Влияние экзосферы активного астероида на поляризацию рассеянного света и возможности оценки ее свойств из наземных измерений
- Авторы: Петрова Е.В.1
-
Учреждения:
- Институт космических исследований Российской академии наук
- Выпуск: Том 58, № 2 (2024)
- Страницы: 198-209
- Раздел: Статьи
- URL: https://medbiosci.ru/0320-930X/article/view/262629
- DOI: https://doi.org/10.31857/S0320930X24020056
- EDN: https://elibrary.ru/NUITWM
- ID: 262629
Цитировать
Полный текст
Аннотация
Небесные тела, которые имеют орбитальные и физические характеристики, типичные для астероидов, но эпизодически демонстрируют признаки кометной активности, представляют особый интерес, поскольку знание природы этих тел необходимо для понимания процессов формирования Солнечной системы и доставки воды к планетам земной группы. В оценке свойств экзосферы активного астероида (АА) на основе данных дистанционного зондирования поляриметрия может играть заметную роль благодаря чувствительности поляризации рассеянного света к свойствам частиц в среде. Численное моделирование рассеяния излучения на частицах экзосферы, образующейся вокруг АА, показало, что рассеяние света в экзосфере может как ослаблять поляризацию света, отраженного от поверхности, так и приводить к ее усилению в зависимости от длины волны рассеиваемого света, показателя преломления частиц и их морфологии. При этом спектральный градиент поляризации может изменяться как в сторону более высоких положительных, так и отрицательных значений. На фазовых углах менее 30°, характерных для наблюдений астероидов Главного пояса, изменения, вносимые в поляризацию рассеянием в экзосфере, невелики и слабо отличаются для частиц разных свойств. Тем не менее изменение поляризации света, отраженного астероидом, по сравнению с каноническими значениями может свидетельствовать о присутствии экзосферы. На более высоких фазовых углах влияние рассеяния в экзосфере на поляризацию АА более заметно, что делает многообещающим использование поляриметрии в исследовании активности астероидов, сближающихся с Землей. Этот эффект следует также учитывать при оценке альбедо астероида по максимуму поляризации (по закону Умова), если у этого астероида можно ожидать проявление активности.
Ключевые слова
Полный текст
Влияние экзосферы активного астероида на поляризацию рассеянного света и возможности оценки ее свойств из наземных измерений1
ВВЕДЕНИЕ
В последние годы результаты обширных высокоточных наблюдений малых тел Солнечной системы позволили понять, что границы традиционного разделения этой популяции на кометы и астероиды размыты. Установлено, что ряд объектов, которые находятся на орбитах, типичных для астероидов, и определенно состоят из тугоплавких материалов, могут периодически или разово проявлять признаки кометной активности – у них развивается слабая кома (экзосфера) и даже пылевой или газовый хвост (см., например, Hsieh и др. (2018)). К настоящему времени обнаружено порядка 30 активных астероидов (АА). Классическая концепция, согласно которой тела c разными физическими и динамическими свойствами должны были формироваться в областях Солнечной системы, существенно отличающихся по температуре – за снеговой линией (кометы) или внутри ее (астероиды) – сейчас дополняется и пересматривается.
В недавнем обзоре Jewitt и Hsieh (2022) подробно рассмотрели механизмы, которые могут способствовать развитию экзосферы у АА – бомбардировка поверхности метеороидами, разрушение тела, обусловленное неустойчивым вращением, тепловые эффекты, вынос вещества за счет электростатических сил, сублимация летучих при повышении температуры поверхности тела вблизи перигелия, а также комбинация этих факторов. Такие объекты, как активные астероиды и спящие кометы, которые по своим свойствам находятся в широкой области между классическими кометами и классическими астероидами, особенно интересны для исследователей, потому что знание их природы необходимо для понимания процессов формирования Солнечной системы и доставки воды к планетам земной группы (см., например, Кохирова и др., 2021 и ссылки там).
Jewitt и Hsieh (2022) также проанализировали возможности различных методов детектирования слабых кометоподобных объектов. Среди них – непосредственная съемка высокого разрешения, фотометрический анализ, спектроскопия газовых составляющих, обнаружение негравитационных возмущений и др. В то же время, как показали спектрофотометрические исследования астероидов в УФ- и видимом диапазонах, этот метод дает возможность обнаружить экзосферу у АА по изменению наклона спектра отражения и/или по появлению в спектрах деталей, необычных для астероидов. Так, с помощью спектрофотометрического метода были зарегистрированы признаки сублимационной активности у некоторых примитивных астероидов Главного пояса на расстояниях, близких к перигелию орбиты (Бусарев и др., 2019; 2023; Busarev и др., 2018; 2021; и ссылки там).
Следует отметить, что, безотносительно причин кометной активности у отдельных астероидов, обнаружить ее у таких тел сложно, потому что образовавшаяся экзосфера оптически тонкая, а эффекты, которые она вызывает, невелики. В связи с этим поляриметрия слабых кометоподобных объектов до настоящего времени проводилась редко (см., например, Bagnulo и др., 2010; Geem и др., 2022; Ivanova и др., 2022; 2023). В то же время наземные измерения линейной поляризации света, рассеянного пылевыми комами, образовавшимися после искусственных ударов о ядро кометы 9P/Tempel 1 и о малый компонент двойной системы астероидов Didymos–Dimorphos в ходе миссий Deep Impact (DI) и Double Asteroid Redirection Test (DART) соответственно, дали интересные результаты (Harrington и др., 2007; Hadamcik и др., 2007; Bagnulo и др., 2023), которые мы попытаемся объяснить ниже, исходя из результатов наших расчетов.
Для оценки свойств рассеивающей среды на основе поляриметрических данных необходимо получить фазовую зависимость степени линейной поляризации рассеянного света в достаточно широком диапазоне углов фазы P(α) (где α – угол Солнце–объект–наблюдатель). Как показывают многочисленные лабораторные измерения и расчеты характеристик рассеяния, поведение P(α) определяется свойствами рассеивателей в среде – их размерами, морфологией, показателем преломления, упаковкой (см., например, Mishchenko и др., 2010 и ссылки там). Однако, к сожалению, в большинстве случаев тела Солнечной системы можно наблюдать с Земли только под небольшими фазовыми углами. Для астероидов Главного пояса α обычно не превышает 30° (см., например, Shestopalov, Golubeva, 2015). В то же время астероиды, сближающиеся с Землей, можно наблюдать в широком интервале фазовых углов (см., например, Cellino и др., 2018). Среди них особое внимание исследователей привлекает астероид (3200) Phaethon, который является целью предстоящей японской миссии Demonstration and Experiment of Space Technology for Interplanetary voYage (DESTINY). Результаты фотометрических, поляриметрических и спектральных измерений этого астероида говорят о сильной неоднородности его поверхности; кроме того, он эпизодически проявляет признаки активности (Jewitt и др., 2013; Kiselev и др., 2022 и ссылки там).
