdbba9pGe9xq=Jbba9suk9fr=xfr=x frpeWZqaaeaabiGaaiaadaqabeaabeqacqaaaOqaaiaadgpadaqada qaaiaadQhaaiaawIcacaGLPaaaaaa@3C33@  - скорость звука в воде (м/с).

2.  Ход лучей рассматриваем для источника и приемника, расположенных на дне (как в работе [14]). Расстояние между источником и приемником равно длине трассы 1.

3.  Экспериментальный профиль глубины H r MathType@MTEF@5@5@+= feaahGart1ev3aqatCvAUfeBSjuyZL2yd9gzLbvyNv2Caerbov2D09 MBdbqedmvETj2BSbqeduuDJXwAKbYu51MyVXgarqqr1ngBPrgifHhD YfgasaacHOWxg9qrFfeu0dXdh9vqqj=hEeeu0xXdbba9frFj0=OqFf ea0dXdd9vspGe9FjuP0=fs0xXdbba9pGe9xq=Jbba9suk9fr=xfr=x frpeWZqaaeaabiGaaiaadaqabeaabeqacqaaaOqaaiaadIeadaqada qaaiaadkhaaiaawIcacaGLPaaaaaa@3B82@  сглаживаем окном 1 км, чтобы получать достаточно регулярные отражения лучей от дна.

Далее, как в [14], рассмотрим узкую лучевую трубку, выходящую из источника и ограниченную в вертикальной плоскости углами скольжения к горизонтали, равными χ MathType@MTEF@5@5@+= feaahGart1ev3aqatCvAUfeBSjuyZL2yd9gzLbvyNv2Caerbov2D09 MBdbqedmvETj2BSbqeduuDJXwAKbYu51MyVXgarqqr1ngBPrgifHhD YfgasaacHOWxg9qrFfeu0dXdh9vqqj=hEeeu0xXdbba9frFj0=OqFf ea0dXdd9vspGe9FjuP0=fs0xXdbba9pGe9xq=Jbba9suk9fr=xfr=x frpeWZqaaeaabiGaaiaadaqabeaabeqacqaaaOqaaiabeE8aJbaa@39EC@  и χ+Δχ MathType@MTEF@5@5@+= feaahGart1ev3aqatCvAUfeBSjuyZL2yd9gzLbvyNv2Caerbov2D09 MBdbqedmvETj2BSbqeduuDJXwAKbYu51MyVXgarqqr1ngBPrgifHhD YfgasaacHOWxg9qrFfeu0dXdh9vqqj=hEeeu0xXdbba9frFj0=OqFf ea0dXdd9vspGe9FjuP0=fs0xXdbba9pGe9xq=Jbba9suk9fr=xfr=x frpeWZqaaeaabiGaaiaadaqabeaabeqacqaaaOqaaiabeE8aJjabgU caRiabfs5aejabeE8aJbaa@3DEB@ . Найдем такой угол χ MathType@MTEF@5@5@+= feaahGart1ev3aqatCvAUfeBSjuyZL2yd9gzLbvyNv2Caerbov2D09 MBdbqedmvETj2BSbqeduuDJXwAKbYu51MyVXgarqqr1ngBPrgifHhD YfgasaacHOWxg9qrFfeu0dXdh9vqqj=hEeeu0xXdbba9frFj0=OqFf ea0dXdd9vspGe9FjuP0=fs0xXdbba9pGe9xq=Jbba9suk9fr=xfr=x frpeWZqaaeaabiGaaiaadaqabeaabeqacqaaaOqaaiabeE8aJbaa@39EC@ , при котором соответствующая лучевая трубка накрывает точечный приемник. Иными словами, найдем один из так называемых собственных лучей, для которого решена задача прицеливания. Пусть в окрестности приемника лучевая трубка найденного собственного луча имеет угол скольжения χ >0 MathType@MTEF@5@5@+= feaahGart1ev3aqatCvAUfeBSjuyZL2yd9gzLbvyNv2Caerbov2D09 MBdbqedmvETj2BSbqeduuDJXwAKbYu51MyVXgarqqr1ngBPrgifHhD YfgasaacHOWxg9qrFfeu0dXdh9vqqj=hEeeu0xXdbba9frFj0=OqFf ea0dXdd9vspGe9FjuP0=fs0xXdbba9pGe9xq=Jbba9suk9fr=xfr=x frpeWZqaaeaabiGaaiaadaqabeaabeqacqaaaOqaaiqbeE8aJzaafa GaeyOpa4JaaGimaaaa@3BBA@  и по горизонтали занимает расстояние Δr MathType@MTEF@5@5@+= feaahGart1ev3aqatCvAUfeBSjuyZL2yd9gzLbvyNv2Caerbov2D09 MBdbqedmvETj2BSbqeduuDJXwAKbYu51MyVXgarqqr1ngBPrgifHhD YfgasaacHOWxg9qrFfeu0dXdh9vqqj=hEeeu0xXdbba9frFj0=OqFf ea0dXdd9vspGe9FjuP0=fs0xXdbba9pGe9xq=Jbba9suk9fr=xfr=x frpeWZqaaeaabiGaaiaadaqabeaabeqacqaaaOqaaiabfs5aejaadk haaaa@3A92@ . Тогда интенсивность звука в точке приема, создаваемая данным собственным лучом, с точностью до несущественного постоянного множителя будет равна [14]

