Application of spectral proper orthogonal decomposition to the analysis of sound field of aeroacoustic sources

Abstract

Spectral proper orthogonal decomposition (SPOD) is proposed for the identification of the multipole structure of aeroacoustic noise sources from far-field measurements. The method is verified via tests with point multipoles and validated using experimental data on flow-induced cylinder noise and turbulent jet noise.

Full Text

Введение

В задачах аэроакустики часто приходится иметь дело с источниками различной мультипольности. Согласно одной из общих формулировок акустической аналогии [1], пульсации массового расхода соответствуют монопольному излучению, пульсации силы – дипольному, пульсации рейнольдсовских напряжений – квадрупольному. В некоторых течениях значимыми могут быть и мультиполи более высокого порядка [2]. Таким образом, идентификация различных мультипольных компонент шума, излучаемого исследуемым источником, может быть полезна с точки зрения бесконтактной диагностики физической природы самого источника. Такая идентификация не всегда возможна, поскольку в случае произвольного пространственного распределения источников различной мультипольности задача определения их типа, положения и интенсивности не имеет однозначного решения [3-5]. Тем не менее, в некоторых практически реализуемых случаях постановка подобной задачи может быть не лишена смысла. Так, для относительно медленных дозвуковых течений аэроакустические источники часто являются компактными [3] (во всех или в выделенных направлениях), что существенно упрощает задачу их исследования. Примерами компактных источников являются вихревые кольца [6, 7], тела, обтекаемые дозвуковым потоком [8-10], турбулентные дозвуковые струи [2, 11, 12], плазменные актуаторы на умеренных частотах [13, 14].

При этом, проводя анализ мультипольной структуры акустического излучения сложных источников, следует различать эффекты, связанные с процессами генерации шума, и эффекты, обусловленные особенностями распространения шума. Как известно [15], решение волнового уравнения в безграничной неподвижной среде на сферической поверхности, окружающей источник звука, может быть представлено в виде разложения по полной системе сферических функций Y l n = e inφ P l n (cosθ) MathType@MTEF@5@5@+= feaahGart1ev3aaatCvAUfeBSjuyZL2yd9gzLbvyNv2Caerbov2D09 MBdbqedmvETj2BSbqeduuDJXwAKbYu51MyVXgarqqr1ngBPrgifHhD YfgasaacHOWxg9qrFfeu0dXdh9vqqj=hEeeu0xXdbba9frFj0=OqFf ea0dXdd9vspGe9FjuP0=fs0xXdbba9pGe9xq=Jbba9suk9fr=xfr=x frpeWZqaaeaabiGaaiaadaqabeaabeqacqaaaOqaaiaadMfadaqhaa WcbaGaamiBaaqaaiaad6gaaaGccqGH9aqpcaWGLbWaaWbaaSqabeaa caWGPbGaamOBaiabeA8aQbaakiaadcfadaqhaaWcbaGaamiBaaqaam aaemaabaGaamOBaaGaay5bSlaawIa7aaaakiaacIcaciGGJbGaai4B aiaacohacqaH4oqCcaGGPaaaaa@4CE6@ , где φ MathType@MTEF@5@5@+= feaahGart1ev3aqatCvAUfeBSjuyZL2yd9gzLbvyNv2CaerbuLwBLn hiov2DGi1BTfMBaeXatLxBI9gBaerbd9wDYLwzYbItLDharqqtubsr 4rNCHbGeaGqiVu0Je9sqqrpepC0xbbL8F4rqqrFfpeea0xe9Lq=Jc9 vqaqpepm0xbba9pwe9Q8fs0=yqaqpepae9pg0FirpepeKkFr0xfr=x fr=xb9adbaqaaeGaciGaaiaabeqaamaabaabaaGcbaaccaqcLbvaqa aaaaaaaaWdbiab=z8aQbaa@3899@  и θ – соответственно азимутальный и полярный углы сферической системы координат (r,θ,φ) MathType@MTEF@5@5@+= feaahGart1ev3aaatCvAUfeBSjuyZL2yd9gzLbvyNv2Caerbov2D09 MBdbqedmvETj2BSbqeduuDJXwAKbYu51MyVXgarqqr1ngBPrgifHhD YfgasaacHOWxg9qrFfeu0dXdh9vqqj=hEeeu0xXdbba9frFj0=OqFf ea0dXdd9vspGe9FjuP0=fs0xXdbba9pGe9xq=Jbba9suk9fr=xfr=x frpeWZqaaeaabiGaaiaadaqabeaabeqacqaaaOqaaiaacIcacaWGYb GaaiilaiaaysW7cqaH4oqCcaGGSaGaaGjbVlabeA8aQjaacMcaaaa@4271@ , P l n (cosθ) MathType@MTEF@5@5@+= feaahGart1ev3aaatCvAUfeBSjuyZL2yd9gzLbvyNv2Caerbov2D09 MBdbqedmvETj2BSbqeduuDJXwAKbYu51MyVXgarqqr1ngBPrgifHhD YfgasaacHOWxg9qrFfeu0dXdh9vqqj=hEeeu0xXdbba9frFj0=OqFf ea0dXdd9vspGe9FjuP0=fs0xXdbba9pGe9xq=Jbba9suk9fr=xfr=x frpeWZqaaeaabiGaaiaadaqabeaabeqacqaaaOqaaiaadcfadaqhaa WcbaGaamiBaaqaamaaemaabaGaamOBaaGaay5bSlaawIa7aaaakiaa cIcaciGGJbGaai4BaiaacohacqaH4oqCcaGGPaaaaa@4428@  – присоединенные полиномы Лежандра, l|n| MathType@MTEF@5@5@+= feaahGart1ev3aaatCvAUfeBSjuyZL2yd9gzLbvyNv2Caerbov2D09 MBdbqedmvETj2BSbqeduuDJXwAKbYu51MyVXgarqqr1ngBPrgifHhD YfgasaacHOWxg9qrFfeu0dXdh9vqqj=hEeeu0xXdbba9frFj0=OqFf ea0dXdd9vspGe9FjuP0=fs0xXdbba9pGe9xq=Jbba9suk9fr=xfr=x frpeWZqaaeaabiGaaiaadaqabeaabeqacqaaaOqaaiaadYgacqGHLj YScaGG8bGaamOBaiaacYhaaaa@3DDE@ . Для акустически компактных неподвижных источников, расположенных в области начала сферической системы координат, имеет место однозначное соответствие между его “физическими” мультипольными компонентами, связанными с теми или иными механизмами генерации шума, и сферическими функциями, т.е. значение l соответствует порядку физического мультиполя: l = 0 – монопольное излучение, содержащее только осесимметричную азимутальную компоненту n = 0; l = 1 – дипольное, состоящее из двух азимутальных компонент |n| = 0, 1; l = 2 – квадрупольное, содержащее три азимутальные компоненты |n| =0, 1, 2 и т.д. [9, 16].

Такая однозначная связь нарушается в случае, если источник смещен относительно начала координат [9, 17, 18] (при этом смещение, разумеется, должно быть сравнимо или больше длины излучаемой волны), повернут [19], находится в движении [2] (эффекты конвекции) и/или излучает в неоднородную движущуюся среду [20, 21] (эффекты рефракции). В этом случае представление направленностей физических мультиполей через исходные сферические функции, хотя и остается справедливым, перестает быть достаточно наглядным в тем большей степени, чем сильнее выражены эффекты смещения, движения и поворота, поскольку физические мультиполи “распределяются” по различным сферическим гармоникам.

Часто в задачах аэроакустики указанные трансляционные эффекты (не включающие поворот) носят одномерный характер, т.е. имеется выделенное направление, вдоль которого источник может быть смещен, может двигаться и/или вдоль которого движется среда. Обычно это направление совпадает с направлением набегающего потока. В таком случае, если совместить полярную ось системы координат с этим выделенным направлением так, чтобы она при этом проходила через область источников, азимутальная структура звукового поля физических мультиполей не поменяется, а изменится лишь их полярная направленность. Отметим, что влияние на диаграмму направленности источника его сдвига вдоль выделенного направления всегда может быть сделано пренебрежимо малым при достаточном удалении от источника, поэтому главными эффектами распространения, которые могут исказить (по сравнению с излучением в покоящейся среде) вид физических мультиполей, являются эффекты конвекции и рефракции. Таким образом, наглядность мультипольного разложения с точки зрения его связи с физическими механизмами генерации шума можно сохранить, перейдя от системы функций e inφ P l n (cosθ) MathType@MTEF@5@5@+= feaahGart1ev3aaatCvAUfeBSjuyZL2yd9gzLbvyNv2Caerbov2D09 MBdbqedmvETj2BSbqeduuDJXwAKbYu51MyVXgarqqr1ngBPrgifHhD YfgasaacHOWxg9qrFfeu0dXdh9vqqj=hEeeu0xXdbba9frFj0=OqFf ea0dXdd9vspGe9FjuP0=fs0xXdbba9pGe9xq=Jbba9suk9fr=xfr=x frpeWZqaaeaabiGaaiaadaqabeaabeqacqaaaOqaaiaadwgadaahaa WcbeqaaiaadMgacaWGUbGaeqOXdOgaaOGaamiuamaaDaaaleaacaWG SbaabaWaaqWaaeaacaWGUbaacaGLhWUaayjcSdaaaOGaaiikaiGaco gacaGGVbGaai4CaiabeI7aXjaacMcaaaa@48E7@  к системе e inφ f l n (θ, M s ,M) MathType@MTEF@5@5@+= feaahGart1ev3aaatCvAUfeBSjuyZL2yd9gzLbvyNv2Caerbov2D09 MBdbqedmvETj2BSbqeduuDJXwAKbYu51MyVXgarqqr1ngBPrgifHhD YfgasaacHOWxg9qrFfeu0dXdh9vqqj=hEeeu0xXdbba9frFj0=OqFf ea0dXdd9vspGe9FjuP0=fs0xXdbba9pGe9xq=Jbba9suk9fr=xfr=x frpeWZqaaeaabiGaaiaadaqabeaabeqacqaaaOqaaiaadwgadaahaa WcbeqaaiaadMgacaWGUbGaeqOXdOgaaOGaamOzamaaDaaaleaacaWG SbaabaWaaqWaaeaacaWGUbaacaGLhWUaayjcSdaaaOGaaiikaiabeI 7aXjaacYcacaqGnbWaaSbaaSqaaiaadohaaeqaaOGaaiilaiaab2ea caGGPaaaaa@4A58@ , где функция f l n (θ, M s ,M) MathType@MTEF@5@5@+= feaahGart1ev3aaatCvAUfeBSjuyZL2yd9gzLbvyNv2Caerbov2D09 MBdbqedmvETj2BSbqeduuDJXwAKbYu51MyVXgarqqr1ngBPrgifHhD YfgasaacHOWxg9qrFfeu0dXdh9vqqj=hEeeu0xXdbba9frFj0=OqFf ea0dXdd9vspGe9FjuP0=fs0xXdbba9pGe9xq=Jbba9suk9fr=xfr=x frpeWZqaaeaabiGaaiaadaqabeaabeqacqaaaOqaaiaadAgadaqhaa WcbaGaamiBaaqaamaaemaabaGaamOBaaGaay5bSlaawIa7aaaakiaa cIcacqaH4oqCcaGGSaGaaeytamaaBaaaleaacaWGZbaabeaakiaacY cacaqGnbGaaiykaaaa@4599@  описывает полярную диаграмму направленности базисных физических мультиполей с учетом эффектов конвекции/рефракции, величины M s MathType@MTEF@5@5@+= feaahGart1ev3aaatCvAUfeBSjuyZL2yd9gzLbvyNv2Caerbov2D09 MBdbqedmvETj2BSbqeduuDJXwAKbYu51MyVXgarqqr1ngBPrgifHhD YfgasaacHOWxg9qrFfeu0dXdh9vqqj=hEeeu0xXdbba9frFj0=OqFf ea0dXdd9vspGe9FjuP0=fs0xXdbba9pGe9xq=Jbba9suk9fr=xfr=x frpeWZqaaeaabiGaaiaadaqabeaabeqacqaaaOqaaiaab2eadaWgaa WcbaGaam4Caaqabaaaaa@3A28@  и M обозначают числа Маха движения источника и среды соответственно, и выполняется f l n (θ, M s ,M) P l n (cosθ) MathType@MTEF@5@5@+= feaahGart1ev3aaatCvAUfeBSjuyZL2yd9gzLbvyNv2Caerbov2D09 MBdbqedmvETj2BSbqeduuDJXwAKbYu51MyVXgarqqr1ngBPrgifHhD YfgasaacHOWxg9qrFfeu0dXdh9vqqj=hEeeu0xXdbba9frFj0=OqFf ea0dXdd9vspGe9FjuP0=fs0xXdbba9pGe9xq=Jbba9suk9fr=xfr=x frpeWZqaaeaabiGaaiaadaqabeaabeqacqaaaOqaaiaadAgadaqhaa WcbaGaamiBaaqaamaaemaabaGaamOBaaGaay5bSlaawIa7aaaakiaa cIcacqaH4oqCcaGGSaGaaeytamaaBaaaleaacaWGZbaabeaakiaacY cacaqGnbGaaiykaiabgkziUkaadcfadaqhaaWcbaGaamiBaaqaamaa emaabaGaamOBaaGaay5bSlaawIa7aaaakiaacIcaciGGJbGaai4Bai aacohacqaH4oqCcaGGPaaaaa@537A@  при M s ,M0 MathType@MTEF@5@5@+= feaahGart1ev3aaatCvAUfeBSjuyZL2yd9gzLbvyNv2Caerbov2D09 MBdbqedmvETj2BSbqeduuDJXwAKbYu51MyVXgarqqr1ngBPrgifHhD YfgasaacHOWxg9qrFfeu0dXdh9vqqj=hEeeu0xXdbba9frFj0=OqFf ea0dXdd9vspGe9FjuP0=fs0xXdbba9pGe9xq=Jbba9suk9fr=xfr=x frpeWZqaaeaabiGaaiaadaqabeaabeqacqaaaOqaaiaab2eadaWgaa WcbaGaam4CaaqabaGccaGGSaGaaeytaiabgkziUkaaicdaaaa@3E59@ . Это означает, что направленности отдельных азимутальных компонент звукового поля, определенных относительно оси, направленной вдоль среднего течения и проходящей через область источников, могут отражать особенности механизмов генерации шума, если их интерпретировать в указанном выше смысле.

Именно такая интерпретация азимутальных компонент звукового поля аэроакустических источников легла в основу метода азимутальной декомпозиции (МАД), разработанного в ЦАГИ [11, 22]. Вид “деформированных” эффектами распространения направленностей базисных мультиполей в некоторых случаях может быть оценен теоретически [2, 20, 21, 23, 24], что позволяет проводить детальное сравнение моделей источников шума и результатов измерений [2, 11, 20, 22, 24]. Таким образом, определение азимутального состава звукового поля аэроакустических источников является мощным инструментом анализа физических механизмов генерации шума.

Измерения азимутального состава звукового поля обычно проводятся с помощью азимутальных решеток микрофонов [11, 22, 25-27], причем число микрофонов в каждом сечении должно быть не меньше, чем число значимых азимутальных компонент, хотя в случае звуковых полей, излучаемых осесимметричными в среднем течениями, необходимое число микрофонов может быть уменьшено вдвое [28]. Альтернативным методом является использование метода азимутального разложения корреляционной функции, для чего достаточно пары микрофонов, один из которых неподвижен и является опорным, а второй – может двигаться по азимутальной координате вокруг источника [29, 30]. В этом случае можно разрешить большее число азимутальных мод, чем при использовании нескольких неподвижных микрофонов, однако измерительная система оказывается более сложной для реализации из-за наличия подвижного датчика, а полученные результаты позволяют говорить лишь об энергетическом составе суммарного поля (фазовые характеристики мод не разрешаются).

В некоторых случаях, из-за ограничений экспериментальной установки и/или измерительной системы, ни один из указанных выше способов азимутальной декомпозиции не может быть реализован. Такие ограничения могут возникать и в лабораторных условиях из-за различных геометрических ограничений (загромождение оборудованием, близость отражающих поверхностей и др.), и, например, при акустических измерениях натурных объектов на больших установках [28], когда шум в дальнем поле можно измерять только под заданным азимутальным углом или в узком азимутальном секторе. В таком случае становится актуальным вопрос о том, возможно ли оценить мультипольную структуру источника, используя измерительную систему, расположенную в одной азимутальной плоскости (по сути – обычный массив микрофонов, распределенных по дуге окружности вокруг источника).

В последнее время в аэроакустике активно развиваются методы локализации источников шума, основанные на использовании многомикрофонных решеток, в том числе нацеленные на идентификацию мультипольной структуры источника [5, 31-33]. Такие методы отличаются тем, что в них необходимо априори закладывать определенную модель источника шума, которая не всегда может быть адекватной исследуемому явлению, поэтому разработка методов, использующих простые распределения микрофонов и при этом позволяющих определять структуру источника в результате измерений, является актуальной задачей.

В настоящей работе для такой оценки предлагается использовать метод собственного ортогонального разложения в частотной области (так называемый метод SPODspectral proper orthogonal decomposition). Метод SPOD в последнее десятилетие занял прочное место в ряду инструментов, использующихся для анализа турбулентных течений, позволяя, например, идентифицировать в таких течениях пространственно-временные когерентные структуры, проводить детальное сопоставление теоретических моделей с результатами физических или численных экспериментов, строить модели пониженного порядка для сложных течений с целью реализации активного управления ими (см., например, обзор [34] и соответствующие ссылки в нем). Детальное описание метода SPOD приведено в [35], где также обсуждается его связь со ставшим уже классическим в гидродинамике методом собственного ортогонального разложения (PODproper orthogonal decomposition) [36], который, в свою очередь, восходит к методу главных компонент, предложенному Пирсоном [37]. Применительно к задачам аэроакустики метод SPOD зачастую используется для выделения когерентных структур в турбулентной области течения и, в некоторых случаях, последующей оценке звукового излучения от таких структур [38, 39]. В настоящей работе, в отличие от указанных исследований, предлагается построить метод SPOD для анализа структуры излучения акустически компактных источников в дальнем поле так, чтобы в результате измерений можно было сделать вывод о типе мультипольного источника и оценить интенсивности его отдельных мультипольных компонент.

Работа структурирована следующим образом. В разделе 1 описана идея метода на базе SPOD-разложения и оценка его работоспособности на модельных примерах, в разделе 2 представлено описание измерений, проведенных в заглушенной камере АК-2 ЦАГИ и результатов применения разработанного метода к анализу полученных экспериментальных данных. В Заключении сформулированы основные результаты работы.

1. Оценка возможности применения spod к анализу структуры звукового поля компактных источников

Приведем краткое описание метода SPOD, следуя [35]. Пусть u(x,t) MathType@MTEF@5@5@+= feaahGart1ev3aaatCvAUfeBSjuyZL2yd9gzLbvyNv2Caerbov2D09 MBdbqedmvETj2BSbqeduuDJXwAKbYu51MyVXgarqqr1ngBPrgifHhD YfgasaacHOWxg9qrFfeu0dXdh9vqqj=hEeeu0xXdbba9frFj0=OqFf ea0dXdd9vspGe9FjuP0=fs0xXdbba9pGe9xq=Jbba9suk9fr=xfr=x frpeWZqaaeaabiGaaiaadaqabeaabeqacqaaaOqaaiaadwhacaGGOa GaamiEaiaacYcacaWG0bGaaiykaaaa@3D2D@  – одномерное стационарное случайное поле с нулевым средним. Во многих задачах, особенно в тех, где имеет место пространственный перенос возмущений, удобно оперировать со спектральным представлением данного поля в виде u ^ (x,t) MathType@MTEF@5@5@+= feaahGart1ev3aaatCvAUfeBSjuyZL2yd9gzLbvyNv2Caerbov2D09 MBdbqedmvETj2BSbqeduuDJXwAKbYu51MyVXgarqqr1ngBPrgifHhD YfgasaacHOWxg9qrFfeu0dXdh9vqqj=hEeeu0xXdbba9frFj0=OqFf ea0dXdd9vspGe9FjuP0=fs0xXdbba9pGe9xq=Jbba9suk9fr=xfr=x frpeWZqaaeaabiGaaiaadaqabeaabeqacqaaaOqaaiqadwhagaqcai aacIcacaWG4bGaaiilaiaadshacaGGPaaaaa@3D3D@  и следить за поведением отдельных гармоник, сравнивая его с различными теоретическими моделями.