Как уже упоминалось, образование слабой экзосферы было зарегистрировано у ряда астероидов около перигелия орбиты по изменению формы спектра в УФ- и видимом диапазонах. Более того, анализ этих данных на основе модельных расчетов рассеяния света в экзосфере, окружающей астероид, позволил оценить ряд свойств частиц экзосферы (Busarev и др., 2021; Бусарев и др., 2023; Петрова, Бусарев, 2023). Было показано, что изменение наклона спектра с положительного, присущего исследуемым астероидам, на отрицательный обусловлено рассеянием на слабопоглощающих или непоглощающих частицах, размеры которых гораздо меньше длины световой волны. Также было установлено, что появление в УФ- и видимом диапазонах спектра необычных для астероидов деталей может быть вызвано интерференцией света, рассеянного агрегатными частицами, состоящими из слабопоглощающих или непоглощающих зерен с радиусом около 0.1 мкм. Однако свойства поглощающих частиц в экзосфере уверенно оценить таким способом сложно, так как усиление поглощения в коротковолновом диапазоне подавляет развитие интерференционной картины при рассеянии на агрегатных частицах такого состава. В то же время известно, что состояние поляризации света, рассеянного средой, существенно зависит от свойств частиц в этой среде (см., например, Mishchenko и др., 2010). Поэтому можно ожидать, что привлечение данных поляриметрии активных объектов будет полезным для оценки свойств экзосферы.
Цель данной работы – оценить возможное влияние экзосферы, образовавшейся у астероида, на поляризацию рассеянного им света, которую можно измерить при наземных UBVR-наблюдениях (длины волн λ = 0.36, 0.44, 0.54 и 0.68 мкм). Для этого были выполнены расчеты характеристик рассеяния частиц разной морфологии и состава и переноса излучения, рассеянного в системе “поверхность астероида + экзосфера”. Исходные данные и методы расчетов описаны в следующих разделах. Далее представлены результаты моделирования, их обсуждение и выводы.
ИСХОДНЫЕ ДАННЫЕ
Морфология частиц экзосферы
Расчеты характеристик рассеяния были выполнены как для однородных, так и для агрегатных частиц в экзосфере, образовавшейся у астероида. Параметры частиц выбраны в соответствии с оценками, сделанными на основе анализа спектров отражения астероидов в ближнем УФ- и видимом диапазонах, которые были измерены во время проявления признаков сублимационной активности (Busarev и др., 2021; Бусарев и др., 2023; Петрова, Бусарев, 2023). А именно, наблюдаемое в ряде случаев увеличение яркости астероида в коротковолновом диапазоне может быть вызвано присутствием в экзосфере слабопоглощающих или непоглощающих частиц с размерами, гораздо меньшими длины волны рассеиваемого света. В данной работе характеристики рассеяния таких частиц были смоделированы с помощью полидисперсной смеси случайно ориентированных сфероидов (Mishchenko и др., 1997). Отношение осей сфероидов E изменялось от 0.7 до 1.3 при эффективном радиусе сферы эквивалентного объема Reff = 0.1 мкм и эффективной вариации распределения νeff = 0.05. Поскольку в экзосфере могут присутствовать и более крупные однородные частицы, их влияние на поляризацию рассеянного объектом света было смоделировано характеристиками полидисперсной смеси сфероидов с Reff = 1.0 мкм и νeff = 0.05.
Что касается агрегатных частиц, то, как было показано в наших предыдущих работах (Busarev и др., 2021; Петрова, Бусарев, 2023), рассеяние на таких частицах, состоящих из зерен с радиусом около 0.1 мкм, может вызывать появление необычных деталей, зарегистрированных в ряде случаев в спектрах отражения активных астероидов в ближнем УФ- и видимом диапазонах. Морфология этих частиц напоминает морфологию частиц, найденных в комах, и хвостах комет, и в межпланетном пространстве (см., например, Bradley и др., 1988; Bradley, 2003; Kolokolova и др., 2004; Güttler и др., 2019). Для наших модельных расчетов, в соответствии с концепцией статистически фрактальной структуры агрегатных частиц кометной пыли (см., например, Mannel и др., 2016), мы сгенерировали фракталоподобные агрегаты (или кластеры), состоящие их сферических мономеров субмикронных размеров. Для этого был применен процесс диффузно ограниченной агрегации (Mackowski, 1995). Если число мономеров N достаточно велико, полученный кластер может быть описан с помощью соотношения , где d – диаметр мономера, Rg – радиус гирации кластера, а Df и kf – размерность и префактор фрактала соответственно.
Чтобы оценить влияние структуры кластеров на характеристики рассеяния, мы подобрали три набора фрактальных параметров, которые описывают как плотно упакованные, так и разреженные структуры. Принятые значения размерности и префактора фракталов: kf = 5.8 и Df = 1.9 (структура А на рис. 1), kf = 8.0 и Df = 2.5 (структура B) и kf = 8.0 и Df = 3.0 (структура C). Для таких кластеров значения пористости можно определить как p = 1 – N×(r/Rc)3, где r – радиус мономера и Rc = (5/3)1/2×Rg – так называемый характерный радиус (Kosaza и др., 1993). Тогда p ≈ 0.94, 0.72 и 0.54 (при N = 100) для структур А, В и С соответственно.
Рис. 1. Типы агрегатных структур, для которых были вычислены характеристики рассеяния.
Следует отметить, что у различных реализаций агрегатных структур, которые описываются с одними и теми же значениями фрактальных параметров, фазовые профили интенсивности и линейной поляризации рассеянного света несколько отличаются даже при достаточно большом числе составляющих частиц. Однако эти различия гораздо меньше, чем те, которые показывают фазовые профили, рассчитанные для кластеров с различными наборами фрактальных параметров (см., например, Kolokolova и др., 2018). Поэтому в рамках данного анализа вычисления были выполнены для одной реализации каждой из структур.
В данных модельных расчетах значения для размеров мономеров в агрегатах были выбраны на основе результатов измерений размеров частиц межпланетной и кометной пыли, а также результатов анализа поляриметрии комет и спектрофотометрии активных астероидов (см. ссылки выше). Здесь мы рассматриваем четыре значения радиуса мономеров в агрегатах: r = 0.08, 0.10, 0.12 и 0.15 мкм, а их форма принята сферической. Последнее упрощение существенно облегчает расчеты и, в то же время, не оказывает заметного влияния на результаты моделирования, так как в рассматриваемом здесь спектральном диапазоне эти значения радиусов мономеров соответствуют параметру размера x ≡ 2πr/λ <3. При таком соотношении между размерами рассеивателей и длиной волны рассеиваемого света взаимодействие между рассеивателями, которые находятся внутри агрегата в неоднородных ближних полях друг друга (Tishkovets и др., 2011), “размывает” детали фазовых кривых, обусловленные рассеянием на отдельных зернах определенной формы. Подтверждением этого положения может служить тот факт, что характеристики рассеяния кластеров, состоящих из сферических мономеров и частиц произвольной формы, рассчитанные с помощью метода суперпозиции Т-матриц (см., например, Kimura и др., 2003; Петрова и др., 2004; Dlugach и др., 2011; Lumme, Penttilä, 2011; Kolokolova и др., 2018; и ссылки там) и метода дискретно-дипольной аппроксимации (см., например, Zubko и др., 2015 и ссылки там) соответственно, демонстрируют сходное поведение.