  J= Δχcosχ Δrsin χ l=1 L V l 2 MathType@MTEF@5@5@+= feaahGart1ev3aqatCvAUfeBSjuyZL2yd9gzLbvyNv2Caerbov2D09 MBdbqedmvETj2BSbqeduuDJXwAKbYu51MyVXgarqqr1ngBPrgifHhD YfgasaacHOWxg9qrFfeu0dXdh9vqqj=hEeeu0xXdbba9frFj0=OqFf ea0dXdd9vspGe9FjuP0=fs0xXdbba9pGe9xq=Jbba9suk9fr=xfr=x frpeWZqaaeaabiGaaiaadaqabeaabeqacqaaaOqaaiaadQeacqGH9a qpdaWcaaqaaiabfs5aejabeE8aJjGacogacaGGVbGaai4CaiabeE8a Jbqaaiabfs5aejaadkhaciGGZbGaaiyAaiaac6gacuaHhpWygaqbaa aadaqeWbqaamaaemaabaGaamOvamaaBaaaleaacaWGSbaabeaaaOGa ay5bSlaawIa7amaaCaaaleqabaGaaGOmaaaaaeaacaWGSbGaeyypa0 JaaGymaaqaaiaadYeaa0Gaey4dIunaaaa@546F@ ,    (29)