Метод SPOD позволяет найти оптимальное разложение случайной величины u ^ (x,f) MathType@MTEF@5@5@+= feaahGart1ev3aaatCvAUfeBSjuyZL2yd9gzLbvyNv2Caerbov2D09 MBdbqedmvETj2BSbqeduuDJXwAKbYu51MyVXgarqqr1ngBPrgifHhD YfgasaacHOWxg9qrFfeu0dXdh9vqqj=hEeeu0xXdbba9frFj0=OqFf ea0dXdd9vspGe9FjuP0=fs0xXdbba9pGe9xq=Jbba9suk9fr=xfr=x frpeWZqaaeaabiGaaiaadaqabeaabeqacqaaaOqaaiqadwhagaqcai aacIcacaWG4bGaaiilaiaadAgacaGGPaaaaa@3D2F@  по системе детерминированных ортогональных функций ψ j (x,f) MathType@MTEF@5@5@+= feaahGart1ev3aaatCvAUfeBSjuyZL2yd9gzLbvyNv2Caerbov2D09 MBdbqedmvETj2BSbqeduuDJXwAKbYu51MyVXgarqqr1ngBPrgifHhD YfgasaacHOWxg9qrFfeu0dXdh9vqqj=hEeeu0xXdbba9frFj0=OqFf ea0dXdd9vspGe9FjuP0=fs0xXdbba9pGe9xq=Jbba9suk9fr=xfr=x frpeWZqaaeaabiGaaiaadaqabeaabeqacqaaaOqaaiabeI8a5naaBa aaleaacaWGQbaabeaakiaacIcacaWG4bGaaiilaiaadAgacaGGPaaa aa@3F18@ , упорядоченных по убыванию энергии, так что

  u ^ (x,f)= j=1 a j (f) ψ j (x,f) MathType@MTEF@5@5@+= feaahGart1ev3aaatCvAUfeBSjuyZL2yd9gzLbvyNv2Caerbov2D09 MBdbqedmvETj2BSbqeduuDJXwAKbYu51MyVXgarqqr1ngBPrgifHhD YfgasaacHOWxg9qrFfeu0dXdh9vqqj=hEeeu0xXdbba9frFj0=OqFf ea0dXdd9vspGe9FjuP0=fs0xXdbba9pGe9xq=Jbba9suk9fr=xfr=x frpeWZqaaeaabiGaaiaadaqabeaabeqacqaaaOqaamaaHaaabaGaam yDaaGaayPadaGaaiikaiaadIhacaGGSaGaamOzaiaacMcacqGH9aqp daaeWbqaaiaadggadaWgaaWcbaGaamOAaaqabaGccaGGOaGaamOzai aacMcacqaHipqEdaWgaaWcbaGaamOAaaqabaGccaGGOaGaamiEaiaa cYcacaWGMbGaaiykaaWcbaGaamOAaiabg2da9iaaigdaaeaacqGHEi sPa0GaeyyeIuoaaaa@507D@ ,       (1)

причем оптимальность понимается в том смысле, что при взятии N первых членов разложения (1) точность приближения u ^ (x,f) MathType@MTEF@5@5@+= feaahGart1ev3aaatCvAUfeBSjuyZL2yd9gzLbvyNv2Caerbov2D09 MBdbqedmvETj2BSbqeduuDJXwAKbYu51MyVXgarqqr1ngBPrgifHhD YfgasaacHOWxg9qrFfeu0dXdh9vqqj=hEeeu0xXdbba9frFj0=OqFf ea0dXdd9vspGe9FjuP0=fs0xXdbba9pGe9xq=Jbba9suk9fr=xfr=x frpeWZqaaeaabiGaaiaadaqabeaabeqacqaaaOqaaiqadwhagaqcai aacIcacaWG4bGaaiilaiaadAgacaGGPaaaaa@3D2F@  для любого другого набора базисных функций будет ниже. Для формулировки и решения задачи вводится скалярное произведение

u,ν x,t = ν (x,t)W(x)u(x,t)dxdt MathType@MTEF@5@5@+= feaahGart1ev3aaatCvAUfeBSjuyZL2yd9gzLbvyNv2Caerbov2D09 MBdbqedmvETj2BSbqeduuDJXwAKbYu51MyVXgarqqr1ngBPrgifHhD YfgasaacHOWxg9qrFfeu0dXdh9vqqj=hEeeu0xXdbba9frFj0=OqFf ea0dXdd9vspGe9FjuP0=fs0xXdbba9pGe9xq=Jbba9suk9fr=xfr=x frpeWZqaaeaabiGaaiaadaqabeaabeqacqaaaOqaamaaamaabaGaam yDaiaacYcacqaH9oGBaiaawMYicaGLQmcadaWgaaWcbaGaamiEaiaa cYcacaWG0baabeaakiabg2da9maapiaabaGaeqyVd42aaWbaaSqabe aacqGHxiIkaaGccaGGOaGaamiEaiaacYcacaWG0bGaaiykaiaadEfa caGGOaGaamiEaiaacMcacaWG1bGaaiikaiaadIhacaGGSaGaamiDai aacMcacaWGKbGaamiEaiaadsgacaWG0baaleqabeqdcqGHRiI8cqGH RiI8aaaa@57DF@ ,    (2)

определяющее понятие нормы и ортогональности рассматриваемых функций. Здесь * обозначает комплексное сопряжение (и транспонирование – для матриц), W(x) MathType@MTEF@5@5@+= feaahGart1ev3aaatCvAUfeBSjuyZL2yd9gzLbvyNv2Caerbov2D09 MBdbqedmvETj2BSbqeduuDJXwAKbYu51MyVXgarqqr1ngBPrgifHhD YfgasaacHOWxg9qrFfeu0dXdh9vqqj=hEeeu0xXdbba9frFj0=OqFf ea0dXdd9vspGe9FjuP0=fs0xXdbba9pGe9xq=Jbba9suk9fr=xfr=x frpeWZqaaeaabiGaaiaadaqabeaabeqacqaaaOqaaiaadEfacaGGOa GaamiEaiaacMcaaaa@3B66@  – неотрицательная весовая функция, выбирающаяся из физических соображений, как, например, это будет показано ниже. Для стационарных случайных полей все утверждения об оптимальности, наилучшем приближении и т.д. понимаются в среднем, т.е. в смысле математического ожидания соответствующих случайных величин.

Можно показать [35, 36], что в частотной области задача определения функций ψ j (x,f) MathType@MTEF@5@5@+= feaahGart1ev3aaatCvAUfeBSjuyZL2yd9gzLbvyNv2Caerbov2D09 MBdbqedmvETj2BSbqeduuDJXwAKbYu51MyVXgarqqr1ngBPrgifHhD YfgasaacHOWxg9qrFfeu0dXdh9vqqj=hEeeu0xXdbba9frFj0=OqFf ea0dXdd9vspGe9FjuP0=fs0xXdbba9pGe9xq=Jbba9suk9fr=xfr=x frpeWZqaaeaabiGaaiaadaqabeaabeqacqaaaOqaaiabeI8a5naaBa aaleaacaWGQbaabeaakiaacIcacaWG4bGaaiilaiaadAgacaGGPaaa aa@3F18@  сводится к следующей задаче на собственные значения

  S(x, x ,f)W( x )ψ( x ,f)d x =λ(f)ψ(x,f) MathType@MTEF@5@5@+= feaahGart1ev3aaatCvAUfeBSjuyZL2yd9gzLbvyNv2Caerbov2D09 MBdbqedmvETj2BSbqeduuDJXwAKbYu51MyVXgarqqr1ngBPrgifHhD YfgasaacHOWxg9qrFfeu0dXdh9vqqj=hEeeu0xXdbba9frFj0=OqFf ea0dXdd9vspGe9FjuP0=fs0xXdbba9pGe9xq=Jbba9suk9fr=xfr=x frpeWZqaaeaabiGaaiaadaqabeaabeqacqaaaOqaamaapeaabaGaam 4uaiaacIcacaWG4bGaaiilaiqadIhagaqbaiaacYcacaWGMbGaaiyk aiaadEfacaGGOaGabmiEayaafaGaaiykaiabeI8a5jaacIcaceWG4b GbauaacaGGSaGaamOzaiaacMcacaWGKbGabmiEayaafaaaleqabeqd cqGHRiI8aOGaeyypa0Jaeq4UdWMaaiikaiaadAgacaGGPaGaeqiYdK NaaiikaiaadIhacaGGSaGaamOzaiaacMcaaaa@5673@ ,   (3)

где S(x, x ,f)= C(x, x ,τ) e i2πfτ dτ MathType@MTEF@5@5@+= feaahGart1ev3aaatCvAUfeBSjuyZL2yd9gzLbvyNv2Caerbov2D09 MBdbqedmvETj2BSbqeduuDJXwAKbYu51MyVXgarqqr1ngBPrgifHhD YfgasaacHOWxg9qrFfeu0dXdh9vqqj=hEeeu0xXdbba9frFj0=OqFf ea0dXdd9vspGe9FjuP0=fs0xXdbba9pGe9xq=Jbba9suk9fr=xfr=x frpeWZqaaeaabiGaaiaadaqabeaabeqacqaaaOqaaiaadofacaGGOa GaamiEaiaacYcaceWG4bGbauaacaGGSaGaamOzaiaacMcacqGH9aqp daWdbaqaaiaadoeacaGGOaGaamiEaiaacYcaceWG4bGbauaacaGGSa GaeqiXdqNaaiykaiaadwgadaahaaWcbeqaaiabgkHiTiaadMgacaaI YaGaeqiWdaNaamOzaiabes8a0baakiaadsgacqaHepaDaSqabeqani abgUIiYdaaaa@53D6@  – Фурье-образ тензора взаимных корреляций C(x, x ,t t )=E{u(x,t) u ( x , t )} MathType@MTEF@5@5@+= feaahGart1ev3aaatCvAUfeBSjuyZL2yd9gzLbvyNv2Caerbov2D09 MBdbqedmvETj2BSbqeduuDJXwAKbYu51MyVXgarqqr1ngBPrgifHhD YfgasaacHOWxg9qrFfeu0dXdh9vqqj=hEeeu0xXdbba9frFj0=OqFf ea0dXdd9vspGe9FjuP0=fs0xXdbba9pGe9xq=Jbba9suk9fr=xfr=x frpeWZqaaeaabiGaaiaadaqabeaabeqacqaaaOqaaiaadoeacaGGOa GaamiEaiaacYcaceWG4bGbauaacaGGSaGaamiDaiabgkHiTiqadsha gaqbaiaacMcacqGH9aqpcaWGfbGaai4EaiaadwhacaGGOaGaamiEai aacYcacaWG0bGaaiykaiaadwhadaahaaWcbeqaaiabgEHiQaaakiaa cIcaceWG4bGbauaacaGGSaGabmiDayaafaGaaiykaiaac2haaaa@4FA6@   C(x, x ,t t )=E{u(x,t) u ( x , t )} MathType@MTEF@5@5@+= feaahGart1ev3aaatCvAUfeBSjuyZL2yd9gzLbvyNv2Caerbov2D09 MBdbqedmvETj2BSbqeduuDJXwAKbYu51MyVXgarqqr1ngBPrgifHhD YfgasaacHOWxg9qrFfeu0dXdh9vqqj=hEeeu0xXdbba9frFj0=OqFf ea0dXdd9vspGe9FjuP0=fs0xXdbba9pGe9xq=Jbba9suk9fr=xfr=x frpeWZqaaeaabiGaaiaadaqabeaabeqacqaaaOqaaiaadoeacaGGOa GaamiEaiaacYcaceWG4bGbauaacaGGSaGaamiDaiabgkHiTiqadsha gaqbaiaacMcacqGH9aqpcaWGfbGaai4EaiaadwhacaGGOaGaamiEai aacYcacaWG0bGaaiykaiaadwhadaahaaWcbeqaaiabgEHiQaaakiaa cIcaceWG4bGbauaacaGGSaGabmiDayaafaGaaiykaiaac2haaaa@4FA6@ , где E{g} MathType@MTEF@5@5@+= feaahGart1ev3aaatCvAUfeBSjuyZL2yd9gzLbvyNv2Caerbov2D09 MBdbqedmvETj2BSbqeduuDJXwAKbYu51MyVXgarqqr1ngBPrgifHhD YfgasaacHOWxg9qrFfeu0dXdh9vqqj=hEeeu0xXdbba9frFj0=OqFf ea0dXdd9vspGe9FjuP0=fs0xXdbba9pGe9xq=Jbba9suk9fr=xfr=x frpeWZqaaeaabiGaaiaadaqabeaabeqacqaaaOqaaiaadweacaGG7b Gaam4zaiaac2haaaa@3BEA@  обозначает математическое ожидание случайной величины g и использована гипотеза о стационарности рассматриваемых случайных процессов. Можно показать, что в указанной постановке для задачи (3) существует счетное множество собственных мод, т.е. пар { ψ j , λ j } MathType@MTEF@5@5@+= feaahGart1ev3aaatCvAUfeBSjuyZL2yd9gzLbvyNv2Caerbov2D09 MBdbqedmvETj2BSbqeduuDJXwAKbYu51MyVXgarqqr1ngBPrgifHhD YfgasaacHOWxg9qrFfeu0dXdh9vqqj=hEeeu0xXdbba9frFj0=OqFf ea0dXdd9vspGe9FjuP0=fs0xXdbba9pGe9xq=Jbba9suk9fr=xfr=x frpeWZqaaeaabiGaaiaadaqabeaabeqacqaaaOqaaiaacUhacqaHip qEdaWgaaWcbaGaamOAaaqabaGccaGGSaGaeq4UdW2aaSbaaSqaaiaa dQgaaeqaaOGaaiyFaaaa@40B0@ , которые могут быть ранжированы по величине (неотрицательных) собственных чисел λ 1 λ 2 ...0 MathType@MTEF@5@5@+= feaahGart1ev3aaatCvAUfeBSjuyZL2yd9gzLbvyNv2Caerbov2D09 MBdbqedmvETj2BSbqeduuDJXwAKbYu51MyVXgarqqr1ngBPrgifHhD YfgasaacHOWxg9qrFfeu0dXdh9vqqj=hEeeu0xXdbba9frFj0=OqFf ea0dXdd9vspGe9FjuP0=fs0xXdbba9pGe9xq=Jbba9suk9fr=xfr=x frpeWZqaaeaabiGaaiaadaqabeaabeqacqaaaOqaaiabeU7aSnaaBa aaleaacaaIXaaabeaakiabgwMiZkabeU7aSnaaBaaaleaacaaIYaaa beaakiabgwMiZkaac6cacaGGUaGaaiOlaiabgwMiZkaaicdaaaa@45A1@ . Собственные функции ψ j (x,f) MathType@MTEF@5@5@+= feaahGart1ev3aaatCvAUfeBSjuyZL2yd9gzLbvyNv2Caerbov2D09 MBdbqedmvETj2BSbqeduuDJXwAKbYu51MyVXgarqqr1ngBPrgifHhD YfgasaacHOWxg9qrFfeu0dXdh9vqqj=hEeeu0xXdbba9frFj0=OqFf ea0dXdd9vspGe9FjuP0=fs0xXdbba9pGe9xq=Jbba9suk9fr=xfr=x frpeWZqaaeaabiGaaiaadaqabeaabeqacqaaaOqaaiabeI8a5naaBa aaleaacaWGQbaabeaakiaacIcacaWG4bGaaiilaiaadAgacaGGPaaa aa@3F18@  – SPOD-моды – являются взаимно ортогональными в смысле пространственного скалярного произведения

  ψ j , ψ k x = ψ k (x,f)W(x) ψ j (x,f)dx = δ jk MathType@MTEF@5@5@+= feaahGart1ev3aaatCvAUfeBSjuyZL2yd9gzLbvyNv2Caerbov2D09 MBdbqedmvETj2BSbqeduuDJXwAKbYu51MyVXgarqqr1ngBPrgifHhD YfgasaacHOWxg9qrFfeu0dXdh9vqqj=hEeeu0xXdbba9frFj0=OqFf ea0dXdd9vspGe9FjuP0=fs0xXdbba9pGe9xq=Jbba9suk9fr=xfr=x frpeWZqaaeaabiGaaiaadaqabeaabeqacqaaaOqaamaaamaabaGaeq iYdK3aaSbaaSqaaiaadQgaaeqaaOGaaiilaiabeI8a5naaBaaaleaa caWGRbaabeaaaOGaayzkJiaawQYiamaaBaaaleaacaWG4baabeaaki abg2da9maapeaabaGaeqiYdK3aa0baaSqaaiaadUgaaeaacqGHxiIk aaGccaGGOaGaamiEaiaacYcacaWGMbGaaiykaiaadEfacaGGOaGaam iEaiaacMcacqaHipqEdaWgaaWcbaGaamOAaaqabaGccaGGOaGaamiE aiaacYcacaWGMbGaaiykaiaadsgacaWG4baaleqabeqdcqGHRiI8aO Gaeyypa0JaeqiTdq2aaSbaaSqaaiaadQgacaWGRbaabeaaaaa@5D60@ , (4)

где δ jk MathType@MTEF@5@5@+= feaahGart1ev3aaatCvAUfeBSjuyZL2yd9gzLbvyNv2Caerbov2D09 MBdbqedmvETj2BSbqeduuDJXwAKbYu51MyVXgarqqr1ngBPrgifHhD YfgasaacHOWxg9qrFfeu0dXdh9vqqj=hEeeu0xXdbba9frFj0=OqFf ea0dXdd9vspGe9FjuP0=fs0xXdbba9pGe9xq=Jbba9suk9fr=xfr=x frpeWZqaaeaabiGaaiaadaqabeaabeqacqaaaOqaaiabes7aKnaaBa aaleaacaWGQbGaam4Aaaqabaaaaa@3BE4@  – дельта Кронекера. Кроме того, все базисные гармоники ψ j (x,f) e i2πft MathType@MTEF@5@5@+= feaahGart1ev3aaatCvAUfeBSjuyZL2yd9gzLbvyNv2Caerbov2D09 MBdbqedmvETj2BSbqeduuDJXwAKbYu51MyVXgarqqr1ngBPrgifHhD YfgasaacHOWxg9qrFfeu0dXdh9vqqj=hEeeu0xXdbba9frFj0=OqFf ea0dXdd9vspGe9FjuP0=fs0xXdbba9pGe9xq=Jbba9suk9fr=xfr=x frpeWZqaaeaabiGaaiaadaqabeaabeqacqaaaOqaaiabeI8a5naaBa aaleaacaWGQbaabeaakiaacIcacaWG4bGaaiilaiaadAgacaGGPaGa amyzamaaCaaaleqabaGaamyAaiaaikdacqaHapaCcaWGMbGaamiDaa aaaaa@457A@  взаимно ортогональны и в смысле исходного пространственно-временного скалярного произведения (2). Таким образом, спектр u ^ (x,f) MathType@MTEF@5@5@+= feaahGart1ev3aaatCvAUfeBSjuyZL2yd9gzLbvyNv2Caerbov2D09 MBdbqedmvETj2BSbqeduuDJXwAKbYu51MyVXgarqqr1ngBPrgifHhD YfgasaacHOWxg9qrFfeu0dXdh9vqqj=hEeeu0xXdbba9frFj0=OqFf ea0dXdd9vspGe9FjuP0=fs0xXdbba9pGe9xq=Jbba9suk9fr=xfr=x frpeWZqaaeaabiGaaiaadaqabeaabeqacqaaaOqaamaaHaaabaGaam yDaaGaayPadaGaaiikaiaadIhacaGGSaGaamOzaiaacMcaaaa@3DE1@  каждой отдельной реализации рассматриваемого случайного поля может быть оптимальным образом представлен в виде (1), где коэффициенты a j = u ^ , ψ j x MathType@MTEF@5@5@+= feaahGart1ev3aaatCvAUfeBSjuyZL2yd9gzLbvyNv2Caerbov2D09 MBdbqedmvETj2BSbqeduuDJXwAKbYu51MyVXgarqqr1ngBPrgifHhD YfgasaacHOWxg9qrFfeu0dXdh9vqqj=hEeeu0xXdbba9frFj0=OqFf ea0dXdd9vspGe9FjuP0=fs0xXdbba9pGe9xq=Jbba9suk9fr=xfr=x frpeWZqaaeaabiGaaiaadaqabeaabeqacqaaaOqaaiaadggadaWgaa WcbaGaamOAaaqabaGccqGH9aqpdaaadaqaamaaHaaabaGaamyDaaGa ayPadaGaaiilaiabeI8a5naaBaaaleaacaWGQbaabeaaaOGaayzkJi aawQYiamaaBaaaleaacaWG4baabeaaaaa@439D@  являются проекциями исходного поля на базисные функции, причем эти коэффициенты взаимно некоррелированы и E{ a j a k }= λ j δ jk MathType@MTEF@5@5@+= feaahGart1ev3aaatCvAUfeBSjuyZL2yd9gzLbvyNv2Caerbov2D09 MBdbqedmvETj2BSbqeduuDJXwAKbYu51MyVXgarqqr1ngBPrgifHhD YfgasaacHOWxg9qrFfeu0dXdh9vqqj=hEeeu0xXdbba9frFj0=OqFf ea0dXdd9vspGe9FjuP0=fs0xXdbba9pGe9xq=Jbba9suk9fr=xfr=x frpeWZqaaeaabiGaaiaadaqabeaabeqacqaaaOqaaiaadweacaGG7b GaamyyamaaBaaaleaacaWGQbaabeaakiaadggadaqhaaWcbaGaam4A aaqaaiabgEHiQaaakiaac2hacqGH9aqpcqaH7oaBdaWgaaWcbaGaam OAaaqabaGccqaH0oazdaWgaaWcbaGaamOAaiaadUgaaeqaaaaa@4794@ , а значит, взаимная спектральная плотность S(x, x ,f) MathType@MTEF@5@5@+= feaahGart1ev3aaatCvAUfeBSjuyZL2yd9gzLbvyNv2Caerbov2D09 MBdbqedmvETj2BSbqeduuDJXwAKbYu51MyVXgarqqr1ngBPrgifHhD YfgasaacHOWxg9qrFfeu0dXdh9vqqj=hEeeu0xXdbba9frFj0=OqFf ea0dXdd9vspGe9FjuP0=fs0xXdbba9pGe9xq=Jbba9suk9fr=xfr=x frpeWZqaaeaabiGaaiaadaqabeaabeqacqaaaOqaaiaadofacaGGOa GaamiEaiaacYcaceWG4bGbauaacaGGSaGaamOzaiaacMcaaaa@3EB6@  представляется в диагональной форме

  S(x, x ,f)= j=1 λ j (f) ψ j (x,f) ψ j ( x ,f) MathType@MTEF@5@5@+= feaahGart1ev3aaatCvAUfeBSjuyZL2yd9gzLbvyNv2Caerbov2D09 MBdbqedmvETj2BSbqeduuDJXwAKbYu51MyVXgarqqr1ngBPrgifHhD YfgasaacHOWxg9qrFfeu0dXdh9vqqj=hEeeu0xXdbba9frFj0=OqFf ea0dXdd9vspGe9FjuP0=fs0xXdbba9pGe9xq=Jbba9suk9fr=xfr=x frpeWZqaaeaabiGaaiaadaqabeaabeqacqaaaOqaaiaadofacaGGOa GaamiEaiaacYcaceWG4bGbauaacaGGSaGaamOzaiaacMcacqGH9aqp daaeWbqaaiabeU7aSnaaBaaaleaacaWGQbaabeaakiaacIcacaWGMb GaaiykaiabeI8a5naaBaaaleaacaWGQbaabeaakiaacIcacaWG4bGa aiilaiaadAgacaGGPaGaeqiYdK3aa0baaSqaaiaadQgaaeaacqGHxi IkaaGccaGGOaGabmiEayaafaGaaiilaiaadAgacaGGPaaaleaacaWG QbGaeyypa0JaaGymaaqaaiabg6HiLcqdcqGHris5aaaa@5A00@ .             (5)

Такого рода представление случайного поля будет полезно в том случае, если в выражение (5) вносит вклад малое число мод. Это позволяет строить низкопорядковые модели исходного явления, а также пытаться сопоставить отдельным модам конкретные физические механизмы.

Рассмотрим далее, каким образом можно адаптировать указанный метод для оценки мультипольной структуры акустически компактного источника шума, используя измерительную систему, расположенную в одной азимутальной плоскости.