Следует отметить, что данное моделирование основано на характеристиках рассеяния частиц, присутствие которых ожидается в экзосфере, но не на физических характеристиках самих частиц. Хотя частицы в реальных экзосферах могут быть крупнее или мельче, или несколько отличаться по составу от рассматриваемых здесь, наша задача – понять, насколько экзосфера может повлиять на степень линейной поляризации света, отраженного активным астероидом, но не добиться согласия модельных и измеренных значений поляризации для конкретного случая.
Состав вещества частиц экзосферы
Характеристики рассеяния частиц зависят не только от их размеров и структуры, но и от показателя преломления вещества m. Поскольку анализ спектров отражения активных астероидов показал присутствие в экзосфере непоглощающих или слабопоглощающих частиц (см. Busarev и др., 2021; Бусарев и др., 2023; Петрова, Бусарев, 2023), мы включили в рассмотрение лед H2O и так называемые астрономические силикаты (оптические характеристики этого вещества явились результатом синтеза данных лабораторных измерений и теоретического моделирования деталей в ИК-спектре, который был проведен для нахождения согласия с данными ряда астрономических наблюдений в (Draine, Lee, 1984)). Чтобы оценить влияние поглощающих частиц на степень линейной поляризации света, отраженного активным астероидом, мы также рассматриваем частицы оливина и тугоплавкой органики. Значения показателей преломления этих веществ, принятые в данной работе, приведены в таблице.
Значения действительной mr и мнимой mi части показателя преломления рассматриваемых веществ в зависимости от длины волны согласно указанным источникам
Длина волны (мкм) | Лед H2O (a) | Астрономические силикаты (b) | Оливин (с) | Тугоплавкая органика (b) | ||||
mr | mi | mr | mi | mr | mi | mr | mi | |
0.36 | 1.3238 | 0.0 | 1.6880 | 0.02 | 1.8190 | 0.20 | 1.8720 | 0.3500 |
0.44 | 1.3163 | 0.0 | 1.6760 | 0.02 | 1.8190 | 0.1360 | 1.9200 | 0.3180 |
0.54 | 1.3114 | 0.0 | 1.6680 | 0.02 | 1.8060 | 0.0912 | 1.9620 | 0.2920 |
0.68 | 1.3073 | 0.0 | 1.6674 | 0.02 | 1.7920 | 0.0716 | 1.9960 | 0.2640 |
Примечание. (a)Warren, Brandt (2008), (b)Li, Greenberg (1997), (c)Dorschner и др. (1995).
Параметры экзосферы и поверхности астероида
Чтобы вычислить интенсивность и поляризацию света, отраженного экзосферой с подстилающей поверхностью, надо задать, кроме свойств частиц, присутствующих в экзосфере, оптическую толщину экзосферы τ и матрицу отражения поверхности на каждой из длин волн. В связи с тем, что оптическая толщина экзосфер АА пока не была оценена, в данном моделировании было принято значение τ = 0.5 на λ = 0.54 мкм, которое обеспечивает существенные изменения спектра астероида, обладающего экзосферой, по сравнению с его неактивным состоянием (Петрова, Бусарев, 2023). Изменение оптической толщины вдоль спектра было учтено на основе изменения сечения рассеяния модельных частиц в зависимости от длины волны.
Что касается параметров поверхности АА, то, поскольку спектральный ход яркости и поляризации астероидов разных классов может быть разным, а задача данного анализа – лишь отследить изменения, которые может внести экзосфера в наблюдаемые характеристики АА, мы приняли характеристики поверхности модельного астероида одинаковыми в разных длинах волн. Состав и морфология частиц модельной поверхности здесь не важны; главное, чтобы фазовая кривая степени линейной поляризации объекта с такой поверхностью примерно воспроизводила фазовую зависимость, наблюдаемую в среднем у астероидов низкого и среднего альбедо (например, Geem и др., 2022 и ссылки там). Для условного астероида интенсивность и поляризация света, рассеянного поверхностью, была вычислена на основе матрицы рассеяния кластеров структуры B (N = 100, х = 1.5 и m = 1.65 + 0.005i) при оптической толщине слоя 1.5. Она дает слабую ветвь отрицательной поляризации, угол инверсии примерно на 20° и максимум ~26% при геометрическом альбедо объекта Ag ≈ 0.1 (см. рис. 2).
Рис. 2. Степень линейной поляризации света P, отраженного модельным астероидом с экзосферой на длинах волн 0.36 и 0.54 мкм (каналы U и V соответственно), в зависимости от фазового угла наблюдений α. Частицы в экзосфере – смеси случайно ориентированных сфероидов при Reff = 0.1 и 1.0 мкм, νeff = 0.05 и E = 0.7–1.3: (а) – λ = 0.36 мкм, Reff = 0.1 мкм; (б) – λ = 0.36 мкм, Reff = 1.0 мкм; (в) – λ = 0.54 мкм, Reff = 0.1 мкм; (г) – λ = 0.54 мкм, Reff = 1.0 мкм. Показаны модели для частиц льда H2O (“Ice”), астрономических силикатов (“Sil”), оливина (“Oli”) и тугоплавкой органики (“OrR”), а также модель для астероида без экзосферы (“Surf”). Оптическая толщина экзосферы принята равной τ = 0.5 на λ = 0.54 мкм.
ВЫЧИСЛИТЕЛЬНЫЕ МЕТОДЫ
Характеристики рассеяния полидисперсных однородных сфероидальных частиц случайной ориентации были вычислены с помощью компьютерной программы, разработанной М.И. Мищенко (https://www.giss.nasa.gov/staff/mmishchenko/t_matrix.html) на основе теории Т-матриц (см., например, Mishchenko и др., 2002).
Для сформированных агрегатных частиц случайной ориентации элементы матрицы однократного рассеяния, а также сечения рассеяния и экстинкции были вычислены с помощью компьютерного кода Mackowski и Mishchenko (1996; 2011), основанного на численно точном методе суперпозиции Т-матриц. Этот метод – один из наиболее эффективных, который широко используется при решении макроскопических уравнений Максвелла для произвольных ансамблей сферических частиц (https://www.giss.nasa.gov/staff/mmishchenko/t_matrix.html и www.eng.auburn.edu/~dmckwski/scatcodes/).