где V l = ab / a+b MathType@MTEF@5@5@+= feaahGart1ev3aqatCvAUfeBSjuyZL2yd9gzLbvyNv2Caerbov2D09 MBdbqedmvETj2BSbqeduuDJXwAKbYu51MyVXgarqqr1ngBPrgifHhD YfgasaacHOWxg9qrFfeu0dXdh9vqqj=hEeeu0xXdbba9frFj0=OqFf ea0dXdd9vspGe9FjuP0=fs0xXdbba9pGe9xq=Jbba9suk9fr=xfr=x frpeWZqaaeaabiGaaiaadaqabeaabeqacqaaaOqaaiaadAfadaWgaa WcbaGaamiBaaqabaGccqGH9aqpdaWcgaqaamaabmaabaGaamyyaiab gkHiTiaadkgaaiaawIcacaGLPaaaaeaadaqadaqaaiaadggacqGHRa WkcaWGIbaacaGLOaGaayzkaaaaaaaa@43CE@  - коэффициент отражения от дна, L MathType@MTEF@5@5@+= feaahGart1ev3aqatCvAUfeBSjuyZL2yd9gzLbvyNv2Caerbov2D09 MBdbqedmvETj2BSbqeduuDJXwAKbYu51MyVXgarqqr1ngBPrgifHhD YfgasaacHOWxg9qrFfeu0dXdh9vqqj=hEeeu0xXdbba9frFj0=OqFf ea0dXdd9vspGe9FjuP0=fs0xXdbba9pGe9xq=Jbba9suk9fr=xfr=x frpeWZqaaeaabiGaaiaadaqabeaabeqacqaaaOqaaiaadYeaaaa@3906@  - число отражений от дна до момента попадания лучевой трубки на приемник, a= ρ b /ρ sin χ l MathType@MTEF@5@5@+= feaahGart1ev3aqatCvAUfeBSjuyZL2yd9gzLbvyNv2Caerbov2D09 MBdbqedmvETj2BSbqeduuDJXwAKbYu51MyVXgarqqr1ngBPrgifHhD YfgasaacHOWxg9qrFfeu0dXdh9vqqj=hEeeu0xXdbba9frFj0=OqFf ea0dXdd9vspGe9FjuP0=fs0xXdbba9pGe9xq=Jbba9suk9fr=xfr=x frpeWZqaaeaabiGaaiaadaqabeaabeqacqaaaOqaaiaadggacqGH9a qpdaqadaqaamaalyaabaGaeqyWdi3aaSbaaSqaaiaadkgaaeqaaaGc baGaeqyWdihaaaGaayjkaiaawMcaaiGacohacaGGPbGaaiOBaiabeE 8aJnaaBaaaleaacaWGSbaabeaaaaa@4609@ , b= n l 2 cos 2 χ l MathType@MTEF@5@5@+= feaahGart1ev3aqatCvAUfeBSjuyZL2yd9gzLbvyNv2Caerbov2D09 MBdbqedmvETj2BSbqeduuDJXwAKbYu51MyVXgarqqr1ngBPrgifHhD YfgasaacHOWxg9qrFfeu0dXdh9vqqj=hEeeu0xXdbba9frFj0=OqFf ea0dXdd9vspGe9FjuP0=fs0xXdbba9pGe9xq=Jbba9suk9fr=xfr=x frpeWZqaaeaabiGaaiaadaqabeaabeqacqaaaOqaaiaadkgacqGH9a qpdaGcaaqaaiaad6gadaqhaaWcbaGaamiBaaqaaiaaikdaaaGccqGH sislciGGJbGaai4BaiaacohadaahaaWcbeqaaiaaikdaaaGccqaHhp WydaWgaaWcbaGaamiBaaqabaaabeaaaaa@4490@ , n l = c H l / c b 1+ i β λ / 54.6 MathType@MTEF@5@5@+= feaahGart1ev3aqatCvAUfeBSjuyZL2yd9gzLbvyNv2Caerbov2D09 MBdbqedmvETj2BSbqeduuDJXwAKbYu51MyVXgarqqr1ngBPrgifHhD YfgasaacHOWxg9qrFfeu0dXdh9vqqj=hEeeu0xXdbba9frFj0=OqFf ea0dXdd9vspGe9FjuP0=fs0xXdbba9pGe9xq=Jbba9suk9fr=xfr=x frpeWZqaaeaabiGaaiaadaqabeaabeqacqaaaOqaaiaad6gadaWgaa WcbaGaamiBaaqabaGccqGH9aqpdaWadaqaamaalyaabaGaam4yamaa bmaabaGaamisamaaBaaaleaacaWGSbaabeaaaOGaayjkaiaawMcaaa qaaiaadogadaWgaaWcbaGaamOyaaqabaaaaaGccaGLBbGaayzxaaWa aeWaaeaacaaIXaGaey4kaSYaaSGbaeaacaWGPbGaeqOSdi2aaSbaaS qaaiabeU7aSbqabaaakeaacaaI1aGaaGinaiaac6cacaaI2aaaaaGa ayjkaiaawMcaaaaa@4E6B@  - комплексный показатель преломления в точке отражения на глубине H l MathType@MTEF@5@5@+= feaahGart1ev3aqatCvAUfeBSjuyZL2yd9gzLbvyNv2Caerbov2D09 MBdbqedmvETj2BSbqeduuDJXwAKbYu51MyVXgarqqr1ngBPrgifHhD YfgasaacHOWxg9qrFfeu0dXdh9vqqj=hEeeu0xXdbba9frFj0=OqFf ea0dXdd9vspGe9FjuP0=fs0xXdbba9pGe9xq=Jbba9suk9fr=xfr=x frpeWZqaaeaabiGaaiaadaqabeaabeqacqaaaOqaaiaadIeadaWgaa WcbaGaamiBaaqabaaaaa@3A1F@ , χ l MathType@MTEF@5@5@+= feaahGart1ev3aqatCvAUfeBSjuyZL2yd9gzLbvyNv2Caerbov2D09 MBdbqedmvETj2BSbqeduuDJXwAKbYu51MyVXgarqqr1ngBPrgifHhD YfgasaacHOWxg9qrFfeu0dXdh9vqqj=hEeeu0xXdbba9frFj0=OqFf ea0dXdd9vspGe9FjuP0=fs0xXdbba9pGe9xq=Jbba9suk9fr=xfr=x frpeWZqaaeaabiGaaiaadaqabeaabeqacqaaaOqaaiabeE8aJnaaBa aaleaacaWGSbaabeaaaaa@3B09@  - угол скольжения в точке отражения по отношению к касательной к поверхности дна, ρ b /ρ = MathType@MTEF@5@5@+= feaahGart1ev3aqatCvAUfeBSjuyZL2yd9gzLbvyNv2Caerbov2D09 MBdbqedmvETj2BSbqeduuDJXwAKbYu51MyVXgarqqr1ngBPrgifHhD YfgasaacHOWxg9qrFfeu0dXdh9vqqj=hEeeu0xXdbba9frFj0=OqFf ea0dXdd9vspGe9FjuP0=fs0xXdbba9pGe9xq=Jbba9suk9fr=xfr=x frpeWZqaaeaabiGaaiaadaqabeaabeqacqaaaOqaamaalyaabaGaeq yWdi3aaSbaaSqaaiaadkgaaeqaaaGcbaGaeqyWdihaaiabg2da9aaa @3DEE@  1.6 - отношение плотности дна к плотности воды, c b = MathType@MTEF@5@5@+= feaahGart1ev3aqatCvAUfeBSjuyZL2yd9gzLbvyNv2Caerbov2D09 MBdbqedmvETj2BSbqeduuDJXwAKbYu51MyVXgarqqr1ngBPrgifHhD YfgasaacHOWxg9qrFfeu0dXdh9vqqj=hEeeu0xXdbba9frFj0=OqFf ea0dXdd9vspGe9FjuP0=fs0xXdbba9pGe9xq=Jbba9suk9fr=xfr=x frpeWZqaaeaabiGaaiaadaqabeaabeqacqaaaOqaaiaadogadaWgaa WcbaGaamOyaaqabaGccqGH9aqpaaa@3B40@  1600 м/с - скорость звука в дне, β λ = MathType@MTEF@5@5@+= feaahGart1ev3aqatCvAUfeBSjuyZL2yd9gzLbvyNv2Caerbov2D09 MBdbqedmvETj2BSbqeduuDJXwAKbYu51MyVXgarqqr1ngBPrgifHhD YfgasaacHOWxg9qrFfeu0dXdh9vqqj=hEeeu0xXdbba9frFj0=OqFf ea0dXdd9vspGe9FjuP0=fs0xXdbba9pGe9xq=Jbba9suk9fr=xfr=x frpeWZqaaeaabiGaaiaadaqabeaabeqacqaaaOqaaiabek7aInaaBa aaleaacqaH7oaBaeqaaOGaeyypa0daaa@3CC6@  0.8 дБ/λ - потери в дне. Численные значения последних трех параметров взяты из [19].