Пусть в начале координат расположены некоррелированные мультиполи порядка l. Тогда дальнее звуковое поле может быть представлено в виде

p(r,θ,φ,t) 1 r n=0 l a n (tr/c)cosnφ+ + b n (tr/c)sinnφ P l n (cosθ), MathType@MTEF@5@5@+= feaahGart1ev3aaatCvAUfeBSjuyZL2yd9gzLbvyNv2Caerbov2D09 MBdbqedmvETj2BSbqeduuDJXwAKbYu51MyVXgarqqr1ngBPrgifHhD YfgasaacHOWxg9qrFfeu0dXdh9vqqj=hEeeu0xXdbba9frFj0=OqFf ea0dXdd9vspGe9FjuP0=fs0xXdbba9pGe9xq=Jbba9suk9fr=xfr=x frpeWZqaaeaabiGaaiaadaqabeaabeqacqaaaOabaiqabaGaamiCai aacIcacaWGYbGaaiilaiabeI7aXjaacYcacqaHgpGAcaGGSaGaamiD aiaacMcacqGHijYUdaWcaaqaaiaaigdaaeaacaWGYbaaamaaqahaba WaaeqaaeaacaWGHbWaaSbaaSqaaiaad6gaaeqaaOGaaiikaiaadsha cqGHsislcaWGYbGaai4laiaadogacaGGPaGaci4yaiaac+gacaGGZb GaamOBaiabeA8aQjabgUcaRaGaayjkaaaaleaacaWGUbGaeyypa0Ja aGimaaqaaiaadYgaa0GaeyyeIuoaaOqaamaabiaabaGaey4kaSIaam OyamaaBaaaleaacaWGUbaabeaakiaacIcacaWG0bGaeyOeI0IaamOC aiaac+cacaWGJbGaaiykaiGacohacaGGPbGaaiOBaiaad6gacqaHgp GAaiaawMcaaiaadcfadaqhaaWcbaGaamiBaaqaaiaad6gaaaGccaGG OaGaci4yaiaac+gacaGGZbGaeqiUdeNaaiykaiaacYcaaaaa@7300@                (6)

где функции a n MathType@MTEF@5@5@+= feaahGart1ev3aaatCvAUfeBSjuyZL2yd9gzLbvyNv2Caerbov2D09 MBdbqedmvETj2BSbqeduuDJXwAKbYu51MyVXgarqqr1ngBPrgifHhD YfgasaacHOWxg9qrFfeu0dXdh9vqqj=hEeeu0xXdbba9frFj0=OqFf ea0dXdd9vspGe9FjuP0=fs0xXdbba9pGe9xq=Jbba9suk9fr=xfr=x frpeWZqaaeaabiGaaiaadaqabeaabeqacqaaaOqaaiaadggadaWgaa WcbaGaamOBaaqabaaaaa@3A39@  и b n MathType@MTEF@5@5@+= feaahGart1ev3aaatCvAUfeBSjuyZL2yd9gzLbvyNv2Caerbov2D09 MBdbqedmvETj2BSbqeduuDJXwAKbYu51MyVXgarqqr1ngBPrgifHhD YfgasaacHOWxg9qrFfeu0dXdh9vqqj=hEeeu0xXdbba9frFj0=OqFf ea0dXdd9vspGe9FjuP0=fs0xXdbba9pGe9xq=Jbba9suk9fr=xfr=x frpeWZqaaeaabiGaaiaadaqabeaabeqacqaaaOqaaiaadkgadaWgaa WcbaGaamOBaaqabaaaaa@3A3A@  взаимно некоррелированы. В частотной области (6) приобретает вид

p ^ (r,θ,φ,f) e i2πfr/c r n=0 l ( a ^ n (f)cosnφ+ b ^ n (f)sinnφ P l n (cosθ) . MathType@MTEF@5@5@+= feaahGart1ev3aqatCvAUfeBSjuyZL2yd9gzLbvyNv2CaerbuLwBLn hiov2DGi1BTfMBaeXatLxBI9gBaerbd9wDYLwzYbItLDharqqtubsr 4rNCHbGeaGqiVu0Je9sqqrpepC0xbbL8F4rqqrFfpeea0xe9Lq=Jc9 vqaqpepm0xbba9pwe9Q8fs0=yqaqpepae9pg0FirpepeKkFr0xfr=x fr=xb9adbaqaaeGaciGaaiaabeqaamaabaabaaGcbaGabmiCayaaja GaaiikaiaadkhacaGGSaGaeqiUdeNaaiilaiabeA8aQjaacYcacaWG MbGaaiykaiabgIKi7oaalaaabaGaamyzamaaCaaaleqabaGaeyOeI0 IaamyAaiaaikdacqaHapaCcaWGMbGaamOCaiaac+cacaWGJbaaaaGc baGaamOCaaaadaaeWbqaaiaacIcaceWGHbGbaKaadaWgaaWcbaGaam OBaaqabaGccaGGOaGaamOzaiaacMcaciGGJbGaai4BaiaacohacaWG UbGaeqOXdOMaey4kaSIabmOyayaajaWaaSbaaSqaaiaad6gaaeqaaO GaaiikaiaadAgacaGGPaGaci4CaiaacMgacaGGUbGaamOBaiabeA8a QjaadcfadaqhaaWcbaGaamiBaaqaaiaad6gaaaGccaGGOaGaci4yai aac+gacaGGZbGaeqiUdeNaaiykaaWcbaGaamOBaiabg2da9iaaicda aeaacaWGSbaaniabggHiLdGccaGGUaaaaa@7039@  Для точек наблюдения, расположенных в одной азимутальной плоскости φ=const MathType@MTEF@5@5@+= feaahGart1ev3aaatCvAUfeBSjuyZL2yd9gzLbvyNv2Caerbov2D09 MBdbqedmvETj2BSbqeduuDJXwAKbYu51MyVXgarqqr1ngBPrgifHhD YfgasaacHOWxg9qrFfeu0dXdh9vqqj=hEeeu0xXdbba9frFj0=OqFf ea0dXdd9vspGe9FjuP0=fs0xXdbba9pGe9xq=Jbba9suk9fr=xfr=x frpeWZqaaeaabiGaaiaadaqabeaabeqacqaaaOqaaiabeA8aQjabg2 da9iaadogacaWGVbGaamOBaiaadohacaWG0baaaa@3FB7@ , без потери общности можно написать

  p ^ (r,θ,0,f) p ˜ (r,θ,f) e i2πfr/c r n=0 l a ^ n (f) P l n (cosθ) . MathType@MTEF@5@5@+= feaahGart1ev3aaatCvAUfeBSjuyZL2yd9gzLbvyNv2Caerbov2D09 MBdbqedmvETj2BSbqeduuDJXwAKbYu51MyVXgarqqr1ngBPrgifHhD YfgasaacHOWxg9qrFfeu0dXdh9vqqj=hEeeu0xXdbba9frFj0=OqFf ea0dXdd9vspGe9FjuP0=fs0xXdbba9pGe9xq=Jbba9suk9fr=xfr=x frpeWZqaaeaabiGaaiaadaqabeaabeqacqaaaOabaiqabaWaaecaae aacaWGWbaacaGLcmaacaGGOaGaamOCaiaacYcacqaH4oqCcaGGSaGa aGimaiaacYcacaWGMbGaaiykaiabggMi6kqadchagaacaiaacIcaca WGYbGaaiilaiabeI7aXjaacYcacaWGMbGaaiykaiabgIKi7cqaaiab gIKi7oaalaaabaGaamyzamaaCaaaleqabaGaeyOeI0IaamyAaiaaik dacqaHapaCcaWGMbGaaGjcVlaadkhacaGGVaGaam4yaaaaaOqaaiaa dkhaaaWaaabCaeaadaqiaaqaaiaadggaaiaawkWaamaaBaaaleaaca WGUbaabeaakiaacIcacaWGMbGaaiykaiaadcfadaqhaaWcbaGaamiB aaqaaiaad6gaaaGccaGGOaGaci4yaiaac+gacaGGZbGaeqiUdeNaai ykaaWcbaGaamOBaiabg2da9iaaicdaaeaacaWGSbaaniabggHiLdGc caGGUaaaaaa@6E41@     (7)

Взаимная спектральная плотность для двух любых точек в этой плоскости в дальнем поле, с учетом взаимной некоррелированности отдельных мультиполей, будет выражаться как

S ^ (r,θ, r , θ ,f) n=0 l A n (f) P l n (cosθ) e i2πfr/c r P l n (cos θ ) e i2πf r /c r , MathType@MTEF@5@5@+= feaahGart1ev3aaatCvAUfeBSjuyZL2yd9gzLbvyNv2Caerbov2D09 MBdbqedmvETj2BSbqeduuDJXwAKbYu51MyVXgarqqr1ngBPrgifHhD YfgasaacHOWxg9qrFfeu0dXdh9vqqj=hEeeu0xXdbba9frFj0=OqFf ea0dXdd9vspGe9FjuP0=fs0xXdbba9pGe9xq=Jbba9suk9fr=xfr=x frpeWZqaaeaabiGaaiaadaqabeaabeqacqaaaOabaiqabaWaaecaae aacaWGtbaacaGLcmaacaGGOaGaamOCaiaacYcacqaH4oqCcaGGSaGa bmOCayaafaGaaiilaiqbeI7aXzaafaGaaiilaiaadAgacaGGPaGaey isISlabaGaeyisIS7aaabCaeaacaWGbbWaaSbaaSqaaiaad6gaaeqa aOGaaiikaiaadAgacaGGPaGaamiuamaaDaaaleaacaWGSbaabaGaam OBaaaakiaacIcaciGGJbGaai4BaiaacohacqaH4oqCcaGGPaWaaSaa aeaacaWGLbWaaWbaaSqabeaacqGHsislcaWGPbGaaGOmaiabec8aWj aadAgacaaMi8UaamOCaiaac+cacaWGJbaaaaGcbaGaamOCaaaacaWG qbWaa0baaSqaaiaadYgaaeaacaWGUbaaaOGaaiikaiGacogacaGGVb Gaai4CaiqbeI7aXzaafaGaaiykamaalaaabaGaamyzamaaCaaaleqa baGaamyAaiaaikdacqaHapaCcaWGMbGaaGjcVlqadkhagaqbaiaac+ cacaWGJbaaaaGcbaGabmOCayaafaaaaiaacYcaaSqaaiaad6gacqGH 9aqpcaaIWaaabaGaamiBaaqdcqGHris5aaaaaa@7A66@             (8)

где A n MathType@MTEF@5@5@+= feaahGart1ev3aaatCvAUfeBSjuyZL2yd9gzLbvyNv2Caerbov2D09 MBdbqedmvETj2BSbqeduuDJXwAKbYu51MyVXgarqqr1ngBPrgifHhD YfgasaacHOWxg9qrFfeu0dXdh9vqqj=hEeeu0xXdbba9frFj0=OqFf ea0dXdd9vspGe9FjuP0=fs0xXdbba9pGe9xq=Jbba9suk9fr=xfr=x frpeWZqaaeaabiGaaiaadaqabeaabeqacqaaaOqaaiaadgeadaWgaa WcbaGaamOBaaqabaaaaa@3A19@  соответствует интенсивности источников, т.е. E{ a ^ n a ^ m }= A n δ nm MathType@MTEF@5@5@+= feaahGart1ev3aaatCvAUfeBSjuyZL2yd9gzLbvyNv2Caerbov2D09 MBdbqedmvETj2BSbqeduuDJXwAKbYu51MyVXgarqqr1ngBPrgifHhD YfgasaacHOWxg9qrFfeu0dXdh9vqqj=hEeeu0xXdbba9frFj0=OqFf ea0dXdd9vspGe9FjuP0=fs0xXdbba9pGe9xq=Jbba9suk9fr=xfr=x frpeWZqaaeaabiGaaiaadaqabeaabeqacqaaaOqaaiaadweacaGG7b WaaecaaeaacaWGHbaacaGLcmaadaWgaaWcbaGaamOBaaqabaGcdaqi aaqaaiaadggaaiaawkWaamaaDaaaleaacaWGTbaabaGaey4fIOcaaO GaaiyFaiabg2da9iaadgeadaWgaaWcbaGaamOBaaqabaGccqaH0oaz daWgaaWcbaGaamOBaiaad2gaaeqaaaaa@483A@ . Отметим сходство выражений (8) и (5). Рассмотрим, каким образом можно поставить задачу SPOD-разложения звукового поля в заданной азимутальной плоскости, чтобы SPOD-моды были близки функциям P l n (cosθ) e i2πfr/c /r MathType@MTEF@5@5@+= feaahGart1ev3aaatCvAUfeBSjuyZL2yd9gzLbvyNv2Caerbov2D09 MBdbqedmvETj2BSbqeduuDJXwAKbYu51MyVXgarqqr1ngBPrgifHhD YfgasaacHOWxg9qrFfeu0dXdh9vqqj=hEeeu0xXdbba9frFj0=OqFf ea0dXdd9vspGe9FjuP0=fs0xXdbba9pGe9xq=Jbba9suk9fr=xfr=x frpeWZqaaeaabiGaaiaadaqabeaabeqacqaaaOqaaiaadcfadaqhaa WcbaGaamiBaaqaaiaad6gaaaGccaGGOaGaci4yaiaac+gacaGGZbGa eqiUdeNaaiykaiaadwgadaahaaWcbeqaaiabgkHiTiaadMgacaaIYa GaeqiWdaNaamOzaiaayIW7caWGYbGaai4laiaadogaaaGccaGGVaGa amOCaaaa@4D33@ , характеризующим источник шума. Для простоты положим, что точки наблюдения лежат на дуге окружности r=R MathType@MTEF@5@5@+= feaahGart1ev3aaatCvAUfeBSjuyZL2yd9gzLbvyNv2Caerbov2D09 MBdbqedmvETj2BSbqeduuDJXwAKbYu51MyVXgarqqr1ngBPrgifHhD YfgasaacHOWxg9qrFfeu0dXdh9vqqj=hEeeu0xXdbba9frFj0=OqFf ea0dXdd9vspGe9FjuP0=fs0xXdbba9pGe9xq=Jbba9suk9fr=xfr=x frpeWZqaaeaabiGaaiaadaqabeaabeqacqaaaOqaaiaadkhacqGH9a qpcaWGsbaaaa@3B08@ , как это обычно имеет место в акустических экспериментах. В этом случае (8) сводится к

S(θ, θ ,f) n=0 l A n (f) P l n (cosθ) P l n (cos θ ) MathType@MTEF@5@5@+= feaahGart1ev3aaatCvAUfeBSjuyZL2yd9gzLbvyNv2Caerbov2D09 MBdbqedmvETj2BSbqeduuDJXwAKbYu51MyVXgarqqr1ngBPrgifHhD YfgasaacHOWxg9qrFfeu0dXdh9vqqj=hEeeu0xXdbba9frFj0=OqFf ea0dXdd9vspGe9FjuP0=fs0xXdbba9pGe9xq=Jbba9suk9fr=xfr=x frpeWZqaaeaabiGaaiaadaqabeaabeqacqaaaOqaaiaadofacaGGOa GaeqiUdeNaaiilaiqbeI7aXzaafaGaaiilaiaadAgacaGGPaGaeyis IS7aaabCaeaacaWGbbWaaSbaaSqaaiaad6gaaeqaaOGaaiikaiaadA gacaGGPaGaamiuamaaDaaaleaacaWGSbaabaGaamOBaaaakiaacIca ciGGJbGaai4BaiaacohacqaH4oqCcaGGPaGaamiuamaaDaaaleaaca WGSbaabaGaamOBaaaakiaacIcaciGGJbGaai4BaiaacohacuaH4oqC gaqbaiaacMcaaSqaaiaad6gacqGH9aqpcaaIWaaabaGaamiBaaqdcq GHris5aaaa@5DA2@ .           (9)

В соответствии с (4), (5) функции P l n (cosθ) MathType@MTEF@5@5@+= feaahGart1ev3aaatCvAUfeBSjuyZL2yd9gzLbvyNv2Caerbov2D09 MBdbqedmvETj2BSbqeduuDJXwAKbYu51MyVXgarqqr1ngBPrgifHhD YfgasaacHOWxg9qrFfeu0dXdh9vqqj=hEeeu0xXdbba9frFj0=OqFf ea0dXdd9vspGe9FjuP0=fs0xXdbba9pGe9xq=Jbba9suk9fr=xfr=x frpeWZqaaeaabiGaaiaadaqabeaabeqacqaaaOqaaiaadcfadaqhaa WcbaGaamiBaaqaaiaad6gaaaGccaGGOaGaci4yaiaac+gacaGGZbGa eqiUdeNaaiykaaaa@4106@  будут SPOD-модами, если для них будет выполняться условие ортогональности

  P l n , P l m θ = 0 π P l m (cosθ)W(θ) P l n (cosθ)dθ = δ nm MathType@MTEF@5@5@+= feaahGart1ev3aaatCvAUfeBSjuyZL2yd9gzLbvyNv2Caerbov2D09 MBdbqedmvETj2BSbqeduuDJXwAKbYu51MyVXgarqqr1ngBPrgifHhD YfgasaacHOWxg9qrFfeu0dXdh9vqqj=hEeeu0xXdbba9frFj0=OqFf ea0dXdd9vspGe9FjuP0=fs0xXdbba9pGe9xq=Jbba9suk9fr=xfr=x frpeWZqaaeaabiGaaiaadaqabeaabeqacqaaaOqaamaaamaabaGaam iuamaaDaaaleaacaWGSbaabaGaamOBaaaakiaacYcacaWGqbWaa0ba aSqaaiaadYgaaeaacaWGTbaaaaGccaGLPmIaayPkJaWaaSbaaSqaai abeI7aXbqabaGccqGH9aqpdaWdXbqaaiaadcfadaqhaaWcbaGaamiB aaqaaiaad2gaaaGccaGGOaGaci4yaiaac+gacaGGZbGaeqiUdeNaai ykaiaadEfacaGGOaGaeqiUdeNaaiykaiaadcfadaqhaaWcbaGaamiB aaqaaiaad6gaaaGccaGGOaGaci4yaiaac+gacaGGZbGaeqiUdeNaai ykaiaadsgacqaH4oqCaSqaaiaaicdaaeaacqaHapaCa0Gaey4kIipa kiabg2da9iabes7aKnaaBaaaleaacaWGUbGaamyBaaqabaaaaa@6558@ . (10)

Как известно, присоединенные полиномы Лежандра не являются взаимно ортогональными, ортогональны только некоторые их подмножества [40]. В рассматриваемой задаче мы интересуемся возможностью выделения отдельных компонент мультиполей заданной степени l. Для такого подмножества l=const MathType@MTEF@5@5@+= feaahGart1ev3aaatCvAUfeBSjuyZL2yd9gzLbvyNv2Caerbov2D09 MBdbqedmvETj2BSbqeduuDJXwAKbYu51MyVXgarqqr1ngBPrgifHhD YfgasaacHOWxg9qrFfeu0dXdh9vqqj=hEeeu0xXdbba9frFj0=OqFf ea0dXdd9vspGe9FjuP0=fs0xXdbba9pGe9xq=Jbba9suk9fr=xfr=x frpeWZqaaeaabiGaaiaadaqabeaabeqacqaaaOqaaiaadYgacqGH9a qpcaWGJbGaam4Baiaad6gacaWGZbGaamiDaaaa@3EEB@  имеет место ортогональность вида

1 1 P l m (q) P l n (q) dq 1 q 2 = δ mn (l+n)! (ln)!n ,n>0, ,n=0, MathType@MTEF@5@5@+= feaahGart1ev3aaatCvAUfeBSjuyZL2yd9gzLbvyNv2Caerbov2D09 MBdbqedmvETj2BSbqeduuDJXwAKbYu51MyVXgarqqr1ngBPrgifHhD YfgasaacHOWxg9qrFfeu0dXdh9vqqj=hEeeu0xXdbba9frFj0=OqFf ea0dXdd9vspGe9FjuP0=fs0xXdbba9pGe9xq=Jbba9suk9fr=xfr=x frpeWZqaaeaabiGaaiaadaqabeaabeqacqaaaOqaamaapehabaGaam iuamaaDaaaleaacaWGSbaabaGaamyBaaaakiaacIcacaWGXbGaaiyk aiaadcfadaqhaaWcbaGaamiBaaqaaiaad6gaaaGccaGGOaGaamyCai aacMcadaWcaaqaaiaadsgacaWGXbaabaGaaGymaiabgkHiTiaadgha daahaaWcbeqaaiaaikdaaaaaaaqaaiabgkHiTiaaigdaaeaacaaIXa aaniabgUIiYdGccqGH9aqpdaWabaabaeqabaGaeqiTdq2aaSbaaSqa aiaad2gacaWGUbaabeaakmaalaaabaGaaiikaiaadYgacqGHRaWkca WGUbGaaiykaiaacgcaaeaacaGGOaGaamiBaiabgkHiTiaad6gacaGG PaGaaiyiaiaad6gaaaGaaiilaiaayIW7caaMc8UaaGPaVlaad6gacq GH+aGpcaaIWaGaaiilaaqaaiabg6HiLkaacYcacaaMc8UaaGPaVlaa d6gacqGH9aqpcaaIWaGaaiilaaaacaGLBbaaaaa@6EA6@      (11)