Характеристики однократного рассеяния частиц в экзосфере, ее оптическая толщина и характеристики отражения поверхности служат в качестве входных параметров в процедуре переноса излучения в системе “поверхность+экзосфера”. В данной работе перенос излучения рассчитан с помощью метода инвариантного погружения, приложение которого для атмосферы с подстилающей поверхностью детально описали Mishchenko и Travis (1997), а необходимые коды доступны на сайте https://www.giss.nasa.gov/staff/mmishchenko/brf/. Поскольку этот метод применим только к системе плоскопараллельных рассеивающих слоев, мы вычисляем здесь элементы матрицы отражения (см., например, Mishchenko, Travis, 1997 и ссылки там) для небольших областей поверхности астероида (примерно 3°×3° по долготе и широте), окруженного экзосферой, а форма его принята шарообразной. Последующая процедура расчета характеристик рассеяния всего небесного тела с учетом поляризации существенно отличается от той, что была применена в наших предыдущих работах при моделировании спектральной зависимости интенсивности излучения, рассеянного активным астероидом (Busarev и др., 2021; Бусарев и др., 2023; Петрова, Бусарев, 2023). Если интенсивность рассеянного излучения, рассчитанную для небольших участков сферического объекта (которые предполагаются плоскими), можно просто проинтегрировать по наблюдаемому диску объекта с учетом фазового угла и соответствующих зенитных и азимутальных углов, то суммирование компонент интенсивности, характеризующих состояние поляризации рассеянного света, т. е. в плоскости рассеяния и в плоскости, перпендикулярной ей, , требует предварительного преобразования – расчета относительно координатной системы, связанной с объектом целиком, а не с отдельными его участками. Методика таких расчетов в приложении к интерпретации наблюдений экзопланет подробно описана Madhusudhan и Burrows (2012). Аналогичная задача была решена Rossi и др. (2018), которые также привели результаты своих вычислений интенсивности и степени линейной поляризации света в зависимости от фазового угла наблюдений для двух стандартных моделей – изотропно рассеивающего шара и рассеивающей газовой атмосферы над черным шаром. Наши тестовые расчеты для этих стандартных моделей показали хорошее согласие с результатами Rossi и др. (2018) по значениям интенсивности и поляризации на нескольких фазовых углах.
РЕЗУЛЬТАТЫ МОДЕЛИРОВАНИЯ
Изменения фазовой функции линейной поляризации света P(α), отраженного модельным астероидом, которые вызваны присутствием в экзосфере однородных сфероидальных частиц с эффективным радиусом Reff = 0.1 и 1.0 мкм, показаны на рис. 2. Приведены модели для частиц разного состава на двух длинах волн, λ = 0.36 и 0.54 мкм (каналы U и V), и модельная кривая для поверхности астероида. Видно, что размер рассеивающих частиц экзосферы относительно длины волны во многом определяет их влияние на фазовую функцию поляризации АА. Если частицы в экзосфере существенно меньше длины волны (Reff = 0.1 мкм и λ = 0.54 мкм (канал V), что дает параметр размера x ≈ 1), присутствие экзосферы повышает значения положительной поляризации астероида во всем интервале фазовых углов, а небольшая ветвь отрицательной поляризации, характерная для поверхности астероидов, исчезает. Это объясняется тем, что свет, рассеянный частицами таких размеров, поляризован преимущественно в плоскости, перпендикулярной плоскости рассеяния, а фазовая кривая поляризации P(α) имеет колоколообразную форму с высоким максимумом на угле фазы α ≈ 90° при слабой зависимости от материала частиц (см., например, Mishchenko и др., 2002). С ростом размеров частиц влияние показателя преломления на поляризацию света, рассеянного такими частицами, усиливается, форма P(α) становится более сложной, ее максимум значительно понижается, а в отдельных интервалах фазовых углов поляризация становится отрицательной. Это приводит к тому, что положительная поляризация света, отраженного астероидом с экзосферой, состоящей из слабопоглощающих частиц, становится ниже, чем у этого астероида без такой экзосферы, а отрицательная ветвь поляризации может усилиться. В то же время присутствие относительно крупных поглощающих частиц в экзосфере слабо изменяет фазовую кривую поляризации астероида почти во всем интервале фазовых углов (правые диаграммы на рис. 2).
Сложное влияние экзосферы на поляризацию света, рассеянного АА, можно пояснить, рассматривая данную задачу в приближении однократного рассеяния. В случае оптически тонкой экзосферы это приближение позволяет существенно упростить формулы, описывающие рассеяние света системой “экзосфера+поверхность” (Соболев, 1972). Пусть солнечный свет интенсивности I0 падает под углом Z0 на границу экзосферы над поверхностью астероида с альбедо As (см. рис. 3). Часть падающего потока (1) достигает поверхности и отражается от нее без рассеяния в экзосфере, а другая часть (2) рассеивается частицами экзосферы, не достигая поверхности. Угол Z – зенитный угол наблюдений. В самом простом случае, когда падающий и отраженный лучи лежат в одной плоскости с нормалью в точке падения, угол фазы α = Z0 + Z.
Рис. 3. Схематическое представление задачи рассеяния света плоскопараллельной системой “экзосфера+поверхность” в приближении однократного рассеяния при малой оптической толщине экзосферы. Часть падающего светового потока 1 достигает поверхности и отражается от нее без рассеяния в экзосфере, а часть 2 рассеивается частицами экзосферы, не достигая поверхности. Z0 и Z – зенитные углы падающего света и наблюдений соответственно.
Если экзосфера отсутствует, поляризацию света, рассеянного поверхностью, можно записать как
(1)
где – составляющие фазовой функции рассеяния поверхности с электрическим вектором, перпендикулярным плоскости рассеяния и параллельным ей соответственно. Если над поверхностью находится оптически тонкая экзосфера (τ < 1), частицы которой имеют альбедо однократного рассеяния ω0 и компоненты фазовой функции рассеяния , то поляризацию света, рассеянного системой “экзосфера + поверхность” можно представить в приближении однократного рассеяния как
(2)
где μ = cosZ, μ0 = cosZ0, и зависимость компонент χ от α не показана для краткости записи. Из формулы (2) видно, что если значения близки, т. е. степень линейной поляризации света, рассеиваемого только в экзосфере, мала, то поляризация света, рассеиваемого системой, будет ниже, чем поляризация света, рассеиваемого только поверхностью, . Если же поляризация света, обусловленная только рассеянием в экзосфере, существенно отличается от нуля, то значение в конечном счете зависит от соотношения разностей и .
Влияние экзосферы, состоящей из однородных частиц разного состава, при Reff = 0.1 и 1.0 мкм на спектральную зависимость степени линейной поляризации света, отраженного АА на разных фазовых углах, показано на рис. 4. Видно, что присутствие таких частиц в экзосфере может заметно изменить спектральный градиент поляризации на фазовых углах . Эффект в целом усиливается с ростом α и зависит от показателя преломления частиц. При этом рассеяние на более мелких частицах делает градиент положительным, а на более крупных – в целом слабо отрицательным. В интервале небольших фазовых углов, где степень линейной поляризации света, отраженного поверхностью астероида, принимает слабые отрицательные значения, рассеяние на частицах экзосферы в основном еще больше ослабляет поляризацию отраженного от поверхности света и может способствовать положительной поляризации света, отраженного системой “поверхность + экзосфера”. Исключение составляют относительно крупные частицы астрономических силикатов, фазовая функция поляризации которых имеет хорошо выраженную отрицательную ветвь на этих фазовых углах (см. рис. 2).
Рис. 4. Изменение степени линейной поляризации света P, отраженного модельным астероидом с экзосферой, вдоль спектра на фазовых углах α = 7°, 30°, 60° и 90°. Частицы в экзосфере – смеси случайно ориентированных сфероидов при Reff = 0.1 (верхний ряд диаграмм) и 1.0 мкм (нижний ряд диаграмм), νeff = 0.05 и E = 0.7–1.3. Показаны модели для частиц указанного состава, а также модель для астероида без экзосферы (“Surf”). Оптическая толщина экзосферы принята равной τ = 0.5 на λ = 0.54 мкм.