На рис. 13а показана вычисленная согласно (29) зависимость J=J χ MathType@MTEF@5@5@+= feaahGart1ev3aqatCvAUfeBSjuyZL2yd9gzLbvyNv2Caerbov2D09 MBdbqedmvETj2BSbqeduuDJXwAKbYu51MyVXgarqqr1ngBPrgifHhD YfgasaacHOWxg9qrFfeu0dXdh9vqqj=hEeeu0xXdbba9frFj0=OqFf ea0dXdd9vspGe9FjuP0=fs0xXdbba9pGe9xq=Jbba9suk9fr=xfr=x frpeWZqaaeaabiGaaiaadaqabeaabeqacqaaaOqaaiaadQeacqGH9a qpcaWGkbWaaeWaaeaacqaHhpWyaiaawIcacaGLPaaaaaa@3E19@  - угловой спектр интенсивности всех собственных лучей, связывающих источник и приемник. Данный спектр можно разделить на три области:

  1.   χ<0.1 MathType@MTEF@5@5@+= feaahGart1ev3aqatCvAUfeBSjuyZL2yd9gzLbvyNv2Caerbov2D09 MBdbqedmvETj2BSbqeduuDJXwAKbYu51MyVXgarqqr1ngBPrgifHhD YfgasaacHOWxg9qrFfeu0dXdh9vqqj=hEeeu0xXdbba9frFj0=OqFf ea0dXdd9vspGe9FjuP0=fs0xXdbba9pGe9xq=Jbba9suk9fr=xfr=x frpeWZqaaeaabiGaaiaadaqabeaabeqacqaaaOqaaiabeE8aJjabgY da8iaaicdacaGGUaGaaGymaaaa@3D17@  рад - лучи распространяются вблизи дна. При наличии солитона на трассе эти лучи проходят под солитоном и слабо взаимодействуют с ним.
  2.   0.1<χ<0.2 MathType@MTEF@5@5@+= feaahGart1ev3aqatCvAUfeBSjuyZL2yd9gzLbvyNv2Caerbov2D09 MBdbqedmvETj2BSbqeduuDJXwAKbYu51MyVXgarqqr1ngBPrgifHhD YfgasaacHOWxg9qrFfeu0dXdh9vqqj=hEeeu0xXdbba9frFj0=OqFf ea0dXdd9vspGe9FjuP0=fs0xXdbba9pGe9xq=Jbba9suk9fr=xfr=x frpeWZqaaeaabiGaaiaadaqabeaabeqacqaaaOqaaiaaicdacaGGUa GaaGymaiabgYda8iabeE8aJjabgYda8iaaicdacaGGUaGaaGOmaaaa @4043@  рад - лучи проходят через область, занимаемую солитоном, и при этом интенсивность некоторых лучей из этой области ( χ= MathType@MTEF@5@5@+= feaahGart1ev3aqatCvAUfeBSjuyZL2yd9gzLbvyNv2Caerbov2D09 MBdbqedmvETj2BSbqeduuDJXwAKbYu51MyVXgarqqr1ngBPrgifHhD YfgasaacHOWxg9qrFfeu0dXdh9vqqj=hEeeu0xXdbba9frFj0=OqFf ea0dXdd9vspGe9FjuP0=fs0xXdbba9pGe9xq=Jbba9suk9fr=xfr=x frpeWZqaaeaabiGaaiaadaqabeaabeqacqaaaOqaaiabeE8aJjabg2 da9aaa@3AF2@  0.17 и 0.19 рад) принимает максимальные значения.
  3.   χ>0.2 MathType@MTEF@5@5@+= feaahGart1ev3aqatCvAUfeBSjuyZL2yd9gzLbvyNv2Caerbov2D09 MBdbqedmvETj2BSbqeduuDJXwAKbYu51MyVXgarqqr1ngBPrgifHhD YfgasaacHOWxg9qrFfeu0dXdh9vqqj=hEeeu0xXdbba9frFj0=OqFf ea0dXdd9vspGe9FjuP0=fs0xXdbba9pGe9xq=Jbba9suk9fr=xfr=x frpeWZqaaeaabiGaaiaadaqabeaabeqacqaaaOqaaiabeE8aJjabg6 da+iaaicdacaGGUaGaaGOmaaaa@3D1C@  рад - лучи проходят через область, занимаемую солитоном, но сильно затухают из-за многократных отражений от дна.

 

Рис. 13. Анализ лучей на трассе 1. (а) – Угловой спектр интенсивности собственных лучей, связывающих источник и приемник, в зависимости от угла выхода из источника. (б) – Траектория луча, ответственного за доминирующие флуктуации (угол скольжения на выходе из источника равен 0.18 рад).