где q=cosθ MathType@MTEF@5@5@+= feaahGart1ev3aaatCvAUfeBSjuyZL2yd9gzLbvyNv2Caerbov2D09 MBdbqedmvETj2BSbqeduuDJXwAKbYu51MyVXgarqqr1ngBPrgifHhD YfgasaacHOWxg9qrFfeu0dXdh9vqqj=hEeeu0xXdbba9frFj0=OqFf ea0dXdd9vspGe9FjuP0=fs0xXdbba9pGe9xq=Jbba9suk9fr=xfr=x frpeWZqaaeaabiGaaiaadaqabeaabeqacqaaaOqaaiaadghacqGH9a qpciGGJbGaai4BaiaacohacqaH4oqCaaa@3EB9@  и формально показано, что при n=0 MathType@MTEF@5@5@+= feaahGart1ev3aaatCvAUfeBSjuyZL2yd9gzLbvyNv2Caerbov2D09 MBdbqedmvETj2BSbqeduuDJXwAKbYu51MyVXgarqqr1ngBPrgifHhD YfgasaacHOWxg9qrFfeu0dXdh9vqqj=hEeeu0xXdbba9frFj0=OqFf ea0dXdd9vspGe9FjuP0=fs0xXdbba9pGe9xq=Jbba9suk9fr=xfr=x frpeWZqaaeaabiGaaiaadaqabeaabeqacqaaaOqaaiaad6gacqGH9a qpcaaIWaaaaa@3AE7@  соответствующий интеграл расходится. В строгой постановке расходящийся интеграл может быть проблемой, однако мы далее сосредоточимся на случаях, реализуемых в физических или численных экспериментах, в которых приходится иметь дело с дискретным набором координатных точек, в нашем случае – углов наблюдения { θ i } MathType@MTEF@5@5@+= feaahGart1ev3aaatCvAUfeBSjuyZL2yd9gzLbvyNv2Caerbov2D09 MBdbqedmvETj2BSbqeduuDJXwAKbYu51MyVXgarqqr1ngBPrgifHhD YfgasaacHOWxg9qrFfeu0dXdh9vqqj=hEeeu0xXdbba9frFj0=OqFf ea0dXdd9vspGe9FjuP0=fs0xXdbba9pGe9xq=Jbba9suk9fr=xfr=x frpeWZqaaeaabiGaaiaadaqabeaabeqacqaaaOqaaiaacUhacqaH4o qCdaWgaaWcbaGaamyAaaqabaGccaGG9baaaa@3D0E@ , i=1,...,N MathType@MTEF@5@5@+= feaahGart1ev3aaatCvAUfeBSjuyZL2yd9gzLbvyNv2Caerbov2D09 MBdbqedmvETj2BSbqeduuDJXwAKbYu51MyVXgarqqr1ngBPrgifHhD YfgasaacHOWxg9qrFfeu0dXdh9vqqj=hEeeu0xXdbba9frFj0=OqFf ea0dXdd9vspGe9FjuP0=fs0xXdbba9pGe9xq=Jbba9suk9fr=xfr=x frpeWZqaaeaabiGaaiaadaqabeaabeqacqaaaOqaaiaadMgacqGH9a qpcaaIXaGaaiilaiaac6cacaGGUaGaaiOlaiaacYcacaWGobaaaa@3F2C@ . Положим, что углы распределены равномерно с шагом Δθ MathType@MTEF@5@5@+= feaahGart1ev3aaatCvAUfeBSjuyZL2yd9gzLbvyNv2Caerbov2D09 MBdbqedmvETj2BSbqeduuDJXwAKbYu51MyVXgarqqr1ngBPrgifHhD YfgasaacHOWxg9qrFfeu0dXdh9vqqj=hEeeu0xXdbba9frFj0=OqFf ea0dXdd9vspGe9FjuP0=fs0xXdbba9pGe9xq=Jbba9suk9fr=xfr=x frpeWZqaaeaabiGaaiaadaqabeaabeqacqaaaOqaaiabfs5aejabeI 7aXbaa@3B50@  в секторе 0< θ 1 <...< θ N <π MathType@MTEF@5@5@+= feaahGart1ev3aaatCvAUfeBSjuyZL2yd9gzLbvyNv2Caerbov2D09 MBdbqedmvETj2BSbqeduuDJXwAKbYu51MyVXgarqqr1ngBPrgifHhD YfgasaacHOWxg9qrFfeu0dXdh9vqqj=hEeeu0xXdbba9frFj0=OqFf ea0dXdd9vspGe9FjuP0=fs0xXdbba9pGe9xq=Jbba9suk9fr=xfr=x frpeWZqaaeaabiGaaiaadaqabeaabeqacqaaaOqaaiaaicdacqGH8a apcqaH4oqCdaWgaaWcbaGaaGymaaqabaGccqGH8aapcaGGUaGaaiOl aiaac6cacqGH8aapcqaH4oqCdaWgaaWcbaGaamOtaaqabaGccqGH8a apcqaHapaCaaa@4637@ . Тогда условие (11) можно записать в виде

  i=1 N P l m (cos θ i ) P l n (cos θ i ) Δθ sin θ i δ mn g ln MathType@MTEF@5@5@+= feaahGart1ev3aaatCvAUfeBSjuyZL2yd9gzLbvyNv2Caerbov2D09 MBdbqedmvETj2BSbqeduuDJXwAKbYu51MyVXgarqqr1ngBPrgifHhD YfgasaacHOWxg9qrFfeu0dXdh9vqqj=hEeeu0xXdbba9frFj0=OqFf ea0dXdd9vspGe9FjuP0=fs0xXdbba9pGe9xq=Jbba9suk9fr=xfr=x frpeWZqaaeaabiGaaiaadaqabeaabeqacqaaaOqaamaaqahabaGaam iuamaaDaaaleaacaWGSbaabaGaamyBaaaakiaacIcaciGGJbGaai4B aiaacohacqaH4oqCdaWgaaWcbaGaamyAaaqabaGccaGGPaGaamiuam aaDaaaleaacaWGSbaabaGaamOBaaaakiaacIcaciGGJbGaai4Baiaa cohacqaH4oqCdaWgaaWcbaGaamyAaaqabaGccaGGPaWaaSaaaeaacq qHuoarcqaH4oqCaeaaciGGZbGaaiyAaiaac6gacqaH4oqCdaWgaaWc baGaamyAaaqabaaaaaqaaiaadMgacqGH9aqpcaaIXaaabaGaamOtaa qdcqGHris5aOGaeyisISRaeqiTdq2aaSbaaSqaaiaad2gacaWGUbaa beaakiaadEgadaWgaaWcbaGaamiBaiaad6gaaeqaaaaa@6323@ ,                   (12)

где g ln >0 MathType@MTEF@5@5@+= feaahGart1ev3aaatCvAUfeBSjuyZL2yd9gzLbvyNv2Caerbov2D09 MBdbqedmvETj2BSbqeduuDJXwAKbYu51MyVXgarqqr1ngBPrgifHhD YfgasaacHOWxg9qrFfeu0dXdh9vqqj=hEeeu0xXdbba9frFj0=OqFf ea0dXdd9vspGe9FjuP0=fs0xXdbba9pGe9xq=Jbba9suk9fr=xfr=x frpeWZqaaeaabiGaaiaadaqabeaabeqacqaaaOqaaiaadEgadaWgaa WcbaGaamiBaiaad6gaaeqaaOGaeyOpa4JaaGimaaaa@3CFC@  – набор положительных чисел, которые при достаточно мелком разбиении отрезка [0,π] MathType@MTEF@5@5@+= feaahGart1ev3aaatCvAUfeBSjuyZL2yd9gzLbvyNv2Caerbov2D09 MBdbqedmvETj2BSbqeduuDJXwAKbYu51MyVXgarqqr1ngBPrgifHhD YfgasaacHOWxg9qrFfeu0dXdh9vqqj=hEeeu0xXdbba9frFj0=OqFf ea0dXdd9vspGe9FjuP0=fs0xXdbba9pGe9xq=Jbba9suk9fr=xfr=x frpeWZqaaeaabiGaaiaadaqabeaabeqacqaaaOqaaiaacUfacaaIWa Gaaiilaiabec8aWjaac2faaaa@3D1B@  близки к (l+n)!/((ln)!n) MathType@MTEF@5@5@+= feaahGart1ev3aaatCvAUfeBSjuyZL2yd9gzLbvyNv2Caerbov2D09 MBdbqedmvETj2BSbqeduuDJXwAKbYu51MyVXgarqqr1ngBPrgifHhD YfgasaacHOWxg9qrFfeu0dXdh9vqqj=hEeeu0xXdbba9frFj0=OqFf ea0dXdd9vspGe9FjuP0=fs0xXdbba9pGe9xq=Jbba9suk9fr=xfr=x frpeWZqaaeaabiGaaiaadaqabeaabeqacqaaaOqaaiaacIcacaWGSb Gaey4kaSIaamOBaiaacMcacaGGHaGaai4laiaacIcacaGGOaGaamiB aiabgkHiTiaad6gacaGGPaGaaiyiaiaad6gacaGGPaaaaa@44C6@  при n>0 MathType@MTEF@5@5@+= feaahGart1ev3aaatCvAUfeBSjuyZL2yd9gzLbvyNv2Caerbov2D09 MBdbqedmvETj2BSbqeduuDJXwAKbYu51MyVXgarqqr1ngBPrgifHhD YfgasaacHOWxg9qrFfeu0dXdh9vqqj=hEeeu0xXdbba9frFj0=OqFf ea0dXdd9vspGe9FjuP0=fs0xXdbba9pGe9xq=Jbba9suk9fr=xfr=x frpeWZqaaeaabiGaaiaadaqabeaabeqacqaaaOqaaiaad6gacqGH+a GpcaaIWaaaaa@3AE9@  и к cos θ N cos θ 1 P l 0 (q) 2 1 q 2 1 dq MathType@MTEF@5@5@+= feaahGart1ev3aaatCvAUfeBSjuyZL2yd9gzLbvyNv2Caerbov2D09 MBdbqedmvETj2BSbqeduuDJXwAKbYu51MyVXgarqqr1ngBPrgifHhD YfgasaacHOWxg9qrFfeu0dXdh9vqqj=hEeeu0xXdbba9frFj0=OqFf ea0dXdd9vspGe9FjuP0=fs0xXdbba9pGe9xq=Jbba9suk9fr=xfr=x frpeWZqaaeaabiGaaiaadaqabeaabeqacqaaaOqaamaapehabaWaae WaaeaacaWGqbWaa0baaSqaaiaadYgaaeaacaaIWaaaaOGaaiikaiaa dghacaGGPaaacaGLOaGaayzkaaWaaWbaaSqabeaacaaIYaaaaOWaae WaaeaacaaIXaGaeyOeI0IaamyCamaaCaaaleqabaGaaGOmaaaaaOGa ayjkaiaawMcaamaaCaaaleqabaGaeyOeI0IaaGymaaaakiaadsgaca WGXbaaleaaciGGJbGaai4BaiaacohacqaH4oqCdaWgaaadbaGaamOt aaqabaaaleaaciGGJbGaai4BaiaacohacqaH4oqCdaWgaaadbaGaaG ymaaqabaaaniabgUIiYdaaaa@55FC@  – при n=0 MathType@MTEF@5@5@+= feaahGart1ev3aaatCvAUfeBSjuyZL2yd9gzLbvyNv2Caerbov2D09 MBdbqedmvETj2BSbqeduuDJXwAKbYu51MyVXgarqqr1ngBPrgifHhD YfgasaacHOWxg9qrFfeu0dXdh9vqqj=hEeeu0xXdbba9frFj0=OqFf ea0dXdd9vspGe9FjuP0=fs0xXdbba9pGe9xq=Jbba9suk9fr=xfr=x frpeWZqaaeaabiGaaiaadaqabeaabeqacqaaaOqaaiaad6gacqGH9a qpcaaIWaaaaa@3AE7@ . Если понимать условие ортогональности в смысле (12), т.е. определить весовую функцию как

W(θ)= Δθ sinθ MathType@MTEF@5@5@+= feaahGart1ev3aaatCvAUfeBSjuyZL2yd9gzLbvyNv2Caerbov2D09 MBdbqedmvETj2BSbqeduuDJXwAKbYu51MyVXgarqqr1ngBPrgifHhD YfgasaacHOWxg9qrFfeu0dXdh9vqqj=hEeeu0xXdbba9frFj0=OqFf ea0dXdd9vspGe9FjuP0=fs0xXdbba9pGe9xq=Jbba9suk9fr=xfr=x frpeWZqaaeaabiGaaiaadaqabeaabeqacqaaaOqaaiaadEfacaGGOa GaeqiUdeNaaiykaiabg2da9maalaaabaGaeuiLdqKaeqiUdehabaGa ci4CaiaacMgacaGGUbGaeqiUdehaaaaa@44DF@ ,                     (13)

то соответствующие SPOD-моды, ортогональные в смысле так сконструированного скалярного произведения

  ψ j , ψ k θ = i=1 N ψ k ( θ i ,f)W( θ i ) ψ j ( θ i ,f) = δ jk MathType@MTEF@5@5@+= feaahGart1ev3aaatCvAUfeBSjuyZL2yd9gzLbvyNv2Caerbov2D09 MBdbqedmvETj2BSbqeduuDJXwAKbYu51MyVXgarqqr1ngBPrgifHhD YfgasaacHOWxg9qrFfeu0dXdh9vqqj=hEeeu0xXdbba9frFj0=OqFf ea0dXdd9vspGe9FjuP0=fs0xXdbba9pGe9xq=Jbba9suk9fr=xfr=x frpeWZqaaeaabiGaaiaadaqabeaabeqacqaaaOqaamaaamaabaGaeq iYdK3aaSbaaSqaaiaadQgaaeqaaOGaaiilaiabeI8a5naaBaaaleaa caWGRbaabeaaaOGaayzkJiaawQYiamaaBaaaleaacqaH4oqCaeqaaO Gaeyypa0ZaaabCaeaacqaHipqEdaqhaaWcbaGaam4AaaqaaiabgEHi QaaakiaacIcacqaH4oqCdaWgaaWcbaGaamyAaaqabaGccaGGSaGaam OzaiaacMcacaWGxbGaaiikaiabeI7aXnaaBaaaleaacaWGPbaabeaa kiaacMcacqaHipqEdaWgaaWcbaGaamOAaaqabaGccaGGOaGaeqiUde 3aaSbaaSqaaiaadMgaaeqaaOGaaiilaiaadAgacaGGPaaaleaacaWG PbGaeyypa0JaaGymaaqaaiaad6eaa0GaeyyeIuoakiabg2da9iabes 7aKnaaBaaaleaacaWGQbGaam4Aaaqabaaaaa@6593@ , (14)

будут близки к соответствующим присоединенным полиномам Лежандра (с точностью до множителей g ln MathType@MTEF@5@5@+= feaahGart1ev3aaatCvAUfeBSjuyZL2yd9gzLbvyNv2Caerbov2D09 MBdbqedmvETj2BSbqeduuDJXwAKbYu51MyVXgarqqr1ngBPrgifHhD YfgasaacHOWxg9qrFfeu0dXdh9vqqj=hEeeu0xXdbba9frFj0=OqFf ea0dXdd9vspGe9FjuP0=fs0xXdbba9pGe9xq=Jbba9suk9fr=xfr=x frpeWZqaaeaabiGaaiaadaqabeaabeqacqaaaOqaaiaadEgadaWgaa WcbaGaamiBaiaad6gaaeqaaaaa@3B30@  и ошибки, связанной с дискретизацией по углу θ MathType@MTEF@5@5@+= feaahGart1ev3aaatCvAUfeBSjuyZL2yd9gzLbvyNv2Caerbov2D09 MBdbqedmvETj2BSbqeduuDJXwAKbYu51MyVXgarqqr1ngBPrgifHhD YfgasaacHOWxg9qrFfeu0dXdh9vqqj=hEeeu0xXdbba9frFj0=OqFf ea0dXdd9vspGe9FjuP0=fs0xXdbba9pGe9xq=Jbba9suk9fr=xfr=x frpeWZqaaeaabiGaaiaadaqabeaabeqacqaaaOqaaiabeI7aXbaa@39EA@  ), а спектральная плотность излучения в каждом направлении

S(θ,θ,f)= j=1 N λ j (f)| ψ j (θ,f) | 2 MathType@MTEF@5@5@+= feaahGart1ev3aaatCvAUfeBSjuyZL2yd9gzLbvyNv2Caerbov2D09 MBdbqedmvETj2BSbqeduuDJXwAKbYu51MyVXgarqqr1ngBPrgifHhD YfgasaacHOWxg9qrFfeu0dXdh9vqqj=hEeeu0xXdbba9frFj0=OqFf ea0dXdd9vspGe9FjuP0=fs0xXdbba9pGe9xq=Jbba9suk9fr=xfr=x frpeWZqaaeaabiGaaiaadaqabeaabeqacqaaaOqaaiaadofacaGGOa GaeqiUdeNaaiilaiabeI7aXjaacYcacaWGMbGaaiykaiabg2da9maa qahabaGaeq4UdW2aaSbaaSqaaiaadQgaaeqaaOGaaiikaiaadAgaca GGPaGaaiiFaiabeI8a5naaBaaaleaacaWGQbaabeaakiaacIcacqaH 4oqCcaGGSaGaamOzaiaacMcacaGG8bWaaWbaaSqabeaacaaIYaaaaa qaaiaadQgacqGH9aqpcaaIXaaabaGaamOtaaqdcqGHris5aaaa@567F@                                (15)

будет, таким образом, разложена по базисным мультипольным компонентам в порядке убывания энергии. Отметим, что при этом неважно, будут ли коэффициенты g ln MathType@MTEF@5@5@+= feaahGart1ev3aaatCvAUfeBSjuyZL2yd9gzLbvyNv2Caerbov2D09 MBdbqedmvETj2BSbqeduuDJXwAKbYu51MyVXgarqqr1ngBPrgifHhD YfgasaacHOWxg9qrFfeu0dXdh9vqqj=hEeeu0xXdbba9frFj0=OqFf ea0dXdd9vspGe9FjuP0=fs0xXdbba9pGe9xq=Jbba9suk9fr=xfr=x frpeWZqaaeaabiGaaiaadaqabeaabeqacqaaaOqaaiaadEgadaWgaa WcbaGaamiBaiaad6gaaeqaaaaa@3B30@  отнесены к собственному числу или к собственной функции, поскольку интенсивность излучения каждого мультиполя характеризуется произведением λ j (f)| ψ j (θ,f) | 2 MathType@MTEF@5@5@+= feaahGart1ev3aaatCvAUfeBSjuyZL2yd9gzLbvyNv2Caerbov2D09 MBdbqedmvETj2BSbqeduuDJXwAKbYu51MyVXgarqqr1ngBPrgifHhD YfgasaacHOWxg9qrFfeu0dXdh9vqqj=hEeeu0xXdbba9frFj0=OqFf ea0dXdd9vspGe9FjuP0=fs0xXdbba9pGe9xq=Jbba9suk9fr=xfr=x frpeWZqaaeaabiGaaiaadaqabeaabeqacqaaaOqaaiabeU7aSnaaBa aaleaacaWGQbaabeaakiaacIcacaWGMbGaaiykaiaacYhacqaHipqE daWgaaWcbaGaamOAaaqabaGccaGGOaGaeqiUdeNaaiilaiaadAgaca GGPaGaaiiFamaaCaaaleqabaGaaGOmaaaaaaa@47D7@ . Число значимых собственных чисел в таком SPOD-разложении должно быть равно l+1 – числу базисных мультиполей заданной степени, дающих вклад в излучение в фиксированной азимутальной плоскости.

Задача (3), решением которой являются собственные числа и собственные функции, в дискретной форме для каждой частотной компоненты f принимает следующий вид [35]

  S f W Ψ f = Ψ f Λ f MathType@MTEF@5@5@+= feaahGart1ev3aaatCvAUfeBSjuyZL2yd9gzLbvyNv2Caerbov2D09 MBdbqedmvETj2BSbqeduuDJXwAKbYu51MyVXgarqqr1ngBPrgifHhD YfgasaacHOWxg9qrFfeu0dXdh9vqqj=hEeeu0xXdbba9frFj0=OqFf ea0dXdd9vspGe9FjuP0=fs0xXdbba9pGe9xq=Jbba9suk9fr=xfr=x frpeWZqaaeaabiGaaiaadaqabeaabeqacqaaaOqaaiaahofadaWgaa WcbaGaamOzaaqabaGccaWHxbacdeGae8hQdK1aaSbaaSqaaiaadAga aeqaaOGaeyypa0Jae8hQdK1aaSbaaSqaaiaadAgaaeqaaOGae83MdW 0aaSbaaSqaaiaadAgaaeqaaaaa@43FD@ ,           (16)

где все матрицы имеют размер N×N MathType@MTEF@5@5@+= feaahGart1ev3aaatCvAUfeBSjuyZL2yd9gzLbvyNv2Caerbov2D09 MBdbqedmvETj2BSbqeduuDJXwAKbYu51MyVXgarqqr1ngBPrgifHhD YfgasaacHOWxg9qrFfeu0dXdh9vqqj=hEeeu0xXdbba9frFj0=OqFf ea0dXdd9vspGe9FjuP0=fs0xXdbba9pGe9xq=Jbba9suk9fr=xfr=x frpeWZqaaeaabiGaaiaadaqabeaabeqacqaaaOqaaiaad6eacqGHxd aTcaWGobaaaa@3BF1@  и состоят из следующих элементов: Ψ fij = ψ j ( θ i ,f) MathType@MTEF@5@5@+= feaahGart1ev3aaatCvAUfeBSjuyZL2yd9gzLbvyNv2Caerbov2D09 MBdbqedmvETj2BSbqeduuDJXwAKbYu51MyVXgarqqr1ngBPrgifHhD YfgasaacHOWxg9qrFfeu0dXdh9vqqj=hEeeu0xXdbba9frFj0=OqFf ea0dXdd9vspGe9FjuP0=fs0xXdbba9pGe9xq=Jbba9suk9fr=xfr=x frpeWZqaaeaabiGaaiaadaqabeaabeqacqaaaOqaaGWabiab=H6azn aaBaaaleaacaWGMbGaaGjbVlaadMgacaWGQbaabeaakiabg2da9iab eI8a5naaBaaaleaacaWGQbaabeaakiaacIcacqaH4oqCdaWgaaWcba GaamyAaaqabaGccaGGSaGaamOzaiaacMcaaaa@481B@ , Λ fij = λ j (f) δ ij MathType@MTEF@5@5@+= feaahGart1ev3aaatCvAUfeBSjuyZL2yd9gzLbvyNv2Caerbov2D09 MBdbqedmvETj2BSbqeduuDJXwAKbYu51MyVXgarqqr1ngBPrgifHhD YfgasaacHOWxg9qrFfeu0dXdh9vqqj=hEeeu0xXdbba9frFj0=OqFf ea0dXdd9vspGe9FjuP0=fs0xXdbba9pGe9xq=Jbba9suk9fr=xfr=x frpeWZqaaeaabiGaaiaadaqabeaabeqacqaaaOqaaGWabiab=T5amn aaBaaaleaacaWGMbGaaGjbVlaadMgacaWGQbaabeaakiabg2da9iab eU7aSnaaBaaaleaacaWGQbaabeaakiaacIcacaWGMbGaaiykaiabes 7aKnaaBaaaleaacaWGPbGaamOAaaqabaaaaa@480B@ , W ij =Δθ/sin θ i δ ij MathType@MTEF@5@5@+= feaahGart1ev3aaatCvAUfeBSjuyZL2yd9gzLbvyNv2Caerbov2D09 MBdbqedmvETj2BSbqeduuDJXwAKbYu51MyVXgarqqr1ngBPrgifHhD YfgasaacHOWxg9qrFfeu0dXdh9vqqj=hEeeu0xXdbba9frFj0=OqFf ea0dXdd9vspGe9FjuP0=fs0xXdbba9pGe9xq=Jbba9suk9fr=xfr=x frpeWZqaaeaabiGaaiaadaqabeaabeqacqaaaOqaaiaahEfadaWgaa WcbaGaamyAaiaadQgaaeqaaOGaeyypa0JaeuiLdqKaeqiUdeNaai4l aiGacohacaGGPbGaaiOBaiabeI7aXnaaBaaaleaacaWGPbaabeaaki aaykW7cqaH0oazdaWgaaWcbaGaamyAaiaadQgaaeqaaaaa@4AE7@ , S fij MathType@MTEF@5@5@+= feaahGart1ev3aaatCvAUfeBSjuyZL2yd9gzLbvyNv2Caerbov2D09 MBdbqedmvETj2BSbqeduuDJXwAKbYu51MyVXgarqqr1ngBPrgifHhD YfgasaacHOWxg9qrFfeu0dXdh9vqqj=hEeeu0xXdbba9frFj0=OqFf ea0dXdd9vspGe9FjuP0=fs0xXdbba9pGe9xq=Jbba9suk9fr=xfr=x frpeWZqaaeaabiGaaiaadaqabeaabeqacqaaaOqaaiaahofadaWgaa WcbaGaamOzaiaaysW7caWGPbGaamOAaaqabaaaaa@3D91@  – элементы матрицы взаимных спектров для частоты f. Для определения S fij MathType@MTEF@5@5@+= feaahGart1ev3aaatCvAUfeBSjuyZL2yd9gzLbvyNv2Caerbov2D09 MBdbqedmvETj2BSbqeduuDJXwAKbYu51MyVXgarqqr1ngBPrgifHhD YfgasaacHOWxg9qrFfeu0dXdh9vqqj=hEeeu0xXdbba9frFj0=OqFf ea0dXdd9vspGe9FjuP0=fs0xXdbba9pGe9xq=Jbba9suk9fr=xfr=x frpeWZqaaeaabiGaaiaadaqabeaabeqacqaaaOqaaiaahofadaWgaa WcbaGaamOzaiaaysW7caWGPbGaamOAaaqabaaaaa@3D91@  используется стандартный метод Уэлча [41] в виде, предложенном в [35] и кратко описанном ниже.