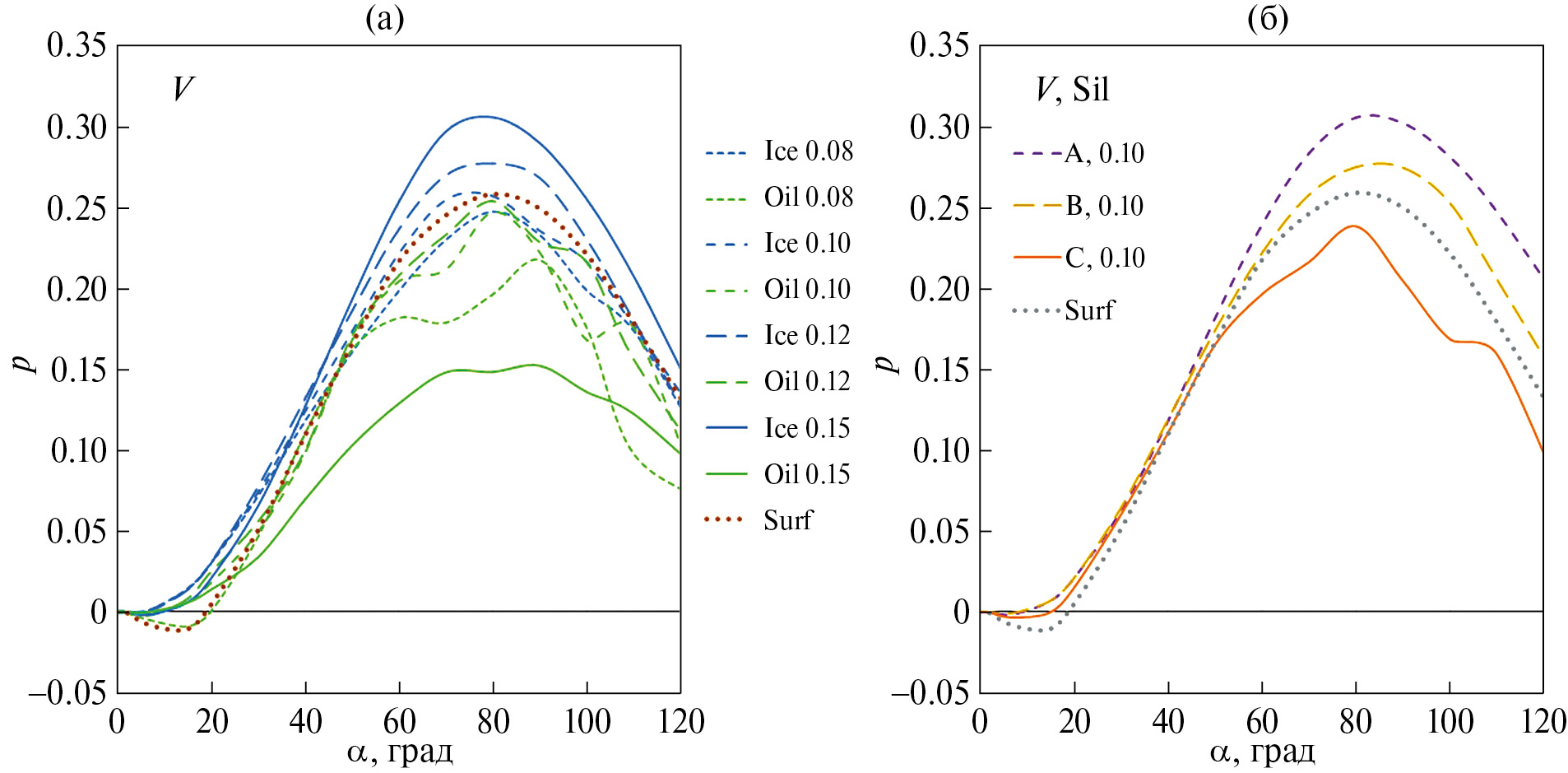
Поведение фазовых функций поляризации излучения P(α), отраженного АА с экзосферой, содержащей агрегатные частицы, зависит как от показателя преломления и структуры частиц, так и от размеров составляющих их гранул. В качестве примера на рис. 5а приведены функции P(α) для непоглощающих ледяных и поглощающих оливиновых агрегатных частиц структуры С, состоящих из мономеров разных размеров, а на рис. 5б – функции P(α) для агрегатных частиц разной структуры, состоящих из астрономических силикатов при радиусе мономеров 0.10 мкм. Показанные модели рассчитаны для длины волны 0.54 мкм. Видно, что функция P(α) для АА с экзосферой, содержащей ледяные агрегатные частицы, в целом следует P(α) для астероида без экзосферы, но принимает в большинстве случаев более высокие значения и не имеет отрицательной ветви. Функции P(α) для АА с экзосферой, содержащей агрегаты с поглощением, ведут себя сходным образом, если структура агрегатов неплотная (типы A и B на рис. 1), но могут иметь более сложный вид при плотно упакованной структуре (тип С). В последнем случае это обусловлено влиянием взаимодействия частиц, составляющих агрегаты, в ближних полях друг друга (например, Tishkovets и др., 2011 и ссылки там).
Рис. 5. Степень линейной поляризации света P, отраженного модельным астероидом с экзосферой на длине волны 0.54 мкм (канал V), в зависимости от фазового угла наблюдений α. Частицы в экзосфере (τ = 0.5) – случайно ориентированные агрегаты (N = 100): (а) – модели для агрегатных частиц льда и оливина, состоящих из мономеров указанных радиусов (в микронах); (б) – модели для агрегатных структур разной пористости (А, В и С), состоящих из астрономических силикатов при радиусе мономеров r = 0.1 мкм. Приведена также модель для астероида без экзосферы (“Surf”).
Поскольку анализ спектров отдельных АА в период их активности, вероятно обусловленной сублимацией летучих с их поверхности у перигелия, привел к выводу о присутствии в их экзосферах агрегатных частиц, содержащих гранулы радиусом около 0.1 мкм (Busarev и др., 2021; Бусарев и др., 2023; Петрова, Бусарев, 2023), мы считаем возможным ограничить наше дальнейшее рассмотрение поляризационных характеристик модельного АА таким размером гранул в агрегатных частицах экзосферы. Чтобы учесть отклонения гранул от этого размера в реальных частицах, мы провели усреднение характеристик агрегатных частиц, содержащих мономеры c радиусом 0.08, 0.10 и 0.12 мкм в пропорции 0.3 : 0.4 : 0.3. Спектральные зависимости значений степени линейной поляризации света, отраженного АА с экзосферой, содержащей такие частицы, приведены на рис. 6 для разных углов фазы и разного состава частиц (верхний ряд диаграмм) и их структуры (нижний ряд диаграмм). Как видно из диаграмм для α = 7°, рассеяние на агрегатных частицах указанных свойств, присутствующих в экзосфере, ослабляет отрицательную ветвь поляризации подстилающей поверхности на всех длинах волн. В то же время поляризация в положительной ветви (α20°) может становиться как меньше, так и больше, в зависимости от длины волны света, состава частиц, а также их пористости. Рассеяние на ледяных агрегатных частицах в экзосфере может изменить нейтральный спектральный градиент положительной поляризации на слабо отрицательный, а рассеяние на агрегатных частицах астрономических силикатов вносит существенный положительный градиент в поляризацию на фазовых углах α ≥ 30°. Особенно это касается пористых структур (тип А).