 

Таким образом, доминирующие флуктуации интенсивности при движении солитона на трассе будут определяться лучами в диапазоне 0.17-0.19 рад. На рис. 13б показана траектория среднего луча при χ= MathType@MTEF@5@5@+= feaahGart1ev3aqatCvAUfeBSjuyZL2yd9gzLbvyNv2Caerbov2D09 MBdbqedmvETj2BSbqeduuDJXwAKbYu51MyVXgarqqr1ngBPrgifHhD YfgasaacHOWxg9qrFfeu0dXdh9vqqj=hEeeu0xXdbba9frFj0=OqFf ea0dXdd9vspGe9FjuP0=fs0xXdbba9pGe9xq=Jbba9suk9fr=xfr=x frpeWZqaaeaabiGaaiaadaqabeaabeqacqaaaOqaaiabeE8aJjabg2 da9aaa@3AF2@  0.18 рад. Цикл этого луча D r MathType@MTEF@5@5@+= feaahGart1ev3aqatCvAUfeBSjuyZL2yd9gzLbvyNv2Caerbov2D09 MBdbqedmvETj2BSbqeduuDJXwAKbYu51MyVXgarqqr1ngBPrgifHhD YfgasaacHOWxg9qrFfeu0dXdh9vqqj=hEeeu0xXdbba9frFj0=OqFf ea0dXdd9vspGe9FjuP0=fs0xXdbba9pGe9xq=Jbba9suk9fr=xfr=x frpeWZqaaeaabiGaaiaadaqabeaabeqacqaaaOqaaiaadseadaqada qaaiaadkhaaiaawIcacaGLPaaaaaa@3B7E@  будет определять доминирующие флуктуации. Найдем значения D r MathType@MTEF@5@5@+= feaahGart1ev3aqatCvAUfeBSjuyZL2yd9gzLbvyNv2Caerbov2D09 MBdbqedmvETj2BSbqeduuDJXwAKbYu51MyVXgarqqr1ngBPrgifHhD YfgasaacHOWxg9qrFfeu0dXdh9vqqj=hEeeu0xXdbba9frFj0=OqFf ea0dXdd9vspGe9FjuP0=fs0xXdbba9pGe9xq=Jbba9suk9fr=xfr=x frpeWZqaaeaabiGaaiaadaqabeaabeqacqaaaOqaaiaadseadaqada qaaiaadkhaaiaawIcacaGLPaaaaaa@3B7E@  по расстояниям между соседними минимумами в траектории луча на рис. 13б и присвоим полученные значения средним точкам между минимумами. В итоге получается зависимость, изображенная синей линией на рис. 12б. Как видно, синяя линия близка к красной, т.е. к циклу луча, полученному в рамках модовой теории. Вычисление доминирующей частоты с использованием полученного цикла луча приводит к результату F D = v 1 t r / D r =1.41±0.05 MathType@MTEF@5@5@+= feaahGart1ev3aqatCvAUfeBSjuyZL2yd9gzLbvyNv2Caerbov2D09 MBdbqedmvETj2BSbqeduuDJXwAKbYu51MyVXgarqqr1ngBPrgifHhD YfgasaacHOWxg9qrFfeu0dXdh9vqqj=hEeeu0xXdbba9frFj0=OqFf ea0dXdd9vspGe9FjuP0=fs0xXdbba9pGe9xq=Jbba9suk9fr=xfr=x frpeWZqaaeaabiGaaiaadaqabeaabeqacqaaaOqaaiaadAeadaWgaa WcbaGaamiraaqabaGccqGH9aqpdaWcgaqaaiaadAhadaqhaaWcbaGa aGymaaqaaiaadshaaaGcdaqadaqaaiaadkhaaiaawIcacaGLPaaaae aacaWGebWaaeWaaeaacaWGYbaacaGLOaGaayzkaaaaaiabg2da9iaa igdacaGGUaGaaGinaiaaigdacqGHXcqScaaIWaGaaiOlaiaaicdaca aI1aaaaa@4C89@  ц/ч. Это значение отличается на 10% от значений для трассы 1, приведенных в табл. 2, что можно объяснить упрощением профиля скорости звука в воде в лучевой модели. Но относительная малость доверительного интервала указывает на постоянство доминирующей частоты.

Заключение

В заключение перечислим основные результаты, полученные в работе.

  1. Проанализированы причины постоянства доминирующей частоты флуктуаций интенсивности звука при неравномерном движении солитона в акустическом волноводе переменной глубины. Для этого солитон рассматривается в рамках двухслойной модели водной среды, а распространение звука - в рамках модовой и лучевой теорий. Согласно лучевой теории, доминирующая частота флуктуаций определяется отношением скорости солитона к циклу луча, ответственному за доминирующие флуктуации. В модовой теории получено аналогичное выражение, где роль цикла луча играет комбинация пространственных периодов биения нескольких пар мод. Показано, что при изменении глубины моря скорость солитона и цикл луча изменяются практически пропорционально, в результате чего доминирующая частота флуктуаций остается постоянной. Описанное явление может иметь универсальный характер и не ограничиваться акваторией ASIAEX.
  2. Постоянство доминирующей частоты позволяет определить переменную скорость солитона как функцию времени или расстояния, что успешно продемонстрировано в работе и может быть использовано для акустического мониторинга солитонов.
  3.  Для обработки эксперимента предложен и апробирован метод гистограмм, который тоже основан на постоянстве доминирующей частоты с течением времени. Метод гистограмм позволяет выделить гармоники доминирующей частоты, знание которых повышает точность измерения доминирующей частоты. В свою очередь от точности последней зависит точность акустического мониторинга солитонов, в частности, определение их скорости и угла наклона фронта к трассе.