Пусть общая длина реализации случайного процесса, зафиксированного в точках наблюдения, составляет M MathType@MTEF@5@5@+= feaahGart1ev3aaatCvAUfeBSjuyZL2yd9gzLbvyNv2Caerbov2D09 MBdbqedmvETj2BSbqeduuDJXwAKbYu51MyVXgarqqr1ngBPrgifHhD YfgasaacHOWxg9qrFfeu0dXdh9vqqj=hEeeu0xXdbba9frFj0=OqFf ea0dXdd9vspGe9FjuP0=fs0xXdbba9pGe9xq=Jbba9suk9fr=xfr=x frpeWZqaaeaabiGaaiaadaqabeaabeqacqaaaOqaaiaad2eaaaa@3906@  дискретных отсчетов с шагом по времени Δt MathType@MTEF@5@5@+= feaahGart1ev3aaatCvAUfeBSjuyZL2yd9gzLbvyNv2Caerbov2D09 MBdbqedmvETj2BSbqeduuDJXwAKbYu51MyVXgarqqr1ngBPrgifHhD YfgasaacHOWxg9qrFfeu0dXdh9vqqj=hEeeu0xXdbba9frFj0=OqFf ea0dXdd9vspGe9FjuP0=fs0xXdbba9pGe9xq=Jbba9suk9fr=xfr=x frpeWZqaaeaabiGaaiaadaqabeaabeqacqaaaOqaaiabfs5aejaads haaaa@3A93@ . Соответствующий набор сигналов для N MathType@MTEF@5@5@+= feaahGart1ev3aaatCvAUfeBSjuyZL2yd9gzLbvyNv2Caerbov2D09 MBdbqedmvETj2BSbqeduuDJXwAKbYu51MyVXgarqqr1ngBPrgifHhD YfgasaacHOWxg9qrFfeu0dXdh9vqqj=hEeeu0xXdbba9frFj0=OqFf ea0dXdd9vspGe9FjuP0=fs0xXdbba9pGe9xq=Jbba9suk9fr=xfr=x frpeWZqaaeaabiGaaiaadaqabeaabeqacqaaaOqaaiaad6eaaaa@3907@  точек наблюдения удобно сформировать в матрицу Q=[ q 1 ,..., q M ] MathType@MTEF@5@5@+= feaahGart1ev3aaatCvAUfeBSjuyZL2yd9gzLbvyNv2Caerbov2D09 MBdbqedmvETj2BSbqeduuDJXwAKbYu51MyVXgarqqr1ngBPrgifHhD YfgasaacHOWxg9qrFfeu0dXdh9vqqj=hEeeu0xXdbba9frFj0=OqFf ea0dXdd9vspGe9FjuP0=fs0xXdbba9pGe9xq=Jbba9suk9fr=xfr=x frpeWZqaaeaabiGaaiaadaqabeaabeqacqaaaOqaaiaahgfacqGH9a qpcaGGBbGaaCyCamaaBaaaleaacaaIXaaabeaakiaacYcacaGGUaGa aiOlaiaac6cacaGGSaGaaCyCamaaBaaaleaacaWGnbaabeaakiaac2 faaaa@4337@  размером N×M MathType@MTEF@5@5@+= feaahGart1ev3aaatCvAUfeBSjuyZL2yd9gzLbvyNv2Caerbov2D09 MBdbqedmvETj2BSbqeduuDJXwAKbYu51MyVXgarqqr1ngBPrgifHhD YfgasaacHOWxg9qrFfeu0dXdh9vqqj=hEeeu0xXdbba9frFj0=OqFf ea0dXdd9vspGe9FjuP0=fs0xXdbba9pGe9xq=Jbba9suk9fr=xfr=x frpeWZqaaeaabiGaaiaadaqabeaabeqacqaaaOqaaiaad6eacqGHxd aTcaWGnbaaaa@3BF0@ , в строках которой записаны временные реализации в соответствующих точках наблюдения, а в столбцах – мгновенные “слепки” случайного поля на наборе точек наблюдения. Далее полная временная реализация разбивается на N b MathType@MTEF@5@5@+= feaahGart1ev3aaatCvAUfeBSjuyZL2yd9gzLbvyNv2Caerbov2D09 MBdbqedmvETj2BSbqeduuDJXwAKbYu51MyVXgarqqr1ngBPrgifHhD YfgasaacHOWxg9qrFfeu0dXdh9vqqj=hEeeu0xXdbba9frFj0=OqFf ea0dXdd9vspGe9FjuP0=fs0xXdbba9pGe9xq=Jbba9suk9fr=xfr=x frpeWZqaaeaabiGaaiaadaqabeaabeqacqaaaOqaaiaad6eadaWgaa WcbaGaamOyaaqabaaaaa@3A1A@  блоков длиной N f MathType@MTEF@5@5@+= feaahGart1ev3aaatCvAUfeBSjuyZL2yd9gzLbvyNv2Caerbov2D09 MBdbqedmvETj2BSbqeduuDJXwAKbYu51MyVXgarqqr1ngBPrgifHhD YfgasaacHOWxg9qrFfeu0dXdh9vqqj=hEeeu0xXdbba9frFj0=OqFf ea0dXdd9vspGe9FjuP0=fs0xXdbba9pGe9xq=Jbba9suk9fr=xfr=x frpeWZqaaeaabiGaaiaadaqabeaabeqacqaaaOqaaiaad6eadaWgaa WcbaGaamOzaaqabaaaaa@3A1E@  каждый, и для каждого блока с номером n формируется матрица Q (n) =[ q 1 (n) ,..., q N f (n) ] MathType@MTEF@5@5@+= feaahGart1ev3aaatCvAUfeBSjuyZL2yd9gzLbvyNv2Caerbov2D09 MBdbqedmvETj2BSbqeduuDJXwAKbYu51MyVXgarqqr1ngBPrgifHhD YfgasaacHOWxg9qrFfeu0dXdh9vqqj=hEeeu0xXdbba9frFj0=OqFf ea0dXdd9vspGe9FjuP0=fs0xXdbba9pGe9xq=Jbba9suk9fr=xfr=x frpeWZqaaeaabiGaaiaadaqabeaabeqacqaaaOqaaiaahgfadaahaa WcbeqaaiaacIcacaWGUbGaaiykaaaakiabg2da9iaacUfacaWHXbWa a0baaSqaaiaaigdaaeaacaGGOaGaamOBaiaacMcaaaGccaGGSaGaai Olaiaac6cacaGGUaGaaiilaiaahghadaqhaaWcbaGaamOtamaaBaaa meaacaWGMbaabeaaaSqaaiaacIcacaWGUbGaaiykaaaakiaac2faaa a@4B78@  размером N× N f MathType@MTEF@5@5@+= feaahGart1ev3aaatCvAUfeBSjuyZL2yd9gzLbvyNv2Caerbov2D09 MBdbqedmvETj2BSbqeduuDJXwAKbYu51MyVXgarqqr1ngBPrgifHhD YfgasaacHOWxg9qrFfeu0dXdh9vqqj=hEeeu0xXdbba9frFj0=OqFf ea0dXdd9vspGe9FjuP0=fs0xXdbba9pGe9xq=Jbba9suk9fr=xfr=x frpeWZqaaeaabiGaaiaadaqabeaabeqacqaaaOqaaiaad6eacqGHxd aTcaWGobWaaSbaaSqaaiaadAgaaeqaaaaa@3D08@ , состоящая из соответствующих столбцов матрицы Q MathType@MTEF@5@5@+= feaahGart1ev3aaatCvAUfeBSjuyZL2yd9gzLbvyNv2Caerbov2D09 MBdbqedmvETj2BSbqeduuDJXwAKbYu51MyVXgarqqr1ngBPrgifHhD YfgasaacHOWxg9qrFfeu0dXdh9vqqj=hEeeu0xXdbba9frFj0=OqFf ea0dXdd9vspGe9FjuP0=fs0xXdbba9pGe9xq=Jbba9suk9fr=xfr=x frpeWZqaaeaabiGaaiaadaqabeaabeqacqaaaOqaaiaahgfaaaa@390E@ . Затем матрицы Q (n) MathType@MTEF@5@5@+= feaahGart1ev3aaatCvAUfeBSjuyZL2yd9gzLbvyNv2Caerbov2D09 MBdbqedmvETj2BSbqeduuDJXwAKbYu51MyVXgarqqr1ngBPrgifHhD YfgasaacHOWxg9qrFfeu0dXdh9vqqj=hEeeu0xXdbba9frFj0=OqFf ea0dXdd9vspGe9FjuP0=fs0xXdbba9pGe9xq=Jbba9suk9fr=xfr=x frpeWZqaaeaabiGaaiaadaqabeaabeqacqaaaOqaaiaahgfadaahaa WcbeqaaiaacIcacaWGUbGaaiykaaaaaaa@3B87@  переводятся в частотное пространство путем применения к их строкам дискретного преобразования Фурье q ^ k (n) = N f 1/2 j=1 N f q j (n) exp(i2π f k (j1)Δt) MathType@MTEF@5@5@+= feaahGart1ev3aaatCvAUfeBSjuyZL2yd9gzLbvyNv2Caerbov2D09 MBdbqedmvETj2BSbqeduuDJXwAKbYu51MyVXgarqqr1ngBPrgifHhD YfgasaacHOWxg9qrFfeu0dXdh9vqqj=hEeeu0xXdbba9frFj0=OqFf ea0dXdd9vspGe9FjuP0=fs0xXdbba9pGe9xq=Jbba9suk9fr=xfr=x frpeWZqaaeaabiGaaiaadaqabeaabeqacqaaaOqaamaaHaaabaacbe Gaa8xCaaGaayPadaWaa0baaSqaaiaadUgaaeaacaGGOaGaamOBaiaa cMcaaaGccqGH9aqpcaWGobWaa0baaSqaaiaadAgaaeaacqGHsislca aIXaGaai4laiaaikdaaaGcdaaeWaqaaiaahghadaqhaaWcbaGaamOA aaqaaiaacIcacaWGUbGaaiykaaaakiGacwgacaGG4bGaaiiCaiaacI cacqGHsislcaWGPbGaaGOmaiabec8aWjaadAgadaWgaaWcbaGaam4A aaqabaGccaGGOaGaamOAaiabgkHiTiaaigdacaGGPaGaeuiLdqKaam iDaiaacMcaaSqaaiaadQgacqGH9aqpcaaIXaaabaGaamOtamaaBaaa meaacaWGMbaabeaaa0GaeyyeIuoaaaa@5F68@ , где f k =(k1)/( N f Δt) MathType@MTEF@5@5@+= feaahGart1ev3aaatCvAUfeBSjuyZL2yd9gzLbvyNv2Caerbov2D09 MBdbqedmvETj2BSbqeduuDJXwAKbYu51MyVXgarqqr1ngBPrgifHhD YfgasaacHOWxg9qrFfeu0dXdh9vqqj=hEeeu0xXdbba9frFj0=OqFf ea0dXdd9vspGe9FjuP0=fs0xXdbba9pGe9xq=Jbba9suk9fr=xfr=x frpeWZqaaeaabiGaaiaadaqabeaabeqacqaaaOqaaiaadAgadaWgaa WcbaGaam4AaaqabaGccqGH9aqpcaGGOaGaam4AaiabgkHiTiaaigda caGGPaGaai4laiaacIcacaWGobWaaSbaaSqaaiaadAgaaeqaaOGaeu iLdqKaamiDaiaacMcaaaa@459B@ , k=1,..., N f MathType@MTEF@5@5@+= feaahGart1ev3aaatCvAUfeBSjuyZL2yd9gzLbvyNv2Caerbov2D09 MBdbqedmvETj2BSbqeduuDJXwAKbYu51MyVXgarqqr1ngBPrgifHhD YfgasaacHOWxg9qrFfeu0dXdh9vqqj=hEeeu0xXdbba9frFj0=OqFf ea0dXdd9vspGe9FjuP0=fs0xXdbba9pGe9xq=Jbba9suk9fr=xfr=x frpeWZqaaeaabiGaaiaadaqabeaabeqacqaaaOqaaiaadUgacqGH9a qpcaaIXaGaaiilaiaac6cacaGGUaGaaiOlaiaacYcacaWGobWaaSba aSqaaiaadAgaaeqaaaaa@4045@  (при необходимости, преобразование может выполняться с весовой функцией), в результате чего формируются соответствующие Q (n) MathType@MTEF@5@5@+= feaahGart1ev3aaatCvAUfeBSjuyZL2yd9gzLbvyNv2Caerbov2D09 MBdbqedmvETj2BSbqeduuDJXwAKbYu51MyVXgarqqr1ngBPrgifHhD YfgasaacHOWxg9qrFfeu0dXdh9vqqj=hEeeu0xXdbba9frFj0=OqFf ea0dXdd9vspGe9FjuP0=fs0xXdbba9pGe9xq=Jbba9suk9fr=xfr=x frpeWZqaaeaabiGaaiaadaqabeaabeqacqaaaOqaaiaahgfadaahaa WcbeqaaiaacIcacaWGUbGaaiykaaaaaaa@3B87@  матрицы Q ^ (n) =[ q ^ 1 (n) ,..., q ^ N f (n) ] MathType@MTEF@5@5@+= feaahGart1ev3aaatCvAUfeBSjuyZL2yd9gzLbvyNv2Caerbov2D09 MBdbqedmvETj2BSbqeduuDJXwAKbYu51MyVXgarqqr1ngBPrgifHhD YfgasaacHOWxg9qrFfeu0dXdh9vqqj=hEeeu0xXdbba9frFj0=OqFf ea0dXdd9vspGe9FjuP0=fs0xXdbba9pGe9xq=Jbba9suk9fr=xfr=x frpeWZqaaeaabiGaaiaadaqabeaabeqacqaaaOqaamaaHaaabaacbe Gaa8xuaaGaayPadaWaaWbaaSqabeaacaGGOaGaamOBaiaacMcaaaGc cqGH9aqpcaGGBbWaaecaaeaacaWFXbaacaGLcmaadaqhaaWcbaGaaG ymaaqaaiaacIcacaWGUbGaaiykaaaakiaacYcacaGGUaGaaiOlaiaa c6cacaGGSaWaaecaaeaacaWFXbaacaGLcmaadaqhaaWcbaGaamOtam aaBaaameaacaWGMbaabeaaaSqaaiaacIcacaWGUbGaaiykaaaakiaa c2faaaa@4DB0@ . Тогда взаимная спектральная матрица оценивается осреднением по N b MathType@MTEF@5@5@+= feaahGart1ev3aaatCvAUfeBSjuyZL2yd9gzLbvyNv2Caerbov2D09 MBdbqedmvETj2BSbqeduuDJXwAKbYu51MyVXgarqqr1ngBPrgifHhD YfgasaacHOWxg9qrFfeu0dXdh9vqqj=hEeeu0xXdbba9frFj0=OqFf ea0dXdd9vspGe9FjuP0=fs0xXdbba9pGe9xq=Jbba9suk9fr=xfr=x frpeWZqaaeaabiGaaiaadaqabeaabeqacqaaaOqaaiaad6eadaWgaa WcbaGaamOyaaqabaaaaa@3A1A@  блокам и для данной частотной компоненты f k MathType@MTEF@5@5@+= feaahGart1ev3aaatCvAUfeBSjuyZL2yd9gzLbvyNv2Caerbov2D09 MBdbqedmvETj2BSbqeduuDJXwAKbYu51MyVXgarqqr1ngBPrgifHhD YfgasaacHOWxg9qrFfeu0dXdh9vqqj=hEeeu0xXdbba9frFj0=OqFf ea0dXdd9vspGe9FjuP0=fs0xXdbba9pGe9xq=Jbba9suk9fr=xfr=x frpeWZqaaeaabiGaaiaadaqabeaabeqacqaaaOqaaiaadAgadaWgaa WcbaGaam4Aaaqabaaaaa@3A3B@  может быть представлена в виде S f k = Q ^ f k Q ^ f k MathType@MTEF@5@5@+= feaahGart1ev3aaatCvAUfeBSjuyZL2yd9gzLbvyNv2Caerbov2D09 MBdbqedmvETj2BSbqeduuDJXwAKbYu51MyVXgarqqr1ngBPrgifHhD YfgasaacHOWxg9qrFfeu0dXdh9vqqj=hEeeu0xXdbba9frFj0=OqFf ea0dXdd9vspGe9FjuP0=fs0xXdbba9pGe9xq=Jbba9suk9fr=xfr=x frpeWZqaaeaabiGaaiaadaqabeaabeqacqaaaOqaaiaahofadaWgaa WcbaGaamOzamaaBaaameaacaWGRbaabeaaaSqabaGccqGH9aqpdaqi aaqaaGqabiaa=ffaaiaawkWaamaaDaaaleaacaWGMbWaaSbaaWqaai aadUgaaeqaaaWcbaaaaOWaaecaaeaacaWFrbaacaGLcmaadaqhaaWc baGaamOzamaaBaaameaacaWGRbaabeaaaSqaaiabgEHiQaaaaaa@450A@ , где Q ^ f k = Δt/ N b [ q k (1) ,..., q k ( N b ) ] MathType@MTEF@5@5@+= feaahGart1ev3aaatCvAUfeBSjuyZL2yd9gzLbvyNv2Caerbov2D09 MBdbqedmvETj2BSbqeduuDJXwAKbYu51MyVXgarqqr1ngBPrgifHhD YfgasaacHOWxg9qrFfeu0dXdh9vqqj=hEeeu0xXdbba9frFj0=OqFf ea0dXdd9vspGe9FjuP0=fs0xXdbba9pGe9xq=Jbba9suk9fr=xfr=x frpeWZqaaeaabiGaaiaadaqabeaabeqacqaaaOqaamaaHaaabaacbe Gaa8xuaaGaayPadaWaa0baaSqaaiaadAgadaWgaaadbaGaam4Aaaqa baaaleaaaaGccqGH9aqpdaGcaaqaaiabfs5aejaadshacaGGVaGaam OtamaaBaaaleaacaWGIbaabeaaaeqaaOGaai4waiaahghadaqhaaWc baGaam4AaaqaaiaacIcacaaIXaGaaiykaaaakiaacYcacaGGUaGaai Olaiaac6cacaGGSaGaaCyCamaaDaaaleaacaWGRbaabaGaaiikaiaa d6eadaWgaaadbaGaamOyaaqabaWccaGGPaaaaOGaaiyxaaaa@510B@  – матрица, состоящая из k-х столбцов матриц Q (n) MathType@MTEF@5@5@+= feaahGart1ev3aaatCvAUfeBSjuyZL2yd9gzLbvyNv2Caerbov2D09 MBdbqedmvETj2BSbqeduuDJXwAKbYu51MyVXgarqqr1ngBPrgifHhD YfgasaacHOWxg9qrFfeu0dXdh9vqqj=hEeeu0xXdbba9frFj0=OqFf ea0dXdd9vspGe9FjuP0=fs0xXdbba9pGe9xq=Jbba9suk9fr=xfr=x frpeWZqaaeaabiGaaiaadaqabeaabeqacqaaaOqaaiaahgfadaahaa WcbeqaaiaacIcacaWGUbGaaiykaaaaaaa@3B87@ .

Поскольку матрица S ˜ f k = S f k W MathType@MTEF@5@5@+= feaahGart1ev3aaatCvAUfeBSjuyZL2yd9gzLbvyNv2Caerbov2D09 MBdbqedmvETj2BSbqeduuDJXwAKbYu51MyVXgarqqr1ngBPrgifHhD YfgasaacHOWxg9qrFfeu0dXdh9vqqj=hEeeu0xXdbba9frFj0=OqFf ea0dXdd9vspGe9FjuP0=fs0xXdbba9pGe9xq=Jbba9suk9fr=xfr=x frpeWZqaaeaabiGaaiaadaqabeaabeqacqaaaOqaaiqahofagaacam aaBaaaleaacaWGMbWaaSbaaWqaaiaadUgaaeqaaaWcbeaakiabg2da 9iaahofadaWgaaWcbaGaamOzamaaBaaameaacaWGRbaabeaaaSqaba GccaWHxbaaaa@4073@  является эрмитовой, для нее существует разложение по ортогональному базису S ˜ f k = U f k Λ f k U f k MathType@MTEF@5@5@+= feaahGart1ev3aaatCvAUfeBSjuyZL2yd9gzLbvyNv2Caerbov2D09 MBdbqedmvETj2BSbqeduuDJXwAKbYu51MyVXgarqqr1ngBPrgifHhD YfgasaacHOWxg9qrFfeu0dXdh9vqqj=hEeeu0xXdbba9frFj0=OqFf ea0dXdd9vspGe9FjuP0=fs0xXdbba9pGe9xq=Jbba9suk9fr=xfr=x frpeWZqaaeaabiGaaiaadaqabeaabeqacqaaaOqaaiqahofagaacam aaBaaaleaacaWGMbWaaSbaaWqaaiaadUgaaeqaaaWcbeaakiabg2da 9iaahwfadaWgaaWcbaGaamOzamaaBaaameaacaWGRbaabeaaaSqaba acdeGccqWFBoatdaWgaaWcbaGaamOzamaaBaaameaacaWGRbaabeaa aSqabaGccaWHvbWaa0baaSqaaiaadAgadaWgaaadbaGaam4Aaaqaba aaleaacqGHxiIkaaaaaa@4766@ , которое можно выполнить стандартными алгоритмами, откуда следует

  Ψ f k = W 1/2 U f k MathType@MTEF@5@5@+= feaahGart1ev3aaatCvAUfeBSjuyZL2yd9gzLbvyNv2Caerbov2D09 MBdbqedmvETj2BSbqeduuDJXwAKbYu51MyVXgarqqr1ngBPrgifHhD YfgasaacHOWxg9qrFfeu0dXdh9vqqj=hEeeu0xXdbba9frFj0=OqFf ea0dXdd9vspGe9FjuP0=fs0xXdbba9pGe9xq=Jbba9suk9fr=xfr=x frpeWZqaaeaabiGaaiaadaqabeaabeqacqaaaOqaaGWabiab=H6azn aaBaaaleaacaWGMbWaaSbaaWqaaiaadUgaaeqaaaWcbeaakiaaxcW7 cqGH9aqpcaWHxbWaaWbaaSqabeaacqGHsislcaaIXaGaai4laiaaik daaaGccaWHvbWaaSbaaSqaaiaadAgadaWgaaadbaGaam4Aaaqabaaa leqaaaaa@45EB@ ,            (17)