Рис. 6. Изменение степени линейной поляризации света P, отраженного модельным астероидом с экзосферой вдоль спектра на фазовых углах α = 7°, 30°, 60° и 90°. Частицы в экзосфере – смесь случайно ориентированных агрегатов, состоящих из 100 мономеров c радиусом 0.08, 0.10 и 0.12 мкм (см. текст). Верхний ряд диаграмм – модели для агрегатных частиц типа C указанного состава. Нижний ряд диаграмм – модели для агрегатных структур разной пористости (А, B и С), состоящих из астрономических силикатов. Приведена также модель для астероида без экзосферы (“Surf”). Оптическая толщина экзосферы принята равной τ = 0.5 на λ = 0.54 мкм.
Следует отметить, что рассматриваемые здесь агрегаты относительно небольшие (N = 100), в то время как рост числа составляющих частиц может приводить к небольшим изменениям фазовой зависимости степени линейной поляризации агрегатов: к некоторому подавлению максимума, развитию отрицательной ветви поляризации, а также размытию деталей, обусловленных плотной упаковкой в случае структур низкой пористости (Tishkovets и др., 2011; Mackowski, Kolokolova, 2022). Однако эти особенности не могут заметно повлиять на тенденции, демонстрируемые фазовыми и спектральными зависимостями на рис. 5 и 6 соответственно.
РЕЗУЛЬТАТЫ РАСЧЕТОВ И РЕЗУЛЬТАТЫ АКТИВНЫХ ЭКСПЕРИМЕНТОВ
Интересно рассмотреть результаты наших модельных расчетов в приложении к измерениям линейной поляризации света, рассеянного пылевыми комами, образовавшимися после искусственных ударов о ядро кометы 9P/Tempel 1 и о малый компонент двойной системы астероидов Didymos–Dimorphos. Особая ценность этих измерений в том, что они проводились как после удара, так и до него, что дает возможность сравнения характеристик объекта с пылевой комой и без нее.
Поляризация ядра кометы 9P/Tempel 1 в целом возросла после удара на 1–2% (α ≈ 41°, λ = 0.65 мкм), как обычно бывает в джетах, и через несколько дней вернулась к прежнему значению (Hadamcik и др., 2007). А измерения на λ = 0.65–1.0 мкм, выполненные после удара, показали необычный для кометной пыли синий спектральный градиент поляризации, растущий со временем от 8 до 75 мин. после удара (Harrington и др., 2007). Наше моделирование показывает, что рост поляризации в данном случае можно объяснить выбросом в кому как мелких субмикронных частиц, так и их агрегатов, а усиление отрицательного спектрального градиента поляризации – последующей сублимацией летучих из этих агрегатов и увеличением доли таких веществ, как тугоплавкая органика в агрегатных частицах, которые обеспечивают уменьшение поляризации c длиной волны на λ > 0.6 мкм (см. рис. 4 и 6). Такое объяснение находится в согласии с предположениями, высказанными авторами данного эксперимента (Hadamcik и др., 2007; Harrington и др., 2007).
Измерения поляризации астероидов Didymos–Dimorphos в интервале λ = 0.4–0.9 мкм на фазовых углах α = 25°–75° показали уменьшение значений линейной поляризации после удара на всех длинах волн при сохранении в целом спектрального хода поляризации системы (Bagnulo и др., 2023). Исходя из результатов наших модельных расчетов, такое поведение поляризации можно объяснить выбросом в результате удара однородных частиц с размерами, сравнимыми или больше длины волны, или компактных частиц сложной структуры, содержащих вещества типа оливинов и астрономических силикатов (см. рис. 4 и 6). Рассеяние на таких частицах приводит к некоторой деполяризации света, отраженного от поверхности, что подтверждает одно из объяснений наблюдаемого эффекта, которые были предложены Bagnulo и др. (2023).
ЗАКЛЮЧИТЕЛЬНЫЕ ЗАМЕЧАНИЯ
Наши модельные расчеты показывают, что рассеяние света в экзосфере АА может как ослаблять поляризацию света, отраженного от поверхности, так и приводить к усилению поляризации света, приходящего от системы “поверхность+экзосфера”, в зависимости от диапазона длин волн, показателя преломления частиц и их морфологии. При этом спектральный градиент поляризации может изменяться как в сторону более положительных, так и отрицательных значений.
На фазовых углах α < 30°, характерных для наблюдений астероидов Главного пояса, изменения, вносимые рассеянием в экзосфере в поляризацию АА, невелики и слабо отличаются для частиц разных свойств. Это делает невозможным количественную оценку характеристик частиц экзосферы на основе поляриметрических данных в этом интервале фазовых углов. Тем не менее изменение поляризации света, отраженного астероидом в области отрицательной ветви, по сравнению с каноническими значениями может свидетельствовать о присутствии экзосферы.
На фазовых углах α>30° влияние рассеяния в экзосфере на поляризацию АА более заметно, что делает многообещающим использование поляриметрии в исследовании активности астероидов, сближающихся с Землей. Этот эффект следует также учитывать при оценке альбедо астероида по максимуму поляризации (по закону Умова), если у этого астероида можно ожидать проявление активности.
Автор выражает благодарность В.П. Тишковцу за конструктивное обсуждение рассматриваемых проблем.
Работа выполнена при поддержке гранта РНФ 22–12–00115.
1 Материалы статьи легли в основу доклада и были представлены на Четырнадцатом Международном симпозиуме по исследованиям Солнечной системы (14M-S3), Институт космических исследований (ИКИ), Москва, 9–13 октября, 2023.
Об авторах
Е. В. Петрова
Институт космических исследований Российской академии наук
Автор, ответственный за переписку.