Исследование выполнено за счет гранта Российского научного фонда № 22-72-10121, https://rscf.ru/project/22-72-10121/

×

Об авторах

В. А. Григорьев

Воронежский государственный университет; Институт общей физики им. А.М. Прохорова Российской Академии Наук

Автор, ответственный за переписку.
Email: grig4@yandex.ru
Россия, 394018, Воронеж, Университетская пл. 1; 119991, Москва, ул. Вавилова 38

Список литературы

  1. Newhall A., Costello L., Duda T., Dunn J., Gawarkiewicz G., Irish J., Kemp J., McPhee N., Liberatore S., Lynch J., Ostrom W., Schroeder T., Trask R., Keith von der Heydt. Preliminary acoustic and oceanographic observations from the ASIAEX 2001 South China Sea experiment // Woods Hole Oceanog. Inst. 2001. Tech. Rep. WHOI-2001–12.
  2. Apel J.R., Ostrovsky L.A., Stepanyants Y.A., Lynch J.F. Internal solitons in the ocean // Woods Hole Oceanog. Inst. 2006. Tech. Rep. WHOI-2006–04.
  3. Jackson C.R., Apel J.R. An atlas of internal solitary-like waves and their properties. Global Ocean Associates. 2nd Edition. 2004. http://www.internalwaveatlas.com
  4. Duda T.F., Lynch J.F., Irish J.D., Beardsley R.C., Ramp S.R., Chiu C.-S., Tang T.Y., Yang Y.-J. Internal tide and nonlinear internal wave behavior at the continental slope in the northern South China Sea // IEEE J. Oceanic Eng. 2004. V. 29. № 4. P. 1105–1130.
  5. Huang X., Zhao W., Tian J., Yang Q. Mooring observations of internal solitary waves in the deep basin west of Luzon Strait // Acta Oceanol. Sin. 2014. V. 33. № 3. P. 82–89.
  6. Серебряный А.Н. Исследование особенностей внутренних волн в проливе Лусон Южно-Китайского моря по их поверхностным проявлениям с помощью судового радиолокатора // Шестая всероссийская открытая ежегодная конференция “Современные проблемы дистанционного зондирования Земли из космоса”. Москва, ИКИ РАН, 10–14 ноября 2008. http://d33.infospace.ru/d33_conf/2008_conf_pdf/L/Serebreniu.pdf
  7. Ramp S.R., Yang Y.J., Bahr F.L. Characterizing the nonlinear internal wave climate in the northeastern South China Sea // Nonlin. Processes Geophys. 2010. V. 17. № 5. P. 481–498.
  8. Ramp S.R., Tang T.Y., Duda T.F., Lynch J.F., Liu A.K., Chiu C.-S., Bahr F.L., Kim H.-R., Yang Y.-J. Internal solitons in the northeastern South China Sea. Part I: sources and deep water propagation // IEEE J. Oceanic Eng. 2004. V. 29. № 4. P. 1157–1181.
  9. Кацнельсон Б.Г., Переселков С.А. Горизонтальная рефракция низкочастотного звукового поля, вызванная солитонами внутренних волн в мелководном волноводе // Акуст. журн. 2000. Т. 46. № 6. С. 779–788.
  10. Кацнельсон Б.Г., Бади М., Линч Дж. Горизонтальная рефракция звука в мелком море и ее экспериментальные наблюдения // Акуст. журн. 2007. Т. 53. № 3. С. 362–376.
  11. Grigorev V.A., Katsnelson B.G., Lynch J.F. Bottom attenuation estimation using sound intensity fluctuations due to mode coupling by nonlinear internal waves in shallow water // J. Acoust. Soc. Am. 2016. V. 140. № 5. P. 3980–3994.
  12. Katsnelson B., Grigorev V., Lynch J.F. Intensity fluctuations of mid-frequency sound signals passing through moving nonlinear internal waves // J. Acoust. Soc. Am. 2008. V. 124. № 3. Pt. 2. P. EL78–EL84.
  13. Katsnelson B.G., Grigorev V., Badiey M., Lynch J.F. Temporal sound field fluctuations in the presence of internal solitary waves in shallow water // J. Acoust. Soc. Am. 2009. V. 126. № 1. P. EL41–EL48.
  14. Григорьев В.А., Кацнельсон Б.Г. Флуктуации интенсивности высокочастотных акустических импульсов, вызванные движением солитонов внутренних волн в мелком море // Акуст. журн. 2009. Т. 55. № 1. С. 47–55.
  15. Григорьев В.А., Кацнельсон Б.Г., Lynch J.F. Угловая зависимость флуктуаций интенсивности высокочастотных сигналов, пересекающих фронт движущихся интенсивных внутренних волн // Доклады XII научной школы-семинара им. акад. Л.М. Бреховских “Акустика океана”, совмещенной с XXI сессией Российского Акустического Общества. М.: ГЕОС, 2009. С. 63–66.
  16. Григорьев В.А., Кацнельсон Б.Г., Lynch J.F. Флуктуации энергии высокочастотных звуковых сигналов в мелком море в присутствии нелинейных внутренних волн // Акуст. журн. 2013. Т. 59. № 4. С. 485–493.
  17. Григорьев В.А., Кацнельсон Б.Г. Флуктуации звука, обусловленные взаимодействием мод на движущихся нелинейных внутренних волнах в мелком море // Акуст. журн. 2014. Т. 60. № 3. С. 262–271.
  18. Григорьев В.А., Кацнельсон Б.Г., Lynch J.F. Флуктуации интенсивности звука, обусловленные взаимодействием мод на движущихся нелинейных внутренних волнах в мелком море // Ученые записки физического факультета МГУ. 2014. № 6. 146333.
  19. Jiang Y., Grigorev V., Katsnelson B. Sound field fluctuations in shallow water in the presence of moving nonlinear internal waves // J. Mar. Sci. Eng. 2022, 10(1), 119.
  20. Katsnelson B., Grigorev V., Jiang Y. Intensity fluctuations due to mode coupling in the presence of moving internal waves in shallow water and estimation of bottom parameters // Proc. of the 29th Int. Congress on Sound and Vibration. Edited by Eleonora Carletti. Prague, 9–13 July 2023. P. 1–5.
  21. Apel J.R., Badiey M., Ching-Sang Chiu, Finette S., Headrick R., Kemp J., Lynch J.F., Newhall A., Orr M.H., Pasewark B.H., Tielbuerger D., Turgut A., Keith von der Heydt, Wolf S. An overview of the 1995 SWARM shallow-water internal wave acoustic scattering experiment // IEEE J. Oceanic Eng. 1997. V. 22. № 3. P. 465–500.
  22. Newhall A.E., Duda T.F., Keith von der Heydt, Irish J.D., Kemp J.N., Lerner S.A., Liberatore S.P., Ying-Tsong Lin, Lynch J.F., Maffei A.R., Morozov A.K., Shmelev A., Sellers C.J., Witzell W.E. Acoustic and oceanographic observations and configuration information for the WHOI moorings from the SW06 experiment // Woods Hole Oceanog. Inst. 2007. Tech. Rep. WHOI-2007–04.
  23. Vincenty T. Direct and inverse solutions of geodesics on the ellipsoid with application of nested equations // Survey Review. 1975. V. 23. № 176. P. 88–93. http://www.movable-type.co.uk/scripts/latlong-vincenty.html
  24. Pelinovsky E., Talipova T., Didenkulova I., Didenkulova (Shurgalina) E. Interfacial long traveling waves in a two-layer fluid with variable depth // Stud. Appl. Math. 2018. P. 1–15.