что решает задачу SPOD-разложения. При этом найденные так собственные векторы ортогональны в смысле введенного скалярного произведения Ψ f k W Ψ f k =I MathType@MTEF@5@5@+= feaahGart1ev3aaatCvAUfeBSjuyZL2yd9gzLbvyNv2Caerbov2D09 MBdbqedmvETj2BSbqeduuDJXwAKbYu51MyVXgarqqr1ngBPrgifHhD YfgasaacHOWxg9qrFfeu0dXdh9vqqj=hEeeu0xXdbba9frFj0=OqFf ea0dXdd9vspGe9FjuP0=fs0xXdbba9pGe9xq=Jbba9suk9fr=xfr=x frpeWZqaaeaabiGaaiaadaqabeaabeqacqaaaOqaaiaaxcW7imqacq WFOoqwdaqhaaWcbaGaamOzamaaBaaameaacaWGRbaabeaaaSqaaiab gEHiQaaakiaahEfacqWFOoqwdaWgaaWcbaGaamOzamaaBaaameaaca WGRbaabeaaaSqabaGccqGH9aqpcaWHjbaaaa@4514@  (матричная форма выражения (14)), а для взаимной спектральной плотности имеет место разложение

S f k = Ψ f k Λ f k Ψ f k MathType@MTEF@5@5@+= feaahGart1ev3aaatCvAUfeBSjuyZL2yd9gzLbvyNv2Caerbov2D09 MBdbqedmvETj2BSbqeduuDJXwAKbYu51MyVXgarqqr1ngBPrgifHhD YfgasaacHOWxg9qrFfeu0dXdh9vqqj=hEeeu0xXdbba9frFj0=OqFf ea0dXdd9vspGe9FjuP0=fs0xXdbba9pGe9xq=Jbba9suk9fr=xfr=x frpeWZqaaeaabiGaaiaadaqabeaabeqacqaaaOqaaiaahofadaWgaa WcbaGaamOzamaaBaaameaacaWGRbaabeaaaSqabaGccqGH9aqpimqa cqWFOoqwdaWgaaWcbaGaamOzamaaBaaameaacaWGRbaabeaaaSqaba GccaWLa8Uae83MdW0aaSbaaSqaaiaadAgadaWgaaadbaGaam4Aaaqa baaaleqaaOGae8hQdK1aa0baaSqaaiaadAgadaWgaaadbaGaam4Aaa qabaaaleaacqGHxiIkaaaaaa@4A35@ ,            (18)

являющееся матричным аналогом выражения (15). В практическом смысле соотношение (18) означает, что интенсивность акустического излучения на заданной частоте f k MathType@MTEF@5@5@+= feaahGart1ev3aaatCvAUfeBSjuyZL2yd9gzLbvyNv2Caerbov2D09 MBdbqedmvETj2BSbqeduuDJXwAKbYu51MyVXgarqqr1ngBPrgifHhD YfgasaacHOWxg9qrFfeu0dXdh9vqqj=hEeeu0xXdbba9frFj0=OqFf ea0dXdd9vspGe9FjuP0=fs0xXdbba9pGe9xq=Jbba9suk9fr=xfr=x frpeWZqaaeaabiGaaiaadaqabeaabeqacqaaaOqaaiaadAgadaWgaa WcbaGaam4Aaaqabaaaaa@3A3B@  (диагональные элементы матрицы S f k MathType@MTEF@5@5@+= feaahGart1ev3aaatCvAUfeBSjuyZL2yd9gzLbvyNv2Caerbov2D09 MBdbqedmvETj2BSbqeduuDJXwAKbYu51MyVXgarqqr1ngBPrgifHhD YfgasaacHOWxg9qrFfeu0dXdh9vqqj=hEeeu0xXdbba9frFj0=OqFf ea0dXdd9vspGe9FjuP0=fs0xXdbba9pGe9xq=Jbba9suk9fr=xfr=x frpeWZqaaeaabiGaaiaadaqabeaabeqacqaaaOqaaiaahofadaWgaa WcbaGaamOzamaaBaaameaacaWGRbaabeaaaSqabaaaaa@3B4F@  ), полученная в дискретном наборе точек θ i MathType@MTEF@5@5@+= feaahGart1ev3aaatCvAUfeBSjuyZL2yd9gzLbvyNv2Caerbov2D09 MBdbqedmvETj2BSbqeduuDJXwAKbYu51MyVXgarqqr1ngBPrgifHhD YfgasaacHOWxg9qrFfeu0dXdh9vqqj=hEeeu0xXdbba9frFj0=OqFf ea0dXdd9vspGe9FjuP0=fs0xXdbba9pGe9xq=Jbba9suk9fr=xfr=x frpeWZqaaeaabiGaaiaadaqabeaabeqacqaaaOqaaiabeI7aXnaaBa aaleaacaWGPbaabeaaaaa@3B04@ , представляется в виде суперпозиции N MathType@MTEF@5@5@+= feaahGart1ev3aaatCvAUfeBSjuyZL2yd9gzLbvyNv2Caerbov2D09 MBdbqedmvETj2BSbqeduuDJXwAKbYu51MyVXgarqqr1ngBPrgifHhD YfgasaacHOWxg9qrFfeu0dXdh9vqqj=hEeeu0xXdbba9frFj0=OqFf ea0dXdd9vspGe9FjuP0=fs0xXdbba9pGe9xq=Jbba9suk9fr=xfr=x frpeWZqaaeaabiGaaiaadaqabeaabeqacqaaaOqaaiaad6eaaaa@3907@  слагаемых

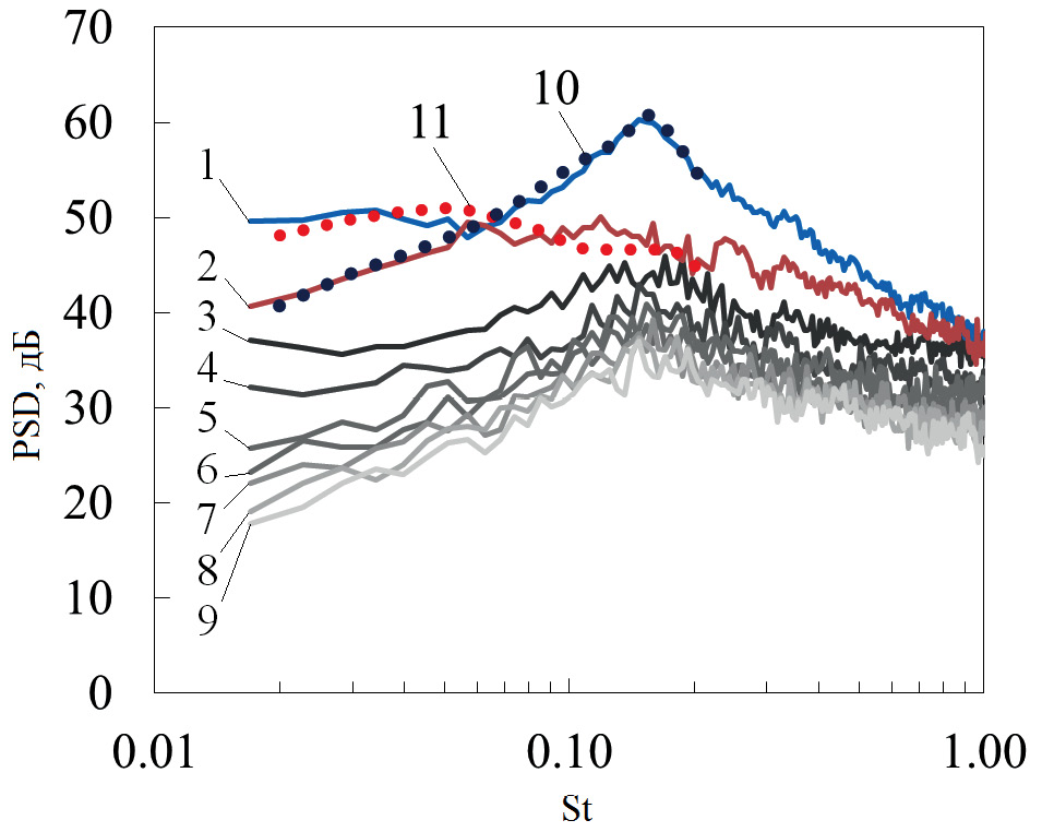
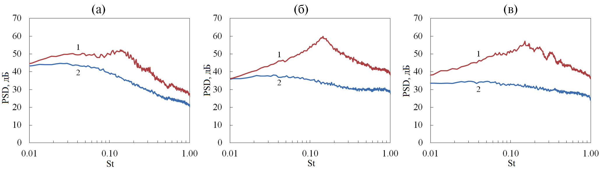
S fk = j=1 N λ fkj Ψ fkj 2 , MathType@MTEF@5@5@+= feaahGart1ev3aqatCvAUfeBSjuyZL2yd9gzLbvyNv2CaerbuLwBLn hiov2DGi1BTfMBaeXatLxBI9gBaerbd9wDYLwzYbItLDharqqtubsr 4rNCHbGeaGqiVu0Je9sqqrpepC0xbbL8F4rqqrFfpeea0xe9Lq=Jc9 vqaqpepm0xbba9pwe9Q8fs0=yqaqpepae9pg0FirpepeKkFr0xfr=x fr=xb9adbaqaaeGaciGaaiaabeqaamaabaabaaGcbaGaam4uamaaBa aaleaacaWGMbGaam4AaaqabaGccqGH9aqpdaaeWbqaaiabeU7aSnaa BaaaleaacaWGMbGaam4AaiaadQgaaeqaaaqaaiaadQgacqGH9aqpca aIXaaabaGaamOtaaqdcqGHris5aOWaaqWaaeaacqqHOoqwdaWgaaWc baGaamOzaiaadUgacaWGQbaabeaaaOGaay5bSlaawIa7amaaCaaale qabaGaaGOmaaaakiaacYcaaaa@4DA9@ ,     (19)

где s f k MathType@MTEF@5@5@+= feaahGart1ev3aaatCvAUfeBSjuyZL2yd9gzLbvyNv2Caerbov2D09 MBdbqedmvETj2BSbqeduuDJXwAKbYu51MyVXgarqqr1ngBPrgifHhD YfgasaacHOWxg9qrFfeu0dXdh9vqqj=hEeeu0xXdbba9frFj0=OqFf ea0dXdd9vspGe9FjuP0=fs0xXdbba9pGe9xq=Jbba9suk9fr=xfr=x frpeWZqaaeaabiGaaiaadaqabeaabeqacqaaaOqaaiaahohadaWgaa WcbaGaamOzamaaBaaameaacaWGRbaabeaaaSqabaaaaa@3B6F@  – вектор, составленный из диагональных элементов матрицы S f k MathType@MTEF@5@5@+= feaahGart1ev3aaatCvAUfeBSjuyZL2yd9gzLbvyNv2Caerbov2D09 MBdbqedmvETj2BSbqeduuDJXwAKbYu51MyVXgarqqr1ngBPrgifHhD YfgasaacHOWxg9qrFfeu0dXdh9vqqj=hEeeu0xXdbba9frFj0=OqFf ea0dXdd9vspGe9FjuP0=fs0xXdbba9pGe9xq=Jbba9suk9fr=xfr=x frpeWZqaaeaabiGaaiaadaqabeaabeqacqaaaOqaaiaahofadaWgaa WcbaGaamOzamaaBaaameaacaWGRbaabeaaaSqabaaaaa@3B4F@ , λ f k j MathType@MTEF@5@5@+= feaahGart1ev3aaatCvAUfeBSjuyZL2yd9gzLbvyNv2Caerbov2D09 MBdbqedmvETj2BSbqeduuDJXwAKbYu51MyVXgarqqr1ngBPrgifHhD YfgasaacHOWxg9qrFfeu0dXdh9vqqj=hEeeu0xXdbba9frFj0=OqFf ea0dXdd9vspGe9FjuP0=fs0xXdbba9pGe9xq=Jbba9suk9fr=xfr=x frpeWZqaaeaabiGaaiaadaqabeaabeqacqaaaOqaaiabeU7aSnaaBa aaleaacaWGMbWaaSbaaWqaaiaadUgaaeqaaaWcbeaakmaaBaaaleaa caWGQbaabeaaaaa@3D4C@  – найденные собственные числа – диагональные элементы матрицы Λ f k MathType@MTEF@5@5@+= feaahGart1ev3aaatCvAUfeBSjuyZL2yd9gzLbvyNv2Caerbov2D09 MBdbqedmvETj2BSbqeduuDJXwAKbYu51MyVXgarqqr1ngBPrgifHhD YfgasaacHOWxg9qrFfeu0dXdh9vqqj=hEeeu0xXdbba9frFj0=OqFf ea0dXdd9vspGe9FjuP0=fs0xXdbba9pGe9xq=Jbba9suk9fr=xfr=x frpeWZqaaeaabiGaaiaadaqabeaabeqacqaaaOqaaGWabiab=T5amn aaBaaaleaacaWGMbWaaSbaaWqaaiaadUgaaeqaaaWcbeaaaaa@3BEE@ , ψfk j – найденные собственные векторы – столбцы матрицы Ψ f k MathType@MTEF@5@5@+= feaahGart1ev3aaatCvAUfeBSjuyZL2yd9gzLbvyNv2Caerbov2D09 MBdbqedmvETj2BSbqeduuDJXwAKbYu51MyVXgarqqr1ngBPrgifHhD YfgasaacHOWxg9qrFfeu0dXdh9vqqj=hEeeu0xXdbba9frFj0=OqFf ea0dXdd9vspGe9FjuP0=fs0xXdbba9pGe9xq=Jbba9suk9fr=xfr=x frpeWZqaaeaabiGaaiaadaqabeaabeqacqaaaOqaaGWabiab=H6azn aaBaaaleaacaWGMbWaaSbaaWqaaiaadUgaaeqaaaWcbeaakiaaxcW7 aaa@3D9A@ . В соответствии с построенной процедурой старшие слагаемые в (19) определяют направленности и интенсивности базисных мультипольных источников. В качестве меры интенсивности каждого мультиполя можно принять величину в максимуме его излучения

wfk j= λfk jmax j [ψ*fk jψfk j].               (20)

При необходимости, после установления принадлежности найденных собственных векторов соответствующим азимутальным модам, можно вычислить полную акустическую мощность для каждого мультиполя.

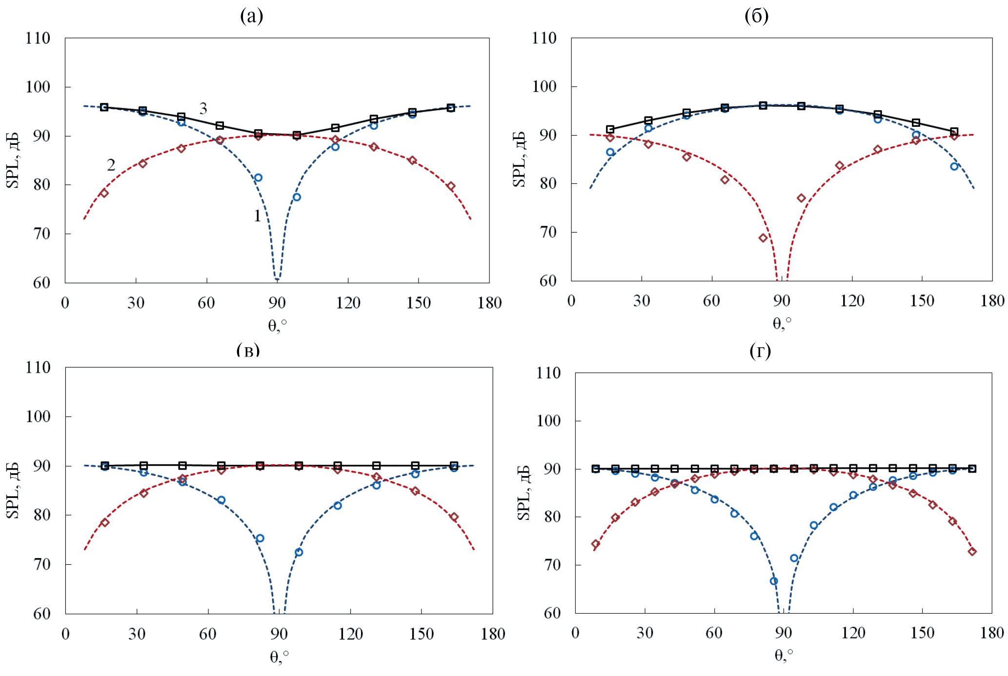
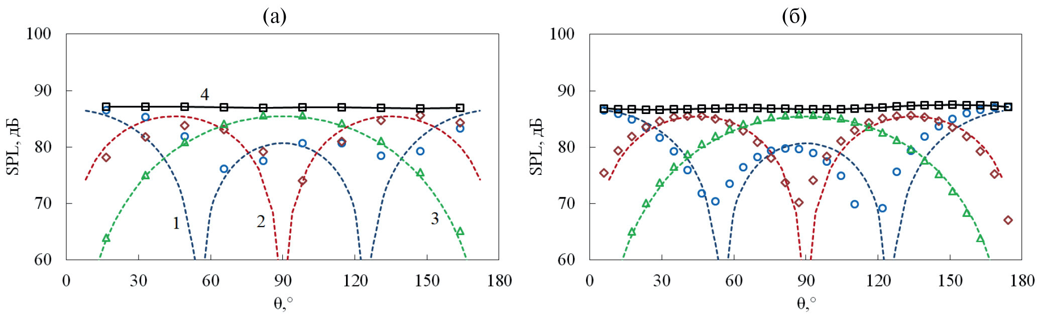
Рассмотрим несколько модельных примеров с типичными параметрами лабораторных аэроакустических экспериментов. Пусть в начале координат задано три базисных диполя (т.е. степень мультиполя l = 1) с направленностями излучения, характеризующимися функциями P 1 0 (cosθ)=cosθ MathType@MTEF@5@5@+= feaahGart1ev3aaatCvAUfeBSjuyZL2yd9gzLbvyNv2Caerbov2D09 MBdbqedmvETj2BSbqeduuDJXwAKbYu51MyVXgarqqr1ngBPrgifHhD YfgasaacHOWxg9qrFfeu0dXdh9vqqj=hEeeu0xXdbba9frFj0=OqFf ea0dXdd9vspGe9FjuP0=fs0xXdbba9pGe9xq=Jbba9suk9fr=xfr=x frpeWZqaaeaabiGaaiaadaqabeaabeqacqaaaOqaaiaadcfadaqhaa WcbaGaaGymaaqaaiaaicdaaaGccaGGOaGaci4yaiaac+gacaGGZbGa eqiUdeNaaiykaiabg2da9iGacogacaGGVbGaai4CaiabeI7aXbaa@4626@ , P 1 1 (cosθ)cosφ=sinθcosφ MathType@MTEF@5@5@+= feaahGart1ev3aaatCvAUfeBSjuyZL2yd9gzLbvyNv2Caerbov2D09 MBdbqedmvETj2BSbqeduuDJXwAKbYu51MyVXgarqqr1ngBPrgifHhD YfgasaacHOWxg9qrFfeu0dXdh9vqqj=hEeeu0xXdbba9frFj0=OqFf ea0dXdd9vspGe9FjuP0=fs0xXdbba9pGe9xq=Jbba9suk9fr=xfr=x frpeWZqaaeaabiGaaiaadaqabeaabeqacqaaaOqaaiaadcfadaqhaa WcbaGaaGymaaqaaiaaigdaaaGccaGGOaGaci4yaiaac+gacaGGZbGa eqiUdeNaaiykaiGacogacaGGVbGaai4CaiabeA8aQjabg2da9iGaco hacaGGPbGaaiOBaiabeI7aXjGacogacaGGVbGaai4CaiabeA8aQbaa @4F4C@  и P 1 1 (cosθ)sinφ=sinθsinφ MathType@MTEF@5@5@+= feaahGart1ev3aaatCvAUfeBSjuyZL2yd9gzLbvyNv2Caerbov2D09 MBdbqedmvETj2BSbqeduuDJXwAKbYu51MyVXgarqqr1ngBPrgifHhD YfgasaacHOWxg9qrFfeu0dXdh9vqqj=hEeeu0xXdbba9frFj0=OqFf ea0dXdd9vspGe9FjuP0=fs0xXdbba9pGe9xq=Jbba9suk9fr=xfr=x frpeWZqaaeaabiGaaiaadaqabeaabeqacqaaaOqaaiaadcfadaqhaa WcbaGaaGymaaqaaiaaigdaaaGccaGGOaGaci4yaiaac+gacaGGZbGa eqiUdeNaaiykaiGacohacaGGPbGaaiOBaiabeA8aQjabg2da9iGaco hacaGGPbGaaiOBaiabeI7aXjGacohacaGGPbGaaiOBaiabeA8aQbaa @4F56@ , с одинаковыми амплитудами, некоррелировано излучающих на частоте f 0 =1 MathType@MTEF@5@5@+= feaahGart1ev3aaatCvAUfeBSjuyZL2yd9gzLbvyNv2Caerbov2D09 MBdbqedmvETj2BSbqeduuDJXwAKbYu51MyVXgarqqr1ngBPrgifHhD YfgasaacHOWxg9qrFfeu0dXdh9vqqj=hEeeu0xXdbba9frFj0=OqFf ea0dXdd9vspGe9FjuP0=fs0xXdbba9pGe9xq=Jbba9suk9fr=xfr=x frpeWZqaaeaabiGaaiaadaqabeaabeqacqaaaOqaaiaadAgadaWgaa WcbaGaaGimaaqabaGccqGH9aqpcaaIXaaaaa@3BD0@  кГц (рис. 1). Некоррелированность в данном случае означает, что в каждой временной реализации конечной длительности начальные фазы каждого источника являются случайными величинами, равномерно распределенными на отрезке [0,2π) MathType@MTEF@5@5@+= feaahGart1ev3aaatCvAUfeBSjuyZL2yd9gzLbvyNv2Caerbov2D09 MBdbqedmvETj2BSbqeduuDJXwAKbYu51MyVXgarqqr1ngBPrgifHhD YfgasaacHOWxg9qrFfeu0dXdh9vqqj=hEeeu0xXdbba9frFj0=OqFf ea0dXdd9vspGe9FjuP0=fs0xXdbba9pGe9xq=Jbba9suk9fr=xfr=x frpeWZqaaeaabiGaaiaadaqabeaabeqacqaaaOqaaiaacUfacaaIWa GaaiilaiaaikdacqaHapaCcaGGPaaaaa@3DA3@ , а математическое ожидание остальных случайных величин, представляющих интерес, вычисляется с помощью осреднения по реализациям случайного процесса. Рассмотрим точки наблюдения в дальнем поле, лежащие на дуге окружности радиуса R=1 м в плоскости, соответствующей азимутальному углу φ=0 MathType@MTEF@5@5@+= feaahGart1ev3aaatCvAUfeBSjuyZL2yd9gzLbvyNv2Caerbov2D09 MBdbqedmvETj2BSbqeduuDJXwAKbYu51MyVXgarqqr1ngBPrgifHhD YfgasaacHOWxg9qrFfeu0dXdh9vqqj=hEeeu0xXdbba9frFj0=OqFf ea0dXdd9vspGe9FjuP0=fs0xXdbba9pGe9xq=Jbba9suk9fr=xfr=x frpeWZqaaeaabiGaaiaadaqabeaabeqacqaaaOqaaiabeA8aQjabg2 da9iaaicdaaaa@3BB1@  (рис. 1). Для указанных наблюдателей принимаемый сигнал в каждой временной реализации будет иметь вид

  p ^ f 0 (R,θ,0,t) e i2π f 0 (tR/c) R × ×( a 0 e i α 0 cosθ+ a 1 e i α 1 sinθ), MathType@MTEF@5@5@+= feaahGart1ev3aaatCvAUfeBSjuyZL2yd9gzLbvyNv2Caerbov2D09 MBdbqedmvETj2BSbqeduuDJXwAKbYu51MyVXgarqqr1ngBPrgifHhD YfgasaacHOWxg9qrFfeu0dXdh9vqqj=hEeeu0xXdbba9frFj0=OqFf ea0dXdd9vspGe9FjuP0=fs0xXdbba9pGe9xq=Jbba9suk9fr=xfr=x frpeWZqaaeaabiGaaiaadaqabeaabeqacqaaaOabaeqabaWaaecaae aacaWGWbaacaGLcmaadaWgaaWcbaGaamOzamaaBaaameaacaaIWaaa beaaaSqabaGccaGGOaGaamOuaiaacYcacqaH4oqCcaGGSaGaaGimai aacYcacaWG0bGaaiykaiabgIKi7oaalaaabaGaamyzamaaCaaaleqa baGaamyAaiaaikdacqaHapaCcaWGMbWaaSbaaWqaaiaaicdaaeqaaS GaaiikaiaadshacqGHsislcaaMi8UaamOuaiaac+cacaWGJbGaaiyk aaaaaOqaaiaadkfaaaGaey41aqlabaGaey41aqRaaGPaVlaaykW7ca GGOaGaamyyamaaBaaaleaacaaIWaaabeaakiaadwgadaahaaWcbeqa aiabgkHiTiaadMgacqaHXoqydaWgaaadbaGaaGimaaqabaaaaOGaci 4yaiaac+gacaGGZbGaeqiUdeNaey4kaSIaamyyamaaBaaaleaacaaI XaaabeaakiaadwgadaahaaWcbeqaaiabgkHiTiaadMgacqaHXoqyda WgaaadbaGaaGymaaqabaaaaOGaci4CaiaacMgacaGGUbGaeqiUdeNa aiykaiaacYcaaaaa@75E5@   (21)