Email: epetrova@cosmos.ru
Россия, Москва
Список литературы
- Бусарев В.В., Щербина М.П., Барабанов С.И., Ирсмамбетова Т.Р., Кохирова Г.И., Хамроев У.Х., Хамитов И.М., Бикмаев И.Ф., Гумеров Р.И., Иртуганов Э.Н., Мельников С.С. Подтверждение сублимационной активности примитивных астероидов Главного пояса 779 Нины, 704 Интерамнии и 145 Адеоны и ее вероятные спектральные признаки у 51 Немаузы и 65 Цибелы // Астрон. вестн. 2019. T. 53. С. 273–290. (Busarev V.V., Shcherbina M.P., Barabanov S.I., Irsmambetova T.R., Kokhirova G.I., Khamroev U. Kh., Khamitov I.M., Bikmaev I.F., Gumerov R.I., Irtuganov E.N., Mel’nikov S.S. Confirmation of the sublimation activity of the primitive Main-Belt asteroids 779 Nina, 704 Interamnia, and 145 Adeona, as well as its probable spectral signs on 51 Nemausa and 65 Cybele // Sol. Syst. Res. 2019. V. 53. P. 261–277). https://doi.org/10.1134/S0038094619040014
- Бусарев В.В., Петрова Е.В., Щербина М.П., Кузнецов С.Ю., Бурлак М.А., Иконникова Н.П., Савелова А.А., Белинский А.А. Поиск признаков сублимационно-пылевой активности астероидов примитивных типов вблизи перигелия// Астрон. вестн. 2023.T. 57. С. 439–457. (Busarev V.V., Petrova E.V., Shcherbina M.P., Kuznetsov S. Yu., Burlak M.A., Ikonnikova N.P., Savelova A.A., Belinskii A.A. Search for signs of sublimation-driven dust activity of primitive-type asteroids near perihelion // Sol. Syst. Res. 2023. V. 57. P. 449–466). https://doi.org/10.1134/S0038094623050015
- Кохирова Г.И., Иванова А.В., Рахматуллаева Ф.Дж. Подтверждение кометной природы астероида Дон Кихот по наблюдениям в обсерватории Санглох // Астрон. вестн. 2021. T. 55. С. 74–83. (Kokhirova G.I., Ivanova O.V., Rakhmatullaeva F. Dzh. Evidence of the cometary nature of asteroid Don Quixote provided by observations at the Sanglokh observatory // Sol. Syst. Res. 2021. V. 55. P. 61–70). https://doi.org/10.1134/S0038094620330023
- Петрова Е.В., Тишковец В.П., Йокерс К. Поляризация света, рассеянного телами Солнечной системы, и агрегатная модель пылевых частиц // Астрон. вестн. 2004. Т. 38. С. 354–371. (Petrova E.V., Tishkovets V.P., Jockers K. Polarization of light scattered by Solar System bodies and the aggregate model of dust particles // Sol. Syst. Res. 2004. V. 38. P. 309–324). https://doi.org/10.1023/B: SOLS.0000037466.32514.fe
- Петрова Е.В., Бусарев В.В. О возможностях оценки свойств частиц в экзосфере активного астероида по деталям в УФ- и видимом диапазонах спектров отражения // Астрон. вестн. 2023. Т. 57. С. 166–180. (Petrova E.V., Busarev V.V. On the prospects for estimating the properties of particlesin an active asteroid exosphere by features in the UV and visible reflectance spectra // Sol. Syst. Res. 2023. V. 57. P. 161–174). https://doi.org/10.1134/S0038094623020065
- Соболев В.В. Рассеяние света в атмосферах планет. М.: Наука, 1972. 336 с.
- Bagnulo S., Tozzi G.P., Boehnhardt H., Vincent J.-B., Muinonen K. Polarimetry and photometry of the peculiar main-beltobject 7968 = 133P/Elst-Pizarro // Astron. and Astrophys. 2010. V. 514. id. A99. https://doi.org/10.1051/0004-6361/200913339
- Bagnulo S., Gray Z., Granvik M., Cellino A., Kolokolova L., Muinonen K., Muñoz O., Opitom C., Penttilä A., Snodgrass C. Optical spectropolarimetry of binary asteroid Didymos–Dimorphos before and after the DART impact // Astrophys. J. Lett. 2023. V. 945. P. L38. https://doi.org/10.3847/2041-8213/acb261
- Bradley J.P., Sandford S.A., Walker R.M. Interplanetary dust particles // Meteorites and the early Solar system / Eds Kerridge J.F., Matthews M.S. Tucson: Univ. Arizona Press, 1988. P. 861–895.
- Bradley J. The astromineralogy of interplanetary dust particles // Astromineralogy / Ed. Henning T. Berlin Heidelberg: Springer, 2003. P. 217–235.
- Busarev V.V., Makalkin A.B., Vilas F., Barabanov S.I., Scherbina M.P. New candidates for active asteroids: Main-belt (145) Adeona, (704) Interamnia, (779) Nina, (1474) Beira, and near-Earth (162,173) Ryugu // Icarus. 2018. V. 304. P. 83–94.
- Busarev V.V., Petrova E.V., Irsmambetova T.R., Shcherbina M.P., Barabanov S.I. Simultaneous sublimation activity of primitive asteroids including (24) Themis and (449) Hamburga: Spectral signs of an exosphere and the solar activity impact // Icarus. 2021. V. 369. 114634. https://doi.org/10.1016/j.icarus.2021.114634
- Cellino A., Bagnulo S., Belskaya I.N., Christou A.A. Unusual polarimetric properties of (101955) Bennu: Similarities with F-class asteroids and cometary bodies // Mon. Notic. Roy. Astron. Soc. Lett. 2018. V. 481. P. L49–L53. https://doi.org/10.1093/mnrasl/sly156
- Dlugach J.M., Mishchenko M.I., Mackowski D.W. Numerical simulations of single and multiple scattering by fractal ice clusters // J. Quant. Spectrosc. and Radiat. Transfer. 2011. V. 112. P. 1864–1870. https://doi.org/10.1016/j.jqsrt.2011.01.038
- Dorschner J., Begemann B., Henning T., Jaeger C., Mutschke H. Steps toward interstellar silicate mineralogy. II. Study of Mg-Fe-silicate glasses of variable composition // Astron. Astrophys. 1995. V. 300. P. 503–520.
- Draine B.T., Lee H.M. Optical properties of interstellar graphite and silicate grains // Astrophys. J. 1984. V. 285. P. 89–108.