Дополнительные файлы

Доп. файлы
Действие
1. JATS XML
2. Рис. 1. Район проведения эксперимента ASIAEX с указанием батиметрии. Показаны глубины 200, 500, 2000 м. Солитоны рождались в проливе Лусон и через двое суток, пройдя глубоководную часть моря, наблюдались в районе ASIAEX.

Скачать (182KB)
3. Рис. 2. Солитон амплитудой 150 м при глубине моря 350 м, зарегистрированный 09.05.2001 в эксперименте ASIAEX с помощью термисторной цепочки E1.

Скачать (49KB)
4. Рис. 3. Типичный спутниковый снимок солитона, сделанный 05.05.2001 в момент прохождения акустических трасс ASIAEX. Трассы выделены красным цветом. Белая линия, пересекающая трассы, – это фронт солитона.

5. Рис. 4. Эксперимент ASIAEX (07.05.2001): (а) – вид сверху, (б) и (в) – вид сбоку на трассу 1 (S1–VLA) и трассу 2 (S2–VLA), (г) – невозмущенный профиль скорости звука в воде [19]. Синяя линия на рис. 4а – фронт солитона в момент времени 12:20. Синяя линия на рис. 4б и 4в – изолинии скорости звука (1525 и 1535 м/с), соответствующие максимальной амплитуде солитона (100 и 55 м), в моменты времени 09:45 и 12:40 (горизонтальный и вертикальный масштабы соблюдены). Красные точки – термисторные цепочки E1–E5. Синие точки – приемная антенна VLA, источники S1, S2. Расположение всех элементов соответствует реальным координатам.

Скачать (137KB)
6. Рис. 5. Записи на термисторных цепочках E1–E4 (07.05.2001), пересчитанные в скорость звука. Каждая панель по вертикали соответствует глубине моря. Горизонтальные пунктиры показывают границы цепочек. Значения выше и ниже этих границ восстановлены по невозмущенному профилю скорости звука (рис. 4г). Вертикальные пунктиры показывают времена прихода солитона на цепочки.