где a 0 MathType@MTEF@5@5@+= feaahGart1ev3aaatCvAUfeBSjuyZL2yd9gzLbvyNv2Caerbov2D09 MBdbqedmvETj2BSbqeduuDJXwAKbYu51MyVXgarqqr1ngBPrgifHhD YfgasaacHOWxg9qrFfeu0dXdh9vqqj=hEeeu0xXdbba9frFj0=OqFf ea0dXdd9vspGe9FjuP0=fs0xXdbba9pGe9xq=Jbba9suk9fr=xfr=x frpeWZqaaeaabiGaaiaadaqabeaabeqacqaaaOqaaiaadggadaWgaa WcbaGaaGimaaqabaaaaa@3A00@ , a 1 MathType@MTEF@5@5@+= feaahGart1ev3aaatCvAUfeBSjuyZL2yd9gzLbvyNv2Caerbov2D09 MBdbqedmvETj2BSbqeduuDJXwAKbYu51MyVXgarqqr1ngBPrgifHhD YfgasaacHOWxg9qrFfeu0dXdh9vqqj=hEeeu0xXdbba9frFj0=OqFf ea0dXdd9vspGe9FjuP0=fs0xXdbba9pGe9xq=Jbba9suk9fr=xfr=x frpeWZqaaeaabiGaaiaadaqabeaabeqacqaaaOqaaiaadggadaWgaa WcbaGaaGymaaqabaaaaa@3A01@  – амплитуды источников, α 0 MathType@MTEF@5@5@+= feaahGart1ev3aaatCvAUfeBSjuyZL2yd9gzLbvyNv2Caerbov2D09 MBdbqedmvETj2BSbqeduuDJXwAKbYu51MyVXgarqqr1ngBPrgifHhD YfgasaacHOWxg9qrFfeu0dXdh9vqqj=hEeeu0xXdbba9frFj0=OqFf ea0dXdd9vspGe9FjuP0=fs0xXdbba9pGe9xq=Jbba9suk9fr=xfr=x frpeWZqaaeaabiGaaiaadaqabeaabeqacqaaaOqaaiabeg7aHnaaBa aaleaacaaIWaaabeaaaaa@3AB9@ , α 1 MathType@MTEF@5@5@+= feaahGart1ev3aaatCvAUfeBSjuyZL2yd9gzLbvyNv2Caerbov2D09 MBdbqedmvETj2BSbqeduuDJXwAKbYu51MyVXgarqqr1ngBPrgifHhD YfgasaacHOWxg9qrFfeu0dXdh9vqqj=hEeeu0xXdbba9frFj0=OqFf ea0dXdd9vspGe9FjuP0=fs0xXdbba9pGe9xq=Jbba9suk9fr=xfr=x frpeWZqaaeaabiGaaiaadaqabeaabeqacqaaaOqaaiabeg7aHnaaBa aaleaacaaIXaaabeaaaaa@3ABA@  – фазы источников (различные в разных реализациях).

 

Рис. 1. Модельные источники из некоррелированных диполей (l =1) или квадруполей (l =2).

 

Аналогичный модельный источник может быть построен из квадруполей, излучение которых при φ=0 MathType@MTEF@5@5@+= feaahGart1ev3aaatCvAUfeBSjuyZL2yd9gzLbvyNv2Caerbov2D09 MBdbqedmvETj2BSbqeduuDJXwAKbYu51MyVXgarqqr1ngBPrgifHhD YfgasaacHOWxg9qrFfeu0dXdh9vqqj=hEeeu0xXdbba9frFj0=OqFf ea0dXdd9vspGe9FjuP0=fs0xXdbba9pGe9xq=Jbba9suk9fr=xfr=x frpeWZqaaeaabiGaaiaadaqabeaabeqacqaaaOqaaiabeA8aQjabg2 da9iaaicdaaaa@3BB1@  будет описываться выражением

  p ^ f 0 (R,θ,0,t) e i2π f 0 (tR/c) R a 0 e i α 0 1 2 (3 cos 2 θ1)+ + a 1 e i α 1 3 2 sin2θ+ a 2 e i α 2 3 sin 2 θ . MathType@MTEF@5@5@+= feaahGart1ev3aaatCvAUfeBSjuyZL2yd9gzLbvyNv2Caerbov2D09 MBdbqedmvETj2BSbqeduuDJXwAKbYu51MyVXgarqqr1ngBPrgifHhD YfgasaacHOWxg9qrFfeu0dXdh9vqqj=hEeeu0xXdbba9frFj0=OqFf ea0dXdd9vspGe9FjuP0=fs0xXdbba9pGe9xq=Jbba9suk9fr=xfr=x frpeWZqaaeaabiGaaiaadaqabeaabeqacqaaaOabaiqabaWaaecaae aacaWGWbaacaGLcmaadaWgaaWcbaGaamOzamaaBaaameaacaaIWaaa beaaaSqabaGccaGGOaGaamOuaiaacYcacqaH4oqCcaGGSaGaaGimai aacYcacaWG0bGaaiykaiabgIKi7oaalaaabaGaamyzamaaCaaaleqa baGaamyAaiaaikdacqaHapaCcaWGMbWaaSbaaWqaaiaaicdaaeqaaS GaaiikaiaadshacqGHsislcaaMi8UaamOuaiaac+cacaWGJbGaaiyk aaaaaOqaaiaadkfaaaWaaeqaaeaacaWGHbWaaSbaaSqaaiaaicdaae qaaOGaamyzamaaCaaaleqabaGaeyOeI0IaamyAaiabeg7aHnaaBaaa meaacaaIWaaabeaaaaGcdaWcaaqaaiaaigdaaeaacaaIYaaaaiaacI cacaaIZaGaci4yaiaac+gacaGGZbWaaWbaaSqabeaacaaIYaaaaOGa eqiUdeNaeyOeI0IaaGymaiaacMcacqGHRaWkaiaawIcaaaqaamaabi aabaGaey4kaSIaamyyamaaBaaaleaacaaIXaaabeaakiaadwgadaah aaWcbeqaaiabgkHiTiaadMgacqaHXoqydaWgaaadbaGaaGymaaqaba aaaOWaaSaaaeaacaaIZaaabaGaaGOmaaaaciGGZbGaaiyAaiaac6ga caaIYaGaeqiUdeNaey4kaSIaamyyamaaBaaaleaacaaIYaaabeaaki aadwgadaahaaWcbeqaaiabgkHiTiaadMgacqaHXoqydaWgaaadbaGa aGOmaaqabaaaaOGaaG4maiGacohacaGGPbGaaiOBamaaCaaaleqaba GaaGOmaaaakiabeI7aXbGaayzkaaGaaiOlaaaaaa@86B4@  (22)

В модельных примерах с дипольными источниками рассмотрено три случая с различными соотношениями их амплитуд: a 0 MathType@MTEF@5@5@+= feaahGart1ev3aaatCvAUfeBSjuyZL2yd9gzLbvyNv2Caerbov2D09 MBdbqedmvETj2BSbqeduuDJXwAKbYu51MyVXgarqqr1ngBPrgifHhD YfgasaacHOWxg9qrFfeu0dXdh9vqqj=hEeeu0xXdbba9frFj0=OqFf ea0dXdd9vspGe9FjuP0=fs0xXdbba9pGe9xq=Jbba9suk9fr=xfr=x frpeWZqaaeaabiGaaiaadaqabeaabeqacqaaaOqaaiaadggadaWgaa WcbaGaaGimaaqabaaaaa@3A00@  = 2 и a 1 MathType@MTEF@5@5@+= feaahGart1ev3aaatCvAUfeBSjuyZL2yd9gzLbvyNv2Caerbov2D09 MBdbqedmvETj2BSbqeduuDJXwAKbYu51MyVXgarqqr1ngBPrgifHhD YfgasaacHOWxg9qrFfeu0dXdh9vqqj=hEeeu0xXdbba9frFj0=OqFf ea0dXdd9vspGe9FjuP0=fs0xXdbba9pGe9xq=Jbba9suk9fr=xfr=x frpeWZqaaeaabiGaaiaadaqabeaabeqacqaaaOqaaiaadggadaWgaa WcbaGaaGymaaqabaaaaa@3A01@  = 1, a 0 MathType@MTEF@5@5@+= feaahGart1ev3aaatCvAUfeBSjuyZL2yd9gzLbvyNv2Caerbov2D09 MBdbqedmvETj2BSbqeduuDJXwAKbYu51MyVXgarqqr1ngBPrgifHhD YfgasaacHOWxg9qrFfeu0dXdh9vqqj=hEeeu0xXdbba9frFj0=OqFf ea0dXdd9vspGe9FjuP0=fs0xXdbba9pGe9xq=Jbba9suk9fr=xfr=x frpeWZqaaeaabiGaaiaadaqabeaabeqacqaaaOqaaiaadggadaWgaa WcbaGaaGimaaqabaaaaa@3A00@  = 1 и a 1 MathType@MTEF@5@5@+= feaahGart1ev3aaatCvAUfeBSjuyZL2yd9gzLbvyNv2Caerbov2D09 MBdbqedmvETj2BSbqeduuDJXwAKbYu51MyVXgarqqr1ngBPrgifHhD YfgasaacHOWxg9qrFfeu0dXdh9vqqj=hEeeu0xXdbba9frFj0=OqFf ea0dXdd9vspGe9FjuP0=fs0xXdbba9pGe9xq=Jbba9suk9fr=xfr=x frpeWZqaaeaabiGaaiaadaqabeaabeqacqaaaOqaaiaadggadaWgaa WcbaGaaGymaaqabaaaaa@3A01@  = 2, a 0 MathType@MTEF@5@5@+= feaahGart1ev3aaatCvAUfeBSjuyZL2yd9gzLbvyNv2Caerbov2D09 MBdbqedmvETj2BSbqeduuDJXwAKbYu51MyVXgarqqr1ngBPrgifHhD YfgasaacHOWxg9qrFfeu0dXdh9vqqj=hEeeu0xXdbba9frFj0=OqFf ea0dXdd9vspGe9FjuP0=fs0xXdbba9pGe9xq=Jbba9suk9fr=xfr=x frpeWZqaaeaabiGaaiaadaqabeaabeqacqaaaOqaaiaadggadaWgaa WcbaGaaGimaaqabaaaaa@3A00@  = 1 и a 1 MathType@MTEF@5@5@+= feaahGart1ev3aaatCvAUfeBSjuyZL2yd9gzLbvyNv2Caerbov2D09 MBdbqedmvETj2BSbqeduuDJXwAKbYu51MyVXgarqqr1ngBPrgifHhD YfgasaacHOWxg9qrFfeu0dXdh9vqqj=hEeeu0xXdbba9frFj0=OqFf ea0dXdd9vspGe9FjuP0=fs0xXdbba9pGe9xq=Jbba9suk9fr=xfr=x frpeWZqaaeaabiGaaiaadaqabeaabeqacqaaaOqaaiaadggadaWgaa WcbaGaaGymaaqabaaaaa@3A01@  = 1. Отметим, что случай, когда амплитуды источников примерно равны, и суммарное их излучение практически изотропно, представляет наибольший интерес для анализа, поскольку в противном случае (явное доминирование определенного источника) характер мультиполя может быть определен непосредственно из формы диаграммы направленности излучения.

Сигналы задавались дискретно с шагом Δt= 10 5 MathType@MTEF@5@5@+= feaahGart1ev3aaatCvAUfeBSjuyZL2yd9gzLbvyNv2Caerbov2D09 MBdbqedmvETj2BSbqeduuDJXwAKbYu51MyVXgarqqr1ngBPrgifHhD YfgasaacHOWxg9qrFfeu0dXdh9vqqj=hEeeu0xXdbba9frFj0=OqFf ea0dXdd9vspGe9FjuP0=fs0xXdbba9pGe9xq=Jbba9suk9fr=xfr=x frpeWZqaaeaabiGaaiaadaqabeaabeqacqaaaOqaaiabfs5aejaads hacqGH9aqpcaaIXaGaaGimamaaCaaaleqabaGaeyOeI0IaaGynaaaa aaa@3EE7@  c, длина каждой реализации составляла N f =1024 MathType@MTEF@5@5@+= feaahGart1ev3aaatCvAUfeBSjuyZL2yd9gzLbvyNv2Caerbov2D09 MBdbqedmvETj2BSbqeduuDJXwAKbYu51MyVXgarqqr1ngBPrgifHhD YfgasaacHOWxg9qrFfeu0dXdh9vqqj=hEeeu0xXdbba9frFj0=OqFf ea0dXdd9vspGe9FjuP0=fs0xXdbba9pGe9xq=Jbba9suk9fr=xfr=x frpeWZqaaeaabiGaaiaadaqabeaabeqacqaaaOqaaiaad6eadaWgaa WcbaGaamOzaaqabaGccqGH9aqpcaaIXaGaaGimaiaaikdacaaI0aaa aa@3E1D@ , число реализаций N b =100 MathType@MTEF@5@5@+= feaahGart1ev3aaatCvAUfeBSjuyZL2yd9gzLbvyNv2Caerbov2D09 MBdbqedmvETj2BSbqeduuDJXwAKbYu51MyVXgarqqr1ngBPrgifHhD YfgasaacHOWxg9qrFfeu0dXdh9vqqj=hEeeu0xXdbba9frFj0=OqFf ea0dXdd9vspGe9FjuP0=fs0xXdbba9pGe9xq=Jbba9suk9fr=xfr=x frpeWZqaaeaabiGaaiaadaqabeaabeqacqaaaOqaaiaad6eadaWgaa WcbaGaamOyaaqabaGccqGH9aqpcaaIXaGaaGimaiaaicdaaaa@3D59@ . Число точек наблюдения N MathType@MTEF@5@5@+= feaahGart1ev3aaatCvAUfeBSjuyZL2yd9gzLbvyNv2Caerbov2D09 MBdbqedmvETj2BSbqeduuDJXwAKbYu51MyVXgarqqr1ngBPrgifHhD YfgasaacHOWxg9qrFfeu0dXdh9vqqj=hEeeu0xXdbba9frFj0=OqFf ea0dXdd9vspGe9FjuP0=fs0xXdbba9pGe9xq=Jbba9suk9fr=xfr=x frpeWZqaaeaabiGaaiaadaqabeaabeqacqaaaOqaaiaad6eaaaa@3907@  было выбрано равным от 10 до 30, что типично для аэроакустических экспериментов. Результаты работы SPOD-алгоритма приведены на рис. 2. На рис. 2а, 2б и 2в показаны результаты для различных амплитуд источников при N=10 MathType@MTEF@5@5@+= feaahGart1ev3aaatCvAUfeBSjuyZL2yd9gzLbvyNv2Caerbov2D09 MBdbqedmvETj2BSbqeduuDJXwAKbYu51MyVXgarqqr1ngBPrgifHhD YfgasaacHOWxg9qrFfeu0dXdh9vqqj=hEeeu0xXdbba9frFj0=OqFf ea0dXdd9vspGe9FjuP0=fs0xXdbba9pGe9xq=Jbba9suk9fr=xfr=x frpeWZqaaeaabiGaaiaadaqabeaabeqacqaaaOqaaiaad6eacqGH9a qpcaaIXaGaaGimaaaa@3B82@ . Линиями представлены направленности исходно заданных источников и направленности суммарного шума, символами показаны SPOD-моды. Видно, что для всех случаев имеет место хорошее соответствие между SPOD-модами и исходными источниками как по амплитуде, так и по форме направленности. Число значимых SPOD-мод равно числу мультиполей данного порядка (остальные моды много меньше по амплитудам), старшая мода соответствует более интенсивному источнику. Увеличение числа наблюдателей приводит к улучшению соответствия (рис. 2г).

 

Рис. 2. Направленности излучения исходных дипольных источников (линии) и SPOD-мод (маркеры): 1 – осесимметричный диполь (n = 0); 2 – поперечный диполь (n = 1); 3 – суммарный шум. ○ – SPOD-мода j = 1; ◊ – SPOD-мода j = 2; – суммарная интенсивность SPOD-мод. (а) –  a0= 2,  a1= 1, N = 10; (б) – a0 = 1,  a1= 2, N = 10; (в) –  a0= 1,  a1= 1, N = 10; (г) – a0 = 1,  a1= 1, N = 20.

 

Для квадрупольных источников рассматривался случай, когда их суммарное излучение в среднем изотропно, что имеет место при a 1 =2 a 2 = a 0 / 3 MathType@MTEF@5@5@+= feaahGart1ev3aaatCvAUfeBSjuyZL2yd9gzLbvyNv2Caerbov2D09 MBdbqedmvETj2BSbqeduuDJXwAKbYu51MyVXgarqqr1ngBPrgifHhD YfgasaacHOWxg9qrFfeu0dXdh9vqqj=hEeeu0xXdbba9frFj0=OqFf ea0dXdd9vspGe9FjuP0=fs0xXdbba9pGe9xq=Jbba9suk9fr=xfr=x frpeWZqaaeaabiGaaiaadaqabeaabeqacqaaaOqaaiaadggadaWgaa WcbaGaaGymaaqabaGccqGH9aqpcaaIYaGaamyyamaaBaaaleaacaaI Yaaabeaakiabg2da9iaadggadaWgaaWcbaGaaGimaaqabaGccaGGVa WaaOaaaeaacaaIZaaaleqaaaaa@420C@ , a0 = 2/3. Результаты SPOD-разложения представлены на рис. 3 для случаев N = 10 и N = 30. Как видно, при малом числе точек наблюдения амплитуды излучения каждой моды восстанавливаются достаточно точно, однако детали направленностей SPOD-мод в зонах, удаленных от их максимумов, могут отличаться от направленностей исходных источников. Это объясняется тем, что при увеличении степени мультиполей, а значит, числа лепестков в их направленностях, условие ортогональности в дискретной форме (14), записанное для фиксированного числа точек наблюдения N, будет все хуже аппроксимировать исходное условие (10). Это, в свою очередь, означает, что SPOD-моды, для которых, по построению, условие (14) выполняется строго, будут все более отличаться от направленностей исходных источников. Эту проблему решает уменьшение шага дискретизации по пространству (рис. 3б).

 

Рис. 3. Направленности излучения исходных квадрупольных источников (линии) и SPOD-мод (маркеры) для (а) – N = 10 и (б) – N = 30; 1 – осесимметричный квадруполь (n = 0); 2 – квадруполь (n = 1); 3 – квадруполь (n = 2); 4 – суммарный шум. ○ – SPOD-мода j = 1; ◊ – SPOD-мода j = 2; Δ – SPOD-мода j = 3; – суммарная интенсивность SPOD-мод.

 

2. Экспериментальная проверка метода

Для экспериментальной проверки разработанного алгоритма в заглушенной камере АК-2 ЦАГИ были проведены измерения шума обтекания цилиндра, при котором, как известно [1, 8–10], реализуются компактные источники дипольного типа, причем в шуме проявляются две дипольных компоненты, ортогональные оси цилиндра: так называемые диполи подъемной силы и силы сопротивления.

Стальной цилиндр диаметром d = 5 мм помещался в турбулентную струю, истекающую из круглого сопла диаметром D = 40 мм со скоростью Vj = 100 м/с. Цилиндр располагался в зоне турбулентного течения на расстоянии 250 мм вниз по потоку от среза сопла (рис. 4). Данная конфигурация соответствовала эксперименту, описанному в [33], что позволило провести сравнение результатов идентификации источников, полученных различными методами.

 

Рис. 4. Схема эксперимента. Стрелками показаны ориентации дипольных моментов шума обтекания цилиндра: диполя подъемной силы (L) и диполя силы сопротивления (D).

 

Шум измерялся с помощью 9 микрофонов Bruel&Kjaer (тип 4189), равномерно распределенных с шагом Δθ = 15° по дуге окружности радиуса R = 1.08 м с центром в точке пересечения цилиндра с осью струи, как показано на рис. 4. Измерения проводились как для свободной струи, так и для струи с цилиндром. Цилиндр ориентировался так, чтобы его ось была ортогональна плоскости расположения микрофонов (рис. 4). В таком случае дипольные моменты, связанные с пульсациями подъемной силы и силы сопротивления (показаны стрелками на рис. 4), лежат в плоскости микрофонов, и на массиве микрофонов реализуется звуковое поле, близкое к полю, описываемому выражением (21).

При наличии цилиндра в общем шуме такой системы доминирует именно шум цилиндра, как показано на рис. 5, поскольку шум струи носит квадрупольный характер, и в низкоскоростных течениях его интенсивность мала по сравнению с интенсивностью дипольных источников [1]. На спектрах на рис. 5 число Струхаля рассчитано по диаметру цилиндра и скорости струи St=fd/ V j MathType@MTEF@5@5@+= feaahGart1ev3aaatCvAUfeBSjuyZL2yd9gzLbvyNv2Caerbov2D09 MBdbqedmvETj2BSbqeduuDJXwAKbYu51MyVXgarqqr1ngBPrgifHhD YfgasaacHOWxg9qrFfeu0dXdh9vqqj=hEeeu0xXdbba9frFj0=OqFf ea0dXdd9vspGe9FjuP0=fs0xXdbba9pGe9xq=Jbba9suk9fr=xfr=x frpeWZqaaeaabiGaaiaadaqabeaabeqacqaaaOqaaiaabofacaqG0b Gaeyypa0JaamOzaiaadsgacaGGVaGaamOvamaaBaaaleaacaWGQbaa beaaaaa@3F84@ . Максимум шума цилиндра соответствует числу Струхаля около St = 0.14, что соответствует результатам измерений работы [33].