- Geem J., Ishiguro M., Bach Y.P., Kuroda D., Naito H., Hanayama H., Kim Y., Kwon Y.G., Jin S., Sekiguchi T., Okazaki R., Vaubaillon J.J., Imai M., Oono T., Futamura Y., Takagi S., Sato M., Kuramoto K., Watanabe M. A polarimetric study of asteroids in comet-like orbits // Astron. and Astrophys. 2022. V. 658. id. A158. https://doi.org/10.1051/0004-6361/202142014
- Güttler C., Mannel T., Rotundi A., Merouane S., Fulle M., Bockelée-Morvan D., Lasue J., Levasseur-Regourd A.C., Blum J., Naletto G., and 21 co-authors. Synthesis of the morphological description of cometary dust at comet 67P/Churyumov-Gerasimenko // Astron. and Astrophys. 2019. V. 630. id. A24. https://doi.org/10.1051/0004-6361/201834751
- Hadamcik E., Levasseur-Regourd A.C., Leroi V., Bardinc D. Imaging polarimetry of the dust coma of Comet Tempel 1 before and after Deep Impact at Haute-Provence Observatory // Icarus. 2007. V. 190. P. 459–468. https://doi.org/10.1016/j.icarus.2007.05.023
- Harrington D.M., Meech K., Kolokolova L., Kuhna J.R., Whitman K. Spectropolarimetry of the Deep Impact target Comet 9P/Tempel 1with HiVIS // Icarus. 2007. V. 187. P. 177–184. https://doi.org/10.1016/j.icarus.2006.08.034
- Hsieh H.H., Novaković B., Kim Y., Brasser R. Asteroid family associations of active asteroids // Astron. J. 2018. V. 155. id. 96. http://dx.doi.org/10.3847/1538-3881/aaa5a2
- Ivanova O., Luk'yanyk I., Husárik M. Dust environment of active asteroid (248370) 2005 QN173 // 16th Europlanet Sci. Congress 2022, 18–23 September 2022, Palacio de Congresos de Granada, Spain. https://doi.org/10.5194/epsc2022-203
- Ivanova O., Licandro J., Moreno F., Luk’yanyk I., Markkanen J., Tomko D., Husárik M., Cabrera-Lavers A., Popescu M., Shablovinskaya E., Shubina O. Long-lasting activity of asteroid (248370) 2005 QN173 // Mon. Notic. Roy. Astron. Soc. 2023. V. 525. P. 402–414. https://doi.org/10.1093/mnras/stad2294
- Jewitt D., Hsieh H.H. The Asteroid-Comet Continuum // Chapter in press for the book Comets III / Eds: Meech K., Combi M. Univ. Arizona Press. arXiv:2203.01397v1 [astro-ph.EP] 2 Mar 2022. https://doi.org/10.48550/arXiv.2203.01397
- Jewitt D., Li J., Agarwal J. The dust tail of asteroid (3200) Phaethon // Astrophys. J. Lett. 2013. V. 771. P. L36. doi: 10.1088/2041–8205/771/2/L36
- Kimura H., Kolokolova L., Mann I. Optical properties of cometary dust: Constrains from numerical studies on light scattering by aggregate particles // Astron. and Astrophys. 2003. V. 407. P. L5–L8. https://doi.org/10.1051/0004-6361:20030967
- Kiselev N.N., Rosenbush V.K., Petrov D., Luk’yanyk I.V., Ivanova O.V., Pit N.V., Antoniuk K.A., Afanasiev V.L. Asteroid (3200) Phaethon: results of polarimetric, photometric, and spectral observations // Mon. Notic. Roy. Astron. Soc. 2022. V. 514. P. 4861–4875. https://doi.org/10.1093/mnras/stac1559
- Kolokolova L., Hanner M.S., Levasseur-Regourd A.-Ch., Gustafson B.Å.S. Physical properties of cometary dust from light scattering and thermal emission // Comets II / Eds Festou M.C., Keller H.U., and Weaver H.A. Tucson: Univ. Arizona Press, 2004. P. 577–604.
- Kolokolova L., Nagdimunov L., Mackowski D. Light scattering by hierarchical aggregates // J. Quant. Spectrosc. and Radiat. Transfer. 2018. V. 204. P. 138–143. https://doi.org/10.1016/j.jqsrt.2017.09.019
- Kosaza T., Blum J., Okamoto H., Mukai T. Optical properties of dust aggregates. 2. Angular dependence of scattered light // Astron. and Astrophys. 1993. V. 276. P. 278–288.
- Li A., Greenberg J.M. A unified model of interstellar dust // Astron. and Astrophys. 1997. V. 232. P. 566–584.
- Lumme K., Penttilä A. Model of light scattering by dust particles in the Solar System: Applications to cometary comae and planetary regoliths // J. Quant. Spectrosc. and Radiat. Transfer. 2011. V. 112. P. 1658–1670. https://doi.org/10.1016/j.jqsrt.2011.01.016
- Mackowski D.W. Electrostatics analysis of sphere clusters in the Rayleigh limit: Application to soot particles // Appl. Opt. 1995. V. 34. P. 3535–3545. https://doi.org/10.1364/AO.34.003535
- Mackowski D.W., Mishchenko M.I. Calculation of the T matrix and the scattering matrix for ensembles of spheres // J. Opt. Soc. Am. A. 1996. V. 13. P. 2266–2278. https://doi.org/10.1364/JOSAA.13.002266
- Mackowski D.W., Mishchenko M.I. A multiple sphere T-matrix Fortran code for use on parallel computer clusters // J. Quant. Spectrosc. Radiat. Transfer. 2011. V. 112. P. 2182–2192. http://dx.doi.org/10.1016/j.jqsrt
- Mackowski D.W., Kolokolova L. Application of the multiple sphere superposition solution to large-scale systems of spheres via an accelerated algorithm // J. Quant. Spectrosc. and Radiat. Transfer. 2022. V. 287. id. 108221. https://doi.org/10.1016/j.jqsrt.2022.108221
- Madhusudhan N., Burrows A. Analytic models for albedos, phase curves, and polarization of reflected light from exoplanets // Astrophys. J. 2012. V. 747. id. 25. doi: 10.1088/0004-637X/747/1/25
- Mannel T., Bentley M.S., Schmied R., Jeszenszky H., Levasseur-Regourd A.C., Romstedt J., Torkar K. Fractal cometary dust – a window into the early Solar System // Mon. Notic. Roy. Astron. Soc. 2016. V. 462. P. S304–S311. https://doi.org/10.1093/mnras/stw2898
- Mishchenko M.I., Travis L.D., Kahn R.A., West R.A. Modeling phase functions for dustlike tropospheric aerosols using a shape mixture of randomly oriented polydisperse spheroids // J. Geophys. Res. 1997. V. 102. P. 16831–16847.
- Mishchenko M.I., Travis L.D. Satellite retrieval of aerosol properties over ocean using polarization as well as intensity of reflected sunlight // J. Geophys. Res. 1997. V. 102 (D14). P. 16989–17013. https://doi.org/10.1029/96JD02425
- Mishchenko M.I., Travis L.D., Lacis A.A. Scattering, Absorption, and Emission of Light by Small Particles. Cambridge: Cambridge Univ. Press, 2002. 462 p.
- Mishchenko M.I., Rosenbush V.K., Kiselev N.N., Lupishko D.F., Tishkovets V.P., Kaydash V.G., Belskaya I.N., Efimov Y.S., Shakhovskoy N.M. Polarimetric Remote Sensing of Solar System Objects. Kyiv: Akademperiodyka, 2010. 291 p.
- Rossi L., Berzosa-Molina J., Stam D.M. PYMIEDAP: a Python–Fortran tool for computing fluxes and polarization signals of (exo)planets// Astron. Astrophys. 2018. V. 616. P. A147. https://doi.org/10.1051/0004-6361/201832859
- Shestopalov D.I., Golubeva L.F. Polarimetric properties of asteroids // Adv. Space Res. 2015. V. 56. P. 2254–2274. https://doi.org/10.1016/j.asr.2015.08.013
- Tishkovets V.P., Petrova E.V., Mishchenko M.I. Scattering of electromagnetic waves by ensembles of particles and discrete random media // J. Quant. Spectrosc. and Radiat. Transfer. 2011. V. 112. P. 2095–20127. https://doi.org/10.1016/j.jqsrt.2011.04.010
- Warren S.G., Brandt R.E. Optical constants of ice from the ultraviolet to the microwave: A revised compilation // J. Geophys. Res. 2008. V. 113. id. D14220. doi: 10.1029/2007JD009744
- Zubko E., Shkuratov Yu., Videen G. Effect of morphology on light scattering by agglomerates // J. Quant. Spectrosc. and Radiat. Transfer. 2015. V. 150. P. 42–54. http://dx.doi.org/10.1016/j.jqsrt.2014.06.023
Дополнительные файлы