Скачать (252KB)
7. Рис. 6. Средняя экспериментальная, теоретическая и измеренная скорости солитона на трассах 1 и 2.

Скачать (190KB)
8. Рис. 7. С помощью цветовой шкалы показаны экспериментальные спектрограммы флуктуаций интенсивности на трассах 1 и 2. Картины нормированы на максимум на каждой вертикали. Желтая полоса соответствует доминирующим флуктуациям. Черные линии – теоретические дисперсионные кривые 1–3 и 1–6 порядков для трасс 1 и 2.

Скачать (610KB)
9. Рис. 8. Проверка пропорциональности между теоретической скоростью солитона и циклом луча на трассе 1. Цикл луча вычислен в рамках модовой теории на основе дисперсионных кривых 1, 2 и 3 порядков.

Скачать (35KB)
10. Рис. 9. Гистограммы распределения локальных максимумов, определяемых на каждой вертикали в спектрограммах.

Скачать (78KB)
11. Рис. 10. Красные сплошные линии – границы экспериментальных доверительных интервалов доминирующей частоты. Синие сплошные линии – границы теоретических доверительных интервалов доминирующей частоты, полученные при заданном числе мод. Интервалы максимально близки при 7 на обеих трассах.

Скачать (66KB)
12. Рис. 11. Зависимость модулей амплитуд мод от расстояния на трассах 1 и 2. Картины нормированы на максимум на каждой вертикали.

Скачать (84KB)
13. Рис. 12. (а) – Пространственные периоды биений мод с номерами m и m+1 для трассы 1. (б) – Цикл луча, определяющий доминирующие флуктуации, полученный в рамках модовой и лучевой теорий для трассы 1.

Скачать (81KB)
14. Рис. 13. Анализ лучей на трассе 1. (а) – Угловой спектр интенсивности собственных лучей, связывающих источник и приемник, в зависимости от угла выхода из источника. (б) – Траектория луча, ответственного за доминирующие флуктуации (угол скольжения на выходе из источника равен 0.18 рад).

Скачать (72KB)

© Российская академия наук, 2024

Согласие на обработку персональных данных с помощью сервиса «Яндекс.Метрика»

1. Я (далее – «Пользователь» или «Субъект персональных данных»), осуществляя использование сайта https://journals.rcsi.science/ (далее – «Сайт»), подтверждая свою полную дееспособность даю согласие на обработку персональных данных с использованием средств автоматизации Оператору - федеральному государственному бюджетному учреждению «Российский центр научной информации» (РЦНИ), далее – «Оператор», расположенному по адресу: 119991, г. Москва, Ленинский просп., д.32А, со следующими условиями.

2. Категории обрабатываемых данных: файлы «cookies» (куки-файлы). Файлы «cookie» – это небольшой текстовый файл, который веб-сервер может хранить в браузере Пользователя. Данные файлы веб-сервер загружает на устройство Пользователя при посещении им Сайта. При каждом следующем посещении Пользователем Сайта «cookie» файлы отправляются на Сайт Оператора. Данные файлы позволяют Сайту распознавать устройство Пользователя. Содержимое такого файла может как относиться, так и не относиться к персональным данным, в зависимости от того, содержит ли такой файл персональные данные или содержит обезличенные технические данные.

3. Цель обработки персональных данных: анализ пользовательской активности с помощью сервиса «Яндекс.Метрика».

4. Категории субъектов персональных данных: все Пользователи Сайта, которые дали согласие на обработку файлов «cookie».

5. Способы обработки: сбор, запись, систематизация, накопление, хранение, уточнение (обновление, изменение), извлечение, использование, передача (доступ, предоставление), блокирование, удаление, уничтожение персональных данных.

6. Срок обработки и хранения: до получения от Субъекта персональных данных требования о прекращении обработки/отзыва согласия.

7. Способ отзыва: заявление об отзыве в письменном виде путём его направления на адрес электронной почты Оператора: info@rcsi.science или путем письменного обращения по юридическому адресу: 119991, г. Москва, Ленинский просп., д.32А

8. Субъект персональных данных вправе запретить своему оборудованию прием этих данных или ограничить прием этих данных. При отказе от получения таких данных или при ограничении приема данных некоторые функции Сайта могут работать некорректно. Субъект персональных данных обязуется сам настроить свое оборудование таким способом, чтобы оно обеспечивало адекватный его желаниям режим работы и уровень защиты данных файлов «cookie», Оператор не предоставляет технологических и правовых консультаций на темы подобного характера.

9. Порядок уничтожения персональных данных при достижении цели их обработки или при наступлении иных законных оснований определяется Оператором в соответствии с законодательством Российской Федерации.

10. Я согласен/согласна квалифицировать в качестве своей простой электронной подписи под настоящим Согласием и под Политикой обработки персональных данных выполнение мною следующего действия на сайте: https://journals.rcsi.science/ нажатие мною на интерфейсе с текстом: «Сайт использует сервис «Яндекс.Метрика» (который использует файлы «cookie») на элемент с текстом «Принять и продолжить».