 

Рис. 5. Измеренные спектры шума: (а) – θ=30°; (б) – θ=90°; (в) – θ=150°. 1 – цилиндр в струе; 2 – струя без цилиндра.

 

На рис. 6 приведены спектры собственных чисел SPOD-разложения звукового поля при наличии цилиндра в струе (моды упорядочены по убыванию энергии, число мод равно числу микрофонов). Как видно, практически во всем частотном диапазоне доминируют первые две SPOD-моды, что косвенно указывает на дипольный характер шума. Интересно отметить, что при St ≈ 0.06 интенсивности двух мод сравниваются, и спектр первой моды практически непрерывно переходит в спектр второй моды и наоборот. Данный эффект также указывает на то, что SPOD-моды, определенные по предложенному в настоящей работе алгоритму, соответствуют физическим объектам, связанным с определенными механизмами шумообразования.

 

Рис. 6. Спектры собственных чисел SPOD-разложения звукового поля при наличии цилиндра в струе.

 

Связь SPOD-мод с физическими мультиполями подтверждается и структурой их направленности, изображенной на рис. 7 для различных полос частот. Показаны только две доминирующие моды. Видно, что одна из них имеет однолепестковую структуру, другая – двухлепестковую (причем соседние лепестки всегда находятся в противофазе), что соответствует различным компонентам дипольного излучения, доминирование которого ожидается в шуме обтекания цилиндра. В низкочастотной области St < 0.06 доминирует излучение продольного диполя, связанного с пульсациями силы сопротивления (рис. 7а), а на частотах выше St = 0.06, в том числе, в области спектрального пика, определяющим становится поперечный диполь, соответствующий пульсациям подъемной силы (рис. 7б-7г). Отклонения форм направленностей от “идеальных” диполей могут быть связаны с эффектами конвекции и рефракции, “деформирующими” направленности исходных базисных источников, что может приводить к некоторому сдвигу положений минимумов направленностей в силу условия взаимной ортогональности SPOD-мод (рис. 7а), а также с малостью амплитуды одного из источников, находящейся на границе динамического диапазона, в результате чего характеристики его направленности восстанавливаются с заметной погрешностью (рис. 7в, 7г). При этом отметим, что конвективное усиление суммарного шума вниз по потоку, хорошо заметное в общем шуме (рис. 7а), в целом достаточно корректно переносится алгоритмом SPOD на соответствующие дипольные компоненты, по крайней мере, в зоне максимумов направленности.

 

Рис. 7. Направленности излучения в полосах частот для цилиндра в струе: (а) – St = 0.017; (б) – 0.08; (в) – 0.14; (г) – 0.2. Сплошная линия – измерения; ○ – SPOD-мода j = 1; ◊ – SPOD-мода j = 2; – суммарная интенсивность SPOD-мод.

 

Количественной мерой излучения каждой компоненты, как отмечалось выше, можно считать ее интенсивность в максимуме излучения (для SPOD-мод это определение соответствует формуле (20)). Аналогичная величина была выбрана в работе [33], что позволяет провести прямое сравнение выделения спектральных характеристик интенсивности дипольных источников, полученных в [33] методом азимутальной декомпозиции, и методом SPOD-разложения, предложенным в настоящей работе. Такое сравнение приведено на рис. 8, и оно демонстрирует совпадение результатов оценки интенсивностей дипольных компонент, полученных различными методами. При этом метод на основе SPOD-разложения использует одномерный массив микрофонов, расположенный в одной азимутальной плоскости, что в некоторых случаях делает его проще реализуемым по сравнению c методом азимутальной декомпозиции или методом плоского бимформинга [33].

 

Рис. 8. Спектральные плотности интенсивности излучения отдельных SPOD-мод (1-9), вычисленные по формуле (20), и спектральные плотности излучения поперечного (10) и продольного (11) диполей, определенные с помощью метода азимутальной декомпозиции [33] (данные приведены к расстоянию 1 м от источника).

 

На рис. 9 приведены результаты SPOD-разложения для звукового поля свободной струи. Отметим, что для анализа шума струи используется, как это обычно принято, число Струхаля St j =fD/ V j MathType@MTEF@5@5@+= feaahGart1ev3aaatCvAUfeBSjuyZL2yd9gzLbvyNv2Caerbov2D09 MBdbqedmvETj2BSbqeduuDJXwAKbYu51MyVXgarqqr1ngBPrgifHhD YfgasaacHOWxg9qrFfeu0dXdh9vqqj=hEeeu0xXdbba9frFj0=OqFf ea0dXdd9vspGe9FjuP0=fs0xXdbba9pGe9xq=Jbba9suk9fr=xfr=x frpeWZqaaeaabiGaaiaadaqabeaabeqacqaaaOqaaiaabofacaqG0b WaaSbaaSqaaiaadQgaaeqaaOGaeyypa0JaamOzaiaadseacaGGVaGa amOvamaaBaaaleaacaWGQbaabeaaaaa@4089@ , рассчитанное по скорости струи и диаметру сопла. Данная струя является низкоскоростной, и максимум спектра ее излучения приходится на частотный диапазон 300–600 Гц, что соответствует Stj = 0.1…0.2. В области максимального излучения, как видно из спектров собственных чисел SPOD-разложения, показанных на рис. 9а, в звуковое поле вносят вклад три моды, что указывает на квадрупольный характер излучения [11]. Отметим, что предложенный в настоящей работе вариант SPOD-метода предполагает, что источник звука является компактным и расположен в центре дуги, на которой находятся микрофоны. При этом, как известно [3], характерное положение источников шума в турбулентных струях зависит от частоты их излучения так, что более высокочастотные источники располагаются ближе к соплу. Поэтому для использованной в эксперименте дуги микрофонов, центрированной на точке, удаленной от среза сопла на расстояние 6.25D MathType@MTEF@5@5@+= feaahGart1ev3aaatCvAUfeBSjuyZL2yd9gzLbvyNv2Caerbov2D09 MBdbqedmvETj2BSbqeduuDJXwAKbYu51MyVXgarqqr1ngBPrgifHhD YfgasaacHOWxg9qrFfeu0dXdh9vqqj=hEeeu0xXdbba9frFj0=OqFf ea0dXdd9vspGe9FjuP0=fs0xXdbba9pGe9xq=Jbba9suk9fr=xfr=x frpeWZqaaeaabiGaaiaadaqabeaabeqacqaaaOqaaiaaiAdacaGGUa GaaGOmaiaaiwdacaWGebaaaa@3BEA@ , пространственные формы отдельных SPOD-мод будут близки к физическим мультиполям для той частоты, которой соответствует расположение источников в области центра микрофонного массива. Для указанного расстояния от среза сопла характерные частоты излучения соответствуют как раз максимуму шума струи, т.е. частотному диапазону Stj = 0.1…0.2 [3, 24]. При этом, поскольку источники шума струи даже для узкого диапазона частот не являются компактными в продольном направлении [24], соответствие направленностей SPOD-мод направленностям точечных квадруполей будет не вполне точным. Это видно из рис. 9б, на котором приведены направленности излучения доминирующих SPOD-мод для Stj = 0.1. Видно, что качественно формы SPOD-мод соответствуют квадруполям различного азимутального порядка, формы которых могут быть с высокой точностью получены с помощью метода азимутальной декомпозиции [11, 27], с некоторым отличием в расположении минимумов, связанным с конвективно-рефракционным усилением излучения вниз по потоку [20] (обсуждавшимся выше применительно к шуму цилиндра), а также в величине амплитуд тех лепестков, которые находятся на границе динамического диапазона метода (~10 дБ ниже доминирующей моды), что отчасти связано с некомпактностью источников. Тем не менее, общая структура SPOD-мод позволяет вполне определенно отнести их к соответствующим квадрупольным источникам, т.е. адекватно оценить доминирующий механизм генерации шума исследуемым течением.

 

Рис. 9. (а) – Cпектры собственных чисел SPOD-разложения звукового поля свободной струи; (б) – направленности излучения доминирующих SPOD-мод для Stj = 0.1; обозначения кривых как на рис. 3.

 

Заключение

В данной работе предложено использовать метод собственного ортогонального разложения в частотной области (SPOD) для идентификации мультипольной структуры аэроакустических источников по измерениям в дальнем звуковом поле. Преимуществом SPOD-метода является то, что он может быть реализован в рамках линейного микрофонного массива, располагаемого в одной азимутальной плоскости, в то время как метод азимутальной декомпозиции, с помощью которого такая задача может быть решена наиболее точно, требует использования азимутальных круговых микрофонных массивов, заметающих существенную долю телесного угла, в который излучается шум. Показано, что при условии компактности источника определенного (заранее неизвестного) мультипольного порядка, и расположении его в центре кругового микрофонного массива, заметающего сектор, близкий к 180°, можно построить такую процедуру SPOD-разложения за счет выбора скалярного произведения, в которой доминирующие SPOD-моды соответствуют физическим мультипольным компонентам излучения.

Метод протестирован на примерах с модельными точечными мультиполями, а также проверен в эксперименте применительно к анализу шума обтекания цилиндра и шума струи. Эффекты конвекции и рефракции снижают точность восстановления направленностей отдельных мультиполей, однако при малых числах Маха потока корректность определения интенсивностей доминирующих мультипольных компонент сохраняется. При наличии теоретических моделей влияния конвекции и рефракции на диаграмму направленности излучения базисных мультиполей скалярное произведение в методе SPOD можно скорректировать, повысив тем самым точность восстановления мультипольной структуры.

Отметим в заключение отличие разработанного метода на базе SPOD от метода бимформинга, использованного, например, в работах [31–33] для идентификации дипольных источников шума. Оба подхода связаны с анализом матрицы взаимных спектров, измеряемой некоторым массивом микрофонов. В методах типа бимформинга такая матрица моделируется с помощью исходно выбранных моделей источников заданной мультипольности. В таком подходе корректность результата зависит от адекватности набора источников, заложенных в алгоритм. Преимуществом его является возможность определения заранее неизвестного местоположения источников шума, недостатком – необходимость априори определять тип источников. В предложенном методе типа SPOD матрица взаимных спектров раскладывается по эмпирическому ортогональному базису, что всегда оказывается возможным, и при определенных условиях компоненты этого базиса могут соответствовать физически осмысленным мультиполям. Преимуществом данного метода является возможность определения порядка мультипольности источника в результате измерений, недостатком – необходимость априорного знания положения источника. Ограничением SPOD-метода является также требование компактности источников шума: чем хуже выполняется условие компактности, тем сложнее интерпретируются результаты.

Таким образом, предложенный метод, метод бимформинга, а также метод азимутальной декомпозиции являются взаимодополняющими инструментами и могут использоваться по-отдельности или одновременно для анализа сложных аэроакустических систем.

Экспериментальные данные, использованные в работе, получены в УНУ “Заглушенная камера с потоком АК-2” ФАУ “ЦАГИ”, модернизированной при поддержке Министерства науки и высшего образования Российской Федерации.

Работа выполнена при финансовой поддержке РНФ (грант 19-71-10064).

×

About the authors

O. P. Bychkov

FAU TsAGI

Email: georgefalt@rambler.ru
Russian Federation, Moscow

G. A. Faranosov

FAU TsAGI

Author for correspondence.
Email: georgefalt@rambler.ru
Russian Federation, Moscow

References

  1. Curle N. The Influence of Solid Boundaries on Aerodynamic Sound // Proc. Roy. Soc. (London) Ser. A. 1955. V. 231. № 1187. P. 505–514.
  2. Kopiev V.F., Zaitsev M. Yu., Chernyshev S.A., Ostrikov N.N. Vortex ring input in subsonic jet noise // Int. J. Aeroacoust. 2007. V. 6. N. 4. P. 375–405.
  3. Myнин А.Г., Кузнецов И.М., Леонтьев E.A. Аэродинамические источники шума. М.: Машиностроение, 1981. С. 248.
  4. Rienstra S.W., Hirschberg A. An Introduction to Acoustics // Eindhoven University of Technology, 2004.
  5. Демьянов М.А. Корреляционный метод идентификации акустических источников с помощью многомикрофонных измерений // Акуст. журн. 2022. Т. 68. № 6. С. 638–646.
  6. Kopiev V.F., Chernyshev, S.A. Vortex ring eigen-oscillations as a source of sound // J. Fluid Mech. 1997. V. 341. P. 19–57.
  7. Зайцев М.Ю., Копьев В.Ф., Котова А.Н. Представление звукового поля турбулентного вихревого кольца суперпозицией квадруполей // Акуст. журн. 2001. Т. 47. № 6. С. 793–801.
  8. Блохинцев Д.И. Акустика неоднородной движущейся среды. М.: Наука, 1981.
  9. Зайцев М.Ю., Копьев В.Ф. Механизм генерации звука турбулентностью вблизи твердого тела // Изв. РАН МЖГ. 2008. № 1. С. 98–109.
  10. Баженова Л.А., Семенов А.Г. О влиянии числа Рейнольдса на интенсивность вихревого звука при обтекании цилиндрического профиля // Акуст. журн. 2013. Т. 59. № 5. С. 586–595.
  11. Kopiev V.F. Azimuthal decomposition of turbulent jet noise and its role for diagnostics of noise sources // VKI Lecture Series 2004–05. Advances in Aeroacoustics and Applications, 2004. P. 1–23.
  12. Бычков О.П., Зайцев М.Ю., Копьев В.Ф., Фараносов Г.А., Чернышев С.А. О двух подходах к моделированию шума низкоскоростных дозвуковых струй // Докл. Росс. Акад. наук. Физика, Техн. Науки. 2022. Т. 506. № 1. С. 16–25.
  13. Копьев В.Ф., Зайцев М.Ю., Копьев В.А., Остриков Н.Н., Фараносов Г.А. Использование акустических характеристик коронного разряда для диагностики его свойств // Акуст. журн. 2016. Т. 62. № 4. С. 424–430.
  14. Sergeev S., Lissek H., Howling A., Furno I., Plyushchev G., Leyland P. Development of a plasma electroacoustic actuator for active noise control applications // J. Physics D: Applied Physics. 2020. V. 53. N. 49. P. 495202.
  15. Скучик Е. Основы акустики. Т. 2. М.: Мир, 1976. С. 544.
  16. Бобровницкий Ю.И. Физическая модель и характеристики ближнего поля мультиполя // Акуст. журн. 1998. Т. 44. № 1. C. 11–20.
  17. Остриков Н.Н. Излучение звука распределенными квадрупольными источниками вблизи твердых тел // Акуст. журн. 2012. Т. 58. № 4. C. 525–534.
  18. Faranosov G., Belyaev I., Kopiev V., Bychkov O. Azimuthal structure of low-frequency noise of installed jet // AIAA Journal. 2019. V.57. N. 5. P. 1885–1898.
  19. Бычков О.П., Фараносов Г.А. Исследование влияния угла установки крыла на характеристики рассеяния ближнего гидродинамического поля турбулентной струи // Докл. Росс. Акад. наук. Физика, Техн. науки. 2022. Т. 506. № 1. С. 57–67.
  20. Kopiev V., Chernyshev S. Correlation model of quadrupole noise sources in turbulent jet: effect of refraction // AIAA paper. 2015. 2015–3130.
  21. Goldstein M.E. The low frequency sound from multipole sources in axisymmetric shear flows, with applications to jet noise // J. Fluid Mech. 1975. V. 70. No 3. P. 595–604.
  22. Kopiev V.F., Zaitsev M. Yu., Chernyshev S.A., Kotova A.N. The role of large-scale vortex in a turbulent jet noise // AIAA paper. 1999. 99–1839.
  23. Mani R. The influence of jet flow on jet noise. Part 1. The noise of unheated jets // J. Fluid Mech. 1976. V. 73. No 4. P. 753–778.
  24. Kopiev V., Chernyshev S.A., Faranosov G. On defining the jet noise source quadrupole structure on the basis of multi-array acoustic data and correlation theory // AIAA paper. 2016. 2016–2806.
  25. Cavalieri A.V., Jordan P., Colonius T., Gervais Y. Axisymmetric superdirectivity in subsonic jets // J. Fluid Mech. 2012. V. 704. P. 388–420.
  26. Suzuki T. Identification of multipole noise sources in low Mach number jets near the peak frequency // J. Acoust. Soc. Am.. 2006. V. 119. No 6. P. 3649–3659.
  27. Копьев В.Ф., Фараносов Г.А. Обобщение метода азимутальной декомпозиции звукового поля компактного источника на случай измерений вблизи жесткой поверхности // Акуст. журн. 2015. Т. 61. № 1. С. 65–75.
  28. Faranosov G., Belyaev I., Kopiev V., Zaytsev M., Aleksentsev A., Bersenev Y., Chursin V., Viskova T. Adaptation of the azimuthal decomposition technique to jet noise measurements in full-scale tests // AIAA Journal. 2017. V. 55. No 2. P. 572–584.
  29. Armstrong R.R., Michalke A., Fuchs H.V. Coherent structures in jet turbulence and noise // AIAA Journal. 1977. V. 15. No 7. P. 1011–1017.
  30. Juve D., Sunyach M., Comte-Bellot G. Filtered azimuthal correlations in the acoustic far field of a subsonic jet // AIAA Journal. 1979. V. 17. No 1. P. 112–114.
  31. Jordan P., Fitzpatrick J., Valiere J.-Ch. Measurement of an aeroacoustic dipole using a linear microphone array // J. Acoust. Soc. Am. 2002. V. 111. № 3. P. 1267–1273.
  32. Liu Y., Quayle A., Dowling A., Sijtsma P. Beamforming correction for dipole measurement using two-dimensional microphone arrays // J. Acoust. Soc. Am. 2008. V. 124. No 1. P. 182–191.
  33. Бычков О.П., Демьянов М.А., Фараносов Г.А. Локализация дипольных источников шума плоскими микрофонными решетками // Акуст. журн. 2019. Т. 65. № 5. С. 675–687.
  34. Taira K., Brunton S.L., Dawson S., Rowley C.W., Colonius T., McKeon B.J., Schmidt O.T., Gordeyev S., Theofilis V., Ukeiley L.S. Modal Analysis of Fluid Flows: An Overview // AIAA Journal. 2017. V. 55. No 12. P. 4013–4041.
  35. Towne A., Schmidt O.T., Colonius T. Spectral proper orthogonal decomposition and its relationship to dynamic mode decomposition and resolvent analysis // J. Fluid Mechanics. 2018. V. 847. P. 821–867.
  36. Lumley J.L. The Structure of Inhomogeneous Turbulent Flows // Atmospheric Turbulence and Radio Propagation, edited by Yaglom A.M., and Tatarski V.I., Nauka, Moscow, 1967, pp. 166–178.
  37. Pearson K. On lines and planes of closest fit to systems of points in space // The London, Edinburgh, and Dublin philosophical magazine and journal of science. 1901. V. 2. No 11. P. 559–572.
  38. Nekkanti A., Schmidt O.T. Modal analysis of acoustic directivity in turbulent jets // AIAA Journal. 2021. V. 59. No 1. P. 228–239.
  39. Fiore M., Parisot-Dupuis H., Etchebarne B., Gojon R. Spectral proper orthogonal decomposition of coupled hydrodynamic and acoustic fields: Application to impinging jet configurations // Computers & Fluids. 2022. V. 241. P. 105484.
  40. Абрамовиц М., Стиган И. Справочник по специальным функциям. М.: Наука, 1979.
  41. Welch P. The use of fast Fourier transform for the estimation of power spectra: A method based on time averaging over short, modified periodograms // IEEE Trans. Audio and Electroacoustics. 1967. V. 15. N. 2. P. 70–73.

Supplementary files

Supplementary Files
Action
1. JATS XML
2. Fig. 1. Model sources from uncorrelated dipoles (l = 1) or quadrupoles (l = 2).

Download (98KB)
3. Fig. 2. Radiation directions of the original dipole sources (lines) and SPOD modes (markers): 1 – axisymmetric dipole (n = 0); 2 – transverse dipole (n = 1); 3 – total noise. ○ – SPOD mode j = 1; ◊ – SPOD mode j = 2; □ – total intensity of SPOD modes. (a) – = 2, = 1, N = 10; (b) – = 1, = 2, N = 10; (c) – = 1, = 1, N = 10; (d) – = 1, = 1, N = 20.

Download (262KB)
4. Fig. 3. Radiation directions of the original quadrupole sources (lines) and SPOD modes (markers) for (a) – N = 10 and (b) – N = 30; 1 – axisymmetric quadrupole (n = 0); 2 – quadrupole (n = 1); 3 – quadrupole (n = 2); 4 – total noise. ○ – SPOD mode j = 1; ◊ – SPOD mode j = 2; Δ – SPOD mode j = 3; □ – total intensity of SPOD modes.

Download (178KB)
5. Fig. 4. Experimental scheme. The arrows show the orientations of the dipole moments of the flow noise around the cylinder: the lift dipole (L) and the drag dipole (D).

Download (74KB)
6. Fig. 5. Measured noise spectra: (a) – θ=30; (b) – θ=90; ​​(c) – θ=150. 1 – cylinder in a jet; 2 – jet without a cylinder.

Download (124KB)
7. Fig. 6. Spectra of eigenvalues ​​of the SPOD decomposition of the sound field in the presence of a cylinder in the jet.

Download (102KB)
8. Fig. 7. Radiation directivities in frequency bands for a cylinder in a jet: (a) – St = 0.017; (b) – 0.08; (c) – 0.14; (d) – 0.2. Solid line – measurements; ○ – SPOD mode j = 1; ◊ – SPOD mode j = 2; □ – total intensity of SPOD modes.

Download (235KB)
9. Fig. 8. Spectral densities of the radiation intensity of individual SPOD modes (1-9), calculated using formula (20), and spectral densities of the radiation of the transverse (10) and longitudinal (11) dipoles, determined using the azimuthal decomposition method [33] (data are reduced to a distance of 1 m from the source).

Download (121KB)
10. Fig. 9. (a) – Spectra of eigenvalues ​​of the SPOD expansion of the sound field of a free jet; (b) – radiation directions of the dominant SPOD modes for Stj = 0.1; curve designations are as in Fig. 3.

Download (143KB)

Copyright (c) 2024 The Russian Academy of Sciences

Согласие на обработку персональных данных

 

Используя сайт https://journals.rcsi.science, я (далее – «Пользователь» или «Субъект персональных данных») даю согласие на обработку персональных данных на этом сайте (текст Согласия) и на обработку персональных данных с помощью сервиса «Яндекс.Метрика» (текст Согласия).